Photo-Phytotherapeutic Gel Composed of Copaifera reticulata, Chlorophylls, and k-Carrageenan: A New Perspective for Topical Healing
Abstract
1. Introduction
2. Materials and Methods
2.1. Copaifera reticulata Obtention
2.2. Preparation of Gel Formulations
2.3. Texture Profile Analysis
2.4. Rheological Analysis
2.5. Photodynamic Evaluation
2.6. Bacterial Photodynamic Inactivation: In Vitro Assays
2.6.1. Microorganism Preparation
2.6.2. Photodynamic Inactivation of S. aureus Performed by Chlorophylls Gel
2.7. Pododermatitis Treatment: In Vivo Assays in Rabbits
2.7.1. Animal Model
2.7.2. Procedures
2.7.3. Characteristics of the Lighting System
2.8. Histological Analysis
2.9. Statistical analysis
3. Results and Discussion
3.1. Physical and Chemical Aspects
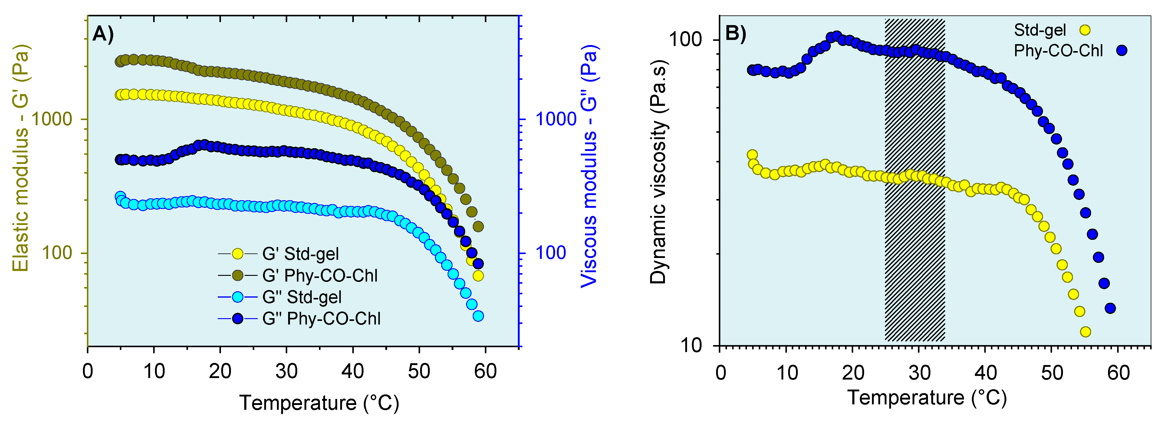
3.2. Mechanical and Rheological Properties
3.3. Photodynamic Inactivation of Staphylococcus Aureus Bacterial
3.4. Photodynamic Treatment: In Vivo Assays in Rabbits
4. Conclusions
Author Contributions
Funding
Institutional Review Board Statement
Informed Consent Statement
Data Availability Statement
Acknowledgments
Conflicts of Interest
References
- Devriendt, N.; de Rooster, H. Initial Management of Traumatic Wounds. Vet. Clin. North Am. Small Anim. Pract. 2017, 47, 1123–1134. [Google Scholar] [CrossRef]
- Milne, K.E.; Penn-Barwell, J.G. Classification and Management of Acute Wounds and Open Fractures. Surgery 2020, 38, 143–149. [Google Scholar] [CrossRef]
- Fernández, J.; Ruiz-Ruiz, M.; Sarasua, J.-R. Electrospun Fibers of Polyester, with Both Nano- and Micron Diameters, Loaded with Antioxidant for Application as Wound Dressing or Tissue Engineered Scaffolds. ACS Appl. Polym. Mater. 2019, 1, 1096–1106. [Google Scholar] [CrossRef]
- Wynne, M. National Wound Management Guidelines. Health Serv. Exec., 2018, 366. Available online: https://healthservice.hse.ie/filelibrary/onmsd/hse-national-wound-management-guidelines-2018.pdf. (accessed on 20 November 2022).
- Edwards, H.; Gibb, M.; Finlayson, K.; Jensen, R. Wound Dressing Guide—Promoting Healthy Skin; 2013; ISBN 9781921897795. Available online: https://research.qut.edu.au/ccm/wp-content/uploads/sites/92/2020/04/24353_Wound-dressing-guide.pdf. (accessed on 20 November 2022).
- Swanson, T.; Angel, D. International Wound Infection Institute Wound Infection in Clinical Practice Update Principles of Best Practice. Wounds Int. 2022, 24, 1–59. [Google Scholar]
- Junior, R.C.D.S.; Campanholi, K.D.S.S.; de Morais, F.A.P.; Pozza, M.S.D.S.; dos Santos, G.T.; Hioka, N.; Caetano, W. Development and Applications of Safranine-Loaded Pluronic® F127 and P123 Photoactive Nanocarriers for Prevention of Bovine Mastitis: In Vitro and in Vivo Studies. Dye. Pigment. 2019, 167, 204–215. [Google Scholar] [CrossRef]
- Campanholi, K.D.S.S.; Braga, G.; Da Silva, J.B.; Da Rocha, N.L.; De Francisco, L.M.B.; De Oliveira, L.; Bruschi, M.L.; De Castro-Hoshino, L.V.; Sato, F.; Hioka, N.; et al. Biomedical Platform Development of a Chlorophyll-Based Extract for Topic Photodynamic Therapy: Mechanical and Spectroscopic Properties. Langmuir 2018, 34, 8230–8244. [Google Scholar] [CrossRef]
- Campanholi, K.D.S.S.; Jaski, J.M.; Junior, R.C.D.S.; Zanqui, A.B.; Lazarin-Bidóia, D.; da Silva, C.M.; da Silva, E.A.; Hioka, N.; Nakamura, C.V.; Cardozo-Filho, L.; et al. Photodamage on Staphylococcus Aureus by Natural Extract from Tetragonia Tetragonoides (Pall.) Kuntze: Clean Method of Extraction, Characterization and Photophysical Studies. J. Photochem. Photobiol. B Biol. 2020, 203, 111763. [Google Scholar] [CrossRef]
- da Silva-Junior, R.C.; Campanholi, K.D.S.S.; de Morais, F.A.P.; Pozza, M.S.D.S.; de Castro-Hoshino, L.V.; Baesso, M.L.; da Silva, J.B.; Bruschi, M.L.; Caetano, W. Photothermal Stimuli-Responsive Hydrogel Containing Safranine for Mastitis Treatment in Veterinary Using Phototherapy. ACS Appl. Bio Mater. 2020, 4, 581–596. [Google Scholar] [CrossRef]
- Kashef, N.; Huang, Y.-Y.; Hamblin, M.R. Advances in Antimicrobial Photodynamic Inactivation at the Nanoscale. Nanophotonics 2017, 6, 853–879. [Google Scholar] [CrossRef]
- Agostinis, P.; Berg, K.; Cengel, K.A.; Foster, T.H.; Girotti, A.W.; Gollnick, S.O.; Hahn, S.M.; Hamblin, M.R.; Juzeniene, A.; Kessel, D.; et al. Photodynamic Therapy of Cancer: An Update. CA. Cancer J. Clin. 2011, 61, 250–281. [Google Scholar] [CrossRef] [PubMed]
- Robertson, C.A.; Evans, D.H.; Abrahamse, H. Photodynamic Therapy (PDT): A Short Review on Cellular Mechanisms and Cancer Research Applications for PDT. J. Photochem. Photobiol. B Biol. 2009, 96, 1–8. [Google Scholar] [CrossRef] [PubMed]
- Kwiatkowski, S.; Knap, B.; Przystupski, D.; Saczko, J.; Kędzierska, E.; Knap-Czop, K.; Kotlińska, J.; Michel, O.; Kotowski, K.; Kulbacka, J. Photodynamic Therapy—Mechanisms, Photosensitizers and Combinations. Biomed. Pharmacother. 2018, 106, 1098–1107. [Google Scholar] [CrossRef] [PubMed]
- Musetti, C.; Spagnul, C.; Mion, G.; Da Ros, S.; Gianferrara, T.; Sissi, C. DNA Targeting by Cationic Porphyrin–Ruthenium(II) Conjugates. Chempluschem 2015, 80, 158–168. [Google Scholar] [CrossRef]
- SBCD. Sociedade Brasileira de Cirurgia Dermatológica. Available online: https://www.sbcd.org.br/procedimentos/oncologicos/terapia-fotodinamica-pdt/ (accessed on 20 November 2022).
- Cortez, D.N.; Moraes, J.T.; Ferreira, I.R.; Silva, E.L.; Lanza, F.M. Custos Do Tratamento de Lesões Cutâneas Na Atenção Primária à Saúde. ESTIMA Brazilian J. Enteros. Ther. 2020, 17, 1–7. [Google Scholar] [CrossRef]
- Kapp, S.; Santamaria, N. The Financial and Quality-of-Life Cost to Patients Living with a Chronic Wound in the Community. Int. Wound J. 2017, 14, 1108–1119. [Google Scholar] [CrossRef]
- Suvorov, N.; Pogorilyy, V.; Diachkova, E.; Vasil’ev, Y.; Mironov, A.; Grin, M. Derivatives of Natural Chlorophylls as Agents for Antimicrobial Photodynamic Therapy. Int. J. Mol. Sci. 2021, 22, 6392. [Google Scholar] [CrossRef] [PubMed]
- Ayaz, F.; Demirbag, B.; Ocakoglu, K. Immunoactive Photosensitizers Had Photodynamic Immunostimulatory and Immunomodulatory Effects on Mammalian Macrophages. Photodiagnosis Photodyn. Ther. 2020, 32, 102034. [Google Scholar] [CrossRef] [PubMed]
- Martins, M.; Albuquerque, C.M.; Pereira, C.F.; Coutinho, J.A.P.; Neves, M.G.P.M.S.; Pinto, D.C.G.A.; Faustino, M.A.F.; Ventura, S.P.M. Recovery of Chlorophyll a Derivative from Spirulina Maxima: Its Purification and Photosensitizing Potential. ACS Sustain. Chem. Eng. 2021, 9, 1772–1780. [Google Scholar] [CrossRef]
- Saberi, S.; Khoobi, M.; Alaeddini, M.; Etemad-Moghadam, S.; Jamshidloo, R.; Mohammadpour, H.; Shahabi, S. The Effect of Photodynamic Therapy on Head and Neck Squamous Cell Carcinoma Cell Lines Using Spirulina Platensis with Different Laser Energy Densities. Photodiagnosis Photodyn. Ther. 2022, 37, 102688. [Google Scholar] [CrossRef]
- Quiñones, O.G.; Hossy, B.H.; Padua, T.A.; de Oliveira Miguel, N.C.; Rosas, E.C.; de Souza Ramos, M.F.; Pierre, M.B.R. Copaiba Oil Enhances in Vitro/in Vivo Cutaneous Permeability and in Vivo Anti-Inflammatory Effect of Celecoxib. J. Pharm. Pharmacol. 2018, 70, 964–975. [Google Scholar] [CrossRef] [PubMed]
- Júnior, J.S.d.A.; da Silva, B.S.; Moraes, T.M.P.; Kasper, A.A.M.; Sartoratto, A.; Baratto, L.C.; de Oliveira, E.C.P.; Oliveira, E.; Barata, L.E.S.; Minervino, A.H.H.; et al. Anti-Inflammatory Potential of the Oleoresin from the Amazonian Tree Copaifera Reticulata with an Unusual Chemical Composition in Rats. Vet. Sci. 2021, 8, 320. [Google Scholar] [CrossRef] [PubMed]
- dos Santos Menezes, A.C.; Alves, L.D.B.; Goldemberg, D.C.; de Melo, A.C.; Antunes, H.S. Anti-Inflammatory and Wound Healing Effect of Copaiba Oleoresin on the Oral Cavity: A Systematic Review. Heliyon 2022, 8, e08993. [Google Scholar] [CrossRef]
- Morguette, A.E.B.; Bigotto, B.G.; Varella, R.D.L.; Andriani, G.M.; Spoladori, L.F.D.A.; Pereira, P.M.L.; De Andrade, F.G.; Lancheros, C.A.C.; Nakamura, C.V.; Arakawa, N.S.; et al. Hydrogel Containing Oleoresin From Copaifera Officinalis Presents Antibacterial Activity Against Streptococcus Agalactiae. Front. Microbiol. 2019, 10, 2806. [Google Scholar] [CrossRef] [PubMed]
- Wagner, V.P.; Webber, L.P.; Ortiz, L.; Rados, P.V.; Meurer, L.; Lameira, O.A.; Lima, R.R.; Martins, M.D. Effects of Copaiba Oil Topical Administration on Oral Wound Healing. Phyther. Res. 2017, 31, 1283–1288. [Google Scholar] [CrossRef]
- de Souza, G.A.; da Silva, N.C.; de Souza, J.; de Oliveira, K.R.; da Fonseca, A.L.; Baratto, L.C.; de Oliveira, E.C.; Varotti, F.D.P.; Moraes, W.P. In Vitro and in Vivo Antimalarial Potential of Oleoresin Obtained from Copaifera Reticulata Ducke (Fabaceae) in the Brazilian Amazon Rainforest. Phytomedicine 2017, 24, 111–118. [Google Scholar] [CrossRef]
- Christ, R.; Santos, V.; Filippi, C.; Schneider, T.; Quintana, L.; Lopes, S.; Aurich, C.; Luehring, J.; Brandelli, A.; Almeida, R. De Antimicrobial Activity of Amazonian Oils against Paenibacillus Species. J. Invertebr. Pathol. 2012, 109, 265–268. [Google Scholar] [CrossRef]
- Tatiane, F.; Trindade, T.; Stabeli, R.G. Copaifera Multijuga Ethanolic Extracts, Oil-Resin and Its Derivatives Display Larvicidal Activity against Anopheles Darlingi and Aedes Aegypti (Diptera: Culicidae). Brazilian J. Pharmacogn. 2013, 23, 464–470. [Google Scholar] [CrossRef]
- Jones, S.C.; Carter, F.L.; Mauldin, J.K. Reticulitermes Flavipes (Kollar) (Isoptera: Rhinotermitidae) Responses to Extracts from Six Brazilian Woods. Environ. Entomol. 1983, 12, 458–462. [Google Scholar] [CrossRef]
- Ricardo, L.M.; Dias, B.M.; Mügge, F.L.B.; Leite, V.V.; Brandão, M.G.L. Evidence of Traditionality of Brazilian Medicinal Plants: The Case Studies of Stryphnodendron Adstringens (Mart.) Coville (Barbatimão) Barks and Copaifera Spp. (Copaíba) Oleoresin in Wound Healing. J. Ethnopharmacol. 2018, 219, 319–336. [Google Scholar] [CrossRef]
- Paiva, L.A.F.; De Alencar Cunha, K.M.; Santos, F.A.; Gramosa, N.V.; Silveira, E.R.; Rao, V.S.N. Investigation on the Wound Healing Activity of Oleo-Resin from Copaifera Langsdorffi in Rats. Phyther. Res. 2002, 16, 737–739. [Google Scholar] [CrossRef]
- Gelmini, F.; Beretta, G.; Anselmi, C.; Centini, M.; Magni, P.; Ruscica, M.; Cavalchini, A.; Maffei, R. GC—MS Profiling of the Phytochemical Constituents of the Oleoresin from Copaifera Langsdorffii Desf. and a Preliminary in Vivo Evaluation of Its Antipsoriatic Effect. Int. J. Pharm. 2013, 440, 170–178. [Google Scholar] [CrossRef]
- de Vigilância Sanitária, A.N.; de Fitoterápicos, F. 2° Edição. Farmacopéia Brasileira. 2021. Available online: https://www.gov.br/anvisa/pt-br/assuntos/farmacopeia/formulario-fitoterapico/2022-fffb2-versao-13-mai-2022.pdf. (accessed on 20 November 2022).
- U.S. Department of Health & Human Services; Food and Drugs Administration. Code of Federal Regulations Title 21; U.S. Department of Health & Human Services: Washington, DC, USA, 2019; Chapter I-Food and Drug Administration—3.
- Campanholi, K.D.S.S.; da Silva, J.B.; Batistela, V.R.; Gonçalves, R.S.; dos Santos, R.S.; Balbinot, R.B.; Lazarin-Bidóia, D.; Bruschi, M.L.; Nakamura, T.U.; Nakamura, C.V.; et al. Design and Optimization of Stimuli-Responsive Emulsion-Filled Gel for Topical Delivery of Copaiba Oil-Resin. J. Pharm. Sci. 2021, 111, 287–292. [Google Scholar] [CrossRef] [PubMed]
- da Silva Souza Campanholi, K.; Sonchini Gonçalves, R.; Bassi da Silva, J.; Said dos Santos, R.; Carla de Oliveira, M.; Barbosa de Souza Ferreira, S.; Vizioli de Castro-Hoshino, L.; Bento Balbinot, R.; Lazarin-Bidóia, D.; Luciano Baesso, M.; et al. Thermal Stimuli-Responsive Topical Platform Based on Copaiba Oil-Resin: Design and Performance upon Ex-Vivo Human Skin. J. Mol. Liq. 2022, 361, 119625. [Google Scholar] [CrossRef]
- Kadota, K.; Nogami, S.; Uchiyama, H.; Tozuka, Y. Controlled Release Behavior of Curcumin from Kappa-Carrageenan Gels with Flexible Texture by the Addition of Metal Chlorides. Food Hydrocoll. 2019, 101, 105564. [Google Scholar] [CrossRef]
- Chen, Y.; Song, C.; Lv, Y.; Qian, X. Konjac Glucomannan/Kappa Carrageenan Interpenetrating Network Hydrogels with Enhanced Mechanical Strength and Excellent Self-Healing Capability. Polymer 2019, 184, 121913. [Google Scholar] [CrossRef]
- Nawaz, S.; Carbone, P. Coarse-Graining Poly(Ethylene Oxide)–Poly(Propylene Oxide)–Poly(Ethylene Oxide) (PEO–PPO–PEO) Block Copolymers Using the MARTINI Force Field. J. Phys. Chem. B 2014, 118, 1648–1659. [Google Scholar] [CrossRef]
- Campanholi, K.D.S.; Gerola, A.P.; Vilsinski, B.H.; de Oliveira, L.; de Morais, F.A.; Rabello, B.R.; Braga, G.; Calori, I.R.; Silva, E.L.; Hioka, N.; et al. Development of Pluronic ® Nanocarriers Comprising Pheophorbide, Zn-Pheophorbide, Lapachol and β-Lapachone Combined Drugs: Photophysical and Spectroscopic Studies. Dye. Pigment. 2018, 157, 238–250. [Google Scholar] [CrossRef]
- Uchiyama, H.; Nogami, S.; Katayama, K.; Hayashi, K.; Kadota, K.; Tozuka, Y. Jelly Containing Composite Based on α-Glucosyl Stevia and Polyvinylpyrrolidone: Improved Dissolution Property of Curcumin. Eur. J. Pharm. Sci. 2018, 117, 48–54. [Google Scholar] [CrossRef]
- Campanholi, K.D.S.S.; Junior, R.C.D.S.; da Silva, I.C.; dos Santos, R.S.; Vecchi, C.F.; Bruschi, M.L.; Pozza, M.S.D.S.; de Castro-Hoshino, L.V.; Baesso, M.L.; Hioka, N.; et al. Stimulus-Responsive Phototherapeutic Micellar Platform of Rose Bengal B: A New Perspective for the Treatment of Wounds. J. Drug Deliv. Sci. Technol. 2021, 66, 102739. [Google Scholar] [CrossRef]
- de Oliveira, É.L.; Ferreira, S.B.S.; de Castro-Hoshino, L.V.; Campanholi, K.D.S.S.; Calori, I.R.; de Morais, F.A.P.; Kimura, E.; da Silva Junior, R.C.; Bruschi, M.L.; Sato, F.; et al. Thermoresponsive Hydrogel-Loading Aluminum Chloride Phthalocyanine as a Drug Release Platform for Topical Administration in Photodynamic Therapy. Langmuir 2021, 37, 3202–3213. [Google Scholar] [CrossRef]
- Plefh, A.C.V.; Hoshino, L.V.C.; Sato, F.; Castilha, L.D.; Santos, T.C.; Vital, A.C.P.; Matumoto-Pintro, P.T. Cloves (Syzygium Aromaticum) Fluid Gel on Healing of Pododermatitis in Rabbits. Vet. Res. Commun. 2021, 45, 293–304. [Google Scholar] [CrossRef]
- RStudio Team. 2015 RStudio: Integrated Development for R; Version 1.1.463; RStudio, Inc.: Boston, MA, USA, 2015. [Google Scholar]
- Pacheco-Quito, E.-M.; Ruiz-Caro, R.; Veiga, M.-D. Carrageenan: Drug Delivery Systems and Other Biomedical Applications. Mar. Drugs 2020, 18, 583. [Google Scholar] [CrossRef] [PubMed]
- Lakowicz, J.R. Principles of Fluorescence Spectroscopy Principles of Fluorescence Spectroscopy; Springer: Berlin/Heidelberg, Germany, 2006; ISBN 978-0-387-31278-1. [Google Scholar]
- Gerola, A.P.; Semensato, J.; Pellosi, D.S.; Batistela, V.R.; Rabello, B.R.; Hioka, N.; Caetano, W. Chemical Determination of Singlet Oxygen from Photosensitizers Illuminated with LED: New Calculation Methodology Considering the Influence of Photobleaching. J. Photochem. Photobiol. A Chem. 2012, 232, 14–21. [Google Scholar] [CrossRef]
- Rabello, B.R.; Gerola, A.P.; Pellosi, D.S.; Tessaro, A.L.; Aparício, J.L.; Caetano, W.; Hioka, N. Singlet Oxygen Dosimetry Using Uric Acid as a Chemical Probe: Systematic Evaluation. J. Photochem. Photobiol. A Chem. 2012, 238, 53–62. [Google Scholar] [CrossRef]
- Li, L.; Ni, R.; Shao, Y.; Mao, S. Carrageenan and Its Applications in Drug Delivery. Carbohydr. Polym. 2014, 103, 1–11. [Google Scholar] [CrossRef]
- Neamtu, B.; Barbu, A.; Negrea, M.O.; Berghea-Neamțu, C.S.; Popescu, D.; Zăhan, M.; Mireșan, V. Carrageenan-Based Compounds as Wound Healing Materials. Int. J. Mol. Sci. 2022, 23, 9117. [Google Scholar] [CrossRef]
- Tadros, T.; Izquierdo, P.; Esquena, J.; Solans, C. Formation and Stability of Nano-Emulsions. Adv. Colloid Interface Sci. 2004, 109, 303–318. [Google Scholar] [CrossRef]
- Pre-proofs, J. Modeling Droplets Swelling and Escape in Double Emulsions Using Population Balance Equations. Chem. Eng. J. 2004, 108-109, 303–318. [Google Scholar] [CrossRef]
- Bui, V.T.N.T.; Nguyen, B.T.; Nicolai, T.; Renou, F. Mixed Iota and Kappa Carrageenan Gels in the Presence of Both Calcium and Potassium Ions. Carbohydr. Polym. 2019, 223, 115107. [Google Scholar] [CrossRef]
- Chen, J.; Chen, W.; Duan, F.; Tang, Q.; Li, X.; Zeng, L.; Zhang, J.; Xing, Z.; Dong, Y.; Jia, L.; et al. The Synergistic Gelation of Okra Polysaccharides with Kappa-Carrageenan and Its Influence on Gel Rheology, Texture Behaviour and Microstructures. Food Hydrocoll. 2019, 87, 425–435. [Google Scholar] [CrossRef]
- Namjoshi, S.; Dabbaghi, M.; Roberts, M.S.; Grice, J.E.; Mohammed, Y. Quality by Design: Development of the Quality Target Product Profile (QTPP) for Semisolid Topical Products. Pharmaceutics 2020, 12, 287. [Google Scholar] [CrossRef] [PubMed]
- Osmałek, T.; Milanowski, B.; Froelich, A.; Górska, S.; Białas, W.; Szybowicz, M.; Kapela, M. Novel Organogels for Topical Delivery of Naproxen: Design, Physicochemical Characteristics and in Vitro Drug Permeation. Pharm. Dev. Technol. 2017, 22, 521–536. [Google Scholar] [CrossRef] [PubMed]
- Amasya, G.; Karavana, S.Y.; Şen, T.; Baloǧlu, E.; Tarimci, N. Bioadhesive and Mechanical Properties of Triamcinolone Acetonide Buccal Gels. Turkish J. Pharm. Sci. 2012, 9, 1–10. [Google Scholar]
- Borghi-Pangoni, F.B.; Junqueira, M.V.; Barbosa, S.; Ferreira, D.S.; Silva, L.L.; Rabello, B.R.; Caetano, W.; Diniz, A.; Bruschi, M.L. Screening and In Vitro Evaluation of Mucoadhesive Thermoresponsive System Containing Methylene Blue for Local Photodynamic Therapy of Colorectal Cancer. Pharm. Res. 2015, 33, 776–791. [Google Scholar] [CrossRef] [PubMed]
- Junqueira, M.V.; Borghi-Pangoni, F.B.; Ferreira, S.B.S.; Rabello, B.R.; Hioka, N.; Bruschi, M.L. Functional Polymeric Systems as Delivery Vehicles for Methylene Blue in Photodynamic Therapy. Langmuir 2016, 32, 19–27. [Google Scholar] [CrossRef]
- Jones, D.S.; Bruschi, M.L.; de Freitas, O.; Gremião, M.P.D.; Lara, E.H.G.; Andrews, G.P. Rheological, Mechanical and Mucoadhesive Properties of Thermoresponsive, Bioadhesive Binary Mixtures Composed of Poloxamer 407 and Carbopol 974P Designed as Platforms for Implantable Drug Delivery Systems for Use in the Oral Cavity. Int. J. Pharm. 2009, 372, 49–58. [Google Scholar] [CrossRef]
- Cristini, V.; Guido, S.; Alfani, A.; Bławzdziewicz, J.; Loewenberg, M. Drop Breakup and Fragment Size Distribution in Shear Flow. J. Rheol. 2003, 47, 1283–1298. [Google Scholar] [CrossRef]
- Tsakalos, V.T.; Navard, P.; Peuvrel-Disdier, E. Deformation and Breakup Mechanisms of Single Drops during Shear. J. Rheol. 1998, 42, 1403–1417. [Google Scholar] [CrossRef]
- Barai, N.; Mandal, N. Breakup Modes of Fluid Drops in Confined Shear Flows. Phys. Fluids 2016, 28, 073302. [Google Scholar] [CrossRef]
- dos Santos, R.S.; da Silva, J.B.; Rosseto, H.C.; Vecchi, C.F.; Campanholi, K.D.S.S.; Caetano, W.; Bruschi, M.L. Emulgels Containing Propolis and Curcumin: The Effect of Type of Vegetable Oil, Poly(Acrylic Acid) and Bioactive Agent on Physicochemical Stability, Mechanical and Rheological Properties. Gels 2021, 7, 120. [Google Scholar] [CrossRef]
- Langendorff, V.; Cuvelier, G.; Launay, B.; Michon, C.; Parker, A.; De Kruif, C.G. Casein Micelle/Iota Carrageenan Interactions in Milk: Influence of Temperature. Food Hydrocoll. 1999, 13, 211–218. [Google Scholar] [CrossRef]
- Dabbaghi, M.; Namjoshi, S.; Panchal, B.; Grice, J.E.; Prakash, S.; Roberts, M.S.; Mohammed, Y. Viscoelastic and Deformation Characteristics of Structurally Different Commercial Topical Systems. Pharmaceutics 2021, 13, 1351. [Google Scholar] [CrossRef]
- Andrews, G.P.; Laverty, T.P.; Jones, D.S. Mucoadhesive Polymeric Platforms for Controlled Drug Delivery. Eur. J. Pharm. Biopharm. 2009, 71, 505–518. [Google Scholar] [CrossRef]
- Baloglu, E.; Karavana, S.Y.; Senyigit, Z.A.; Guneri, T. Rheological and Mechanical Properties of Poloxamer Mixtures as a Mucoadhesive Gel Base. Pharm. Dev. Technol. 2011, 16, 627–636. [Google Scholar] [CrossRef] [PubMed]
- Ferreira, S.B.D.S.; Da Silva, J.B.; Borghi-Pangoni, F.B.; Junqueira, M.V.; Bruschi, M.L. Linear Correlation between Rheological, Mechanical and Mucoadhesive Properties of Polycarbophil Polymer Blends for Biomedical Applications. J. Mech. Behav. Biomed. Mater. 2017, 68, 265–275. [Google Scholar] [CrossRef]
- Ferreira, S.B.D.S.; Moço, T.D.; Borghi-Pangoni, F.B.; Junqueira, M.V.; Bruschi, M.L. Rheological, Mucoadhesive and Textural Properties of Thermoresponsive Polymer Blends for Biomedical Applications. J. Mech. Behav. Biomed. Mater. 2016, 55, 164–178. [Google Scholar] [CrossRef]
- Bruschi, M.L.; Jones, D.S.; Panzeri, H.; Gremião, M.P.D.; De Freitas, O.; Lara, E.H.G. Semisolid Systems Containing Propolis for the Treatment of Periodontal Disease: In Vitro Release Kinetics, Syringeability, Rheological, Textural, and Mucoadhesive Properties. J. Pharm. Sci. 2007, 96, 2074–2089. [Google Scholar] [CrossRef]
- Vangeel, I.; Pasmans, F.; Vanrobaeys, M.; de Herdt, P.; Haesebrouck, F. Prevalence of Dermatophytes in Asymptomatic Guinea Pigs and Rabbits. Vet. Rec. 2000, 146, 440–441. [Google Scholar] [CrossRef]
- Harcourt-Brown, F. Skin Diseases. In Textbook of Rabbit Medicine; Harcourt-Brown, F.E., Ed.; Butterworth-Heinemann: Oxford, UK, 2002; pp. 233–240. [Google Scholar]
- Brychcy, E.; Malik, M.; Drozdzewski, P.; Król, Z.; Jarmoluk, A. Physicochemical and Antibacterial Properties of Carrageenan and Gelatine Hydrosols and Hydrogels Incorporated with Acidic Electrolyzed Water. Polymers 2015, 7, 2638–2649. [Google Scholar] [CrossRef]
- Combuca, R.; Campanholi, K.d.S.S.; Caetano, W.; Pozza, M.S.d.S. Géis e Hidrogéis Fotoativos Contribuem Para Minimizar a Geração de Resíduos Na Produção Leiteira. Bioika 2020, 3191, 1–5. [Google Scholar]
- Martignago, C.C.S.; Tim, C.R.; Assis, L.; Da Silva, V.R.; Dos Santos, E.C.B.; Vieira, F.N.; Parizotto, N.A.; Liebano, R.E. Effects of Red and Near-Infrared LED Light Therapy on Full-Thickness Skin Graft in Rats. Lasers Med. Sci. 2020, 35, 157–164. [Google Scholar] [CrossRef]
- Noreen, S.; Pervaiz, F.; Ashames, A.; Buabeid, M.; Fahelelbom, K.; Shoukat, H.; Maqbool, I.; Murtaza, G. Optimization of Novel Naproxen-Loaded Chitosan/ Carrageenan Nanocarrier-Based Gel for Topical Delivery: Ex Vivo, Histopathological, and in Vivo Evaluation. Pharmaceuticals 2021, 14, 557. [Google Scholar] [CrossRef]
- de Almeida Lucas, F.; Kandrotas, A.L.; Neto, E.N.; de Siqueira, C.E.; André, G.S.; Bromerschenkel, I.; Perri, S.H.V. Copaiba Oil in Experimental Wound Healing in Horses. Ciência Rural 2017, 47, 1–7. [Google Scholar] [CrossRef][Green Version]
- Paranhos, S.B.; da Sliva Ferreira, E.; Canelas, C.A.d.A.; da Paz, S.P.A.; Passos, M.F.; da Costa, C.E.F.; da Silva, A.C.R.; Monteiro, S.N.; Candido, V.S. Chitosan Membrane Containing Copaiba Oil (Copaifera Spp.) for Skin Wound Treatment. Polymers 2021, 14, 35. [Google Scholar] [CrossRef]
- Abou El-ezz, D.; Abdel-Rahman, L.H.; Al-Farhan, B.S.; Mostafa, D.A.; Ayad, E.G.; Basha, M.T.; Abdelaziz, M.; Abdalla, E.M. Enhanced In Vivo Wound Healing Efficacy of a Novel Hydrogel Loaded with Copper (II) Schiff Base Quinoline Complex (CuSQ) Solid Lipid Nanoparticles. Pharmaceuticals 2022, 15, 978. [Google Scholar] [CrossRef] [PubMed]
- Lam, C.R.; Brush, B.E. Chlorophyll and Wound Healing. Am. J. Surg. 1950, 80, 204–210. [Google Scholar] [CrossRef]
- Smith, L.W.; Livingston, A.E. Wound Healing: An Experimental Study of Water Soluble Chlorophyll Derivatives in Conjunction with Various Antibacterial Agents. Am. J. Surg. 1945, 67, 30–39. [Google Scholar] [CrossRef]
- Polat, E.; Kang, K. Natural Photosensitizers in Antimicrobial Photodynamic Therapy. Biomedicines 2021, 9, 584. [Google Scholar] [CrossRef]
- Núñez-Álvarez, C.; Osborne, N.N. Enhancement of Corneal Epithelium Cell Survival, Proliferation and Migration by Red Light: Relevance to Corneal Wound Healing. Exp. Eye Res. 2019, 180, 231–241. [Google Scholar] [CrossRef]
- Chen, X.; Zhou, Y.; Huang, J.; An, D.; Li, L.; Dong, Y.; Gao, Q.; Dong, S. The Effects of Blue and Red Light Color Combinations on the Growth and Immune Performance of Juvenile Steelhead Trout, Oncorhynchus Mykiss. Aquac. Rep. 2022, 24, 1–8. [Google Scholar] [CrossRef]
- Liebert, A.; Bicknell, B.; Markman, W.; Kiat, H. A Potential Role for Photobiomodulation Therapy in Disease Treatment and Prevention in the Era of COVID-19. Aging Dis. 2020, 11, 1352–1362. [Google Scholar] [CrossRef] [PubMed]















| Composition | Formulations (%, w/w) | |||
|---|---|---|---|---|
| Gel-Std | Phy-Chl | Phy-CO | Phy-Chl-CO | |
| Carrageenan | 2.0 | 2.0 | 2.0 | 2.0 |
| F127 | 4.0 | 4.0 | 4.0 | 4.0 |
| Spirulina sp. | 0 | 0.5 | 0 | 0.5 |
| Copaifera reticulata (CO) | 0 | 0 | 4.0 | 4.0 |
| Purified water | 94 | 93.5 | 90 | 89.5 |
| Treatment Group | |
|---|---|
| Dark | Phy-Chl |
| Phy-CO | |
| Phy-CO-Chl | |
| Iodine 10 %, m/V (control) | |
| Light | Phy-Chl |
| Phy-CO-Chl |
| Parameter | Std-Gel | Phy-Chl | Phy-CO | Phy-CO-Chl |
|---|---|---|---|---|
| Hardness (N) | 0.238 ± 0.009 | 0.149 ± 0.005 | 0.184 ± 0.004 | 0.171 ± 0.025 |
| Adhesiveness (N.mm) | 1.033 ± 0.127 | 0.681 ± 0.048 | 0.919 ± 0.032 | 0.881 ± 0.047 |
| Elasticity (mm) | 1.001 ± 0.003 | 1.002 ± 0.005 | 0.999 ± 0.003 | 1.001 ± 0.005 |
| Cohesiveness (dimensionless) | 0.647 ± 0.063 | 0.742 ± 0.023 | 0.680 ± 0.011 | 0.695 ± 0.034 |
| Compressibility (N.mm) | 2.404 ± 0.188 | 1.472 ± 0.116 | 2.050 ± 0.075 | 1.863 ± 0.238 |
| Parameter | Values | Commercial Gel | Reference |
|---|---|---|---|
| Hardness (N) | 0.41 ± 0.02 | Emo® | [59] |
| 0.15 ± 0.01 | Opokan® | [59] | |
| Adhesiveness (N.mm) | 0.57 ± 0.06 | Opokan® | [59] |
| Elasticity (mm) | 0.96 ± 0.06 | Kenacort-A Orabase® | [60] |
| Cohesiveness (dimensionless) | 0.83 ± 0.04 | Emo® | [59] |
| Compressibility (N.mm) | 1.92 ± 0.13 | Kenacort-A Orabase® | [60] |
| Rheological Parameters | K (Pa.s)n | n (Dimensionless) | σy (Pa) |
|---|---|---|---|
| Std-gel | 37.51 ± 2.70 | 0.32 ± 0.02 | 127.65 ± 10.02 |
| Phy-Chl | 18.90 ± 2.27 | 0.40 ± 0.00 | 82.80 ± 8.97 |
| Phy-CO | 30.29 ± 2.92 | 0.39 ± 0.01 | 130.67 ± 17.14 |
| Phy-CO-Chl | 22.72 ± 6.88 | 0.34 ± 0.05 | 106.66 ± 33.41 |
| Treatment | % Wound Contraction | |
|---|---|---|
| Phy-Chl | 86.0 a | Dark |
| Phy-CO | 100.0 a | |
| Phy-Chl-CO | 59.5 a | |
| Phy-Chl | 87.0 a | Light |
| Phy-Chl-CO | 84.0 a | |
| Iodine control | −78.3 ab | |
Publisher’s Note: MDPI stays neutral with regard to jurisdictional claims in published maps and institutional affiliations. |
© 2022 by the authors. Licensee MDPI, Basel, Switzerland. This article is an open access article distributed under the terms and conditions of the Creative Commons Attribution (CC BY) license (https://creativecommons.org/licenses/by/4.0/).
Share and Cite
Campanholi, K.d.S.S.; da Silva Junior, R.C.; Gonçalves, R.S.; de Oliveira, M.C.; Pozza, M.S.d.S.; Leite, A.T.; da Silva, L.H.; Malacarne, L.C.; Bruschi, M.L.; Castilha, L.D.; et al. Photo-Phytotherapeutic Gel Composed of Copaifera reticulata, Chlorophylls, and k-Carrageenan: A New Perspective for Topical Healing. Pharmaceutics 2022, 14, 2580. https://doi.org/10.3390/pharmaceutics14122580
Campanholi KdSS, da Silva Junior RC, Gonçalves RS, de Oliveira MC, Pozza MSdS, Leite AT, da Silva LH, Malacarne LC, Bruschi ML, Castilha LD, et al. Photo-Phytotherapeutic Gel Composed of Copaifera reticulata, Chlorophylls, and k-Carrageenan: A New Perspective for Topical Healing. Pharmaceutics. 2022; 14(12):2580. https://doi.org/10.3390/pharmaceutics14122580
Chicago/Turabian StyleCampanholi, Katieli da Silva Souza, Ranulfo Combuca da Silva Junior, Renato Sonchini Gonçalves, Mariana Carla de Oliveira, Magali Soares dos Santos Pozza, Angela Tiago Leite, Leandro Herculano da Silva, Luis Carlos Malacarne, Marcos Luciano Bruschi, Leandro Dalcin Castilha, and et al. 2022. "Photo-Phytotherapeutic Gel Composed of Copaifera reticulata, Chlorophylls, and k-Carrageenan: A New Perspective for Topical Healing" Pharmaceutics 14, no. 12: 2580. https://doi.org/10.3390/pharmaceutics14122580
APA StyleCampanholi, K. d. S. S., da Silva Junior, R. C., Gonçalves, R. S., de Oliveira, M. C., Pozza, M. S. d. S., Leite, A. T., da Silva, L. H., Malacarne, L. C., Bruschi, M. L., Castilha, L. D., dos Santos, T. C., & Caetano, W. (2022). Photo-Phytotherapeutic Gel Composed of Copaifera reticulata, Chlorophylls, and k-Carrageenan: A New Perspective for Topical Healing. Pharmaceutics, 14(12), 2580. https://doi.org/10.3390/pharmaceutics14122580

