Abstract
In recent years, the use of messenger RNA (mRNA) in the fields of gene therapy, immunotherapy, and stem cell biomedicine has received extensive attention. With the development of scientific technology, mRNA applications for tumor treatment have matured. Since the SARS-CoV-2 infection outbreak in 2019, the development of engineered mRNA and mRNA vaccines has accelerated rapidly. mRNA is easy to produce, scalable, modifiable, and not integrated into the host genome, showing tremendous potential for cancer gene therapy and immunotherapy when used in combination with traditional strategies. The core mechanism of mRNA therapy is vehicle-based delivery of in vitro transcribed mRNA (IVT mRNA), which is large, negatively charged, and easily degradable, into the cytoplasm and subsequent expression of the corresponding proteins. However, effectively delivering mRNA into cells and successfully activating the immune response are the keys to the clinical transformation of mRNA therapy. In this review, we focus on nonviral nanodelivery systems of mRNA vaccines used for cancer gene therapy and immunotherapy.
1. Introduction
Cancer continues to be a leading global health problem. According to the World Health Organization (WHO), nearly 10 million people died of cancer in 2020, and 7/10 of these people resided in low-income and middle-income countries. It has been estimated that by 2025, nearly 20 million new cancer cases will be diagnosed each year [].
To date, four major strategies are applied to cancer therapy, including surgery, chemotherapy, radiotherapy, and biotherapy. Biotherapy is an emerging cancer treatment modality that shows significant curative effects, which includes targeted biomolecular drugs and cancer vaccines. The first cancer vaccine was used in 1976, when Morales treated superficial bladder tumors through the vesical and intradermal administration of the Bacillus Calmette–Guerin vaccine, which led to favorable outcomes for nine patients []. After decades of effort, the FDA approved the first therapeutic cancer vaccine, Sipuleucel-T (Provenge), which shows efficacy in the treatment of prostate cancer []. Currently, the field of cancer vaccines is booming, with a number of potential vaccines under various phases of clinical trials.
Cancer vaccines can be roughly categorized into three types on the basis of the components that trigger the immune system: traditional inactivated tumor cell-based vaccines, synthesized peptide- or protein-based vaccines, and nucleic acid (DNA and mRNA)-based vaccines. Compared with traditional vaccines, nucleic acid-based vaccines have the advantages of a shorter production cycle, easier industrialization, and relatively low prices []. However, scientists have discovered that DNA vaccines may integrate into the host genome [], resulting in insertion mutations, which is the first step towards cancer mutation, ironically. In contrast, mRNA vaccines exert their function in the cytoplasm, which makes them safer []. Moreover, the functionality of DNA-based vaccines depends on nuclear envelope breakdown during cell division, while mRNAs can be translated into functional proteins at any point in the cell cycle []. In addition, since most viruses have RNA rather than DNA genomes, mRNA is more easy to induce an immune response than DNA []. However, this feature of mRNA was once considered to be a trigger for inflammation due to an excessive immune response, but fortunately, scientists developed strategies to balance this immune response. Therefore, mRNA vaccine technology is promising for use in creating a potential cancer vaccine. On the basis of differences between antigen-carrying vectors, cancer vaccines can be classified into four major types: cell-based vaccines (with dendritic cells (DCs) or T cells), virus-based vaccines, bacteria-based vaccines, and molecular vaccines. The first cancer vaccine approved by the FDA was a DC-based vaccine []. In this review, we focus on mRNA vaccine functions in cancer therapy, including mRNA delivery into immune cells in vitro with subsequent infusion into patients and direct transfection of mRNA with molecular vectors into target cells.
An examination into mRNA vaccine development history shows that a half century passed from the discovery of mRNA to the clinical application of mRNA vaccines (Figure 1). mRNA was first conceptualized by Jacques Monod and François Jacob and then was demonstrated by Jacob, Sydney Brenner, and Matthew Meselson at California Institute of Technology in 1961. In 1978, Dimitriadis successfully transfected exogenous mRNA into mouse lymphocytes with liposomes []. In the same year, Ostro et al. transfected mRNA into human cells []. In 1984, Krieg injected biologically active mRNA, synthesized in a laboratory from promoter-containing plasmids, into frog eggs, revealing that the laboratory-made mRNA functioned similar to the endogenous one []. Malone et al. first proposed the concept of an mRNA vaccine in 1989 [], approximately the same time that the cationic lipid-mediated mRNA delivery system lipofectin was commercialized. In 1995, the first cancer immunotherapy study was performed, in which scientists attempted to inject mRNA-encoded cancer antigens into the body to train the immune system to attack cancer cells [], and this technique was first applied to humans in 2009 []. In 2011, transcription activator-like effector nuclease (TALEN) technology was developed for use in gene editing [], providing powerful tools for mRNA engineering. Moreover, the outbreak of SARS-COV-2 since 2019 accelerated the development of mRNA vaccines. On 11 December 2020, the Pfizer-BioNTech vaccine BNT162b2 received emergency authorization from the FDA and became the first mRNA drug approved for use in humans [].

Figure 1.
The history of the development of mRNA vaccine.
Notably, the application of mRNA is limited by instability, innate immunogenicity, and low delivery efficiency in vivo. To overcome these hurdles, appropriate mRNA structural modifications and efficient delivery systems have been studied. Traditional physical systems, such as electroporation (EP) and gene gun, are harmful to cells [,]. Viruses are efficacious in delivering mRNA into cells; however, they are not sufficiently safe because they might integrate into the host genome []. To balance safety and efficiency, multiple nonviral nanodelivery systems have been developed, including lipid nanoparticles (LNPs), polymers, hybrid NPs, peptides, gold nanoparticle (AuNP)–DNA conjugates, and mRNA-loaded exosomes, all of which show distinct advantages. A comparison of the advantages and disadvantages between viral and nonviral vectors is presented in Table 1.

Table 1.
Advantages and disadvantages of viral and nonviral vectors.
In this review, we focus on key nonviral nanodelivery systems of mRNA vaccines for cancer gene therapy with an emphasis on the materials, mechanisms, advantages, and limitations of each strategy. Moreover, principles for designing and modifying mRNA to improve its stability are summarized. Finally, we discuss the challenges and future perspectives of mRNA-based cancer vaccines. On the other hand, in this review, we systematically compile the nonviral nanodelivery systems currently used in mRNA vaccines with analysis of their advantages and disadvantages, which may help future mRNA vaccine development on vector selecting. In addition, we also comprehensively list the mRNA cancer vaccines in various clinical trials, providing some updated information.
2. Major Types of mRNA Vaccine
mRNA vaccines can be categorized into two main types: self-amplifying mRNA (saRNA) vaccines and nonreplicating mRNA (also called conventional mRNA) vaccines. Both RNA types feature five basic elements of mRNA: a 5ʹ cap, a 5ʹ untranslated region (UTR), an open reading frame (ORF) that encodes an antigen, a 3ʹ UTR, and a poly(A) tail (Figure 2a). In addition to these five elements, a saRNA has a gene sequence encoding the RNA replicase complex (Figure 2b).

Figure 2.
Key structures of in vitro transcribed mRNA (IVT mRNA). (a) Conventional mRNA is composed of a 5′ cap, a 5′ untranslated region (UTR), an open reading frame (ORF), a 3′ UTR, and a 3′ poly(A) tail. (b) Self-amplifying mRNA includes a 5′ cap, a 5′ UTR, an ORF, a 3′ UTR, a 3′ poly(A) tail, and an additional alphavirus sequence encoding nonstructural proteins (nsPs).
2.1. Conventional mRNA Vaccine
Conventional mRNA has a relatively small size, with 1000–5000 nucleotides [], which leads to easier and more effective mRNA encapsulation. Liang et al. demonstrated that a conventional mRNA-based vaccine can effectively induce both innate immunity and adaptive responses []. However, nonreplicating mRNA leads to only transient protein expression, and therefore, to achieve effective therapeutic effects, a higher dose of vaccine is required [].
2.2. Self-Amplifying mRNA Vaccine
Compared with conventional mRNA, saRNA is larger, with 9000–12,000 nucleotides, since an additional alphavirus-derived coding sequence is included; this ORF encodes four nonstructural proteins (nsPs), which can converge to form RNA replicases [], driving the amplification of the mRNA-encoded antigen []. Compared with the conventional mRNA vaccine, the saRNA vaccine can induce more effective and durable antigen protein expression, which addresses the transient expression that limits conventional mRNA therapeutics []. By comparing the capacities of different vaccines to protect mice against influenza, Vogel et al. demonstrated that a saRNA vaccine shows efficiency equivalent efficiency to that of mRNA vaccines but at a much lower dose, indicating that saRNA is a promising platform for future vaccines [].
3. The Core Mechanism of mRNA Vaccines for Cancer Therapy
The core component of cancer vaccines is an in vitro transcribed mRNA (IVT mRNA), a single-stranded polynucleotide with the same structure and biological activity as endogenous mRNA. The IVT mRNA can encode a tumor-associated antigen (TAA) or tumor-specific antigen (TSA). TAAs are highly expressed in proliferating tumor cells, and normal cells also synthesize small amounts of TAAs. However, vaccines based on TAAs may cause unwanted immune responses in normal tissues []. TSAs, also called neoantigens, are expressed only in tumor cells but not in normal cells at any stage []. Despite that there are some differences between TAA and TSA mRNA vaccines, the core mechanisms by which they treat cancer are the same.
mRNAs loaded into various vehicles enter antigen-presenting cells (APCs) and follow the conventional endocytic route, trafficking into early endosomes and then to late endosomes, from which they are ultimately recycled, cleared from cells through exocytosis [], or trafficked into lysosomes, where the mRNA is enzymatically degraded []. However, only a small fraction of these mRNA-loaded vectors can escape endosomes and release mRNA in the cytoplasm, which is called endosomal escape, while its specific mechanism is still not clear. When mRNA is released into the cytoplasm, it will induce both the innate immunity and adaptive immunity in two different ways (Figure 3).

Figure 3.
Mechanism of mRNA vaccine cancer therapy. Both conventional mRNAs and self-amplifying mRNAs (saRNAs) encoding antigen proteins are encapsulated in NPs and delivered into cells through the cell membrane. Then, they are trafficked into the endosomes. Only a small fraction of these mRNA-containing NPs escape endosomes and are released into the cytoplasm. Conventional mRNA is sensed by the cell and translated through ribosomes into antigen proteins that can induce an immune response. saRNA undergoes self-amplification that is facilitated by nonstructural proteins (nsPs), leading to the translation of more mRNAs.
On the one hand, mRNAs with pathogen-associated molecular patterns (PAMPs) would be recognized as foreign RNA by specific pattern recognition receptors (PRRs) [], including Toll-like receptors (TLRs), retinoic acid-inducible gene-I (RIG-I)-like receptors (RLRs), and some newly discovered sensors, such as RNA helicases, heterogeneous nuclear ribonucleoproteins (hnRNPs), and ZBP1, stimulating innate immune response []. Endosome-residing TLRs, which identify foreign mRNA before other PRRs, activate some transcription factors; then, these activated transcription factors are translocated into the nucleus to drive the expression of proinflammatory cytokines and type I and III interferons (IFNs). Similarly, RLRs, which are primarily located in the cytoplasm with a small portion located in the nucleus [], exert the same effects as cytoplasm-residing TLRs []. Ultimately, a proinflammatory microenvironment is formed, which induces type 1 helper T cell (TH1-type) immune responses while suppressing TH2-type functions [].
On the other hand, mRNA can be translated into functional antigen proteins with ribosomes; then it is broken down into small peptide fragments by the proteasome complex or secreted out of the cell. Intracellular peptide fragments are displayed on the cell surface by type I major histocompatibility complex (MHC-I) proteins, which can be recognized by cytotoxic CD8+ T lymphocytes (CTLs). Secreted antigen proteins endocytosed and fragmented by APCs, especially DCs, are presented by MHC class II molecules to CD4+ TH cells. All nucleated cells can potentially process mRNAs and present peptide fragments through MHC-I molecules, but only APCs can present antigens through MHC-I and MHC-II molecules [].
In addition, both the activated CD4+ TH cells and innate immunity can stimulate the activation of CTLs through the production of inflammatory cytokines; then, abundant CTLs are activated to kill tumor cells, thereby contributing to cancer therapy [,].
4. The Principles of mRNA Vaccine Design and Modification
mRNA-based vaccines show tremendous potential in the field of cancer therapy. However, because of the easy biodegradability and intrinsic immunogenicity of IVT mRNA, the clinical translation of mRNA vaccines is hindered. Rapid mRNA degradation reduces the efficiency of translation in vivo, leading to a low vaccine titer. The intrinsic immunogenicity has been demonstrated to severely compromise the expression of the desired proteins and mRNA stability by inducing robust type I IFN responses [] and programmed cell death mediated by substantial overexpression of caspase-1 []; however, immunogenicity simultaneously contributes to a positive immune response []. To make the mRNA vaccine more efficient, we need to modify the structure and sequence of IVT mRNA to enhance its stability and maintain a moderate immunogenicity.
4.1. The 5′-Cap
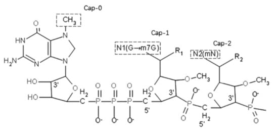
Discovered in the 1970s, the 5′-cap structure (m7G5′ppp5′N), composed of a 7-methylguanosine nucleoside and a terminal nucleotide linked through a triphosphate bridge in the 5′-mRNA, confers IVT mRNA stability and translation efficiency []. There are three major types of 5′-cap structures, including type O, type I, and type II, which are classified according to whether there is a methylated ribose on the 2′ hydroxyl group of the first or second nucleotide from the 5′ end [] (Figure 4). The 5′-cap structures not only prevent IVT mRNA from being degraded by enzymes, such as alkaline phosphatase (AKP) and 5′ to 3′ exonuclease [], but also can promote protein biosynthesis by forming starting complexes with the translation initiation factors eIF4E and eIF4G [,]. Moreover, the direction of the 5′-cap is very important, as indicated by a previous study demonstrating that mRNA with an inverted cap shows profoundly decreased translation efficiency []. Therefore, a 5′-cap oriented in the correct direction is an essential structure in IVT mRNA design. In addition, recent studies have shown that cap modifications can optimize IVT mRNA. For example, Dulmen et al. reported that mRNA carrying a propargyl group at the N6-position of adenosine showed consistent translational efficiency and induced a moderate increase in the immune response [].

Figure 4.
The structure of the 5′-cap (cited from []). The first nucleoside in the 5′-cap is usually composed of a guanine methylated at the seventh position and a ribosome (m7G). m7G is connected to the terminal nucleotide of the mRNA through a phosphate bond. The following first or second nucleotide can also be methylated at the 2′ hydroxyl group of the ribose. Type O (m7G5′ppp5′Np) has an unmethylated ribose; type I (m7G5′ppp5′NmpNp) has a methylated ribose in the first nucleotide at the terminus; and in type II (m7G5′ppp5′NmpNmp), both nucleotides are methylated.
4.2. The 5′-UTR
The 5′-UTR is a noncoding region, but it can help mRNA bind to ribosomes []. Early research suggested that the secondary structure of the 5′-UTR can inhibit mRNA translation, whose symbol is a high GC content [,]. Therefore, IVT mRNAs need to be designed without GC-enriched 5′-UTRs. Moreover, the 5′-UTR should be short and loose to allow small-molecule ribosomes to bind to the initial coding element []. In addition, start codons (AUGs) should be avoided in the design of 5′-UTR because they can disrupt ORF translation []. Recently, Jia et al. found that adenine nucleotide(A)-rich elements in 5′-UTRs destabilize untranslated mRNAs, although they enable cap-independent translation [].
4.3. The ORF
As the antigen-protein-encoding region, the translation efficiency of ORF is crucial. An early study showed that there is no direct relationship between the length of the ORF and translation efficiency []. Some studies demonstrated that GC-rich ORFs showed higher translation efficiency, even though GC-rich sequences may lead to secondary structure formation [,]. Codon optimization can also be employed. For example, changing rare codons into common ones in the host without changing the amino acid sequence of the encoded protein can increase the protein expression level [,]. In addition, IVT mRNA with modified nucleosides is better, because unmodified single-stranded RNA, the indication of a viral infection, can be recognized by the immune system, resulting in fast mRNA decay. For example, compared with unmodified mRNA, mRNA with pseudouridine (Ψ) produced more proteins by diminishing PKR activation [,]. Another study showed that IVT mRNA in which modified nucleosides such as m5C, m6A, m5U, s2U, or pseuduridine were incorporated, induced an attenuated innate immune response, protecting the mRNA from clearance []. Recently, Verbeke et al. used nucleoside-modified mRNA (m5C and Ψ) with TLR agonists in cancer therapy, inducing a high degree of T cell immunity without inducing a high level of type I IFN expression [].
4.4. The 3′-UTR
A previous study demonstrated that the length of the 3′-UTR plays an important role in the characteristics of the mRNA, with a longer 3′-UTR exhibiting a shorter half-life and higher efficient translation []. In addition, a GU- or AU-rich element can activate rapid IVT mRNA decay [,], which is to be avoided. Scientists developed a technology to use alpha-globin and beta-globin 3′-UTRs, which can confer stability on heterologous mRNA in cells [,]. Moreover, by performing cellular library screening, Orlandini et al. discovered AES-mtRNR1- and mtRNR1-AES-based 3′-UTRs that can increase the stability of IVT mRNA to enhance the total protein expression, comparable to that of the broadly used human beta-globin 3′-UTR [].
4.5. The 3′-poly(A) Tail
The 3′-poly(A) tail, a sequence absolutely required for mRNA, can increase stability and translation efficiency for mRNA. Early research found that the function of the poly(A) tail may be associated with mRNA breakdown in the cytoplasm []. Later, scientists showed that the length of the poly(A) tail is proportional to translation efficiency [,,]. However, a recent study reported that a short tail is a feature of abundant and well-translated mRNAs across eukaryotes []. In summary, in an IVT mRNA design, the 3′-poly(A) tail is essential, but the length should vary to endow different mRNAs with an effective translation capacity, which means that there is no universally optimal length of 3′-poly(A) for mRNAs.
6. Clinical mRNA Vaccines for Cancer Therapy
mRNA vaccine studies have been performed for decades with the aim of developing cancer therapy. With the development of nanotechnology, the mRNA vaccine field is maturing. Currently, it is incorporated into mainstream research directions for cancer gene therapy. A large number of mRNA cancer vaccines have been completed or are in clinical trials. To date, two basic kinds of mRNA cancer vaccines are being studied for clinical application. In one type, mRNA is transfected into DCs in vitro and reinfuses the mRNA-loaded DCs into the body; in the other type, mRNA in a delivery system is directly injected in vivo. Both strategies show feasibility and tremendous potential for use with mRNA vaccines applied to cancer therapy, as demonstrated in many studies. In this section, we most focus on the clinical and preclinical trials of these mRNA cancer vaccines, which can be found on the website at https://clinicaltrials.gov.
6.1. mRNA Cancer Vaccines Based on the Transfection of DCs In Vitro
Dendritic cells (DCs) are the most efficient APCs and are powerful tools used for stimulating the immune system since they can easily capture, process, and present antigens to T cells, thus readily eliciting TH and killer T cells []. For DC-based mRNA cancer vaccines, DCs are extracted from the patient’s peripheral blood. Then, granulocyte-macrophage colony-stimulating factor (GM-CSF) and interleukin-4 (IL-4) are used to stimulate the differentiation and maturation of the DCs. Next, IVT mRNAs encoding tumor antigens are transfected by electric pulse or other delivery approaches in vitro. Finally, the mRNA-loaded DCs are reinfused into the patient, thus stimulating the immune system to attack cancer cells []. To date, the most DC-based mRNA cancer vaccine transfected the antigen-encoding IVT mRNA into DCs by EP, although it has been demonstrated that using delivery systems, such as LNPs and polymers, can greatly increase the transfection efficiency of naked mRNA [].
An early study demonstrated that this strategy of DC-based mRNA vaccines is an effective and safe way to induce CTLs and tumor immunity, thus expanding the potential application of DC-based mRNA vaccines to patients bearing small tumors []. Moreover, Zhang et al. demonstrated that neoantigen-pulsed DC vaccines were superior to neoantigen-adjuvant vaccines in both activating immune responses and inhibiting tumor growth with the same antigen [], indicating that DC-based mRNA vaccines show obvious therapeutic advantages over direct injection. There are many completed or active clinical trials with positive results, further proving the effectiveness of mRNA vaccines for cancer therapy. For example, Batich et al. recently used a pp65 mRNA-pulsed DC vaccine admixed with GM-CSF to treat 11 patients with newly diagnosed glioblastoma after they received dose-intensified temozolomide (DI-TMZ). The results of this clinical trial (NCT00639639) showed that patients receiving the pp65-mRNA-loaded DC vaccine had long-term progression-free survival (25.3 months) and overall survival (41.1 months), although the regulatory T cell (Treg) proportions were increased following DI-TMZ []. Moreover, Wang et al. developed a DC vaccine against personalized TAAs to treat patients with glioblastoma multiforme (GBM) or advanced lung cancer in combination with low-dose cyclophosphamide, polyinosinic–polycytidylic acid (poly I:C), imiquimod, and an anti-PD-1 antibody (NCT02808364). A total of 10 patients received the treatment, and 7 showed anti-TAA T cell responses without grade III/IV adverse events, and their overall survival was more favorable than that of patients who received standard treatment at the same institution []. Vik-Mo et al. conducted a phase I/II clinical trial (NCT00846456), in which they used a DC vaccine with mRNA from tumor stem cells to treat glioblastoma and brain tumor. In 7 of the 20 enrolled participants, an immune response without adverse autoimmune events or other side effects was successfully induced; in addition, compared with matched controls, progression-free survival was 2.9 times longer []. All these positive clinical trials show the high potential of DC-based mRNA vaccine in the field of cancer therapy.
However, clinical research studies about it are not absolutely smooth sailing for various reasons. On the one hand, production of DC-based vaccines is expensive and complex; on the other hand, personalized treatment schemes are always needed for different patients, which is quite difficult to get fruition in a short time. Additionally, there are some clinical trials that have been terminated. For instance, the trials numbered NCT00929019 and NCT00514189 were terminated because of slow accrual; as for the reason of logistical problems, the trial numbered NCT00961844 was also terminated. These difficulties cannot hinder the development of DC-based mRNA vaccine since there are still multiple associated clinical trials under active and recruiting stage. For its future development, these complications need to be resolved.
More information about clinical trials performed to test mRNA vaccines mediated by DCs are listed in Table 3.

Table 3.
Clinical trials of mRNA vaccine mediated by DC vaccines.
6.2. mRNA Cancer Vaccine Based on Direct Injection In Vivo
After the in vivo injection of mRNA cancer vaccines with nonviral delivery systems, a small fraction of the vehicle-mRNA formulations is taken up by APCs. The few mRNAs that escape endosomes induce the immune response. Compared with the DC-based mRNA cancer vaccine, the transfection efficiency of direct injection with nonviral delivery systems is lower, but this approach is much more convenient, making large-scale production both possible and more affordable. In this strategy, LNP is the most mature tool, and also the most used one; likewise, peptide-based vector is a competitive candidate.
There have been some positive results. In a phase I/IIa study (NCT00923312) of the mRNA-based cancer vaccine CV9201 for non-small-cell lung cancer (NSCLC), 46 patients with locally advanced (7 patients) or metastatic (39 patients) NSCLC and at least stable disease received five intradermal CV9201 injections. The results of the phase IIa trial showed that the 2- and 3-year survival rates were 26.7% and 20.7%, respectively. CV9201 was well tolerated and effectively induced immune responses, supporting further clinical investigation []. For the melanoma FixVac (BNT111), an intravenously administered liposomal RNA (encoding antigens: NY-ESO-1, tyrosinase, MAGE-A3, and TPTE) vaccine developed by BioNTech, the data from an exploratory interim analysis showed that melanoma FixVac, alone or in combination with blockade of the checkpoint inhibitor PD1, mediated durable objective responses (NCT02410733) []. Moreover, in a phase I trial of Vvax001 (NCT03141463), a saRNA encoding HPV-derived tumor antigen cancer vaccine against human papillomavirus (HPV)-induced cancers, immunological activity, safety, and tolerability were detected. Among the 12 participants with a history of cervical intraepithelial neoplasia, all showed a positive vaccine-induced immune response after immunization, indicating that Vvax001 is safe and effective as a therapeutic vaccine for use in HPV-related malignancies []. However, compared with the DC-based mRNA cancer vaccines, the number of clinical trials of direct-injection-based vaccines is fewer, and most of them are still under the recruiting stage. Additional information of clinical trials of this kind of vaccines is listed in Table 4.

Table 4.
The clinical trials of mRNA cancer vaccine based on direct injection.
7. Conclusions and Future Directions
Because of their unique advantages, mRNA vaccines have attracted extensive attention in the field of cancer therapy. However, no mRNA vaccine has been approved by the FDA on the market before 2020. The first mRNA vaccine, BNT162b2 against SARS-CoV-2, received emergency authorization from the FDA on 11 December 2020, after only 8 months of research, breaking the record for the shortest time needed for vaccine development []. The success of BNT162b2 is creating an environment to rapidly expand the application of mRNA vaccines to cancer therapy. Currently, the three giants in the field of mRNA vaccines, Moderna, BioNTech, and CureVac, are quite interested in developing mRNA cancer vaccines. To date, an mRNA vaccine for internal melanoma, neuroendocrine tumor, and neuroepithelioma uveal diseases, DCaT–RNA, entered phase III clinical trials (NCT01983748), the last step before approval, with 200 patients. This vaccine is based on autologous tumor RNA-loaded autologous DCs, and the trial is expected to be completed in 2023.
Although some progress in mRNA vaccine development has been made in the field of cancer therapy, research is still in the early stage, multiple insufficiencies hindering the development of mRNA cancer vaccines. First, there is room for improvement of existing delivery systems employed for mRNA vaccines in cancer therapy. To date, the most commonly used vector is LNP, a quite mature tool []. However, Ndeupen et al. recently found that the lipid NP component in the mRNA-LNP platform induced high levels of inflammation in mice, regardless of whether the administered LNPs were delivered intravenously, intramuscularly, or intranasally, while the mechanism was not clear []. Additionally, it can cause severe allergic reactions []. A previous study demonstrated that cationic lipids in LNPs might react with negatively charged biomacromolecules in vivo, inducing severe side effect []. Later, scientists developed ionizable LNPs to ameliorate this side effect. However, a recent study showed that these ionizable lipids may include impurities, leading to a loss of mRNA activity, while these impurities are difficult to identify with the traditional techniques []. In addition, due to some shortcomings of the LNPs, such as easy oxidation and degradation, nonuniform preparation protocols, and high recurrence rate, large-scale industrial production has been difficult to achieve []. Of course, there are many other NPs, but none has been approved by the FDA for clinical use for various reasons. Ideal delivery systems should exhibit high transfection efficiency, sufficient safety, protection of mRNA against fast degradation, and targeted delivery; these features are far from being achieved. Second, the currently used administration routes limit the delivery efficiency of mRNA-vehicle complexes. mRNA cancer vaccines can be administered systematically or locally, and different administration routes can affect the efficiency of target antigen protein translation, leading to different degrees of immune response []. The common systematic routes of delivery are intravenous (i.v.), intramuscular (i.m.), hypodermic (i.h.), and intradermal (i.d.) injection. However, mRNA-NP platforms delivered by i.v. can be trapped mainly in the liver, with only a few complexes, reaching target tissues []. Administration by i.h. or i.d. does not typically deliver a large therapeutic dose, which can only be achieved through point injection or application of multiple doses. Intramuscular injection (i.m.) accommodates large dose administration, but the requirements for the size and zeta of the mRNA-loaded particles are strict because a large particle size and charge reduce vaccine efficiency. The common local injection routes for mRNA-loaded nanoparticle delivery include intraperitoneal injection (i.p.), which has been shown to be effective in colon cancer therapy []. Notably, the local injection strategy has little effect on metastatic cancer. Through currently used administration routes, few mRNA molecules successfully enter the cytoplasm to express proteins, and high-dose administration, with accompanying severe side effects, is still the norm, and a new protocol with an optimal route for mRNA cancer administration is needed. Last but not least, problem with patents has enabled some companies in the field of mRNA vaccines, such as Moderna, to stay in front of the storm, indicating that adequate attention should be directed to problems with scientific research patents. Once the obstacles are overcome, mRNA vaccines will enter a new age and be powerful tools in cancer therapy.
In our opinion, the future directions of mRNA cancer vaccine are personalized vaccines and incorporation with traditional treatment or antitumor drugs. Many mRNA encoding TAAs involve lack of specificity, which may attack on normal cells, yielding disappointing results []. Therefore, the employment of specific tumor antigens is necessary for vaccines developing in the future. Owing to the development of sequencing technology and prediction algorithms, finding TSAs is quite fast and easy []. However, many TSAs are unique to individuals, indicating that the design of IVT mRNA needs to be individualized to make mRNA vaccines with the maximum antitumor efficiency. Therefore, individualization is the direction for the development of therapeutic mRNA cancer vaccines []. Tumor cells can avoid clearance by the immune system through a series of mechanisms, such as developing an immunosuppressive microenvironment and expressing programmed cell death ligand-1 (PDL-1) on the cell surface to counteract T cells. To reverse this immunosuppression, mRNA cancer vaccines are always used in combination with drugs to boost the immune response, such as immune checkpoint inhibitors (ipilimumab, anti-CTLA-4, pembrolizumab, and anti-PD-1) []. For example, a clinical trial (NCT03313778) is ongoing, in which the mRNA vaccine was administered in combination with pembrolizumab to treat both unresectable solid tumors and resected cutaneous melanoma. Preliminary results showed acceptable safety and obvious specific T cell responses. In addition, mRNA vaccines can be combined with traditional treatment methods, such as surgery, chemotherapy, and radiotherapy, thereby effectively activating CTLs to attack target tumors []. Combination therapy is trending in the application of therapeutic mRNA cancer vaccines.
In summary, mRNA vaccines play important roles in cancer therapy and show huge promise for continuously improving cancer treatment.
Author Contributions
Y.W. and R.Z. conceived the outline, content, and diagrams of the review. L.T. contributed to the preparation of the tables. L.Y. supervised the writing and final revision of the manuscript. All authors have read and agreed to the published version of the manuscript.
Funding
This research was funded by the National Natural Science Foundation of China (No. 82073366) and the National Natural Science Foundation of China (No. 32100748).
Institutional Review Board Statement
Not applicable.
Informed Consent Statement
Not applicable.
Data Availability Statement
Not applicable.
Conflicts of Interest
The authors declare that they have no competing interests.
Abbreviations
mRNA | messenger ribonucleic acid |
WHO | World Health Organization |
DNA | deoxyribonucleic acid |
FDA | Food and Drug Administration |
DC | dendritic cell |
TALENs | transcription activator-like effector nucleases |
EP | electroporation |
saRNA | self-amplifying mRNA |
UTR | untranslated region |
ORF | open reading frame |
Poly (A) | polyadenylic acid |
nsPs | nonstructural proteins |
IVT mRNA | in vitro transcribed mRNA |
TAA | tumor-associated antigen |
TSA | tumor-specific antigen |
APC | antigen-presenting cell |
PAMPs | pathogen-associated molecular patterns |
PRRs | pattern recognition receptors |
TLRs | Toll-like receptors |
RIG-I | retinoic acid-inducible gene-I |
RLRs | retinoic acid-inducible gene-I-like receptors |
hnRNPs | nuclear heterogeneous ribonucleoprotein |
ZBP1 | Z-DNA-binding protein 1 |
Th | helper T Cell |
MHC | major histocompatibility complex |
CTLs | cytotoxic T lymphocytes |
CD | cluster of differentiation |
AKP | alkaline phosphatase |
eIF4E | eukaryotic initiation factor 4E |
eIF4G | eukaryotic initiation factor 4G |
PKR | double-stranded RNA-dependent protein kinase |
Ψ | pseudouridine |
m5C | 5-methyl cytosine |
m6A | 6-methyl adenosine |
m5U | 5-methyl uracil |
s2U | 2-thiouracil |
PABP | poly(A)-binding protein |
LNPs | lipid nanoparticles |
PEG | polyethylene glycol |
DOPE | 1,2-dioleoyl-sn-glycero-3-phosphoethanolamine |
DSPC | 1,2-distearoyl-sn-glycero-3-phosphocholine |
NHPs | nonhuman primates |
PEI | polyethyleneimine |
CP 2k | cationic cyclodextrin-PEI 2k conjugate |
PAMAM | polyamide amine |
PLGA | poly (lactic-co-glycolic acid) |
GFP | green fluorescent protein |
RNase | ribonuclease |
LPNs | lipid-polymer hybrid nanoparticles |
LLPs | lipid-like nanoparticles |
DOTAP | 1,2-dioleoyl-3-trimethylammonium-propane |
iPSCs | induced pluripotent stem cells |
CPPs | cell-penetrating peptides |
WNT | wingless integrated |
SD | spray drying |
SFD | spray freeze drying |
SEND | selective endogenous encapsidation |
AuNP | gold nanoparticle |
i.v. | intravenous injection |
i.m. | intramuscular injection |
i.h. | hypodermic injection |
i.d. | intradermal injection |
i.p. | intraperitoneal injection |
i.t. | intratumoral injection |
i.n. | nasal administration |
eGFP | enhanced green fluorescent protein |
Luc | luciferase |
Fluc | firefly luciferase |
hGLuc | humanized Gaussia luciferase |
GM-CSF | granulocyte-macrophage colony-stimulating factor |
IL-4 | interleukin-4 |
DI-TMZ | dose-intensified temozolomide |
CR | complete response |
HCV | hepatitis C virus |
HCC | hepatitis C cancer |
GBM | glioblastoma multiforme |
PD-1 | programmed cell death protein 1 |
CTLA-4 | cytotoxic T-lymphocyte-associated protein 4 |
NSCLC | non-small-cell lung cancer |
HPV | human papillomavirus |
PDL-1 | programmed cell death ligand-1 |
References
- Bray, F.; Soerjomataram, I. The Changing Global Burden of Cancer: Transitions in Human Development and Implications for Cancer Prevention and Control. In Cancer: Disease Control Priorities, 3rd ed.; Gelband, H., Jha, P., Sankaranarayanan, R., Horton, S., Eds.; The International Bank for Reconstruction and Development; The World Bank © 2015 International Bank for Reconstruction and Development; The World Bank: Washington, DC, USA, 2015; Volume 3. [Google Scholar]
- Morales, A.; Eidinger, D.; Bruce, A.W. Intracavitary Bacillus Calmette-Guerin in the treatment of superficial bladder tumors. J. Urol. 1976, 116, 180–183. [Google Scholar] [CrossRef]
- Cheever, M.A.; Higano, C.S. PROVENGE (Sipuleucel-T) in prostate cancer: The first FDA-approved therapeutic cancer vaccine. Clin. Cancer Res. 2011, 17, 3520–3526. [Google Scholar] [CrossRef] [PubMed]
- Wang, Y.; Zhang, Z.; Luo, J.; Han, X.; Wei, Y.; Wei, X. mRNA vaccine: A potential therapeutic strategy. Mol. Cancer 2021, 20, 33. [Google Scholar] [CrossRef]
- Nichols, W.W.; Ledwith, B.J.; Manam, S.V.; Troilo, P.J. Potential DNA vaccine integration into host cell genome. Ann. N. Y. Acad. Sci. 1995, 772, 30–39. [Google Scholar] [CrossRef] [PubMed]
- Meng, Z.; O’Keeffe-Ahern, J.; Lyu, J.; Pierucci, L.; Zhou, D.; Wang, W. A new developing class of gene delivery: Messenger RNA-based therapeutics. Biomater. Sci. 2017, 5, 2381–2392. [Google Scholar] [CrossRef]
- Sahin, U.; Karikó, K.; Türeci, Ö. mRNA-based therapeutics--developing a new class of drugs. Nat. Rev. Drug. Discov. 2014, 13, 759–780. [Google Scholar] [CrossRef] [PubMed]
- Linares-Fernández, S.; Lacroix, C.; Exposito, J.Y.; Verrier, B. Tailoring mRNA Vaccine to Balance Innate/Adaptive Immune Response. Trends. Mol. Med. 2020, 26, 311–323. [Google Scholar] [CrossRef]
- Kantoff, P.W.; Higano, C.S.; Shore, N.D.; Berger, E.R.; Small, E.J.; Penson, D.F.; Redfern, C.H.; Ferrari, A.C.; Dreicer, R.; Sims, R.B.; et al. Sipuleucel-T immunotherapy for castration-resistant prostate cancer. N. Engl. J. Med. 2010, 363, 411–422. [Google Scholar] [CrossRef]
- Dimitriadis, G.J. Translation of rabbit globin mRNA introduced by liposomes into mouse lymphocytes. Nature 1978, 274, 923–924. [Google Scholar] [CrossRef]
- Ostro, M.J.; Giacomoni, D.; Lavelle, D.; Paxton, W.; Dray, S. Evidence for translation of rabbit globin mRNA after liposome-mediated insertion into a human cell line. Nature 1978, 274, 921–923. [Google Scholar] [CrossRef]
- Krieg, P.A.; Melton, D.A. Functional messenger RNAs are produced by SP6 in vitro transcription of cloned cDNAs. Nucleic Acids Res. 1984, 12, 7057–7070. [Google Scholar] [CrossRef] [PubMed]
- Malone, R.W.; Felgner, P.L.; Verma, I.M. Cationic liposome-mediated RNA transfection. Proc. Natl. Acad. Sci. USA 1989, 86, 6077–6081. [Google Scholar] [CrossRef] [PubMed]
- Conry, R.M.; LoBuglio, A.F.; Wright, M.; Sumerel, L.; Pike, M.J.; Johanning, F.; Benjamin, R.; Lu, D.; Curiel, D.T. Characterization of a messenger RNA polynucleotide vaccine vector. Cancer Res. 1995, 55, 1397–1400. [Google Scholar] [PubMed]
- Yoon, S.H.; Lee, J.M.; Cho, H.I.; Kim, E.K.; Kim, H.S.; Park, M.Y.; Kim, T.G. Adoptive immunotherapy using human peripheral blood lymphocytes transferred with RNA encoding Her-2/neu-specific chimeric immune receptor in ovarian cancer xenograft model. Cancer Gene. Ther. 2009, 16, 489–497. [Google Scholar] [CrossRef]
- Wood, A.J.; Lo, T.W.; Zeitler, B.; Pickle, C.S.; Ralston, E.J.; Lee, A.H.; Amora, R.; Miller, J.C.; Leung, E.; Meng, X.; et al. Targeted genome editing across species using ZFNs and TALENs. Science 2011, 333, 307. [Google Scholar] [CrossRef]
- Polack, F.P.; Thomas, S.J.; Kitchin, N.; Absalon, J.; Gurtman, A.; Lockhart, S.; Perez, J.L.; Pérez Marc, G.; Moreira, E.D.; Zerbini, C.; et al. Safety and Efficacy of the BNT162b2 mRNA Covid-19 Vaccine. N. Engl. J. Med. 2020, 383, 2603–2615. [Google Scholar] [CrossRef]
- Mahvi, D.M.; Sheehy, M.J.; Yang, N.S. DNA cancer vaccines: A gene gun approach. Immunol. Cell. Biol. 1997, 75, 456–460. [Google Scholar] [CrossRef]
- Van Meirvenne, S.; Straetman, L.; Heirman, C.; Dullaers, M.; De Greef, C.; Van Tendeloo, V.; Thielemans, K. Efficient genetic modification of murine dendritic cells by electroporation with mRNA. Cancer Gene. Ther. 2002, 9, 787–797. [Google Scholar] [CrossRef]
- Thomas, C.E.; Ehrhardt, A.; Kay, M.A. Progress and problems with the use of viral vectors for gene therapy. Nat. Rev. Genet. 2003, 4, 346–358. [Google Scholar] [CrossRef]
- Minnaert, A.K.; Vanluchene, H.; Verbeke, R.; Lentacker, I.; De Smedt, S.C.; Raemdonck, K.; Sanders, N.N.; Remaut, K. Strategies for controlling the innate immune activity of conventional and self-amplifying mRNA therapeutics: Getting the message across. Adv. Drug. Deliv. Rev. 2021, 176, 113900. [Google Scholar] [CrossRef]
- Liang, F.; Lindgren, G.; Lin, A.; Thompson, E.A.; Ols, S.; Röhss, J.; John, S.; Hassett, K.; Yuzhakov, O.; Bahl, K.; et al. Efficient Targeting and Activation of Antigen-Presenting Cells In Vivo after Modified mRNA Vaccine Administration in Rhesus Macaques. Mol. Ther. 2017, 25, 2635–2647. [Google Scholar] [CrossRef] [PubMed]
- Bloom, K.; van den Berg, F.; Arbuthnot, P. Self-amplifying RNA vaccines for infectious diseases. Gene. Ther. 2021, 28, 117–129. [Google Scholar] [CrossRef]
- Kääriäinen, L.; Takkinen, K.; Keränen, S.; Söderlund, H. Replication of the genome of alphaviruses. J. Cell. Sci. Suppl. 1987, 7, 231–250. [Google Scholar] [CrossRef] [PubMed]
- Ljungberg, K.; Liljeström, P. Self-replicating alphavirus RNA vaccines. Expert Rev. Vaccines 2015, 14, 177–194. [Google Scholar] [CrossRef] [PubMed]
- Brito, L.A.; Kommareddy, S.; Maione, D.; Uematsu, Y.; Giovani, C.; Berlanda Scorza, F.; Otten, G.R.; Yu, D.; Mandl, C.W.; Mason, P.W.; et al. Self-amplifying mRNA vaccines. Adv. Genet. 2015, 89, 179–233. [Google Scholar] [CrossRef] [PubMed]
- Vogel, A.B.; Lambert, L.; Kinnear, E.; Busse, D.; Erbar, S.; Reuter, K.C.; Wicke, L.; Perkovic, M.; Beissert, T.; Haas, H.; et al. Self-Amplifying RNA Vaccines Give Equivalent Protection against Influenza to mRNA Vaccines but at Much Lower Doses. Mol. Ther. 2018, 26, 446–455. [Google Scholar] [CrossRef]
- Guo, Y.; Lei, K.; Tang, L. Neoantigen Vaccine Delivery for Personalized Anticancer Immunotherapy. Front. Immunol. 2018, 9, 1499. [Google Scholar] [CrossRef] [PubMed]
- Linette, G.P.; Carreno, B.M. Neoantigen Vaccines Pass the Immunogenicity Test. Trends Mol. Med. 2017, 23, 869–871. [Google Scholar] [CrossRef]
- Sahin, U.; Derhovanessian, E.; Miller, M.; Kloke, B.P.; Simon, P.; Löwer, M.; Bukur, V.; Tadmor, A.D.; Luxemburger, U.; Schrörs, B.; et al. Personalized RNA mutanome vaccines mobilize poly-specific therapeutic immunity against cancer. Nature 2017, 547, 222–226. [Google Scholar] [CrossRef]
- Sahay, G.; Querbes, W.; Alabi, C.; Eltoukhy, A.; Sarkar, S.; Zurenko, C.; Karagiannis, E.; Love, K.; Chen, D.; Zoncu, R.; et al. Efficiency of siRNA delivery by lipid nanoparticles is limited by endocytic recycling. Nat. Biotechnol. 2013, 31, 653–658. [Google Scholar] [CrossRef]
- Guevara, M.L.; Persano, F.; Persano, S. Advances in Lipid Nanoparticles for mRNA-Based Cancer Immunotherapy. Front. Chem. 2020, 8, 589959. [Google Scholar] [CrossRef] [PubMed]
- Liu, G.; Lu, Y.; Thulasi Raman, S.N.; Xu, F.; Wu, Q.; Li, Z.; Brownlie, R.; Liu, Q.; Zhou, Y. Nuclear-resident RIG-I senses viral replication inducing antiviral immunity. Nat. Commun. 2018, 9, 3199. [Google Scholar] [CrossRef] [PubMed]
- Yoneyama, M.; Kikuchi, M.; Natsukawa, T.; Shinobu, N.; Imaizumi, T.; Miyagishi, M.; Taira, K.; Akira, S.; Fujita, T. The RNA helicase RIG-I has an essential function in double-stranded RNA-induced innate antiviral responses. Nat. Immunol. 2004, 5, 730–737. [Google Scholar] [CrossRef] [PubMed]
- Hattinger, E.; Scheiblhofer, S.; Roesler, E.; Thalhamer, T.; Thalhamer, J.; Weiss, R. Prophylactic mRNA Vaccination against Allergy Confers Long-Term Memory Responses and Persistent Protection in Mice. J. Immunol. Res. 2015, 2015, 797421. [Google Scholar] [CrossRef] [PubMed]
- Heine, A.; Juranek, S.; Brossart, P. Clinical and immunological effects of mRNA vaccines in malignant diseases. Mol. Cancer 2021, 20, 52. [Google Scholar] [CrossRef] [PubMed]
- Iwasaki, A.; Medzhitov, R. Control of adaptive immunity by the innate immune system. Nat. Immunol. 2015, 16, 343–353. [Google Scholar] [CrossRef]
- Kurts, C.; Robinson, B.W.; Knolle, P.A. Cross-priming in health and disease. Nat. Rev. Immunol. 2010, 10, 403–414. [Google Scholar] [CrossRef]
- De Beuckelaer, A.; Pollard, C.; Van Lint, S.; Roose, K.; Van Hoecke, L.; Naessens, T.; Udhayakumar, V.K.; Smet, M.; Sanders, N.; Lienenklaus, S.; et al. Type I Interferons Interfere with the Capacity of mRNA Lipoplex Vaccines to Elicit Cytolytic T Cell Responses. Mol. Ther. 2016, 24, 2012–2020. [Google Scholar] [CrossRef]
- Andries, O.; De Filette, M.; De Smedt, S.C.; Demeester, J.; Van Poucke, M.; Peelman, L.; Sanders, N.N. Innate immune response and programmed cell death following carrier-mediated delivery of unmodified mRNA to respiratory cells. J. Control Release 2013, 167, 157–166. [Google Scholar] [CrossRef]
- Loomis, K.H.; Lindsay, K.E.; Zurla, C.; Bhosle, S.M.; Vanover, D.A.; Blanchard, E.L.; Kirschman, J.L.; Bellamkonda, R.V.; Santangelo, P.J. In Vitro Transcribed mRNA Vaccines with Programmable Stimulation of Innate Immunity. Bioconjug Chem. 2018, 29, 3072–3083. [Google Scholar] [CrossRef]
- Baptista, B.; Carapito, R.; Laroui, N.; Pichon, C.; Sousa, F. mRNA, a Revolution in Biomedicine. Pharmaceutics 2021, 13, 90. [Google Scholar] [CrossRef] [PubMed]
- Liu, T.; Liang, Y.; Huang, L. Development and Delivery Systems of mRNA Vaccines. Front. Bioeng. Biotechnol. 2021, 9, 718753. [Google Scholar] [CrossRef] [PubMed]
- Hsu, C.L.; Stevens, A. Yeast cells lacking 5′-->3′ exoribonuclease 1 contain mRNA species that are poly(A) deficient and partially lack the 5’ cap structure. Mol. Cell. Biol. 1993, 13, 4826–4835. [Google Scholar] [CrossRef]
- Sonenberg, N.; Rupprecht, K.M.; Hecht, S.M.; Shatkin, A.J. Eukaryotic mRNA cap binding protein: Purification by affinity chromatography on sepharose-coupled m7GDP. Proc. Natl. Acad. Sci. USA 1979, 76, 4345–4349. [Google Scholar] [CrossRef] [PubMed]
- Nwokoye, E.C.; AlNaseem, E.; Crawford, R.A.; Castelli, L.M.; Jennings, M.D.; Kershaw, C.J.; Pavitt, G.D. Overlapping regions of Caf20 mediate its interactions with the mRNA-5’cap-binding protein eIF4E and with ribosomes. Sci. Rep. 2021, 11, 13467. [Google Scholar] [CrossRef] [PubMed]
- Pasquinelli, A.E.; Dahlberg, J.E.; Lund, E. Reverse 5′ caps in RNAs made in vitro by phage RNA polymerases. RNA 1995, 1, 957–967. [Google Scholar] [PubMed]
- van Dulmen, M.; Muthmann, N.; Rentmeister, A. Chemo-Enzymatic Modification of the 5’ Cap Maintains Translation and Increases Immunogenic Properties of mRNA. Angew. Chem. Int. Ed. Engl. 2021, 60, 13280–13286. [Google Scholar] [CrossRef]
- Leppek, K.; Das, R.; Barna, M. Functional 5′ UTR mRNA structures in eukaryotic translation regulation and how to find them. Nat. Rev. Mol. Cell. Biol. 2018, 19, 158–174. [Google Scholar] [CrossRef]
- Pelletier, J.; Sonenberg, N. Insertion mutagenesis to increase secondary structure within the 5’ noncoding region of a eukaryotic mRNA reduces translational efficiency. Cell 1985, 40, 515–526. [Google Scholar] [CrossRef]
- Kim, S.C.; Sekhon, S.S.; Shin, W.R.; Ahn, G.; Cho, B.K.; Ahn, J.Y.; Kim, Y.H. Modifications of mRNA vaccine structural elements for improving mRNA stability and translation efficiency. Mol. Cell. Toxicol. 2021, 18, 1–8. [Google Scholar] [CrossRef]
- Jia, L.; Mao, Y.; Ji, Q.; Dersh, D.; Yewdell, J.W.; Qian, S.B. Decoding mRNA translatability and stability from the 5’ UTR. Nat. Struct. Mol. Biol. 2020, 27, 814–821. [Google Scholar] [CrossRef] [PubMed]
- Jansen, R.; Gerstein, M. Analysis of the yeast transcriptome with structural and functional categories: Characterizing highly expressed proteins. Nucleic Acids. Res. 2000, 28, 1481–1488. [Google Scholar] [CrossRef] [PubMed]
- Marín, A.; Gallardo, M.; Kato, Y.; Shirahige, K.; Gutiérrez, G.; Ohta, K.; Aguilera, A. Relationship between G+C content, ORF-length and mRNA concentration in Saccharomyces cerevisiae. Yeast 2003, 20, 703–711. [Google Scholar] [CrossRef]
- Kudla, G.; Lipinski, L.; Caffin, F.; Helwak, A.; Zylicz, M. High guanine and cytosine content increases mRNA levels in mammalian cells. PLoS Biol. 2006, 4, e180. [Google Scholar] [CrossRef] [PubMed]
- Gustafsson, C.; Govindarajan, S.; Minshull, J. Codon bias and heterologous protein expression. Trends Biotechnol. 2004, 22, 346–353. [Google Scholar] [CrossRef] [PubMed]
- Cannarozzi, G.; Schraudolph, N.N.; Faty, M.; von Rohr, P.; Friberg, M.T.; Roth, A.C.; Gonnet, P.; Gonnet, G.; Barral, Y. A role for codon order in translation dynamics. Cell 2010, 141, 355–367. [Google Scholar] [CrossRef]
- Karikó, K.; Muramatsu, H.; Welsh, F.A.; Ludwig, J.; Kato, H.; Akira, S.; Weissman, D. Incorporation of pseudouridine into mRNA yields superior nonimmunogenic vector with increased translational capacity and biological stability. Mol. Ther. 2008, 16, 1833–1840. [Google Scholar] [CrossRef]
- Anderson, B.R.; Muramatsu, H.; Nallagatla, S.R.; Bevilacqua, P.C.; Sansing, L.H.; Weissman, D.; Karikó, K. Incorporation of pseudouridine into mRNA enhances translation by diminishing PKR activation. Nucleic Acids Res. 2010, 38, 5884–5892. [Google Scholar] [CrossRef]
- Karikó, K.; Buckstein, M.; Ni, H.; Weissman, D. Suppression of RNA recognition by Toll-like receptors: The impact of nucleoside modification and the evolutionary origin of RNA. Immunity 2005, 23, 165–175. [Google Scholar] [CrossRef]
- Verbeke, R.; Lentacker, I.; Wayteck, L.; Breckpot, K.; Van Bockstal, M.; Descamps, B.; Vanhove, C.; De Smedt, S.C.; Dewitte, H. Co-delivery of nucleoside-modified mRNA and TLR agonists for cancer immunotherapy: Restoring the immunogenicity of immunosilent mRNA. J. Control Release 2017, 266, 287–300. [Google Scholar] [CrossRef]
- Tanguay, R.L.; Gallie, D.R. Translational efficiency is regulated by the length of the 3′ untranslated region. Mol. Cell. Biol. 1996, 16, 146–156. [Google Scholar] [CrossRef]
- Murray, E.L.; Schoenberg, D.R. A+U-rich instability elements differentially activate 5′-3′ and 3′-5′ mRNA decay. Mol. Cell. Biol. 2007, 27, 2791–2799. [Google Scholar] [CrossRef]
- Rodgers, N.D.; Wang, Z.; Kiledjian, M. Regulated alpha-globin mRNA decay is a cytoplasmic event proceeding through 3’-to-5’ exosome-dependent decapping. RNA 2002, 8, 1526–1537. [Google Scholar] [PubMed]
- Adibzadeh, S.; Fardaei, M.; Takhshid, M.A.; Miri, M.R.; Rafiei Dehbidi, G.; Farhadi, A.; Ranjbaran, R.; Alavi, P.; Nikouyan, N.; Seyyedi, N.; et al. Enhancing Stability of Destabilized Green Fluorescent Protein Using Chimeric mRNA Containing Human Beta-Globin 5′ and 3′ Untranslated Regions. Avicenna J. Med. Biotechnol. 2019, 11, 112–117. [Google Scholar] [PubMed]
- Orlandini von Niessen, A.G.; Poleganov, M.A.; Rechner, C.; Plaschke, A.; Kranz, L.M.; Fesser, S.; Diken, M.; Löwer, M.; Vallazza, B.; Beissert, T.; et al. Improving mRNA-Based Therapeutic Gene Delivery by Expression-Augmenting 3’ UTRs Identified by Cellular Library Screening. Mol Ther 2019, 27, 824–836. [Google Scholar] [CrossRef]
- Kelly, J.M.; Cox, R.A. Periodicity in the length of 3’-poly(A) tails from native globin mRNA of rabbit. Nucleic Acids Res. 1982, 10, 4173–4179. [Google Scholar] [CrossRef] [PubMed]
- Subtelny, A.O.; Eichhorn, S.W.; Chen, G.R.; Sive, H.; Bartel, D.P. Poly(A)-tail profiling reveals an embryonic switch in translational control. Nature 2014, 508, 66–71. [Google Scholar] [CrossRef]
- Silvestri, L.S.; Parilla, J.M.; Morasco, B.J.; Ogram, S.A.; Flanegan, J.B. Relationship between poliovirus negative-strand RNA synthesis and the length of the 3’ poly(A) tail. Virology 2006, 345, 509–519. [Google Scholar] [CrossRef] [PubMed][Green Version]
- Holtkamp, S.; Kreiter, S.; Selmi, A.; Simon, P.; Koslowski, M.; Huber, C.; Türeci, O.; Sahin, U. Modification of antigen-encoding RNA increases stability, translational efficacy, and T-cell stimulatory capacity of dendritic cells. Blood 2006, 108, 4009–4017. [Google Scholar] [CrossRef] [PubMed]
- Lima, S.A.; Chipman, L.B.; Nicholson, A.L.; Chen, Y.H.; Yee, B.A.; Yeo, G.W.; Coller, J.; Pasquinelli, A.E. Short poly(A) tails are a conserved feature of highly expressed genes. Nat. Struct. Mol. Biol. 2017, 24, 1057–1063. [Google Scholar] [CrossRef]
- Tenforde, M.W.; Patel, M.M.; Ginde, A.A.; Douin, D.J.; Talbot, H.K.; Casey, J.D.; Mohr, N.M.; Zepeski, A.; Gaglani, M.; McNeal, T.; et al. Effectiveness of SARS-CoV-2 mRNA Vaccines for Preventing Covid-19 Hospitalizations in the United States. Clin. Infect. Dis. 2021. [Google Scholar] [CrossRef]
- Kuntsche, J.; Horst, J.C.; Bunjes, H. Cryogenic transmission electron microscopy (cryo-TEM) for studying the morphology of colloidal drug delivery systems. Int. J. Pharm. 2011, 417, 120–137. [Google Scholar] [CrossRef] [PubMed]
- Kim, J.; Eygeris, Y.; Gupta, M.; Sahay, G. Self-assembled mRNA vaccines. Adv. Drug. Deliv. Rev. 2021, 170, 83–112. [Google Scholar] [CrossRef]
- Miao, L.; Li, L.; Huang, Y.; Delcassian, D.; Chahal, J.; Han, J.; Shi, Y.; Sadtler, K.; Gao, W.; Lin, J.; et al. Delivery of mRNA vaccines with heterocyclic lipids increases anti-tumor efficacy by STING-mediated immune cell activation. Nat. Biotechnol. 2019, 37, 1174–1185. [Google Scholar] [CrossRef]
- Magarkar, A.; Dhawan, V.; Kallinteri, P.; Viitala, T.; Elmowafy, M.; Róg, T.; Bunker, A. Cholesterol level affects surface charge of lipid membranes in saline solution. Sci. Rep. 2014, 4, 5005. [Google Scholar] [CrossRef] [PubMed]
- Semple, S.C.; Chonn, A.; Cullis, P.R. Influence of cholesterol on the association of plasma proteins with liposomes. Biochemistry 1996, 35, 2521–2525. [Google Scholar] [CrossRef] [PubMed]
- Zhang, R.; El-Mayta, R.; Murdoch, T.J.; Warzecha, C.C.; Billingsley, M.M.; Shepherd, S.J.; Gong, N.; Wang, L.; Wilson, J.M.; Lee, D.; et al. Helper lipid structure influences protein adsorption and delivery of lipid nanoparticles to spleen and liver. Biomater. Sci. 2021, 9, 1449–1463. [Google Scholar] [CrossRef] [PubMed]
- Leung, A.K.; Tam, Y.Y.; Cullis, P.R. Lipid nanoparticles for short interfering RNA delivery. Adv. Genet. 2014, 88, 71–110. [Google Scholar] [CrossRef] [PubMed]
- Schlich, M.; Palomba, R.; Costabile, G.; Mizrahy, S.; Pannuzzo, M.; Peer, D.; Decuzzi, P. Cytosolic delivery of nucleic acids: The case of ionizable lipid nanoparticles. Bioeng. Transl. Med. 2021, 6, e10213. [Google Scholar] [CrossRef]
- Billingsley, M.M.; Hamilton, A.G.; Mai, D.; Patel, S.K.; Swingle, K.L.; Sheppard, N.C.; June, C.H.; Mitchell, M.J. Orthogonal Design of Experiments for Optimization of Lipid Nanoparticles for mRNA Engineering of CAR T Cells. Nano Lett. 2021. [Google Scholar] [CrossRef]
- Hajj, K.A.; Whitehead, K.A. Tools for translation: Non-viral materials for therapeutic mRNA delivery. Nat. Rev. Mater. 2017, 2, 17056. [Google Scholar] [CrossRef]
- Gilleron, J.; Querbes, W.; Zeigerer, A.; Borodovsky, A.; Marsico, G.; Schubert, U.; Manygoats, K.; Seifert, S.; Andree, C.; Stöter, M.; et al. Image-based analysis of lipid nanoparticle-mediated siRNA delivery, intracellular trafficking and endosomal escape. Nat. Biotechnol. 2013, 31, 638–646. [Google Scholar] [CrossRef] [PubMed]
- Richner, J.M.; Himansu, S.; Dowd, K.A.; Butler, S.L.; Salazar, V.; Fox, J.M.; Julander, J.G.; Tang, W.W.; Shresta, S.; Pierson, T.C.; et al. Modified mRNA Vaccines Protect against Zika Virus Infection. Cell 2017, 168, 1114–1125. [Google Scholar] [CrossRef]
- Aldrich, C.; Leroux-Roels, I.; Huang, K.B.; Bica, M.A.; Loeliger, E.; Schoenborn-Kellenberger, O.; Walz, L.; Leroux-Roels, G.; von Sonnenburg, F.; Oostvogels, L. Proof-of-concept of a low-dose unmodified mRNA-based rabies vaccine formulated with lipid nanoparticles in human volunteers: A phase 1 trial. Vaccine 2021, 39, 1310–1318. [Google Scholar] [CrossRef]
- Walsh, E.E.; Frenck, R.W., Jr.; Falsey, A.R.; Kitchin, N.; Absalon, J.; Gurtman, A.; Lockhart, S.; Neuzil, K.; Mulligan, M.J.; Bailey, R.; et al. Safety and Immunogenicity of Two RNA-Based Covid-19 Vaccine Candidates. N. Engl. J. Med. 2020, 383, 2439–2450. [Google Scholar] [CrossRef] [PubMed]
- Thomas, S.J.; Moreira, E.D., Jr.; Kitchin, N.; Absalon, J.; Gurtman, A.; Lockhart, S.; Perez, J.L.; Perez Marc, G.; Polack, F.P.; Zerbini, C.; et al. Safety and Efficacy of the BNT162b2 mRNA Covid-19 Vaccine through 6 Months. N. Engl. J. Med. 2021, 385, 1761–1773. [Google Scholar] [CrossRef] [PubMed]
- Sedic, M.; Senn, J.J.; Lynn, A.; Laska, M.; Smith, M.; Platz, S.J.; Bolen, J.; Hoge, S.; Bulychev, A.; Jacquinet, E.; et al. Safety Evaluation of Lipid Nanoparticle-Formulated Modified mRNA in the Sprague-Dawley Rat and Cynomolgus Monkey. Vet. Pathol. 2018, 55, 341–354. [Google Scholar] [CrossRef]
- Zhang, H.; You, X.; Wang, X.; Cui, L.; Wang, Z.; Xu, F.; Li, M.; Yang, Z.; Liu, J.; Huang, P.; et al. Delivery of mRNA vaccine with a lipid-like material potentiates antitumor efficacy through Toll-like receptor 4 signaling. Proc. Natl. Acad. Sci. USA 2021, 118, e2005191118. [Google Scholar] [CrossRef]
- Kelso, J.M. IgE-mediated allergy to polyethylene glycol (PEG) as a cause of anaphylaxis to mRNA COVID-19 vaccines. Clin. Exp. Allergy 2021. [Google Scholar] [CrossRef]
- Suzuki, T.; Suzuki, Y.; Hihara, T.; Kubara, K.; Kondo, K.; Hyodo, K.; Yamazaki, K.; Ishida, T.; Ishihara, H. PEG shedding-rate-dependent blood clearance of PEGylated lipid nanoparticles in mice: Faster PEG shedding attenuates anti-PEG IgM production. Int. J. Pharm. 2020, 588, 119792. [Google Scholar] [CrossRef]
- Kedmi, R.; Ben-Arie, N.; Peer, D. The systemic toxicity of positively charged lipid nanoparticles and the role of Toll-like receptor 4 in immune activation. Biomaterials 2010, 31, 6867–6875. [Google Scholar] [CrossRef] [PubMed]
- Kauffman, K.J.; Dorkin, J.R.; Yang, J.H.; Heartlein, M.W.; DeRosa, F.; Mir, F.F.; Fenton, O.S.; Anderson, D.G. Optimization of Lipid Nanoparticle Formulations for mRNA Delivery in Vivo with Fractional Factorial and Definitive Screening Designs. Nano Lett. 2015, 15, 7300–7306. [Google Scholar] [CrossRef] [PubMed]
- Ball, R.L.; Hajj, K.A.; Vizelman, J.; Bajaj, P.; Whitehead, K.A. Lipid Nanoparticle Formulations for Enhanced Co-delivery of siRNA and mRNA. Nano Lett. 2018, 18, 3814–3822. [Google Scholar] [CrossRef] [PubMed]
- Herrera, M.; Kim, J.; Eygeris, Y.; Jozic, A.; Sahay, G. Illuminating endosomal escape of polymorphic lipid nanoparticles that boost mRNA delivery. Biomater. Sci. 2021, 9, 4289–4300. [Google Scholar] [CrossRef]
- Maugeri, M.; Nawaz, M.; Papadimitriou, A.; Angerfors, A.; Camponeschi, A.; Na, M.; Holtta, M.; Skantze, P.; Johansson, S.; Sundqvist, M.; et al. Linkage between endosomal escape of LNP-mRNA and loading into EVs for transport to other cells. Nat. Commun. 2019, 10, 4333. [Google Scholar] [CrossRef]
- Lee, S.M.; Cheng, Q.; Yu, X.; Liu, S.; Johnson, L.T.; Siegwart, D.J. A Systematic Study of Unsaturation in Lipid Nanoparticles Leads to Improved mRNA Transfection In Vivo. Angew. Chem. Int. Ed. Engl. 2021, 60, 5848–5853. [Google Scholar] [CrossRef]
- Hou, X.; Zaks, T.; Langer, R.; Dong, Y. Lipid nanoparticles for mRNA delivery. Nat. Rev. Mater. 2021, 6, 1–17. [Google Scholar] [CrossRef]
- Qiu, M.; Li, Y.; Bloomer, H.; Xu, Q. Developing Biodegradable Lipid Nanoparticles for Intracellular mRNA Delivery and Genome Editing. ACC Chem. Res. 2021, 54, 4001–4011. [Google Scholar] [CrossRef]
- Zukancic, D.; Suys, E.J.A.; Pilkington, E.H.; Algarni, A.; Al-Wassiti, H.; Truong, N.P. The Importance of Poly(ethylene glycol) and Lipid Structure in Targeted Gene Delivery to Lymph Nodes by Lipid Nanoparticles. Pharmaceutics 2020, 12, 1068. [Google Scholar] [CrossRef]
- Hassett, K.J.; Higgins, J.; Woods, A.; Levy, B.; Xia, Y.; Hsiao, C.J.; Acosta, E.; Almarsson, O.; Moore, M.J.; Brito, L.A. Impact of lipid nanoparticle size on mRNA vaccine immunogenicity. J. Control Release 2021, 335, 237–246. [Google Scholar] [CrossRef]
- Barros, S.A.; Gollob, J.A. Safety profile of RNAi nanomedicines. Adv. Drug. Deliv. Rev. 2012, 64, 1730–1737. [Google Scholar] [CrossRef] [PubMed]
- Demeneix, B.; Behr, J.P. Polyethylenimine (PEI). Adv. Genet. 2005, 53, 215–230. [Google Scholar] [CrossRef]
- Wu, G.Y.; Wu, C.H. Receptor-mediated in vitro gene transformation by a soluble DNA carrier system. J. Biol. Chem. 1987, 262, 4429–4432. [Google Scholar] [CrossRef]
- Blakney, A.K.; Zhu, Y.; McKay, P.F.; Bouton, C.R.; Yeow, J.; Tang, J.; Hu, K.; Samnuan, K.; Grigsby, C.L.; Shattock, R.J.; et al. Big Is Beautiful: Enhanced saRNA Delivery and Immunogenicity by a Higher Molecular Weight, Bioreducible, Cationic Polymer. ACS Nano 2020, 14, 5711–5727. [Google Scholar] [CrossRef]
- Miyata, K.; Nishiyama, N.; Kataoka, K. Rational design of smart supramolecular assemblies for gene delivery: Chemical challenges in the creation of artificial viruses. Chem. Soc. Rev. 2012, 41, 2562–2574. [Google Scholar] [CrossRef]
- Boussif, O.; Lezoualc’h, F.; Zanta, M.A.; Mergny, M.D.; Scherman, D.; Demeneix, B.; Behr, J.P. A versatile vector for gene and oligonucleotide transfer into cells in culture and in vivo: Polyethylenimine. Proc. Natl. Acad. Sci. USA 1995, 92, 7297–7301. [Google Scholar] [CrossRef] [PubMed]
- Bettinger, T.; Carlisle, R.C.; Read, M.L.; Ogris, M.; Seymour, L.W. Peptide-mediated RNA delivery: A novel approach for enhanced transfection of primary and post-mitotic cells. Nucleic Acids Res. 2001, 29, 3882–3891. [Google Scholar] [CrossRef] [PubMed]
- Moghimi, S.M.; Symonds, P.; Murray, J.C.; Hunter, A.C.; Debska, G.; Szewczyk, A. A two-stage poly(ethylenimine)-mediated cytotoxicity: Implications for gene transfer/therapy. Mol. Ther. 2005, 11, 990–995. [Google Scholar] [CrossRef]
- Brunot, C.; Ponsonnet, L.; Lagneau, C.; Farge, P.; Picart, C.; Grosgogeat, B. Cytotoxicity of polyethyleneimine (PEI), precursor base layer of polyelectrolyte multilayer films. Biomaterials 2007, 28, 632–640. [Google Scholar] [CrossRef]
- Pardi, N.; Hogan, M.J.; Weissman, D. Recent advances in mRNA vaccine technology. Curr. Opin. Immunol. 2020, 65, 14–20. [Google Scholar] [CrossRef]
- Zhao, M.; Li, M.; Zhang, Z.; Gong, T.; Sun, X. Induction of HIV-1 gag specific immune responses by cationic micelles mediated delivery of gag mRNA. Drug. Deliv. 2016, 23, 2596–2607. [Google Scholar] [CrossRef] [PubMed]
- Li, M.; Zhao, M.; Fu, Y.; Li, Y.; Gong, T.; Zhang, Z.; Sun, X. Enhanced intranasal delivery of mRNA vaccine by overcoming the nasal epithelial barrier via intra- and paracellular pathways. J. Control Release 2016, 228, 9–19. [Google Scholar] [CrossRef] [PubMed]
- Lee, C.C.; MacKay, J.A.; Fréchet, J.M.; Szoka, F.C. Designing dendrimers for biological applications. Nat. Biotechnol. 2005, 23, 1517–1526. [Google Scholar] [CrossRef] [PubMed]
- Pearson, R.M.; Sunoqrot, S.; Hsu, H.J.; Bae, J.W.; Hong, S. Dendritic nanoparticles: The next generation of nanocarriers? Ther. Deliv. 2012, 3, 941–959. [Google Scholar] [CrossRef] [PubMed]
- Pourianazar, N.T.; Mutlu, P.; Gunduz, U. Bioapplications of poly(amidoamine) (PAMAM) dendrimers in nanomedicine. J. Nanopart. Res. 2014, 16, 38. [Google Scholar] [CrossRef]
- Bugno, J.; Hsu, H.J.; Hong, S. Tweaking dendrimers and dendritic nanoparticles for controlled nano-bio interactions: Potential nanocarriers for improved cancer targeting. J. Drug. Target. 2015, 23, 642–650. [Google Scholar] [CrossRef]
- Jain, K.; Kesharwani, P.; Gupta, U.; Jain, N.K. Dendrimer toxicity: Let’s meet the challenge. Int. J. Pharm. 2010, 394, 122–142. [Google Scholar] [CrossRef]
- Zhang, D.; Atochina-Vasserman, E.N.; Maurya, D.S.; Huang, N.; Xiao, Q.; Ona, N.; Liu, M.; Shahnawaz, H.; Ni, H.; Kim, K.; et al. One-Component Multifunctional Sequence-Defined Ionizable Amphiphilic Janus Dendrimer Delivery Systems for mRNA. J. Am. Chem. Soc. 2021, 143, 12315–12327. [Google Scholar] [CrossRef]
- Yang, X.; Du, H.; Liu, J.; Zhai, G. Advanced nanocarriers based on heparin and its derivatives for cancer management. Biomacromolecules 2015, 16, 423–436. [Google Scholar] [CrossRef]
- Barclay, T.G.; Day, C.M.; Petrovsky, N.; Garg, S. Review of polysaccharide particle-based functional drug delivery. Carbohydr. Polym. 2019, 221, 94–112. [Google Scholar] [CrossRef]
- Steinle, H.; Ionescu, T.M.; Schenk, S.; Golombek, S.; Kunnakattu, S.J.; Özbek, M.T.; Schlensak, C.; Wendel, H.P.; Avci-Adali, M. Incorporation of Synthetic mRNA in Injectable Chitosan-Alginate Hybrid Hydrogels for Local and Sustained Expression of Exogenous Proteins in Cells. Int. J. Mol. Sci. 2018, 19, 1313. [Google Scholar] [CrossRef]
- Yan, J.; Chen, R.; Zhang, H.; Bryers, J.D. Injectable Biodegradable Chitosan-Alginate 3D Porous Gel Scaffold for mRNA Vaccine Delivery. Macromol. Biosci. 2019, 19, e1800242. [Google Scholar] [CrossRef]
- Soliman, O.Y.; Alameh, M.G.; De Cresenzo, G.; Buschmann, M.D.; Lavertu, M. Efficiency of Chitosan/Hyaluronan-Based mRNA Delivery Systems In Vitro: Influence of Composition and Structure. J. Pharm. Sci. 2020, 109, 1581–1593. [Google Scholar] [CrossRef] [PubMed]
- Jeandupeux, E.; Alameh, M.G.; Ghattas, M.; De Crescenzo, G.; Lavertu, M. Poly(2-Propylacrylic Acid) Increases In Vitro Bioactivity of Chitosan/mRNA Nanoparticles. J. Pharm. Sci. 2021, 110, 3439–3449. [Google Scholar] [CrossRef] [PubMed]
- Sharifnia, Z.; Bandehpour, M.; Hamishehkar, H.; Mosaffa, N.; Kazemi, B.; Zarghami, N. In-vitro Transcribed mRNA Delivery Using PLGA/PEI Nanoparticles into Human Monocyte-derived Dendritic Cells. Iran. J. Pharm. Res. 2019, 18, 1659–1675. [Google Scholar] [CrossRef]
- Yoshinaga, N.; Naito, M.; Tachihara, Y.; Boonstra, E.; Osada, K.; Cabral, H.; Uchida, S. PEGylation of mRNA by Hybridization of Complementary PEG-RNA Oligonucleotides Stabilizes mRNA without Using Cationic Materials. Pharmaceutics 2021, 13, 800. [Google Scholar] [CrossRef] [PubMed]
- Jarzebska, N.T.; Lauchli, S.; Iselin, C.; French, L.E.; Johansen, P.; Guenova, E.; Kündig, T.M.; Pascolo, S. Functional differences between protamine preparations for the transfection of mRNA. Drug. Deliv. 2020, 27, 1231–1235. [Google Scholar] [CrossRef]
- Amos, H. Protamine Enhancement of RNA Uptake by Cultured Chick Cells. Biochem. Biophys. Res. Commun. 1961, 5, 1–4. [Google Scholar] [CrossRef]
- Sebastian, M.; Schröder, A.; Scheel, B.; Hong, H.S.; Muth, A.; von Boehmer, L.; Zippelius, A.; Mayer, F.; Reck, M.; Atanackovic, D.; et al. A phase I/IIa study of the mRNA-based cancer immunotherapy CV9201 in patients with stage IIIB/IV non-small cell lung cancer. Cancer Immunol. Immunother. 2019, 68, 799–812. [Google Scholar] [CrossRef]
- Morris, M.C.; Vidal, P.; Chaloin, L.; Heitz, F.; Divita, G. A new peptide vector for efficient delivery of oligonucleotides into mammalian cells. Nucleic Acids Res. 1997, 25, 2730–2736. [Google Scholar] [CrossRef]
- Ramsey, J.D.; Flynn, N.H. Cell-penetrating peptides transport therapeutics into cells. Pharmacol. Ther. 2015, 154, 78–86. [Google Scholar] [CrossRef]
- Lehto, T.; Ezzat, K.; Wood, M.J.A.; El Andaloussi, S. Peptides for nucleic acid delivery. Adv. Drug. Deliv. Rev. 2016, 106, 172–182. [Google Scholar] [CrossRef]
- van den Brand, D.; Gorris, M.A.J.; van Asbeck, A.H.; Palmen, E.; Ebisch, I.; Dolstra, H.; Hällbrink, M.; Massuger, L.; Brock, R. Peptide-mediated delivery of therapeutic mRNA in ovarian cancer. Eur. J. Pharm. Biopharm. 2019, 141, 180–190. [Google Scholar] [CrossRef] [PubMed]
- Udhayakumar, V.K.; De Beuckelaer, A.; McCaffrey, J.; McCrudden, C.M.; Kirschman, J.L.; Vanover, D.; Van Hoecke, L.; Roose, K.; Deswarte, K.; De Geest, B.G.; et al. Arginine-Rich Peptide-Based mRNA Nanocomplexes Efficiently Instigate Cytotoxic T Cell Immunity Dependent on the Amphipathic Organization of the Peptide. Adv. Healthc. Mater. 2017, 6. [Google Scholar] [CrossRef] [PubMed]
- Segel, M.; Lash, B.; Song, J.; Ladha, A.; Liu, C.C.; Jin, X.; Mekhedov, S.L.; Macrae, R.K.; Koonin, E.V.; Zhang, F. Mammalian retrovirus-like protein PEG10 packages its own mRNA and can be pseudotyped for mRNA delivery. Science 2021, 373, 882–889. [Google Scholar] [CrossRef] [PubMed]
- Guan, S.; Rosenecker, J. Nanotechnologies in delivery of mRNA therapeutics using nonviral vector-based delivery systems. Gene. Ther. 2017, 24, 133–143. [Google Scholar] [CrossRef]
- Gómez-Aguado, I.; Rodríguez-Castejón, J.; Vicente-Pascual, M.; Rodríguez-Gascón, A.; Solinís, M.; Del Pozo-Rodríguez, A. Nanomedicines to Deliver mRNA: State of the Art and Future Perspectives. Nanomaterials 2020, 10, 364. [Google Scholar] [CrossRef]
- Peer, D.; Karp, J.M.; Hong, S.; Farokhzad, O.C.; Margalit, R.; Langer, R. Nanocarriers as an emerging platform for cancer therapy. Nat. Nanotechnol. 2007, 2, 751–760. [Google Scholar] [CrossRef]
- Zhang, L.; Chan, J.M.; Gu, F.X.; Rhee, J.W.; Wang, A.Z.; Radovic-Moreno, A.F.; Alexis, F.; Langer, R.; Farokhzad, O.C. Self-assembled lipid--polymer hybrid nanoparticles: A robust drug delivery platform. ACS Nano 2008, 2, 1696–1702. [Google Scholar] [CrossRef]
- Siewert, C.D.; Haas, H.; Cornet, V.; Nogueira, S.S.; Nawroth, T.; Uebbing, L.; Ziller, A.; Al-Gousous, J.; Radulescu, A.; Schroer, M.A.; et al. Hybrid Biopolymer and Lipid Nanoparticles with Improved Transfection Efficacy for mRNA. Cells 2020, 9, 2034. [Google Scholar] [CrossRef]
- Yasar, H.; Biehl, A.; De Rossi, C.; Koch, M.; Murgia, X.; Loretz, B.; Lehr, C.M. Kinetics of mRNA delivery and protein translation in dendritic cells using lipid-coated PLGA nanoparticles. J. Nanobiotechnol. 2018, 16, 72. [Google Scholar] [CrossRef] [PubMed]
- Kaczmarek, J.C.; Patel, A.K.; Rhym, L.H.; Palmiero, U.C.; Bhat, B.; Heartlein, M.W.; DeRosa, F.; Anderson, D.G. Systemic delivery of mRNA and DNA to the lung using polymer-lipid nanoparticles. Biomaterials 2021, 275, 120966. [Google Scholar] [CrossRef] [PubMed]
- Yang, J.; Arya, S.; Lung, P.; Lin, Q.; Huang, J.; Li, Q. Hybrid nanovaccine for the co-delivery of the mRNA antigen and adjuvant. Nanoscale 2019, 11, 21782–21789. [Google Scholar] [CrossRef]
- Zhang, R.; Tang, L.; Tian, Y.; Ji, X.; Hu, Q.; Zhou, B.; Ding, Z.; Xu, H.; Yang, L. DP7-C-modified liposomes enhance immune responses and the antitumor effect of a neoantigen-based mRNA vaccine. J. Control Release 2020, 328, 210–221. [Google Scholar] [CrossRef]
- Coolen, A.L.; Lacroix, C.; Mercier-Gouy, P.; Delaune, E.; Monge, C.; Exposito, J.Y.; Verrier, B. Poly(lactic acid) nanoparticles and cell-penetrating peptide potentiate mRNA-based vaccine expression in dendritic cells triggering their activation. Biomaterials 2019, 195, 23–37. [Google Scholar] [CrossRef] [PubMed]
- Qiu, Y.; Man, R.C.H.; Liao, Q.; Kung, K.L.K.; Chow, M.Y.T.; Lam, J.K.W. Effective mRNA pulmonary delivery by dry powder formulation of PEGylated synthetic KL4 peptide. J. Control Release 2019, 314, 102–115. [Google Scholar] [CrossRef]
- Gao, Y.; Men, K.; Pan, C.; Li, J.; Wu, J.; Chen, X.; Lei, S.; Gao, X.; Duan, X. Functionalized DMP-039 Hybrid Nanoparticle as a Novel mRNA Vector for Efficient Cancer Suicide Gene Therapy. Int. J. Nanomed. 2021, 16, 5211–5232. [Google Scholar] [CrossRef] [PubMed]
- Choi, H.Y.; Lee, T.J.; Yang, G.M.; Oh, J.; Won, J.; Han, J.; Jeong, G.J.; Kim, J.; Kim, J.H.; Kim, B.S.; et al. Efficient mRNA delivery with graphene oxide-polyethylenimine for generation of footprint-free human induced pluripotent stem cells. J. Control Release 2016, 235, 222–235. [Google Scholar] [CrossRef]
- Taton, T.A. Preparation of gold nanoparticle-DNA conjugates. Cur.r Protoc. Nucleic Acid. Chem. 2002, 12. Unit 12.12. [Google Scholar] [CrossRef]
- Zhang, X. Gold Nanoparticles: Recent Advances in the Biomedical Applications. Cell. Biochem. Biophys. 2015, 72, 771–775. [Google Scholar] [CrossRef]
- Cho, E.C.; Glaus, C.; Chen, J.; Welch, M.J.; Xia, Y. Inorganic nanoparticle-based contrast agents for molecular imaging. Trends Mol. Med. 2010, 16, 561–573. [Google Scholar] [CrossRef]
- Jeong, E.H.; Jung, G.; Hong, C.A.; Lee, H. Gold nanoparticle (AuNP)-based drug delivery and molecular imaging for biomedical applications. Arch. Pharm. Res. 2014, 37, 53–59. [Google Scholar] [CrossRef]
- Alivisatos, A.P.; Johnsson, K.P.; Peng, X.; Wilson, T.E.; Loweth, C.J.; Bruchez, M.P., Jr.; Schultz, P.G. Organization of ‘nanocrystal molecules’ using DNA. Nature 1996, 382, 609–611. [Google Scholar] [CrossRef]
- Zhang, X.; Servos, M.R.; Liu, J. Instantaneous and quantitative functionalization of gold nanoparticles with thiolated DNA using a pH-assisted and surfactant-free route. J. Am. Chem. Soc. 2012, 134, 7266–7269. [Google Scholar] [CrossRef] [PubMed]
- Talamantez-Lyburn, S.; Brown, P.; Hondrogiannis, N.; Ratliff, J.; Wicks, S.L.; Nana, N.; Zheng, Z.; Rosenzweig, Z.; Hondrogiannis, E.; Devadas, M.S.; et al. Gold nanoparticles loaded with cullin-5 DNA increase sensitivity to 17-AAG in cullin-5 deficient breast cancer cells. Int. J. Pharm. 2019, 564, 281–292. [Google Scholar] [CrossRef] [PubMed]
- Ohta, S.; Glancy, D.; Chan, W.C. DNA-controlled dynamic colloidal nanoparticle systems for mediating cellular interaction. Science 2016, 351, 841–845. [Google Scholar] [CrossRef]
- Ye, W.; Li, H.; Li, X.; Fan, X.; Jin, Q.; Ji, J. mRNA Guided Intracellular Self-Assembly of DNA-Gold Nanoparticle Conjugates as a Precise Trigger to Up-Regulate Cell Apoptosis and Activate Photothermal Therapy. Bioconjug Chem. 2019, 30, 1763–1772. [Google Scholar] [CrossRef]
- Yeom, J.H.; Ryou, S.M.; Won, M.; Park, M.; Bae, J.; Lee, K. Inhibition of Xenograft tumor growth by gold nanoparticle-DNA oligonucleotide conjugates-assisted delivery of BAX mRNA. PLoS ONE 2013, 8, e75369. [Google Scholar] [CrossRef] [PubMed]
- Zhang, C.; Zhang, F.; Han, M.; Wang, X.; Du, J.; Zhang, H.; Li, W. Co-delivery of 5-fluorodeoxyuridine and doxorubicin via gold nanoparticle equipped with affibody-DNA hybrid strands for targeted synergistic chemotherapy of HER2 overexpressing breast cancer. Sci. Rep. 2020, 10, 22015. [Google Scholar] [CrossRef]
- Sun, D.; Zhuang, X.; Xiang, X.; Liu, Y.; Zhang, S.; Liu, C.; Barnes, S.; Grizzle, W.; Miller, D.; Zhang, H.G. A novel nanoparticle drug delivery system: The anti-inflammatory activity of curcumin is enhanced when encapsulated in exosomes. Mol. Ther. 2010, 18, 1606–1614. [Google Scholar] [CrossRef]
- Trams, E.G.; Lauter, C.J.; Salem, N., Jr.; Heine, U. Exfoliation of membrane ecto-enzymes in the form of micro-vesicles. Biochim Biophys. Acta 1981, 645, 63–70. [Google Scholar] [CrossRef]
- Kim, H.; Jang, H.; Cho, H.; Choi, J.; Hwang, K.Y.; Choi, Y.; Kim, S.H.; Yang, Y. Recent Advances in Exosome-Based Drug Delivery for Cancer Therapy. Cancers 2021, 13, 4435. [Google Scholar] [CrossRef]
- Rosas, L.E.; Elgamal, O.A.; Mo, X.; Phelps, M.A.; Schmittgen, T.D.; Papenfuss, T.L. In vitro immunotoxicity assessment of culture-derived extracellular vesicles in human monocytes. J. Immunotoxicol. 2016, 13, 652–665. [Google Scholar] [CrossRef] [PubMed]
- Aslan, C.; Kiaie, S.H.; Zolbanin, N.M.; Lotfinejad, P.; Ramezani, R.; Kashanchi, F.; Jafari, R. Exosomes for mRNA delivery: A novel biotherapeutic strategy with hurdles and hope. BMC Biotechnol. 2021, 21, 20. [Google Scholar] [CrossRef] [PubMed]
- Whiteside, T.L. Immune modulation of T-cell and NK (natural killer) cell activities by TEXs (tumour-derived exosomes). Biochem. Soc. Trans. 2013, 41, 245–251. [Google Scholar] [CrossRef] [PubMed]
- Tsai, S.J.; Atai, N.A.; Cacciottolo, M.; Nice, J.; Salehi, A.; Guo, C.; Sedgwick, A.; Kanagavelu, S.; Gould, S.J. Exosome-mediated mRNA Delivery in vivo is safe and can be used to induce SARS-CoV-2 immunity. J. Biol. Chem. 2021, 297, 101266. [Google Scholar] [CrossRef] [PubMed]
- Forterre, A.V.; Wang, J.H.; Delcayre, A.; Kim, K.; Green, C.; Pegram, M.D.; Jeffrey, S.S.; Matin, A.C. Extracellular Vesicle-Mediated In Vitro Transcribed mRNA Delivery for Treatment of HER2(+) Breast Cancer Xenografts in Mice by Prodrug CB1954 without General Toxicity. Mol. Cancer Ther. 2020, 19, 858–867. [Google Scholar] [CrossRef]
- Ha, D.; Yang, N.; Nadithe, V. Exosomes as therapeutic drug carriers and delivery vehicles across biological membranes: Current perspectives and future challenges. Acta. Pharm. Sin. B 2016, 6, 287–296. [Google Scholar] [CrossRef]
- Kojima, R.; Bojar, D.; Rizzi, G.; Hamri, G.C.; El-Baba, M.D.; Saxena, P.; Ausländer, S.; Tan, K.R.; Fussenegger, M. Designer exosomes produced by implanted cells intracerebrally deliver therapeutic cargo for Parkinson’s disease treatment. Nat. Commun. 2018, 9, 1305. [Google Scholar] [CrossRef]
- Yang, Z.; Shi, J.; Xie, J.; Wang, Y.; Sun, J.; Liu, T.; Zhao, Y.; Zhao, X.; Wang, X.; Ma, Y.; et al. Large-scale generation of functional mRNA-encapsulating exosomes via cellular nanoporation. Nat. Biomed. Eng. 2020, 4, 69–83. [Google Scholar] [CrossRef]
- Balaj, L.; Lessard, R.; Dai, L.; Cho, Y.J.; Pomeroy, S.L.; Breakefield, X.O.; Skog, J. Tumour microvesicles contain retrotransposon elements and amplified oncogene sequences. Nat. Commun. 2011, 2, 180. [Google Scholar] [CrossRef] [PubMed]
- Usman, W.M.; Pham, T.C.; Kwok, Y.Y.; Vu, L.T.; Ma, V.; Peng, B.; Chan, Y.S.; Wei, L.; Chin, S.M.; Azad, A.; et al. Efficient RNA drug delivery using red blood cell extracellular vesicles. Nat. Commun. 2018, 9, 2359. [Google Scholar] [CrossRef] [PubMed]
- Banchereau, J.; Steinman, R.M. Dendritic cells and the control of immunity. Nature 1998, 392, 245–252. [Google Scholar] [CrossRef] [PubMed]
- Palucka, K.; Banchereau, J. Dendritic-cell-based therapeutic cancer vaccines. Immunity 2013, 39, 38–48. [Google Scholar] [CrossRef]
- Diken, M.; Kreiter, S.; Selmi, A.; Britten, C.M.; Huber, C.; Türeci, Ö.; Sahin, U. Selective uptake of naked vaccine RNA by dendritic cells is driven by macropinocytosis and abrogated upon DC maturation. Gene Ther. 2011, 18, 702–708. [Google Scholar] [CrossRef]
- Boczkowski, D.; Nair, S.K.; Snyder, D.; Gilboa, E. Dendritic cells pulsed with RNA are potent antigen-presenting cells in vitro and in vivo. J. Exp. Med. 1996, 184, 465–472. [Google Scholar] [CrossRef]
- Zhang, R.; Yuan, F.; Shu, Y.; Tian, Y.; Zhou, B.; Yi, L.; Zhang, X.; Ding, Z.; Xu, H.; Yang, L. Personalized neoantigen-pulsed dendritic cell vaccines show superior immunogenicity to neoantigen-adjuvant vaccines in mouse tumor models. Cancer Immunol. Immunother. 2020, 69, 135–145. [Google Scholar] [CrossRef]
- Batich, K.A.; Reap, E.A.; Archer, G.E.; Sanchez-Perez, L.; Nair, S.K.; Schmittling, R.J.; Norberg, P.; Xie, W.; Herndon, J.E., 2nd; Healy, P.; et al. Long-term Survival in Glioblastoma with Cytomegalovirus pp65-Targeted Vaccination. Clin. Cancer Res. 2017, 23, 1898–1909. [Google Scholar] [CrossRef]
- Wang, Q.T.; Nie, Y.; Sun, S.N.; Lin, T.; Han, R.J.; Jiang, J.; Li, Z.; Li, J.Q.; Xiao, Y.P.; Fan, Y.Y.; et al. Tumor-associated antigen-based personalized dendritic cell vaccine in solid tumor patients. Cancer Immunol. Immunother. 2020, 69, 1375–1387. [Google Scholar] [CrossRef] [PubMed]
- Vik-Mo, E.O.; Nyakas, M.; Mikkelsen, B.V.; Moe, M.C.; Due-Tønnesen, P.; Suso, E.M.; Sæbøe-Larssen, S.; Sandberg, C.; Brinchmann, J.E.; Helseth, E.; et al. Therapeutic vaccination against autologous cancer stem cells with mRNA-transfected dendritic cells in patients with glioblastoma. Cancer Immunol. Immunother. 2013, 62, 1499–1509. [Google Scholar] [CrossRef]
- Sahin, U.; Oehm, P.; Derhovanessian, E.; Jabulowsky, R.A.; Vormehr, M.; Gold, M.; Maurus, D.; Schwarck-Kokarakis, D.; Kuhn, A.N.; Omokoko, T.; et al. An RNA vaccine drives immunity in checkpoint-inhibitor-treated melanoma. Nature 2020, 585, 107–112. [Google Scholar] [CrossRef] [PubMed]
- Komdeur, F.L.; Singh, A.; van de Wall, S.; Meulenberg, J.J.M.; Boerma, A.; Hoogeboom, B.N.; Paijens, S.T.; Oyarce, C.; de Bruyn, M.; Schuuring, E.; et al. First-in-Human Phase I Clinical Trial of an SFV-Based RNA Replicon Cancer Vaccine against HPV-Induced Cancers. Mol. Ther. 2021, 29, 611–625. [Google Scholar] [CrossRef] [PubMed]
- Reichmuth, A.M.; Oberli, M.A.; Jaklenec, A.; Langer, R.; Blankschtein, D. mRNA vaccine delivery using lipid nanoparticles. Ther. Deliv. 2016, 7, 319–334. [Google Scholar] [CrossRef]
- Ndeupen, S.; Qin, Z.; Jacobsen, S.; Bouteau, A.; Estanbouli, H.; Igyártó, B.Z. The mRNA-LNP platform’s lipid nanoparticle component used in preclinical vaccine studies is highly inflammatory. iScience 2021, 24, 103479. [Google Scholar] [CrossRef] [PubMed]
- Packer, M.; Gyawali, D.; Yerabolu, R.; Schariter, J.; White, P. A novel mechanism for the loss of mRNA activity in lipid nanoparticle delivery systems. Nat. Commun. 2021, 12, 6777. [Google Scholar] [CrossRef]
- Shepherd, S.J.; Warzecha, C.C.; Yadavali, S.; El-Mayta, R.; Alameh, M.G.; Wang, L.; Weissman, D.; Wilson, J.M.; Issadore, D.; Mitchell, M.J. Scalable mRNA and siRNA Lipid Nanoparticle Production Using a Parallelized Microfluidic Device. Nano Lett. 2021, 21, 5671–5680. [Google Scholar] [CrossRef]
- Blakney, A.K.; Deletic, P.; McKay, P.F.; Bouton, C.R.; Ashford, M.; Shattock, R.J.; Sabirsh, A. Effect of complexing lipids on cellular uptake and expression of messenger RNA in human skin explants. J. Control Release 2021, 330, 1250–1261. [Google Scholar] [CrossRef]
- Kaczmarek, J.C.; Kauffman, K.J.; Fenton, O.S.; Sadtler, K.; Patel, A.K.; Heartlein, M.W.; DeRosa, F.; Anderson, D.G. Optimization of a Degradable Polymer-Lipid Nanoparticle for Potent Systemic Delivery of mRNA to the Lung Endothelium and Immune Cells. Nano Lett. 2018, 18, 6449–6454. [Google Scholar] [CrossRef]
- Zhang, R.; Men, K.; Zhang, X.; Huang, R.; Tian, Y.; Zhou, B.; Yu, C.; Wang, Y.; Ji, X.; Hu, Q.; et al. Delivery of a Modified mRNA Encoding IL-22 Binding Protein (IL-22BP) for Colon Cancer Gene Therapy. J. Biomed. Nanotechnol. 2018, 14, 1239–1251. [Google Scholar] [CrossRef]
- Apavaloaei, A.; Hardy, M.P.; Thibault, P.; Perreault, C. The Origin and Immune Recognition of Tumor-Specific Antigens. Cancers 2020, 12, 2607. [Google Scholar] [CrossRef]
- Lancaster, E.M.; Jablons, D.; Kratz, J.R. Applications of Next-Generation Sequencing in Neoantigen Prediction and Cancer Vaccine Development. Genet. Test. Mol. Biomarkers 2020, 24, 59–66. [Google Scholar] [CrossRef]
- Vormehr, M.; Türeci, Ö.; Sahin, U. Harnessing Tumor Mutations for Truly Individualized Cancer Vaccines. Annu. Rev. Med. 2019, 70, 395–407. [Google Scholar] [CrossRef] [PubMed]
- Whiteside, T.L.; Demaria, S.; Rodriguez-Ruiz, M.E.; Zarour, H.M.; Melero, I. Emerging Opportunities and Challenges in Cancer Immunotherapy. Clin. Cancer Res. 2016, 22, 1845–1855. [Google Scholar] [CrossRef] [PubMed]
- Butts, C.; Socinski, M.A.; Mitchell, P.L.; Thatcher, N.; Havel, L.; Krzakowski, M.; Nawrocki, S.; Ciuleanu, T.E.; Bosquée, L.; Trigo, J.M.; et al. Tecemotide (L-BLP25) versus placebo after chemoradiotherapy for stage III non-small-cell lung cancer (START): A randomised, double-blind, phase 3 trial. Lancet. Oncol. 2014, 15, 59–68. [Google Scholar] [CrossRef]
Publisher’s Note: MDPI stays neutral with regard to jurisdictional claims in published maps and institutional affiliations. |
© 2022 by the authors. Licensee MDPI, Basel, Switzerland. This article is an open access article distributed under the terms and conditions of the Creative Commons Attribution (CC BY) license (https://creativecommons.org/licenses/by/4.0/).