Milk Oral Lyophilizates with Loratadine: Screening for New Excipients for Pediatric Use
Abstract
:1. Introduction
2. Materials and Methods
2.1. Materials
2.2. Preliminary Study to Investigate the Mechanical Properties of the Freeze-Dried Milk
2.3. Freeze Drying
2.4. Design of Experiments
2.5. OLs Preparation
2.6. OLs Pharmaceutical Characterization
2.6.1. Disintegration Time
2.6.2. Mechanical Characterization
2.6.3. In Vitro Dissolution
2.6.4. Particle Size Analysis of the Reconstituted Samples
2.7. Contact Angle Measurements (Wetting Properties)
2.8. Solid-State Analysis
2.8.1. X-ray Powder Diffraction Analysis (XRPD)
2.8.2. Fourier-Transform Infrared Spectroscopy (FT-IR)
2.8.3. Scanning Electron Microscopy (SEM)
3. Results and Discussion
3.1. Investigation of the Mechanical Properties of the Freeze-Dried Milk
3.2. Design of Experiments (DoE)
3.2.1. Summary of Fit
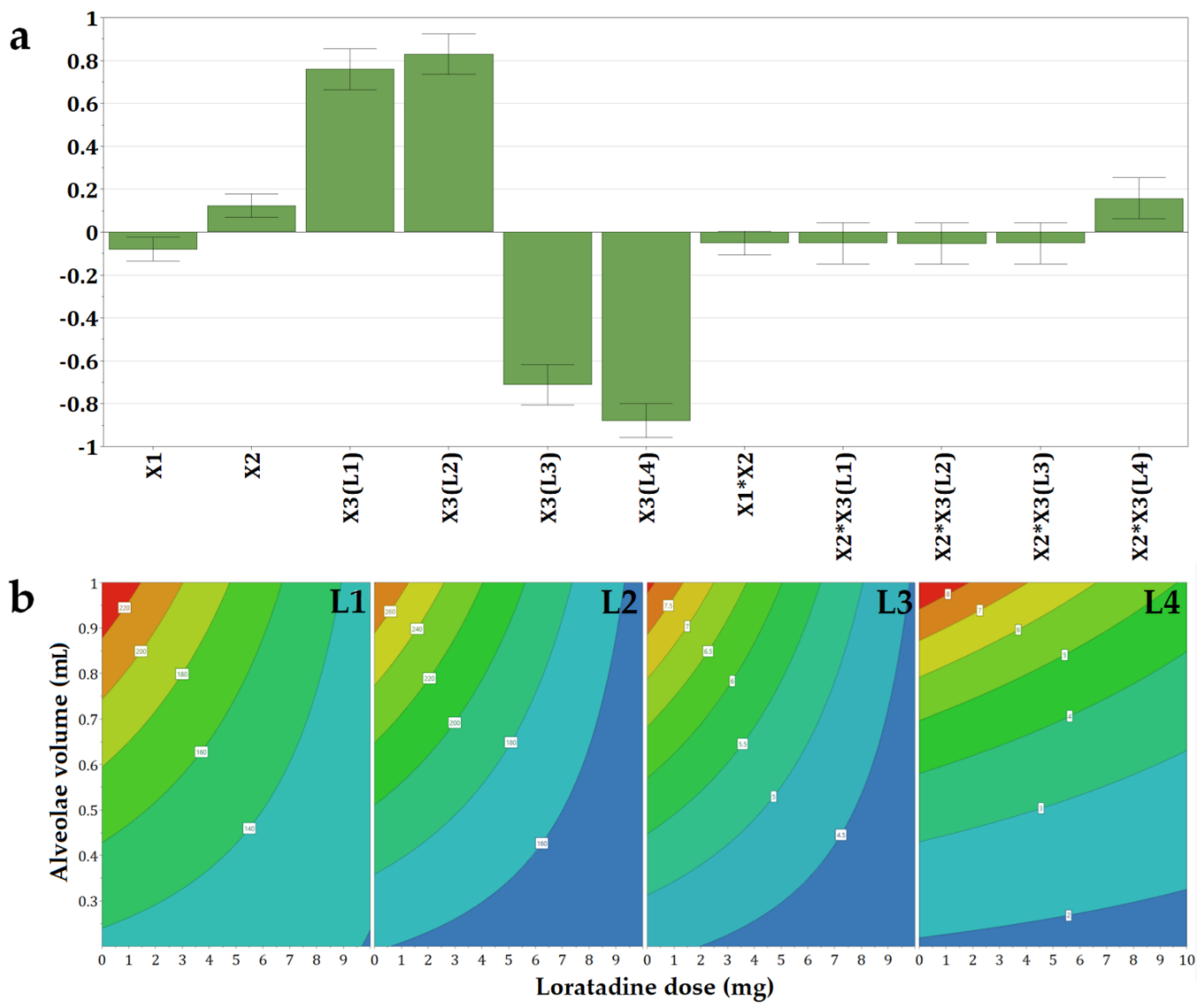
3.2.2. The Influence of Independent Variables on the Disintegration Time (Y1)
3.2.3. The Influence of Independent Variables on the Mechanical Properties (Y2–Y4)
3.2.4. The Influence of Independent Variables on the Dissolved Loratadine after 5 and 10 min (Y5, Y6)
3.2.5. The Influence of Independent Variables on Particle Size and Polydispersity Index (Y7, Y8)
3.3. DoE Conclusions
- bovine milk (L1 and L2) and large volumes of alveolae prolong disintegration, while infant formulae and high doses of API ensure rapid disintegration;
- the use of L2 milk and high-volume alveolae increase the resistance of oral lyophilizates, while high doses of loratadine and the use of L4 milk raise the structure friability;
- two types of milk simultaneously meet the criteria of fast disintegration and appropriate mechanical profile: bovine milk L1 and infant formula L3;
- high API doses and the use of L4 milk led to the highest amounts of dissolved loratadine.
3.4. Supplementary Characterization of the OLs
3.4.1. Wetting and Dissolution
3.4.2. Solid-State Analysis
3.5. Practical Implications of the Study
4. Conclusions
Supplementary Materials
Author Contributions
Funding
Institutional Review Board Statement
Informed Consent Statement
Data Availability Statement
Conflicts of Interest
References
- Strickley, R.G. Pediatric Oral Formulations: An Updated Review of Commercially Available Pediatric Oral Formulations Since 2007. J. Pharm. Sci. 2019, 108, 1335–1365. [Google Scholar] [CrossRef] [PubMed]
- Lal, M.; Lai, M.; Estrada, M.; Zhu, C. Developing a Flexible Pediatric Dosage Form for Antiretroviral Therapy: A Fast-Dissolving Tablet. J. Pharm. Sci. 2017, 106, 2173–2177. [Google Scholar] [CrossRef] [PubMed] [Green Version]
- Montero-Padilla, S.; Velaga, S.; Morales, J.O. Buccal Dosage Forms: General Considerations for Pediatric Patients. AAPS PharmSciTech 2017, 18, 273–282. [Google Scholar] [CrossRef] [PubMed]
- Walsh, J.; Schaufelberger, D.; Iurian, S.; Klein, S.; Batchelor, H.; Turner, R.; Gizurarson, S.; Boltri, L.; Alessandrini, E.; Tuleu, C. Path towards efficient paediatric formulation development based on partnering with clinical pharmacologists and clinicians, a conect4children expert group white paper. Br. J. Clin. Pharmacol. 2021. [Google Scholar] [CrossRef]
- Orubu, S.E.F.; Hobson, N.J.; Basit, A.W.; Tuleu, C. The Milky Way: Paediatric milk-based dispersible tablets prepared by direct compression-a proof-of-concept study. J. Pharm. Pharmacol. 2017, 69, 417–431. [Google Scholar] [CrossRef] [PubMed]
- Soulele, K.; Macheras, P. Milk as a medium for pediatric formulations: Experimental findings and regulatory aspects. Int. J. Pharm. 2015, 492, 344–345. [Google Scholar] [CrossRef]
- Slavkova, M.; Breitkreutz, J. Orodispersible drug formulations for children and elderly. Eur. J. Pharm. Sci. Off. J. Eur. Fed. Pharm. Sci. 2015, 75, 2–9. [Google Scholar] [CrossRef]
- Lottmann, H. Comparison of two sublingual types of desmopressin in 6-year-old and more children with primary nocturnal enuresis. About an international randomized cross-over study. Prog. En Urol. J. L’association Fr. D’urologie La Soc. Fr. D’urologie 2009, 19, 132–138. [Google Scholar] [CrossRef]
- Iurian, S.; Bogdan, C.; Tomuță, I.; Szabó-Révész, P.; Chvatal, A.; Leucuța, S.E.; Moldovan, M.; Ambrus, R. Development of oral lyophilisates containing meloxicam nanocrystals using QbD approach. Eur. J. Pharm. Sci. 2017, 104, 356–365. [Google Scholar] [CrossRef] [Green Version]
- Costa, J.S.R.; de Oliveira Cruvinel, K.; Oliveira-Nascimento, L. A mini-review on drug delivery through wafer technology: Formulation and manufacturing of buccal and oral lyophilizates. J. Adv. Res. 2019, 20, 33–41. [Google Scholar] [CrossRef]
- Iurian, S.; Tomuta, I.; Bogdan, C.; Rus, L.; Tokes, T.; Barbu-Tudoran, L.; Achim, M.; Moldovan, M.; Leucuta, S. Defining the design space for freeze-dried orodispersible tablets with meloxicam. Drug Dev. Ind. Pharm. 2016, 42, 1977–1989. [Google Scholar] [CrossRef] [PubMed]
- Vanbillemont, B.; De Beer, T. Application of polyvinyl acetate in an innovative formulation strategy for lyophilized orally disintegrating tablets. Int. J. Pharm. 2020, 588, 119717. [Google Scholar] [CrossRef]
- AlHusban, F.; Perrie, Y.; Mohammed, A.R. Formulation and characterisation of lyophilised rapid disintegrating tablets using amino acids as matrix forming agents. Eur. J. Pharm. Biopharm. Off. J. Arb. Fur Pharm. Verfahr. E.V 2010, 75, 254–262. [Google Scholar] [CrossRef] [PubMed]
- Hackl, E.; Ermolina, I. Application of Texture Analysis Technique in Formulation Development of Lyophilized Orally Disintegrating Tablets Containing Mannitol, Polyvinylpyrrolidone and Amino Acids. AAPS PharmSciTech 2019, 20, 71. [Google Scholar] [CrossRef] [PubMed]
- Casian, T.; Bogdan, C.; Tarta, D.; Moldovan, M.; Tomuta, I.; Iurian, S. Assessment of oral formulation-dependent characteristics of orodispersible tablets using texture profiles and multivariate data analysis. J. Pharm. Biomed. Anal. 2018, 152, 47–56. [Google Scholar] [CrossRef] [PubMed]
- Wollmer, E.; Neal, G.; Whitaker, M.J.; Margetson, D.; Klein, S. Biorelevant in vitro assessment of dissolution and compatibility properties of a novel paediatric hydrocortisone drug product following exposure of the drug product to child-appropriate administration fluids. Eur. J. Pharm. Biopharm. Off. J. Arb. Fur Pharm. Verfahr. E.V 2018, 133, 277–284. [Google Scholar] [CrossRef]
- Charkoftaki, G.; Kytariolos, J.; Macheras, P. Novel milk-based oral formulations: Proof of concept. Int. J. Pharm. 2010, 390, 150–159. [Google Scholar] [CrossRef]
- Kytariolos, J.; Charkoftaki, G.; Smith, J.R.; Voyiatzis, G.; Chrissanthopoulos, A.; Yannopoulos, S.N.; Fatouros, D.G.; Macheras, P. Stability and physicochemical characterization of novel milk-based oral formulations. Int. J. Pharm. 2013, 444, 128–138. [Google Scholar] [CrossRef]
- Boyd, B.J.; Salim, M.; Clulow, A.J.; Ramirez, G.; Pham, A.C.; Hawley, A. The impact of digestion is essential to the understanding of milk as a drug delivery system for poorly water soluble drugs. J. Control. Release Off. J. Control. Release Soc. 2018, 292, 13–17. [Google Scholar] [CrossRef]
- Binte Abu Bakar, S.Y.; Salim, M.; Clulow, A.J.; Hawley, A.; Boyd, B.J. Revisiting dispersible milk-drug tablets as a solid lipid formulation in the context of digestion. Int. J. Pharm. 2019, 554, 179–189. [Google Scholar] [CrossRef]
- Aguiar, J.P.; Fernandes, T.A.P.; Nese, C.; Fernandes, A.I.; Pinto, J.F. Production and characterization of spray-dried theophylline powders prepared from fresh milk for potential use in paediatrics. J. Pharm. Pharmacol. 2017, 69, 554–566. [Google Scholar] [CrossRef] [PubMed] [Green Version]
- Nese, C.; Palugan, L.; Cerea, M.; Pinto, J.F. Preparation and characterization of a powder manufactured by spray drying milk based formulations for the delivery of theophylline for pediatric use. Int. J. Pharm. 2020, 580, 119227. [Google Scholar] [CrossRef] [PubMed]
- Pinto, J.T.; Brachkova, M.I.; Fernandes, A.I.; Pinto, J.F. Evaluation of the ability of powdered milk to produce minitablets containing paracetamol for the paediatric population. Chem. Eng. Res. Des. 2016, 110, 171–182. [Google Scholar] [CrossRef] [Green Version]
- Salim, M.; Eason, T.; Boyd, B.J. Opportunities for milk and milk-related systems as ‘new’ low-cost excipient drug delivery materials. Adv. Drug Deliv. Rev. 2022, 183, 114139. [Google Scholar] [CrossRef]
- Aalaei, K.; Rayner, M.; Tareke, E.; Sjöholm, I. Application of a dye-binding method for the determination of available lysine in skim milk powders. Food Chem. 2016, 196, 815–820. [Google Scholar] [CrossRef]
- WHO Model List of Essential Medicines for Children-8th List. Available online: https://www.who.int/publications/i/item/WHO-MHP-HPS-EML-2021.03 (accessed on 14 June 2022).
- Gavan, A.; Iurian, S.; Casian, T.; Porfire, A.; Porav, S.; Voina, I.; Oprea, A.; Tomuta, I. Fluidised bed granulation of two APIs: QbD approach and development of a NIR in-line monitoring method. Asian J. Pharm. Sci. 2020, 15, 506–517. [Google Scholar] [CrossRef]
- European Pharmacopoeia 10.7 Online Edition. Available online: https://pheur.edqm.eu/subhome/10-7 (accessed on 16 May 2022).
- Hackl, E.V.; Ermolina, I. Using Texture Analysis Technique to Assess the Freeze-Dried Cakes in Vials. J. Pharm. Sci. 2016, 105, 2073–2085. [Google Scholar] [CrossRef]
- Casian, T.; Iurian, S.; Bogdan, C.; Rus, L.; Moldovan, M.; Tomuta, I. QbD for pediatric oral lyophilisates development: Risk assessment followed by screening and optimization. Drug Dev. Ind. Pharm. 2017, 43, 1932–1944. [Google Scholar] [CrossRef]
- Schuster, J.M.; Schvezov, C.E.; Rosenberger, M.R. Analysis of the Results of Surface Free Energy Measurement of Ti6Al4V by Different Methods. Procedia Mater. Sci. 2015, 8, 732–741. [Google Scholar] [CrossRef] [Green Version]
- Vanbillemont, B.; Everaert, H.; De Beer, T. New advances in the characterization of lyophilised orally disintegrating tablets. Int. J. Pharm. 2020, 579, 119153. [Google Scholar] [CrossRef]
- Loratadina-Rezumat Caracteristici Produs. Available online: https://www.anm.ro/_/_RCP/RCP_11020_12.10.18.pdf (accessed on 14 June 2022).
- Wei, W.; Jin, Q.; Wang, X. Human milk fat substitutes: Past achievements and current trends. Prog. Lipid Res. 2019, 74, 69–86. [Google Scholar] [CrossRef] [PubMed]
- Masum, A.K.M.; Chandrapala, J.; Adhikari, B.; Huppertz, T.; Zisu, B. Effect of lactose-to-maltodextrin ratio on emulsion stability and physicochemical properties of spray-dried infant milk formula powders. J. Food Eng. 2019, 254, 34–41. [Google Scholar] [CrossRef]
- Hammes, M.V.; Englert, A.H.; Noreña, C.P.Z.; Cardozo, N.S.M. Study of the influence of soy lecithin addition on the wettability of buffalo milk powder obtained by spray drying. Powder Technol. 2015, 277, 237–243. [Google Scholar] [CrossRef]
- Gugulothu, D.; Desai, P.; Pandharipande, P.; Patravale, V. Freeze drying: Exploring potential in development of orodispersible tablets of sumatriptan succinate. Drug Dev. Ind. Pharm. 2015, 41, 398–405. [Google Scholar] [CrossRef]
- Mistry, P.; Batchelor, H. Evidence of acceptability of oral paediatric medicines: A review. J. Pharm. Pharmacol. 2017, 69, 361–376. [Google Scholar] [CrossRef] [Green Version]
- Frizon, F.; de Oliveira Eloy, J.; Donaduzzi, C.M.; Mitsui, M.L.; Marchetti, J.M. Dissolution rate enhancement of loratadine in polyvinylpyrrolidone K-30 solid dispersions by solvent methods. Powder Technol. 2013, 235, 532–539. [Google Scholar] [CrossRef]
- Li, H.; Tan, Y.; Yang, L.; Gao, L.; Wang, T.; Yang, X.; Quan, D. Dissolution evaluation in vitro and bioavailability in vivo of self-microemulsifying drug delivery systems for pH-sensitive drug loratadine. J. Microencapsul. 2015, 32, 175–180. [Google Scholar] [CrossRef]
- Kapote, D.N.; Wagner, K.G. Influence of shellac on the improvement of solubility and supersaturation of loratadine amorphous solid dispersion using a new grade of HPMC. J. Drug Deliv. Sci. Technol. 2021, 61, 102116. [Google Scholar] [CrossRef]
- Emami, M.S.; Haghshenasfard, M.; Zarghami, R.; Sadeghi, R.; Esfahany, M.N. Experimental study on the reduction of loratadine particle size through confined liquid impinging jets. Int. J. Pharm. 2020, 587, 119668. [Google Scholar] [CrossRef]
- Ambrus, R.; Alshweiat, A.; Csóka, I.; Ovari, G.; Esmail, A.; Radacsi, N. 3D-printed electrospinning setup for the preparation of loratadine nanofibers with enhanced physicochemical properties. Int. J. Pharm. 2019, 567, 118455. [Google Scholar] [CrossRef] [Green Version]
- Milk Allergy. Available online: https://www.foodallergy.org/living-food-allergies/food-allergy-essentials/common-allergens/milk (accessed on 24 April 2022).
- Kamal, S.S.; Kaur, D.; Singh, S.; Sharma, A.; Katual, M.K.; Garg, A.K.; Kumar, R. An Investigative and Explanatory Review on Use of Milk as a Broad-Spectrum Drug Carrier for Improvement of Bioavailability and Patient Compliance. J. Young Pharm. 2016, 8, 72. [Google Scholar] [CrossRef] [Green Version]









| L1 | L2 | L3 | L4 | |
|---|---|---|---|---|
| Proteins (g/100 mL) | 3.1 | 3 | 1.27 | 1.2 |
| Fat (g/100 mL) | 1.5 | 3.5 | 3.4 | 3.6 |
| 1 | 2.4 | 0.96 | 0.8 |
| n.s. | n.s. | - | 1.8 |
acids (g/100 mL) | n.s. | n.s. | - | 0.6 |
| Carbohydrates (g/100 mL) | 4.5 | 4.5 | 5.13 | 7.4 |
| Experiment Name | Run Order | Loratadine Dose (X1) | Alveolae Volume (X2) | Milk Type (X3) |
|---|---|---|---|---|
| N1 | 4 | 0 | 0.2 | L1 |
| N2 | 16 | 10 | 0.2 | L1 |
| N3 | 19 | 0 | 1 | L1 |
| N4 | 15 | 10 | 1 | L1 |
| N5 | 14 | 0 | 0.2 | L2 |
| N6 | 11 | 10 | 0.2 | L2 |
| N7 | 8 | 0 | 1 | L2 |
| N8 | 18 | 10 | 1 | L2 |
| N9 | 10 | 0 | 0.2 | L3 |
| N10 | 13 | 10 | 0.2 | L3 |
| N11 | 9 | 0 | 1 | L3 |
| N12 | 6 | 10 | 1 | L3 |
| N13 | 7 | 0 | 0.2 | L4 |
| N14 | 5 | 10 | 0.2 | L4 |
| N15 | 3 | 0 | 1 | L4 |
| N16 | 2 | 10 | 1 | L4 |
| N17 | 12 | 5 | 0.5 | L4 |
| N18 | 1 | 5 | 0.5 | L4 |
| N19 | 17 | 5 | 0.5 | L4 |
| Alveolae Volume | 0.2 mL | 0.5 mL | 1 mL |
|---|---|---|---|
| Aspect | ![]() | ||
| Diameter (mm) | 8.40 ± 0.35 | 11.82 ± 0.15 | 14.14 ± 0.85 |
| Thickness (mm) | 2.73 ± 0.19 | 4.02 ± 0.28 | 5.03 ± 0.24 |
| Weight (g) | 0.023 ± 0.002 | 0.056 ± 0.005 | 0.115 ± 0.010 |
| Response | R2 | Q2 | Validity | Reproducibility | ANOVA Regression | ANOVA Lack of Fit |
|---|---|---|---|---|---|---|
| Y1 | 0.993 | 0.982 | 0.756 | 0.992 | 0.000 | 0.378 |
| Y2 | 0.927 | 0.899 | 0.501 | 0.983 | 0.000 | 0.136 |
| Y3 | 0.871 | 0.779 | 0.640 | 0.944 | 0.000 | 0.237 |
| Y4 | 0.798 | 0.555 | 0.720 | 0.862 | 0.001 | 0.326 |
| Y5 | 0.671 | 0.431 | 0.300 | 0.966 | 0.007 | 0.061 |
| Y6 | 0.780 | 0.618 | 0.435 | 0.960 | 0.001 | 0.105 |
| Y7 | 0.822 | 0.574 | 0.642 | 0.922 | 0.000 | 0.240 |
| Y8 | 0.888 | 0.621 | 0.972 | 0.568 | 0.001 | 0.895 |
| Code | L1_5 mg_0.5 mL | L1_10 mg_0.5 mL | L13_10 mg_0.5 mL | |||||||
|---|---|---|---|---|---|---|---|---|---|---|
| Formulation factors | X1 | 5 | 10 | 10 | ||||||
| X2 | 0.5 | 0.5 | 0.5 | |||||||
| X3 | L1 | L1 | L3 | |||||||
| Predicted | Actual | Residual | Predicted | Actual | Residual | Predicted | Actual | Residual | ||
| Responses | Y1 | 144.35 | 103.13 ± 22.57 | −44.22 | 123.76 | 83.61 ± 16.28 | −40.15 | 4.20 | 3.91 ± 0.45 | −0.29 |
| Y2 | 1339.45 | 523.3 ± 160.20 | −816.15 | 592.91 | 537.5 ± 100.03 | −55.41 | 520.91 | 518.3 ± 20.70 | −2.61 | |
| Y3 | 700.70 | 122.2 ± 37.4 | −578.5 | 223.70 | 118.3 ± 25.12 | −105.4 | 196.99 | 127.00 ± 3.49 | −69.99 | |
| Y4 | 675.98 | 100 ± 38.4 | −575.98 | 323.25 | 158.4 ± 50.17 | −164.85 | 138.21 | 89.8 ± 5.84 | −48.41 | |
| Y5 | 28.05 | 31.40 ± 1.07 | 3.35 | 55.46 | 53.26 ± 7.08 | −2.2 | 64.79 | 60.58 ± 4.11 | −4.21 | |
| Y6 | 34.68 | 47.79 ± 1.78 | 13.11 | 70.64 | 75.76 ± 11.36 | 5.12 | 77.12 | 89.09 ± 1.06 | 11.97 | |
| Y7 | 359.14 | 355.07 ± 11.40 | −4.07 | 386.79 | 390.90 ± 14.79 | 4.11 | 626.75 | 548.90 ± 3.48 | −77.85 | |
| Y8 | 0.375 | 0.370 ± 0.036 | −0.005 | 0.463 | 0.453 ± 0.045 | −0.01 | 0.385 | 0.327 ± 0.014 | −0.058 | |
| ΘWater [°] | ΘDiiodomethane [˚] | γ [mN m−1] | Polarity [%] | |
|---|---|---|---|---|
| Loratadine | 72.75 | 13.2 | 55.54 | 18.47 |
| L1_5 mg_0.5 mL | 71.46 | 1 | 57.14 | 18.62 |
| L1_10 mg_0.5 mL | 71.76 | 15 | 55.65 | 19.35 |
| L13_10 mg_0.5 mL | 1 | 10.2 | 82.22 | 45.16 |
Publisher’s Note: MDPI stays neutral with regard to jurisdictional claims in published maps and institutional affiliations. |
© 2022 by the authors. Licensee MDPI, Basel, Switzerland. This article is an open access article distributed under the terms and conditions of the Creative Commons Attribution (CC BY) license (https://creativecommons.org/licenses/by/4.0/).
Share and Cite
Iurian, S.; Bogdan, C.; Suciu, Ș.; Muntean, D.-M.; Rus, L.; Berindeie, M.; Bodi, S.; Ambrus, R.; Tomuță, I. Milk Oral Lyophilizates with Loratadine: Screening for New Excipients for Pediatric Use. Pharmaceutics 2022, 14, 1342. https://doi.org/10.3390/pharmaceutics14071342
Iurian S, Bogdan C, Suciu Ș, Muntean D-M, Rus L, Berindeie M, Bodi S, Ambrus R, Tomuță I. Milk Oral Lyophilizates with Loratadine: Screening for New Excipients for Pediatric Use. Pharmaceutics. 2022; 14(7):1342. https://doi.org/10.3390/pharmaceutics14071342
Chicago/Turabian StyleIurian, Sonia, Cătălina Bogdan, Ștefana Suciu, Dana-Maria Muntean, Lucia Rus, Mihaela Berindeie, Szidonia Bodi, Rita Ambrus, and Ioan Tomuță. 2022. "Milk Oral Lyophilizates with Loratadine: Screening for New Excipients for Pediatric Use" Pharmaceutics 14, no. 7: 1342. https://doi.org/10.3390/pharmaceutics14071342
APA StyleIurian, S., Bogdan, C., Suciu, Ș., Muntean, D.-M., Rus, L., Berindeie, M., Bodi, S., Ambrus, R., & Tomuță, I. (2022). Milk Oral Lyophilizates with Loratadine: Screening for New Excipients for Pediatric Use. Pharmaceutics, 14(7), 1342. https://doi.org/10.3390/pharmaceutics14071342


