Mesoporous Composite Bioactive Compound Delivery System for Wound-Healing Processes
Abstract
:1. Introduction
2. Materials and Methods
2.1. Materials and Equipment
2.2. Methods
2.2.1. Synthesis of Mesoporous MCM-41-Type Material
2.2.2. Characterization of Mesoporous MCM-41-Type Material
2.2.3. Loading Process of Bioactive Extracts on Mesoporous Matrix
2.2.4. Quantification of Bioactive Compounds and Release Profiles of Composite Materials
2.2.5. Evaluation of the Biological Action of Composite Materials
- (a)
- The collagen secreted by the fibroblast cell in the culture medium was assessed indirectly by using a colorimetric method for the determination of hydroxyproline resulting from the total hydrolysis of collagen polypeptide chains [41]. This could be performed because 1 mg of collagen contains 0.122 mg of hydroxyproline. Thus, the hydroxyproline released from the hydrolysis process was oxidized with the oxidizing agent chloramine T to pyrrole, a compound that forms with p-dimethylaminobenzaldehyde (DMAB, Ehrlich’s reagent), a chromophore with an absorption maximum in the range 555–560 nm. The colorimetric determination of hydroxyproline was conducted by using the Woessner method modified in house: the medium samples were subjected to chemical hydrolysis under the action of hydrochloric acid for 6 h at 120 °C. The mixture consisting of a hydrolysate and chloramine T solution (0.352 g of chloramine T, 7.5 mL of propyl alcohol, 5 mL of distilled water and 12.5 mL of citrate buffer, pH 6.0) in a 1:1 (v/v) ratio was shaken vigorously and kept at room temperature for 20 min. At the end of the standing time, 1 mL of the p-dimethylaminobenzaldehyde solution was added and incubated for 30 min at 60 °C. After the incubation time was completed, the absorbance of the samples was recorded at a wavelength of 560 nm, and the hydroxyproline content was quantified relative to a standard curve generated by using synthetic hydroxyproline [41].
- (b)
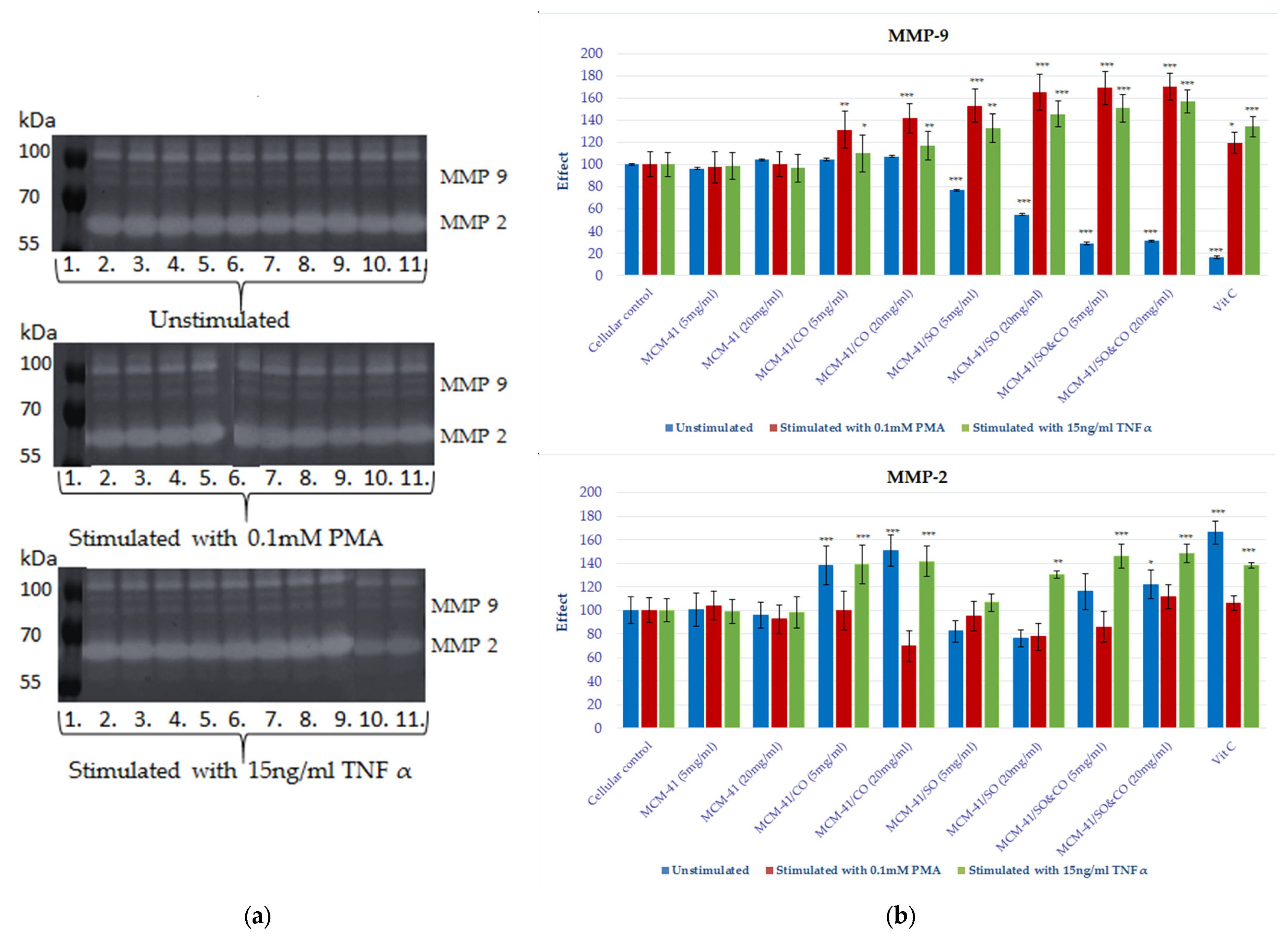
- The method for estimating the enzyme activity of the matrix gelatinases (MMP-2 and MMP-9) from the culture media samples was based on the ability of these enzymes to renature after electrophoretic migration in polyacrylamide SDS-PAGE gel copolymerized with 0.1% gelatin under nonreducing conditions run at 120 V in a Tris-glycine buffer, as described by Cancemi et al. [42,43], and the removal of SDS by repeated washes with a 5% Triton X-100 solution. The renatured enzymes exert their proteolytic activity on the copolymerized substrate during 18 h of incubation at 37 °C in a buffer consisting of 50 mM Tris-HCl (pH 7.5), 0.15 M NaCl, 0.01 M CaCl2 and 1 µM ZnCl2 [43]. The identification of MMPs was performed after staining the gels with 0.25% Coomassie blue R-250, destaining with methanol: acetic acid: water (40:10:50; v/v) and correlating them with a molecular mass standard. The two digestion zones (corresponding to molecular masses of 92 kDa for MMP-9 and 62 kDa for MMP-2) appear white on a dark blue background. The zymograms were scanned with the ChemiDoc MP Imaging System from BIO-RAD and were semiquantitatively analyzed by using the densitometry of the enzymes’ active protein bands which appear as lysing bands by using Image J software. All the experiments were performed in triplicate. During the electrophoretic migration process, endogenous MMP-specific inhibitors (TIMPs), which are frequently found to be associated with MMPs in the culture medium, dissociate from proteinzyme, thus eliminating negative potential interferences that may affect the experimental results.
- (c)
- To evaluate in vitro the effect of the mesoporous composite systems used for the release of bioactive compounds on the migration rate of HS27 cells into the wound site, an experimental model was applied that required a wound to be simulated in a confluent layer of cells by scratching. In each well, 1 mL of a collagen-containing solution was pipetted. After a one-hour incubation, to allow the protein to adhere to the culture surface, the protein solution was removed and the well was washed three times with 0.010 M phosphate-buffered saline, pH = 7.4. In total, 30,000 cells/well were inoculated into the prepared plate and allowed to adhere for 24 h at 37 °C, 5% CO2. Subsequently, by using a pipette tip, the cell monolayer was scraped off at confluence. After this operation, the cell layer was washed, the growth medium was replaced and the substances to be evaluated were introduced, and thus the migration of the cells to the area from which they were removed (wound) and the reformation of the cell layer were monitored.
2.2.6. Statistical Analysis
3. Results
3.1. Characterization of Mesoporous MCM-41-Type Material
3.2. Loading Process of Bioactive Extracts on Mesoporous Matrix
3.3. Quantification of Bioactive Compounds and Release Profiles of the MCM-41/SO&CO Composite Material
3.4. Evaluation of the Biological Action of Composite Materials
4. Discussion
5. Conclusions
Supplementary Materials
Author Contributions
Funding
Institutional Review Board Statement
Informed Consent Statement
Data Availability Statement
Acknowledgments
Conflicts of Interest
References
- Gabriel, A.; de la Torre, J.; Rosenberg, Z.; Mussman, J. Wound Healing and Growth Factors. 2015, p. 1298196. Available online: https://emedicine.medscape.com/article/1298196-overview (accessed on 15 February 2023).
- Sood, R.; Achauer, B.M. Achauer and Sood’s Burn Surgery: Reconstruction and Rehabilitation; Elsevier: Philadelphia, PA, USA, 2006. [Google Scholar]
- Kishi, K.; Okabe, K.; Shimizu, R.; Kubota, Y. Fetal skin possesses the ability to regenerate completely: Complete regeneration of skin. Keio J. Med. 2012, 61, 101–108. [Google Scholar] [CrossRef]
- Mathew-Steiner, S.S.; Roy, S.; Sen, C.K. Collagen in Wound Healing. Bioengineering 2021, 8, 63. [Google Scholar] [CrossRef] [PubMed]
- Gauglitz, G.G.; Korting, H.C.; Pavicic, T.; Ruzicka, T.; Jeschke, M.G. Hypertrophic scarring and keloids: Pathomechanisms and current and emerging treatment strategies. Mol. Med. 2011, 17, 113–125. [Google Scholar] [CrossRef] [PubMed]
- Akaishi, S.; Koike, S.; Dohi, T.; Kobe, K.; Hyakusoku, H.; Ogawa, R. Nd: YAG Laser Treatment of Keloids and Hypertrophic Scars. Eplasty 2012, 12, e1. [Google Scholar]
- Wolfram, D.; Tzankov, A.; Pulzl, P.; Piza-Katzer, H. Hypertrophic scars and keloids—A review of their pathophysiology, risk factors, and therapeutic management. Dermatol. Surg. 2009, 35, 171–184. [Google Scholar] [CrossRef]
- Ehrlich, H.P.; Desmouliere, A.; Diegelmann, R.F.; Cohen, I.K.; Compton, C.C.; Garner, W.L.; Kapanci, Y.; Gabbiani, G. Morphological and immunochemical differences between keloid and hypertrophic scar. Am. J. Pathol. 1994, 145, 105–113. [Google Scholar]
- Sabah, S.M.; Shagufta, T.M. Keloid and Hypertrophic Scars: Comparative Histopathological and Immunohistochemical Study. JKAU Med. Sci. 2010, 17, 3–22. [Google Scholar] [CrossRef]
- Maglicani, G.; Stella, M.; Castagnoli, C.; Trombotto; Ondei, S.; Calcagni, M. Post-burn pathological scar: Clinical aspects and therapeutic approach. Ann. Burn. Fire Disasters 1997, 10, 105–109. [Google Scholar]
- Aarabi, S.; Longaker, M.T.; Gurtner, G.C. Hypertrophic Scar Formation Following Burns and Trauma: New Approaches to Treatment. PLoS Med. 2007, 4, e234. [Google Scholar] [CrossRef]
- Kareva, I.; Abou-Slaybi, A.; Dodd, O.; Dashevsky, O.; Klement, G.L. Normal Wound Healing and Tumor Angiogenesis as a Game of Competitive Inhibition. PLoS ONE 2016, 11, e0166655. [Google Scholar] [CrossRef]
- Aderibigbe, B.A.; Buyana, B. Alginate in Wound Dressings. Pharmaceutics 2018, 10, 42. [Google Scholar] [CrossRef] [PubMed]
- Young, A.; McNaught, C.-E. The Physiology of Wound Healing. Surg. Oxf. 2011, 29, 475–479. [Google Scholar] [CrossRef]
- Ghomi, E.R.; Shakiba, M.; Ardahaei, A.S.; Kenari, M.A.; Faraji, M.; Ataei, S.; Kohansal, P.; Jafari, I.; Abdouss, M.; Ramakrishna, S. Innovations in Drug Delivery for Chronic Wound Healing. Curr. Pharm. Des. 2022, 28, 340–351. [Google Scholar] [CrossRef]
- Sharifi, S.; Hajipour, M.J.; Gould, L.; Mahmoudi, M. Nanomedicine in Healing Chronic Wounds: Opportunities and Challenges. Mol. Pharm. 2021, 18, 550–575. [Google Scholar] [CrossRef] [PubMed]
- Harding, K. Innovation and Wound Healing. J. Wound Care 2015, 24 (Suppl. 4), 7–13. [Google Scholar] [CrossRef] [PubMed]
- Gurtner, G.C.; Werner, S.; Barrandon, Y.; Longaker, M.T. Wound repair and regeneration. Nature 2008, 453, 314–321. [Google Scholar] [CrossRef] [PubMed]
- Govindaraju, P.; Todd, L.; Shetye, S.; Monslow, J.; Puré, E. CD44-dependent inflammation, fibrogenesis, and collagenolysis regulates extracellular matrix remodeling and tensile strength during cutaneous wound healing. Matrix Biol. 2019, 75–76, 314–330. [Google Scholar] [CrossRef]
- Koivisto, L.; Heino, J.; Häkkinen, L.; Larjava, H. Integrins in Wound Healing. Adv. Wound Care 2014, 3, 762–783. [Google Scholar] [CrossRef]
- Das, A.; Abas, M.; Biswas, N.; Banerjee, P.; Ghosh, N.; Rawat, A.; Khanna, S.; Roy, S.; Sen, C.K. A Modified Collagen Dressing Induces Transition of Inflammatory to Reparative Phenotype of Wound Macrophages. Sci. Rep. 2019, 9, 14293. [Google Scholar] [CrossRef]
- Guo, S.; Dipietro, L.A. Factors affecting wound healing. J. Dent. Res. 2010, 89, 219–229. [Google Scholar] [CrossRef]
- Sprangers, S.; Everts, V. Molecular pathways of cell-mediated degradation of fibrillar collagen. Matrix Biol. 2019, 75–76, 190–200. [Google Scholar] [CrossRef]
- Liu, X.; Zheng, C.; Luo, X.; Wang, X.; Jiang, H. Recent advances of collagen-based biomaterials: Multi-hierarchical structure, modification and biomedical applications. Mater. Sci. Eng. C Mater. Biol. Appl. 2019, 99, 1509–1522. [Google Scholar] [CrossRef] [PubMed]
- Twardowski, T.; Fertala, A.; Orgel, J.P.; San Antonio, J.D. Type I collagen and collagen mimetics as angiogenesis promoting superpolymers. Curr. Pharm. Des. 2007, 13, 3608–3621. [Google Scholar] [CrossRef] [PubMed]
- Xue, M.; Jackson, C.J. Extracellular Matrix Reorganization during Wound Healing and Its Impact on Abnormal Scarring. Adv. Wound Care 2015, 4, 119–136. [Google Scholar] [CrossRef] [PubMed]
- Reinke, J.M.; Sorg, H. Wound repair and regeneration. Eur. Surg. Res. 2012, 49, 35–43. [Google Scholar] [CrossRef]
- Schultz, G.; Chin, G.; Moldawer, L.; Diegelmann, R. Principles of Wound Healing; University of Adelaide Press: Adelaide, Australia, 2011; Volume 23. [Google Scholar]
- Vitale, S.; Colanero, S.; Placidi, M.; Di Emidio, G.; Tatone, C.; Amicarelli, F.; D’Alessandro, A.M. Phytochemistry and Biological Activity of Medicinal Plants in Wound Healing: An Overview of Current Research. Molecules 2022, 27, 3566. [Google Scholar] [CrossRef]
- European Medicines Agency (EMA), Committee on Herbal Medicinal Products (HMPC). Assessment Report on Salvia officinalis L. folium and Salvia officinalis L. aetheroleum; EMA/HMPC/150801/2015; HMPC: Amsterdam, The Netherlands, 2016. [Google Scholar]
- Karimzadeh, S.; Farahpour, M.R. Topical application of Salvia officinalis hydroethanolic leaf extract improves wound healing process. Indian J. Exp. Biol. 2017, 55, 98–106. [Google Scholar]
- Farahpour, M.R.; Pirkhezr, E.; Ashrafian, A.; Sonboli, A. Accelerated healing by topical administration of Salvia officinalis essential oil on Pseudomonas aeruginosa and Staphylococcus aureus infected wound model. Biomed. Pharmacother. 2020, 128, 110120. [Google Scholar] [CrossRef]
- Melnyk, N.; Vlasova, I.; Skowro’nska, W.; Bazylko, A.; Piwowarski, J.P.; Granica, S. Current Knowledge on Interactions of Plant Materials Traditionally Used in Skin Diseases in Poland and Ukraine with Human Skin Microbiota. Int. J. Mol. Sci. 2022, 23, 9644. [Google Scholar] [CrossRef]
- Shedoeva, A.; Leavesley, D.; Upton, Z.; Fan, C. Wound Healing and the Use of Medicinal Plants. Evid.-Based Complement. Altern. Med. 2019, 2019, 2684108. [Google Scholar] [CrossRef]
- Amanzadi, B.; Mirzaei, E.; Hassanzadeh, G.; Mahdaviani, P.; Boroumand, S.; Abdollahi, M.; Abdolghaffari, A.H.; Majidi, R.F. Chitosan-based layered nanofibers loaded with herbal extract as wound-dressing materials on wound model studies. Biointerface Res. Appl. Chem. 2019, 9, 3979–3986. [Google Scholar] [CrossRef]
- Pagar, O.B.; Nagare, H.S.; Chine, Y.M.; Autade, R.R.; Narode, P.R.; Sanklecha, V.M. Mesoporous Silica: A Review. Int. J. Pharm. Drug. Anal. 2018, 6, 1–12. [Google Scholar]
- Albayati, T.A.; AlKafajy, A.M. Mesoporous Silica MCM-41 as a Carriers Material for Nystatine Drug in Delivery System. Al-Khwarizmi Eng. J. 2019, 15, 34–43. [Google Scholar] [CrossRef]
- Wang, Y.; Sun, L.; Jiang, T.; Zhang, J.; Zhang, C.; Sun, C.; Deng, Y.; Sun, J.; Wang, S. The investigation of MCM-48-type and MCM-41-type mesoporous silica as oral solid dispersion carriers for water insoluble cilostazol. Drug Dev. Ind. Pharm. 2013, 40, 819–828. [Google Scholar] [CrossRef] [PubMed]
- Ng, E.P.; Goh, J.Y.; Ling, T.C.; Mukti, R.R. Eco-friendly synthesis for MCM-41 nanoporous materials using the non-reacted reagents in mother liquor. Nanoscale Res. Lett. 2013, 8, 120. [Google Scholar] [CrossRef] [PubMed]
- Reddy, G.K.; Enwemeka, C.S. A simplified method for the analysis of hydroxyproline in biological tissues. Clin. Biochem. 1996, 29, 225–229. [Google Scholar] [CrossRef]
- Al Tameemi, M.B.M.; Gudovan, D.; Stan, R.; Mihaiescu, D.; Ott, C. MCM-41 and Nanostructured Silica Nanotubes: A Comparison of Drug Delivery Abilities. Rom. J. Mater. 2015, 45, 188–193. [Google Scholar]
- Cancemi, P.; Aiello, A.; Accardi, G.; Caldarella, R.; Candore, G.; Caruso, C.; Ciaccio, M.; Cristaldi, L.; Di Gaudio, F.; Siino, V.; et al. The role of matrix metalloproteinase (MMP-2 and MMP-9) in ageing and longevity: Focus on Sicilian long-living individuals (LLIs). Hidawi Mediat. Inflamm. 2020, 2020, 8635158. [Google Scholar] [CrossRef]
- Cancemi, P.; Di Falco, F.; Feo, S.; Arizza, V.; Vizzino, A. The gelatinase MMP-9 like is involved in regulation of LPS inflammatory response in Ciona robusta. Fish Shellf. Immunol. 2019, 86, 213–222. [Google Scholar] [CrossRef]
- Nhavene, E.P.F.; Andrade, F.G.; Faria, J.A.Q.A.; Gomes, D.A.; Sousa, E.M.B. Biodegradable Polymers Grafted onto Multifunctional Mesoporous Silica Nanoparticles for Gene Delivery. ChemEngineering 2018, 2, 24. [Google Scholar] [CrossRef]
- Kahari, V.M.; Saarialho-Kere, U. Matrix metalloproteinases in skin. Exp. Dermatol. 1997, 6, 199–213. [Google Scholar] [CrossRef] [PubMed]
- Kerkela, E.; Saarialho-Kere, U. Matrix metalloproteinases in tumor progression: Focus on basal and squamous cell skin cancer. Exp. Dermatol. 2003, 12, 109–125. [Google Scholar] [CrossRef] [PubMed]
- Petrisor, G.; Motelica, L.; Ficai, D.; Trusca, R.D.; Surdu, V.-A.; Voicu, G.; Oprea, O.C.; Ficai, A.; Andronescu, E. New Mesoporous Silica Materials Loaded with Polyphenols: Caffeic Acid, Ferulic Acid and p-Coumaric Acid as Dietary Supplements for Oral Administration. Materials 2022, 15, 7982. [Google Scholar] [CrossRef]
- Diet, Nutrition and the Prevention of Chronic Diseases; WHO Technical Report Series; WHO: Geneva, Switzerland, 2002; Volume 916.
- Comanescu, C.; Ficai, D.; Ficai, A.; Oprea, O.; Lacatusu, I.; Guran, C. Lipase Immobilisation on New Silica-Based Supports. J. Environ. Prot. Ecol. 2012, 13, 2302–2309. [Google Scholar]
- Forestier, S.; Mascotto, R. Sun and UVA. SŐFW-J. 1999, 8, 2–6. [Google Scholar]
- Stoker, R.; Lai, A.; Peterhans, E.; Ames, B.N. Antioxidant activities of bilirubin and biliverdin. In Medical, Biochemical, and Chemical Aspects of Free Radicals; Elsevier: Amsterdam, The Netherland, 1989; pp. 465–468. [Google Scholar]
- D’ortho, M.P.; Will, H.; Atkinson, S.; Butler, G.; Messent, A.; Gavrilovic, J.; Smith, B.; Timpl, R.; Zardi, L.; Murphy, G. Membrane-Type Matrix Metalloproteinases 1 and 2 Exhibit Broad-Spectrum Proteolytic Capacities Comparable to Many Matrix Metalloproteinases. Eur. J. Biochem. 1997, 250, 751–757. [Google Scholar] [CrossRef]
- Nelson, A.R.; Fingleton, B.; Rothenberg, M.L.; Matrisian, L.M. Matrix metalloproteinases: Biologic activity and clinical implications. J. Clin. Oncol. 2000, 18, 1135–1149. [Google Scholar] [CrossRef]
- Peak, J.G.; Pilas, B.; Dudek, E.J.; Peak, M.J. DNA breaks caused bz monochromatic 365 nm utraviolet-A-radiation and their repair in human epithelioid and xeroderma pigmentosum cell. Photochem. Photobiol. 1991, 54, 197–203. [Google Scholar] [CrossRef]














| Compound Name | Concentration (g %) |
|---|---|
| Oleanolic acid | 2.41 |
| Ursolic acid | 2.15 |
| Caffeic acid | 0.0013 |
| Chlorogenic acid | 0.0084 |
| Hyperoside | 0.0104 |
Disclaimer/Publisher’s Note: The statements, opinions and data contained in all publications are solely those of the individual author(s) and contributor(s) and not of MDPI and/or the editor(s). MDPI and/or the editor(s) disclaim responsibility for any injury to people or property resulting from any ideas, methods, instructions or products referred to in the content. |
© 2023 by the authors. Licensee MDPI, Basel, Switzerland. This article is an open access article distributed under the terms and conditions of the Creative Commons Attribution (CC BY) license (https://creativecommons.org/licenses/by/4.0/).
Share and Cite
Purcăreanu, B.; Ene, M.D.; Moroșan, A.; Mihaiescu, D.E.; Florea, M.A.; Ghica, A.; Nita, R.A.; Drumea, V.; Grigoroscuta, M.A.; Kuncser, A.; et al. Mesoporous Composite Bioactive Compound Delivery System for Wound-Healing Processes. Pharmaceutics 2023, 15, 2258. https://doi.org/10.3390/pharmaceutics15092258
Purcăreanu B, Ene MD, Moroșan A, Mihaiescu DE, Florea MA, Ghica A, Nita RA, Drumea V, Grigoroscuta MA, Kuncser A, et al. Mesoporous Composite Bioactive Compound Delivery System for Wound-Healing Processes. Pharmaceutics. 2023; 15(9):2258. https://doi.org/10.3390/pharmaceutics15092258
Chicago/Turabian StylePurcăreanu, Bogdan, Manuela Diana Ene, Alina Moroșan, Dan Eduard Mihaiescu, Mihai Alexandru Florea, Adelina Ghica, Roxana Andreea Nita, Veronica Drumea, Mihai Alexandru Grigoroscuta, Andrei Kuncser, and et al. 2023. "Mesoporous Composite Bioactive Compound Delivery System for Wound-Healing Processes" Pharmaceutics 15, no. 9: 2258. https://doi.org/10.3390/pharmaceutics15092258
APA StylePurcăreanu, B., Ene, M. D., Moroșan, A., Mihaiescu, D. E., Florea, M. A., Ghica, A., Nita, R. A., Drumea, V., Grigoroscuta, M. A., Kuncser, A., Badica, P., & Olariu, L. (2023). Mesoporous Composite Bioactive Compound Delivery System for Wound-Healing Processes. Pharmaceutics, 15(9), 2258. https://doi.org/10.3390/pharmaceutics15092258

