Evaluation of the Immunosafety of Cucurbit[n]uril In Vivo
Abstract
1. Introduction
2. Materials and Methods
2.1. Materials
2.2. NMR Spectroscopy
2.3. IR Spectroscopy
2.4. Elemental Analysis
2.5. Mice
2.6. Cytotoxicity Assay
2.7. Flow Cytometry
2.8. IgM-Plaque-Forming Cell (IgM–PFC) and Delayed-Type Hypersensitivity (DTH) Assay
2.9. Statistical Analysis
3. Results
3.1. Immunosafety Findings
3.2. Lymphocytes
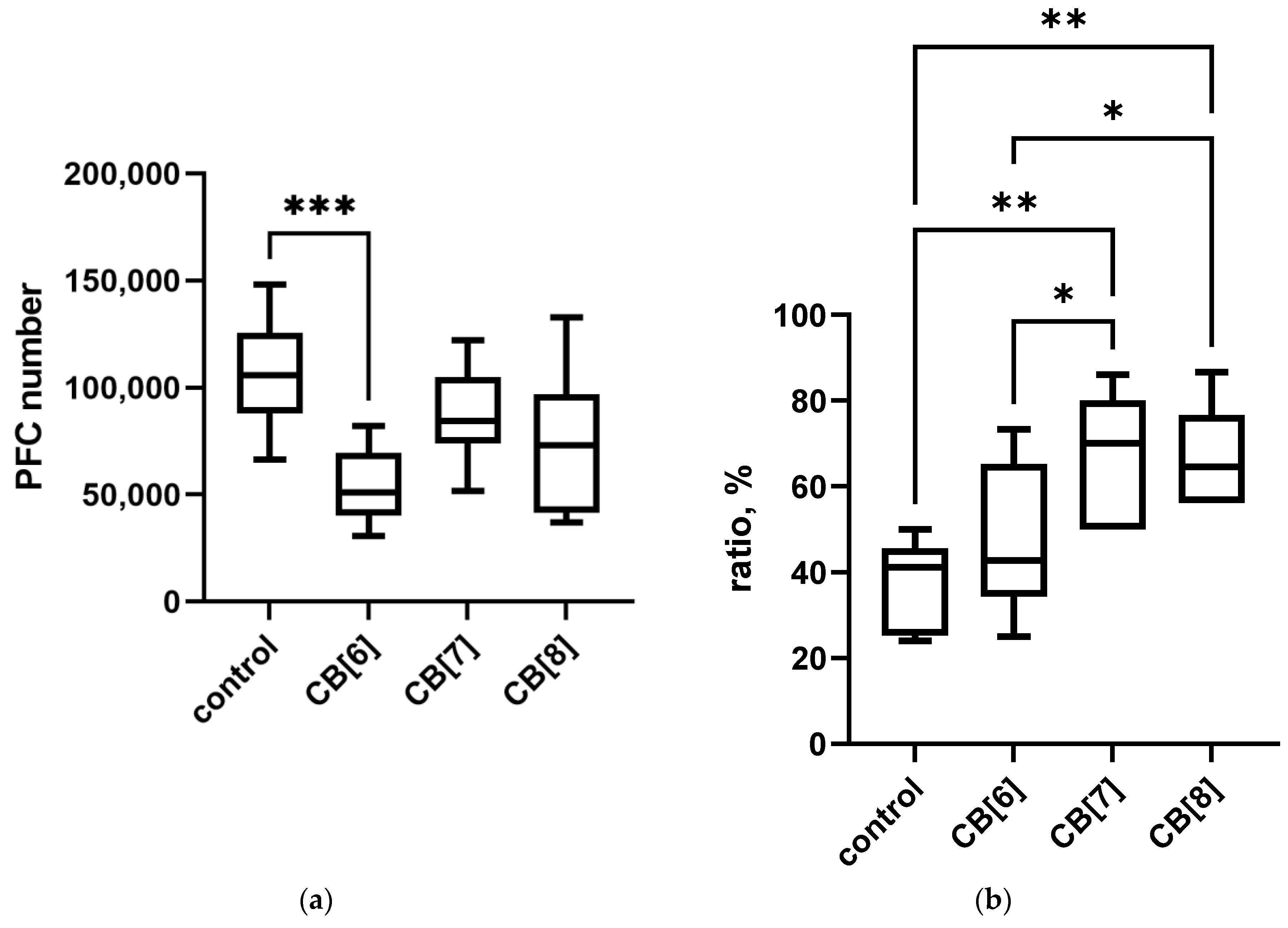
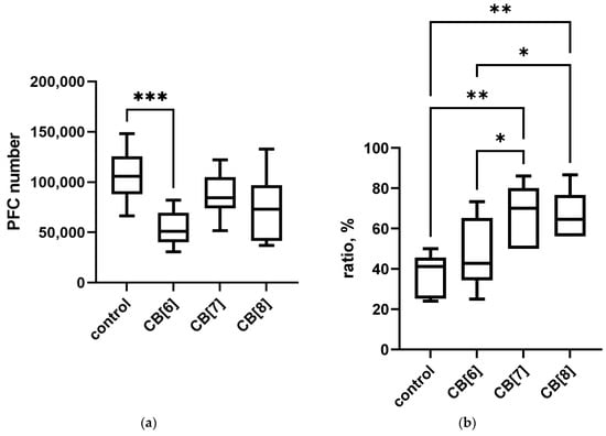
3.3. Immune Responses Findings
4. Discussion
Supplementary Materials
Author Contributions
Funding
Institutional Review Board Statement
Informed Consent Statement
Data Availability Statement
Conflicts of Interest
References
- Rodell, C.B.; Mealy, J.E.; Burdick, J.A. Supramolecular Guest-Host Interactions for the Preparation of Biomedical Materials. Bioconjugate Chem. 2015, 26, 2279–2289. [Google Scholar] [CrossRef]
- Li, W.; Xu, W.; Zhang, S.; Li, J.; Zhou, J.; Tian, D.; Cheng, J.; Li, H. Supramolecular Biopharmaceutical Carriers Based on Host-Guest Interactions. J. Agric. Food Chem. 2022, 70, 12746–12759. [Google Scholar] [CrossRef]
- Saji, V.S. Recent Updates on Supramolecular-Based Drug Delivery—Macrocycles and Supramolecular Gels. Chem. Rec. 2022, 22, e202200053. [Google Scholar] [CrossRef] [PubMed]
- Barrow, S.J.; Kasera, S.; Rowland, M.J.; del Barrio, J.; Scherman, O.A. Cucurbituril-Based Molecular Recognition. Chem. Rev. 2015 115, 12320–12406. [CrossRef]
- Das, D.; Assaf, K.I.; Nau, W.M. Applications of cucurbiturils in medicinal chemistry and chemical biology. Front. Chem. 2019, 7, 619–631. [Google Scholar] [CrossRef] [PubMed]
- Barooah, N.; Mohanty, J.; Bhasikuttan, A.C. Cucurbituril-Based Supramolecular Assemblies: Prospective on Drug Delivery, Sensing, Separation, and Catalytic Applications. Langmuir 2022, 24, 6249–6264. [Google Scholar] [CrossRef] [PubMed]
- Shukla, S.; Sagar, B.; Sood, A.K.; Gaur, A.; Batra, S.; Gulati, S. Supramolecular Chemotherapy with Cucurbit[n]urils as Encapsulating Hosts. ACS Appl. Bio Mater. 2023, 6, 2089–2101. [Google Scholar] [CrossRef]
- Behrend, R.; Meyer, E.; Rusche, F. über Condensation-producte aus Glycoluril und Formaldehyd. Justus Liebigs Ann. Der Chem. 1905, 339, 1–37. [Google Scholar] [CrossRef]
- Lee, J.W.; Samal, S.; Selvapalam, N.; Kim, H.J.; Kim, K. Cucurbituril homologues and derivatives: New opportunities in supramolecular chemistry. Acc. Chem. Res. 2003, 36, 621–630. [Google Scholar] [CrossRef]
- Lagona, J.; Mukhopadhyay, P.; Chacrabarti, S.; Isaacs, L. The Cucurbit[n]uril Family. Angew. Chem. Int. Ed. 2005, 44, 4844–4870. [Google Scholar] [CrossRef]
- Wheate, N.J.; Buck, D.P.; Day, A.I.; Collins, J.G. Cucurbit[n]uril binding of platinum anticancer complexes. Dalton Trans. 2006, 3, 451–458. [Google Scholar] [CrossRef] [PubMed]
- Miskolczy, Z.; Megyesi, M.; Tarkanyi, G.; Mizsei, R.; Biczok, L. Inclusion complex formation of sanguinarinealkaloid with cucurbit[7]uril: Inhibition of nucleophilic attack and photooxidation. Org. Biomol. Chem. 2011, 9, 1061–1070. [Google Scholar] [CrossRef] [PubMed]
- Wang, R.; Bardelang, D.; Waite, M.; Udachin, K.A.; Leek, D.M.; Yu, K.; Ratcliffe, C.I.; Ripmeester, J.A. Inclusion complexes of coumarin in cucurbiturils. Org. Biomol. Chem. 2009, 7, 2435–2439. [Google Scholar] [CrossRef] [PubMed]
- Day, A.I.; Blanch, R.J.; Arnold, A.P.; Lorenzo, S.; Lewis, G.R.; Dance, I. A Cucurbituril-Based Gyroscane: A New Supramolecular Form. Angew. Chem. 2002, 114, 285–287. [Google Scholar] [CrossRef]
- Dsouza, R.N.; Pischel, U.; Nau, W.M. Fluorescent dyes and their supramolecular host/guest complexes with macrocycles in aqueous solution. Chem. Rev. 2011, 111, 7941–7980. [Google Scholar] [CrossRef] [PubMed]
- Mock, W.L.; Shih, N.-Y. Structure and selectivity in host-guest complexes of cucurbituril. J. Org. Chem. 1986, 51, 4440–4446. [Google Scholar] [CrossRef]
- Buschmann, H.J.; Mutihac, L.; Mutihac, R.C.; Schollmeyer, E. Complexation behavior of cucurbit[6]uril with short polypeptides. Therm. Acta 2005, 430, 79–82. [Google Scholar]
- Fujiwara, H.; Arakawa, H.; Murata, S.; Sasaki, Y. Entropy Changes in the Inclusion Complex Formation of α-Cyclodextrin with Alcohols as Studied by the Titration Calorimetry. Bull. Chem. Soc. Jpn. 1987, 60, 3891–3894. [Google Scholar] [CrossRef]
- Walker, S.; Kaur, R.; McInnes, F.J.; Wheate, N.J. Synthesis, processing and solid state excipient interactions of cucurbit[6]uril and its formulation into tablets for oral drug delivery. Mol. Pharm. 2010, 7, 2166–2172. [Google Scholar] [CrossRef]
- Montes-Navajas, P.; González-Béjar, M.; Scaiano, J.C.; García, H. Cucurbituril complexes cross the cell membrane. Photochem. Sci. 2009, 8, 1743–1747. [Google Scholar] [CrossRef]
- Uzunova, V.D.; Cullinane, C.; Brix, K.; Nau, W.M.; Day, A.I. Toxicity of cucurbit[7]uril and cucurbit[8]uril: An exploratory in vitro and in vivo study. Org. Biomol. Chem. 2010, 8, 2037–2042. [Google Scholar] [CrossRef] [PubMed]
- Chen, H.; Chan, J.Y.W.; Yang, X.; Wyman, I.W.; Macartney, D.H.; Bardelang, D.; Lee, S.M.Y.; Wang, R. Developmental and organspecific toxicity of cucurbit[7]uril: In vivo study on zebrafish models. RSC Adv. 2015, 5, 30067–30074. [Google Scholar] [CrossRef]
- Chen, H.; Chan, J.Y.W.; Li, S.; Liu, J.J.; Wyman, I.W.; Lee, S.M.Y.; Macartney, D.H.; Wang, R. In Vivo reversal of general anesthesia by cucurbit[7]uril with zebrafish models. RSC Adv. 2015, 5, 63745–63752. [Google Scholar] [CrossRef]
- Oun, R.; Floriano, R.S.; Isaacs, L.; Rowana, E.G.; Wheate, N.J. The ex vivo neurotoxic, myotoxic and cardiotoxic activity of cucurbiturilbased macrocyclic drug delivery vehicles. Toxicol. Res. 2014, 3, 447–455. [Google Scholar] [CrossRef]
- Zhang, X.; Xu, X.; Li, S.; Wang, L.H.; Zhang, J.; Wang, R. A systematic evaluation of the biocompatibility of cucurbit[7]uril in mice. Sci. Rep. 2018, 8, 8819–8825. [Google Scholar] [CrossRef]
- Pejchal, J.; Jošt, P.; Múčková, L.; Andrýs, R.; Lísa, M.; Zdarova Karasova, J. A systematic evaluation of the cucurbit[7]uril pharmacokinetics and toxicity after a single dose and short-term repeated administration in mice. Arch. Toxicol. 2022, 96, 1411–1421. [Google Scholar] [CrossRef] [PubMed]
- Lucia Appleton, S.; Navarro-Orcajada, S.; Martínez-Navarro, F.J.; Caldera, F.; López-Nicolás, J.M.; Trotta, F.; Matencio, A. Cyclodextrins as Anti-inflammatory Agents: Basis, Drugs and Perspectives. Biomolecules 2021, 11, 1384. [Google Scholar] [CrossRef]
- Braga, S.S.; Barbosa, J.S.; Santos, N.E.; El-Saleh, F.; Paz, F.A.A. Cyclodextrins in Antiviral Therapeutics and Vaccines. Pharmaceutics 2021, 13, 409. [Google Scholar] [CrossRef] [PubMed]
- Onishi, M.; Ozasa, K.; Kobiyama, K.; Ohata, K.; Kitano, M.; Taniguchi, K.; Homma, T.; Kobayashi, M.; Sato, A.; Katakai, Y.; et al. Hydroxypropyl-β-cyclodextrin spikes local inflammation that induces Th2 cell and T follicular helper cell responses to the coadministered antigen. J. Immunol. 2015, 194, 2673–2682. [Google Scholar] [CrossRef] [PubMed]
- Pashkina, E.; Aktanova, A.; Blinova, E.; Mirzaeva, I.; Kovalenko, E.; Knauer, N.; Ermakov, A.; Kozlov, V. Evaluation of the Immunosafety of Cucurbit[n]uril on Peripheral Blood Mononuclear Cells In Vitro. Molecules 2020, 25, 3388. [Google Scholar] [CrossRef] [PubMed]
- Aktanova, A.; Abramova, T.; Pashkina, E.; Boeva, O.; Grishina, L.; Kovalenko, E.; Kozlov, V. Assessment of the Biocompatibility of Cucurbiturils in Blood Cells. Nanomaterials 2021, 11, 1356. [Google Scholar] [CrossRef] [PubMed]
- Aktanova, A.A.; Kovalenko, E.A.; Pashkina, E.A. Effect of cucurbiturils on cytokine production by peripheral blood mononuclear cells of healthy donors. Russ. J. Immunol. 2022, 25, 369–374. [Google Scholar] [CrossRef]
- Aktanova, A.A.; Boeva, O.S.; Barkovskaya, M.S.; Kovalenko, E.A.; Pashkina, E.A. Influence of Cucurbiturils on the Production of Reactive Oxygen Species by T- and B-Lymphocytes, Platelets and Red Blood Cells. Int. J. Mol. Sci. 2023, 24, 1441. [Google Scholar] [CrossRef] [PubMed]
- Day, A.; Arnold, A.P.; Blanch, R.J.; Snushall, B. Controlling factors in the synthesis of cucurbituril and its homologues. J. Org. Chem. 2001, 66, 8094–8100. [Google Scholar] [CrossRef] [PubMed]
- Gerasko, O.A.; Mainicheva, E.A.; Naumova, M.I.; Yurjeva, O.P.; Alberola, A.; Vicent, C.; Llusar, R.; Fedin, V.P. Tetranuclear Lanthanide Aqua Hydroxo Complexes with Macrocyclic Ligand Cucurbit[6]uril. Eur. J. Inorg. Chem. 2008, 416, 842. [Google Scholar] [CrossRef]
- Gerasko, O.A.; Mainicheva, E.A.; Naumova, M.I.; Neumaier, M.; Kappes, M.M.; Lebedkin, S.; Fenske, D.; Fedin, V.P. Sandwich-Type Tetranuclear Lanthanide Complexes with Cucurbit[6]uril: From Molecular Compounds to Coordination Polymers. Inorg. Chem. 2008, 47, 8869. [Google Scholar] [CrossRef] [PubMed]
- Nakamoto, K. Infrared and Raman Spectra of Inorganic and Coordination Compounds: Part B—Applications in Coordination, Organometallic, and Bioinorganic Chemistry, 6th ed.; Wiley: New York, NY, USA, 2009. [Google Scholar]
- O’Connell, K.E.; Mikkola, A.M.; Stepanek, A.M.; Vernet, A.; Hall, C.D.; Sun, C.; Yildirim, E.; Staropoli, J.F.; Lee, J.T.; Brown, D.E. Practical murine hematopathology: A comparative review and implications for research. Comp. Med. 2015, 65, 96–113. [Google Scholar]
- Li, Y.; Su, Y.; Li, Z.; Chen, Y. Supramolecular Combination Cancer Therapy Based on Macrocyclic Supramolecular Materials. Polymers 2022, 14, 4855. [Google Scholar] [CrossRef]
- Galluzzi, L.; Buqué, A.; Kepp, O.; Zitvogel, L.; Kroemer, G. Immunological Effects of Conventional Chemotherapy and Targeted Anticancer Agents. Cancer Cell. 2015, 28, 690–714. [Google Scholar] [CrossRef]
- Zhang, L.; Zhou, C.; Zhang, S.; Chen, X.; Liu, J.; Xu, F.; Liang, W. Chemotherapy reinforces anti-tumor immune response and enhances clinical efficacy of immune checkpoint inhibitors. Front. Oncol. 2022, 12, 939249. [Google Scholar] [CrossRef]
- Merlano, M.C.; Denaro, N.; Galizia, D.; Ruatta, F.; Occelli, M.; Minei, S.; Abbona, A.; Paccagnella, M.; Ghidini, M.; Garrone, O. How Chemotherapy Affects the Tumor Immune Microenvironment: A Narrative Review. Biomedicines 2022, 10, 1822. [Google Scholar] [CrossRef]
- Binnewies, M.; Roberts, E.W.; Kersten, K.; Chan, V.; Fearon, D.F.; Merad, M.; Coussens, L.M.; Gabrilovich, D.I.; Ostrand-Rosenberg, S.; Hedrick, C.C.; et al. Understanding the tumor immune microenvironment (TIME) for effective therapy. Nat. Med. 2018, 24, 541–550. [Google Scholar] [CrossRef] [PubMed]
- Liang, H.; Lu, Q.; Yang, J.; Yu, G. Supramolecular Biomaterials for Cancer Immunotherapy. Research 2023, 6, 0211. [Google Scholar] [CrossRef] [PubMed]
- Feng, Y.; Qi, S.; Yu, X.; Zhang, X.; Zhu, H.; Yu, G. Supramolecular Modulation of Tumor Microenvironment through Pillar[5]arene-Based Host–Guest Recognition to Synergize Cancer Immunotherapy. J. Am. Chem. Soc. 2023, 145, 18789–18799. [Google Scholar] [CrossRef] [PubMed]
- Hu, J.; Liang, M.; Ye, M.; Xu, J.; Liu, H.; Zhang, X.; Sun, W.; Xue, P.; Kang, Y.; Xu, Z. Reduction-triggered polycyclodextrin supramolecular nanocage induces immunogenic cell death for improved chemotherapy. Carbohydr. Polym. 2023, 301, 120365. [Google Scholar] [CrossRef]
- Pashkina, E.; Aktanova, A.; Mirzaeva, I.; Kovalenko, E.; Andrienko, I.; Knauer, N.; Pronkina, N.; Kozlov, V. The Effect of Cucurbit[7]uril on the Antitumor and Immunomodulating Properties of Oxaliplatin and Carboplatin. Int. J. Mol. Sci. 2021, 22, 7337. [Google Scholar] [CrossRef]
- Aktanova, A.A.; Bykova, M.V.; Boeva, O.S.; Pashkina, E.A.; Grishina, L.V.; Kozlov, V.A. Cucurbituril-based Supramolecular complexes with platinum compounds influence on expression of CTLA-4 on Regulatory T cells. Med. Immunol. 2023, 25, 697–702. [Google Scholar] [CrossRef]
- Kovalenko, E.A.; Pashkina, E.A.; Kanazhevskaya, L.Y.; Masliy, A.N.; Kozlov, V.A. Chemical and biological properties of a supramolecular complex of tuftsin and cucurbit[7]uril. Int. Immunopharmacol. 2017, 47, 199–205. [Google Scholar] [CrossRef]






Disclaimer/Publisher’s Note: The statements, opinions and data contained in all publications are solely those of the individual author(s) and contributor(s) and not of MDPI and/or the editor(s). MDPI and/or the editor(s) disclaim responsibility for any injury to people or property resulting from any ideas, methods, instructions or products referred to in the content. |
© 2024 by the authors. Licensee MDPI, Basel, Switzerland. This article is an open access article distributed under the terms and conditions of the Creative Commons Attribution (CC BY) license (https://creativecommons.org/licenses/by/4.0/).
Share and Cite
Pashkina, E.; Aktanova, A.; Boeva, O.; Bykova, M.; Gavrilova, E.; Goiman, E.; Kovalenko, E.; Saleh, N.; Grishina, L.; Kozlov, V. Evaluation of the Immunosafety of Cucurbit[n]uril In Vivo. Pharmaceutics 2024, 16, 127. https://doi.org/10.3390/pharmaceutics16010127
Pashkina E, Aktanova A, Boeva O, Bykova M, Gavrilova E, Goiman E, Kovalenko E, Saleh N, Grishina L, Kozlov V. Evaluation of the Immunosafety of Cucurbit[n]uril In Vivo. Pharmaceutics. 2024; 16(1):127. https://doi.org/10.3390/pharmaceutics16010127
Chicago/Turabian StylePashkina, Ekaterina, Alina Aktanova, Olga Boeva, Maria Bykova, Elena Gavrilova, Elena Goiman, Ekaterina Kovalenko, Na’il Saleh, Lyubov Grishina, and Vladimir Kozlov. 2024. "Evaluation of the Immunosafety of Cucurbit[n]uril In Vivo" Pharmaceutics 16, no. 1: 127. https://doi.org/10.3390/pharmaceutics16010127
APA StylePashkina, E., Aktanova, A., Boeva, O., Bykova, M., Gavrilova, E., Goiman, E., Kovalenko, E., Saleh, N., Grishina, L., & Kozlov, V. (2024). Evaluation of the Immunosafety of Cucurbit[n]uril In Vivo. Pharmaceutics, 16(1), 127. https://doi.org/10.3390/pharmaceutics16010127

