Multifunctional Photoactive Nanomaterials for Photodynamic Therapy against Tumor: Recent Advancements and Perspectives
Abstract
1. Introduction
2. Targeting Photosensitizers via Active/Passive Targeting
3. Inorganic and Organic Nanoparticulate for Active or Passive Photosensitizer Drug Delivery
3.1. Inorganic Nanoparticulate for Active or Passive Photosensitizer Drug Delivery
3.1.1. Silica Nanoparticles
3.1.2. Gold Nanoparticles
3.1.3. Carbon Nanomaterials
3.1.4. Carbon Nanotubes
3.1.5. Fullerene
3.1.6. Graphene
3.1.7. Iron Oxide Nanoparticles
3.1.8. Quantum Dots
3.2. Organic Nanoparticulate for Photosensitizer Drug Delivery
3.2.1. Liposomes
3.2.2. Solid Lipid Nanoparticles
3.2.3. Polymeric Micelles
4. Future Perspectives
5. Conclusions
Author Contributions
Funding
Conflicts of Interest
References
- World Health Organisation. Cancer—Key Facts. 2018. Available online: http://www.who.int/news-room/fact-sheets/detail/cancer (accessed on 24 July 2022).
- Sánchez-Moreno, P.; Ortega-Vinuesa, J.L.; Peula-García, J.M.; Marchal, J.A.; Boulaiz, H. Smart Drug-Delivery Systems for Cancer Nanotherapy. Curr. Drug Targets 2018, 19, 339–359. [Google Scholar] [CrossRef] [PubMed]
- Ediriwickrema, A.; Saltzman, W.M. Nanotherapy for Cancer: Targeting and Multifunctionality in the Future of Cancer Therapies. ACS Biomater. Sci. Eng. 2015, 1, 64–78. [Google Scholar] [CrossRef] [PubMed]
- Jain, R.; Dubey, S.K.; Singhvi, G. The Hedgehog pathway and its inhibitors: Emerging therapeutic approaches for basal cell carcinoma. Drug Discov. Today 2021, 27, 1176–1183. [Google Scholar] [CrossRef] [PubMed]
- Cancer Treatment—Mayo Clinic. Available online: https://www.mayoclinic.org/tests-procedures/cancer-treatment/about/pac-20393344 (accessed on 24 July 2021).
- Agostinis, P.; Berg, K.; Cengel, K.A.; Foster, T.H.; Girotti, A.W.; Gollnick, S.O.; Hahn, S.M.; Hamblin, M.R.; Juzeniene, A.; Kessel, D.; et al. Photodynamic therapy of cancer: An update. CA Cancer J. Clin. 2011, 61, 250–281. [Google Scholar] [CrossRef] [PubMed]
- Anand, S.; Ortel, B.J.; Pereira, S.P.; Hasan, T.; Maytin, E.V. Biomodulatory approaches to photodynamic therapy for solid tumors. Cancer Lett. 2012, 326, 8–16. [Google Scholar] [CrossRef]
- Dougherty, T.J.; Gomer, C.J.; Henderson, B.W.; Jori, G.; Kessel, D.; Korbelik, M.; Moan, J.; Peng, Q. Photodynamic Therapy. J. Natl. Cancer Inst. 1998, 90, 889–905. [Google Scholar] [CrossRef]
- Banerjee, S.M.; El-Sheikh, S.; Malhotra, A.; Mosse, C.A.; Parker, S.; Williams, N.R.; MacRobert, A.J.; Hamoudi, R.; Bown, S.G.; Keshtgar, M.R. Photodynamic Therapy in Primary Breast Cancer. J. Clin. Med. 2020, 9, 483. [Google Scholar] [CrossRef]
- Dolmans, D.E.; Fukumura, D.; Jain, R.K. Photodynamic therapy for cancer. Nat. Rev. Cancer 2003, 3, 380–387. [Google Scholar] [CrossRef]
- Hopper, C. Photodynamic therapy: A clinical reality in the treatment of cancer. Lancet Oncol. 2000, 1, 212–219. [Google Scholar] [CrossRef] [PubMed]
- Jain, R.; Sarode, I.; Singhvi, G.; Dubey, S.K. Nanocarrier Based Topical Drug Delivery—A Promising Strategy for Treatment of Skin Cancer. Curr. Pharm. Des. 2020, 26, 4615–4623. [Google Scholar] [CrossRef]
- Hu, Z.; Oleinick, N.; Hamblin, M.R. Photodynamic Therapy as an Emerging Treatment Modality for Cancer and Non-Cancer Diseases. J. Anal. Bioanal. Tech. 2014, S1, 1. [Google Scholar] [CrossRef]
- Niculescu, A.-G.; Grumezescu, A. Photodynamic Therapy—An Up-to-Date Review. Appl. Sci. 2021, 11, 3626. [Google Scholar] [CrossRef]
- Foresto, E.; Gilardi, P.; Ibarra, L.E.; Cogno, I.S. Light-activated green drugs: How we can use them in photodynamic therapy and mass-produce them with biotechnological tools. Phytomed. Plus 2021, 1, 100044. [Google Scholar] [CrossRef]
- Kwiatkowski, S.; Knap, B.; Przystupski, D.; Saczko, J.; Kędzierska, E.; Knap-Czop, K.; Kotlińska, J.; Michel, O.; Kotowski, K.; Kulbacka, J. Photodynamic therapy—Mechanisms, photosensitizers and combinations. Biomed. Pharmacother. 2018, 106, 1098–1107. [Google Scholar] [CrossRef] [PubMed]
- Detty, M.R.; Gibson, S.L.; Wagner, S.J. Current Clinical and Preclinical Photosensitizers for Use in Photodynamic Therapy. J. Med. Chem. 2004, 47, 3897–3915. [Google Scholar] [CrossRef]
- Dubey, S.K.; Pradyuth, S.K.; Saha, R.N.; Singhvi, G.; Alexander, A.; Agrawal, M.; Shapiro, B.A.; Puri, A. Application of photodynamic therapy drugs for management of glioma. J. Porphyr. Phthalocyanines 2019, 23, 1216–1228. [Google Scholar] [CrossRef]
- Castano, A.P.; Mroz, P.; Hamblin, M.R. Photodynamic therapy and anti-tumour immunity. Nat. Rev. Cancer 2006, 6, 535–545. [Google Scholar] [CrossRef]
- Castano, A.P.; Demidova, T.N.; Hamblin, M.R. Mechanisms in photodynamic therapy: Part one—Photosensitizers, photochemistry and cellular localization. Photodiagn. Photodyn. Ther. 2004, 1, 279–293. [Google Scholar] [CrossRef]
- Castano, A.P.; Demidova, T.N.; Hamblin, M.R. Mechanisms in photodynamic therapy: Part three—Photosensitizer pharmacokinetics, biodistribution, tumor localization and modes of tumor destruction. Photodiagn. Photodyn. Ther. 2005, 2, 91–106. [Google Scholar] [CrossRef]
- Castano, A.P.; Demidova, T.N.; Hamblin, M.R. Mechanisms in photodynamic therapy: Part two—Cellular signaling, cell metabolism and modes of cell death. Photodiagn. Photodyn. Ther. 2005, 2, 1–23. [Google Scholar] [CrossRef]
- Robertson, C.A.; Evans, D.H.; Abrahamse, H. Photodynamic therapy (PDT): A short review on cellular mechanisms and cancer research applications for PDT. J. Photochem. Photobiol. B 2009, 96, 1–8. [Google Scholar] [CrossRef] [PubMed]
- Takahashi, H.; Itoh, Y.; Miyauchi, Y.; Nakajima, S.; Sakata, I.; Ishida-Yamamoto, A.; Iizuka, H. Activation of two caspase cascades, caspase 8/3/6 and caspase 9/3/6, during photodynamic therapy using a novel photosensitizer, ATX-S10(Na), in normal human keratinocytes. Arch. Dermatol. Res. 2003, 295, 242–248. [Google Scholar] [CrossRef] [PubMed]
- Nowis, D.; Makowski, M.; Stokłosa, T.; Legat, M.; Issat, T.; Gołąb, J. Direct tumor damage mechanisms of photodynamic therapy. Acta Biochim. Pol. 2005, 25, 339–352. [Google Scholar] [CrossRef]
- Hypoxia Inducible Factor (HIF-1a and HIF-2a) Expression in Early Esophageal Cancer and Response to Photodynamic Therapy and Radiotherapy|Cancer Research|American Association for Cancer Research. Available online: https://aacrjournals.org/cancerres/article/61/5/1830/508681/Hypoxia-Inducible-Factor-HIF-1a-and-HIF-2a (accessed on 14 December 2021).
- Bechet, D.; Couleaud, P.; Frochot, C.; Viriot, M.-L.; Guillemin, F.; Barberi-Heyob, M. Nanoparticles as vehicles for delivery of photodynamic therapy agents. Trends Biotechnol. 2008, 26, 612–621. [Google Scholar] [CrossRef]
- Keene, J.P.; Kessel, D.; Land, E.J.; Redmond, R.W.; Truscott, T.G. Direct detection of singlet oxygen sensitized by haematoporphyrin and related compounds. Photochem. Photobiol. 1986, 43, 117–120. [Google Scholar] [CrossRef]
- Jain, R.; Pradhan, R.; Hejmady, S.; Singhvi, G.; Dubey, S.K. Fluorescence-based method for sensitive and rapid estimation of chlorin e6 in stealth liposomes for photodynamic therapy against cancer. Spectrochim. Acta Part A Mol. Biomol. Spectrosc. 2020, 244, 118823. [Google Scholar] [CrossRef]
- Tsukagoshi, S. Porfimer sodium (Photofrin-II). Gan to Kagaku ryoho. Cancer Chemother. 1995, 22, 1271–1278. [Google Scholar]
- Photodynamic Therapy with Porfimer Sodium in Treating Patients With Precancerous Lesions, Cancer, or Other Disease of the Aerodigestive Tract—Full Text View—ClinicalTrials.Gov. Available online: https://clinicaltrials.gov/ct2/show/NCT00453336 (accessed on 22 August 2022).
- Hpph|C39H48N4O4—PubChem. Available online: https://pubchem.ncbi.nlm.nih.gov/compound/Hpph#section=Names-and-Identifiers (accessed on 23 August 2022).
- Wu, D.; Liu, Z.; Fu, Y.; Zhang, Y.; Tang, N.; Wang, Q.; Tao, L. Efficacy of 2-(1-hexyloxyethyl)-2-devinyl pyropheophorbide-a in photodynamic therapy of human esophageal squamous cancer cells. Oncol. Lett. 2013, 6, 1111–1119. [Google Scholar] [CrossRef]
- AL(III) Phthalocyanine Chloride Tetrasulfonic Acid|C32H16AlClN8O12S4—PubChem. Available online: https://pubchem.ncbi.nlm.nih.gov/compound/AL_III_-Phthalocyanine-chloride-tetrasulfonic-acid (accessed on 23 August 2022).
- Aluminum Phthalocyanine|C32H16AlN8+—PubChem. Available online: https://pubchem.ncbi.nlm.nih.gov/compound/Aluminum-phthalocyanine (accessed on 23 August 2022).
- Osuchowski, M.; Bartusik-Aebisher, D.; Osuchowski, F.; Aebisher, D. Photodynamic therapy for prostate cancer—A narrative review. Photodiagn. Photodyn. Ther. 2020, 33, 102158. [Google Scholar] [CrossRef]
- Akimoto, J. Photodynamic Therapy for Malignant Brain Tumors. Neurol. Med.-Chir. 2016, 56, 151–157. [Google Scholar] [CrossRef]
- Aminolevulinic Acid Hydrochloride, Known as ALA HCl (Gleolan, NX Development Corp.) as an Optical Imaging Agent Indicated in Patients with Gliomas|FDA. Available online: https://www.fda.gov/drugs/resources-information-approved-drugs/aminolevulinic-acid-hydrochloride-known-ala-hcl-gleolan-nx-development-corp-optical-imaging-agent (accessed on 22 August 2022).
- An, J.S.; Kim, J.E.; Lee, D.H.; Kim, B.Y.; Cho, S.; Kwon, I.H.; Choi, W.W.; Kang, S.M.; Won, C.H.; Chang, S.E.; et al. 0.5% Liposome-encapsulated 5-aminolevulinic acid (ALA) photodynamic therapy for acne treatment. J. Cosmet. Laser Ther. 2011, 13, 28–32. [Google Scholar] [CrossRef] [PubMed]
- Schwake, M.; Schipmann, S.; Müther, M.; Köchling, M.; Brentrup, A.; Stummer, W. 5-ALA fluorescence–guided surgery in pediatric brain tumors—A systematic review. Acta Neurochir. 2019, 161, 1099–1108. [Google Scholar] [CrossRef] [PubMed]
- Hermann, G.G.; Mogensen, K.; Carlsson, S.; Marcussen, N.; Duun, S. Fluorescence-guided transurethral resection of bladder tumours reduces bladder tumour recurrence due to less residual tumour tissue in T a/T1 patients: A randomized two-centre study. BJU Int. 2011, 108, E297–E303. [Google Scholar] [CrossRef] [PubMed]
- A Randomized, Comparative Study of Hexvix Fluorescence Cystoscopy and Standard Cystoscopy in Patients with Non-Invasive Bladder Cancer—Full Text View—ClinicalTrials.Gov. Available online: https://clinicaltrials.gov/ct2/show/NCT00412971 (accessed on 22 August 2022).
- Sharman, W.M.; Allen, C.M.; van Lier, J.E. Photodynamic therapeutics: Basic principles and clinical applications. Drug Discov. Today 1999, 4, 507–517. [Google Scholar] [CrossRef] [PubMed]
- Temoporfin|C44H32N4O4—PubChem. Available online: https://pubchem.ncbi.nlm.nih.gov/compound/60751 (accessed on 23 August 2022).
- Konan, Y.N.; Gurny, R.; Allémann, E. State of the art in the delivery of photosensitizers for photodynamic therapy. J. Photochem. Photobiol. B Biol. 2002, 66, 89–106. [Google Scholar] [CrossRef]
- Lim, C.-K.; Heo, J.; Shin, S.; Jeong, K.; Seo, Y.H.; Jang, W.-D.; Park, C.R.; Park, S.Y.; Kim, S.; Kwon, I.C. Nanophotosensitizers toward advanced photodynamic therapy of Cancer. Cancer Lett. 2013, 334, 176–187. [Google Scholar] [CrossRef] [PubMed]
- Chen, J.; Fan, T.; Xie, Z.; Zeng, Q.; Xue, P.; Zheng, T.; Chen, Y.; Luo, X.; Zhang, H. Advances in nanomaterials for photodynamic therapy applications: Status and challenges. Biomaterials 2020, 237, 119827. [Google Scholar] [CrossRef]
- Chatterjee, D.K.; Fong, L.S.; Zhang, Y. Nanoparticles in photodynamic therapy: An emerging paradigm. Adv. Drug Deliv. Rev. 2008, 60, 1627–1637. [Google Scholar] [CrossRef]
- Abrahamse, H.; Kruger, C.A.; Kadanyo, S.; Mishra, A. Nanoparticles for Advanced Photodynamic Therapy of Cancer. Photomed. Laser Surg. 2017, 35, 581–588. [Google Scholar] [CrossRef]
- Maeda, H.; Wu, J.; Sawa, T.; Matsumura, Y.; Hori, K. Tumor vascular permeability and the EPR effect in macromolecular therapeutics: A review. J. Control. Release 2000, 65, 271–284. [Google Scholar] [CrossRef]
- Paszko, E.; Ehrhardt, C.; Senge, M.O.; Kelleher, D.P.; Reynolds, J.V. Nanodrug applications in photodynamic therapy. Photodiagn. Photodyn. Ther. 2011, 8, 14–29. [Google Scholar] [CrossRef] [PubMed]
- Allison, R.; Mota, H.; Bagnato, V.; Sibata, C. Bio-nanotechnology and photodynamic therapy—State of the art review. Photodiagn. Photodyn. Ther. 2008, 5, 19–28. [Google Scholar] [CrossRef] [PubMed]
- Kadkhoda, J.; Tarighatnia, A.; Barar, J.; Aghanejad, A.; Davaran, S. Recent advances and trends in nanoparticles based photothermal and photodynamic therapy. Photodiagn. Photodyn. Ther. 2022, 37, 102697. [Google Scholar] [CrossRef] [PubMed]
- Lee, D.; Kwon, S.; Jang, S.-Y.; Park, E.; Lee, Y.; Koo, H. Overcoming the obstacles of current photodynamic therapy in tumors using nanoparticles. Bioact. Mater. 2021, 8, 20–34. [Google Scholar] [CrossRef]
- Kim, H.; Mun, S.; Choi, Y. Photosensitizer-conjugated polymeric nanoparticles for redox-responsive fluorescence imaging and photodynamic therapy. J. Mater. Chem. B 2012, 1, 429–431. [Google Scholar] [CrossRef]
- DeRycke, A.S.L. Liposomes for photodynamic therapy. Adv. Drug Deliv. Rev. 2004, 56, 17–30. [Google Scholar] [CrossRef]
- Van Nostrum, C.F. Polymeric micelles to deliver photosensitizers for photodynamic therapy. Adv. Drug Deliv. Rev. 2003, 56, 9–16. [Google Scholar] [CrossRef]
- Alivisatos, P. The use of nanocrystals in biological detection. Nat. Biotechnol. 2003, 22, 47–52. [Google Scholar] [CrossRef]
- Katz, E.; Willner, I. Integrated Nanoparticle-Biomolecule Hybrid Systems: Synthesis, Properties, and Applications. Angew. Chem. Int. Ed. 2004, 43, 6042–6108. [Google Scholar] [CrossRef]
- Naidoo, C.; Kruger, C.A.; Abrahamse, H. Photodynamic Therapy for Metastatic Melanoma Treatment: A Review. Technol. Cancer Res. Treat. 2018, 17, 1533033818791795. [Google Scholar] [CrossRef]
- Debele, T.A.; Peng, S.; Tsai, H.-C. Drug Carrier for Photodynamic Cancer Therapy. Int. J. Mol. Sci. 2015, 16, 22094–22136. [Google Scholar] [CrossRef] [PubMed]
- Hodgkinson, N.; Kruger, C.A.; Abrahamse, H. Targeted photodynamic therapy as potential treatment modality for the eradication of colon cancer and colon cancer stem cells. Tumor Biol. 2017, 39, 1–17. [Google Scholar] [CrossRef] [PubMed]
- Lin, L.; Xiong, L.; Wen, Y.; Lei, S.; Deng, X.; Liu, Z.; Chen, W.; Miao, X. Active Targeting of Nano-Photosensitizer Delivery Systems for Photodynamic Therapy of Cancer Stem Cells. J. Biomed. Nanotechnol. 2015, 11, 531–554. [Google Scholar] [CrossRef] [PubMed]
- Danhier, F.; Feron, O.; Préat, V. To exploit the tumor microenvironment: Passive and active tumor targeting of nanocarriers for anti-cancer drug delivery. J. Control. Release 2010, 148, 135–146. [Google Scholar] [CrossRef] [PubMed]
- Bugaj, A.M. Targeted photodynamic therapy—A promising strategy of tumor treatment. Photochem. Photobiol. Sci. 2011, 10, 1097–1109. [Google Scholar] [CrossRef]
- Zhang, C.; Chen, W.; Zhang, T.; Jiang, X.; Hu, Y. Hybrid nanoparticle composites applied to photodynamic therapy: Strategies and applications. J. Mater. Chem. B 2020, 8, 4726–4737. [Google Scholar] [CrossRef]
- Dos Santos, A.F.; Arini, G.S.; de Almeida, D.R.Q.; Labriola, L. Nanophotosensitizers for cancer therapy: A promising technology? J. Phys. Mater. 2021, 4, 032006. [Google Scholar] [CrossRef]
- Peer, D.; Karp, J.M.; Hong, S.; Farokhzad, O.C.; Margalit, R.; Langer, R. Nanocarriers as an emerging platform for cancer therapy. Nat. Nanotechnol. 2007, 2, 751–760. [Google Scholar] [CrossRef]
- Ferrari, M. Cancer nanotechnology: Opportunities and challenges. Nat. Rev. Cancer 2005, 5, 161–171. [Google Scholar] [CrossRef]
- Singhvi, G.; Rapalli, V.K.; Nagpal, S.; Dubey, S.K.; Saha, R.N. Nanocarriers as Potential Targeted Drug Delivery for Cancer Therapy. In Nanoscience in Medicine; Springer: Cham, Switzerland, 2020; Volume 1, pp. 51–88. [Google Scholar] [CrossRef]
- Liao, Z.; Wong, S.W.; Yeo, H.L.; Zhao, Y. Smart nanocarriers for cancer treatment: Clinical impact and safety. NanoImpact 2020, 20, 100253. [Google Scholar] [CrossRef]
- Couvreur, P.; Vauthier, C. Nanotechnology: Intelligent Design to Treat Complex Disease. Pharm. Res. 2006, 23, 1417–1450. [Google Scholar] [CrossRef] [PubMed]
- Akhtar, M.J.; Ahamed, M.; Alhadlaq, H.A.; Alrokayan, S.A.; Kumar, S. Targeted anticancer therapy: Overexpressed receptors and nanotechnology. Clin. Chim. Acta 2014, 436, 78–92. [Google Scholar] [CrossRef] [PubMed]
- Wu, J.; Liu, Q.; Lee, R.J. A folate receptor-targeted liposomal formulation for paclitaxel. Int. J. Pharm. 2006, 316, 148–153. [Google Scholar] [CrossRef] [PubMed]
- Hejmady, S.; Pradhan, R.; Alexander, A.; Agrawal, M.; Singhvi, G.; Gorain, B.; Tiwari, S.; Kesharwani, P.; Dubey, S.K. Recent advances in targeted nanomedicine as promising antitumor therapeutics. Drug Discov. Today 2020, 25, 2227–2244. [Google Scholar] [CrossRef] [PubMed]
- Chang, M.-H.; Pai, C.-L.; Chen, Y.-C.; Yu, H.-P.; Hsu, C.-Y.; Lai, P.-S. Enhanced Antitumor Effects of Epidermal Growth Factor Receptor Targetable Cetuximab-Conjugated Polymeric Micelles for Photodynamic Therapy. Nanomaterials 2018, 8, 121. [Google Scholar] [CrossRef]
- Lin, X.; Yan, S.-Z.; Qi, S.-S.; Xu, Q.; Han, S.-S.; Guo, L.-Y.; Zhao, N.; Chen, S.-L.; Yu, S.-Q. Transferrin-Modified Nanoparticles for Photodynamic Therapy Enhance the Antitumor Efficacy of Hypocrellin A. Front. Pharmacol. 2017, 8, 815. [Google Scholar] [CrossRef]
- Syu, W.-J.; Yu, H.-P.; Hsu, C.-Y.; Rajan, Y.C.; Hsu, Y.-H.; Chang, Y.-C.; Hsieh, W.-Y.; Wang, C.-H.; Lai, P.-S. Improved Photodynamic Cancer Treatment by Folate-Conjugated Polymeric Micelles in a KB Xenografted Animal Model. Small 2012, 8, 2060–2069. [Google Scholar] [CrossRef]
- Kato, T.; Jin, C.S.; Ujiie, H.; Lee, D.; Fujino, K.; Wada, H.; Hu, H.-P.; Weersink, R.A.; Chen, J.; Kaji, M.; et al. Nanoparticle targeted folate receptor 1-enhanced photodynamic therapy for lung cancer. Lung Cancer 2017, 113, 59–68. [Google Scholar] [CrossRef]
- Zhang, D.; Zheng, A.; Li, J.; Wu, M.; Wu, L.; Wei, Z.; Liao, N.; Zhang, X.; Cai, Z.; Yang, H.; et al. Smart Cu(II)-aptamer complexes based gold nanoplatform for tumor micro-environment triggered programmable intracellular prodrug release, photodynamic treatment and aggregation induced photothermal therapy of hepatocellular carcinoma. Theranostics 2017, 7, 164–179. [Google Scholar] [CrossRef]
- Lucky, S.S.; Idris, N.M.; Huang, K.; Kim, J.; Li, Z.; Thong, P.S.P.; Xu, R.; Soo, K.C.; Zhang, Y. In vivo Biocompatibility, Biodistribution and Therapeutic Efficiency of Titania Coated Upconversion Nanoparticles for Photodynamic Therapy of Solid Oral Cancers. Theranostics 2016, 6, 1844–1865. [Google Scholar] [CrossRef]
- Wang, M.; You, C.; Gao, Z.; Wu, H.; Sun, B.; Zhu, X.; Chen, R. A dual-targeting strategy for enhanced drug delivery and synergistic therapy based on thermosensitive nanoparticles. J. Biomater. Sci. Polym. Ed. 2018, 29, 1360–1374. [Google Scholar] [CrossRef]
- Tan, X.; Pang, X.; Lei, M.; Ma, M.; Guo, F.; Wang, J.; Yu, M.; Tan, F.; Li, N. An efficient dual-loaded multifunctional nanocarrier for combined photothermal and photodynamic therapy based on copper sulfide and chlorin e6. Int. J. Pharm. 2016, 503, 220–228. [Google Scholar] [CrossRef]
- Sun, B.; Wang, L.; Li, Q.; He, P.; Liu, H.; Wang, H.; Yang, Y.; Li, J. Bis(pyrene)-Doped Cationic Dipeptide Nanoparticles for Two-Photon-Activated Photodynamic Therapy. Biomacromolecules 2017, 18, 3506–3513. [Google Scholar] [CrossRef] [PubMed]
- Tsai, W.-H.; Yu, K.-H.; Huang, Y.-C.; Lee, C.-I. EGFR-targeted photodynamic therapy by curcumin-encapsulated chitosan/TPP nanoparticles. Int. J. Nanomed. 2018, ume 13, 903–916. [Google Scholar] [CrossRef]
- Rad, J.K.; Mahdavian, A.R.; Khoei, S.; Shirvalilou, S. Enhanced Photogeneration of Reactive Oxygen Species and Targeted Photothermal Therapy of C6 Glioma Brain Cancer Cells by Folate-Conjugated Gold–Photoactive Polymer Nanoparticles. ACS Appl. Mater. Interfaces 2018, 10, 19483–19493. [Google Scholar] [CrossRef]
- Hah, H.J.; Kim, G.; Orringer, D.A.; Sagher, O.; Philbert, M.A.; Kopelman, R.; Lee, Y.-E.K. Methylene Blue-Conjugated Hydrogel Nanoparticles and Tumor-Cell Targeted Photodynamic Therapy. Macromol. Biosci. 2011, 11, 90–99. [Google Scholar] [CrossRef] [PubMed]
- Bharathiraja, S.; Moorthy, M.S.; Manivasagan, P.; Seo, H.; Lee, K.D.; Oh, J. Chlorin e6 conjugated silica nanoparticles for targeted and effective photodynamic therapy. Photodiagn. Photodyn. Ther. 2017, 19, 212–220. [Google Scholar] [CrossRef] [PubMed]
- Montaseri, H.; Kruger, C.; Abrahamse, H. Inorganic Nanoparticles Applied for Active Targeted Photodynamic Therapy of Breast Cancer. Pharmaceutics 2021, 13, 296. [Google Scholar] [CrossRef] [PubMed]
- Yi, G.; Hong, S.H.; Son, J.; Yoo, J.; Park, C.; Choi, Y.; Koo, H. Recent advances in nanoparticle carriers for photodynamic therapy. Quant. Imaging Med. Surg. 2018, 8, 433–443. [Google Scholar] [CrossRef]
- Lucky, S.S.; Soo, K.C.; Zhang, Y. Nanoparticles in Photodynamic Therapy. Chem. Rev. 2015, 115, 1990–2042. [Google Scholar] [CrossRef]
- Bayir, S.; Barras, A.; Boukherroub, R.; Szunerits, S.; Raehm, L.; Richeter, S.; Durand, J.-O. Mesoporous silica nanoparticles in recent photodynamic therapy applications. Photochem. Photobiol. Sci. 2018, 17, 1651–1674. [Google Scholar] [CrossRef]
- Er, Ö.; Colak, S.; Ocakoglu, K.; Ince, M.; Bresolí-Obach, R.; Mora, M.; Sagristá, M.; Yurt, F.; Nonell, S. Selective Photokilling of Human Pancreatic Cancer Cells Using Cetuximab-Targeted Mesoporous Silica Nanoparticles for Delivery of Zinc Phthalocyanine. Molecules 2018, 23, 2749. [Google Scholar] [CrossRef]
- Planas, O.; Bresolí-Obach, R.; Nos, J.; Gallavardin, T.; Ruiz-González, R.; Agut, M.; Nonell, S. Synthesis, Photophysical Characterization, and Photoinduced Antibacterial Activity of Methylene Blue-loaded Amino- and Mannose-Targeted Mesoporous Silica Nanoparticles. Molecules 2015, 20, 6284–6298. [Google Scholar] [CrossRef]
- Ma, X.; Qu, Q.; Zhao, Y. Targeted Delivery of 5-Aminolevulinic Acid by Multifunctional Hollow Mesoporous Silica Nanoparticles for Photodynamic Skin Cancer Therapy. ACS Appl. Mater. Interfaces 2015, 7, 10671–10676. [Google Scholar] [CrossRef]
- Calavia, P.G.; Bruce, G.; Pérez-García, L.; Russell, D.A. Photosensitiser-gold nanoparticle conjugates for photodynamic therapy of cancer. Photochem. Photobiol. Sci. 2018, 17, 1534–1552. [Google Scholar] [CrossRef]
- Goddard, Z.R.; Beekman, A.M.; Cominetti, M.M.D.; O’Connell, M.A.; Chambrier, I.; Cook, M.J.; Marín, M.J.; Russell, D.A.; Searcey, M. Peptide directed phthalocyanine–gold nanoparticles for selective photodynamic therapy of EGFR overexpressing cancers. RSC Med. Chem. 2020, 12, 288–292. [Google Scholar] [CrossRef]
- Shiao, Y.-S.; Chiu, H.-H.; Wu, P.-H.; Huang, Y.-F. Aptamer-Functionalized Gold Nanoparticles as Photoresponsive Nanoplatform for Co-Drug Delivery. ACS Appl. Mater. Interfaces 2014, 6, 21832–21841. [Google Scholar] [CrossRef]
- Sundaram, P.; Abrahamse, H. Phototherapy Combined with Carbon Nanomaterials (1D and 2D) and their Applications in Cancer Therapy. Materials 2020, 13, 4830. [Google Scholar] [CrossRef]
- Lu, D.; Tao, R.; Wang, Z. Carbon-based materials for photodynamic therapy: A mini-review. Front. Chem. Sci. Eng. 2018, 13, 310–323. [Google Scholar] [CrossRef]
- Wang, L.; Shi, J.; Liu, R.; Liu, Y.; Zhang, J.; Yu, X.; Gao, J.; Zhang, C.; Zhang, Z. Photodynamic effect of functionalized single-walled carbon nanotubes: A potential sensitizer for photodynamic therapy. Nanoscale 2014, 6, 4642–4651. [Google Scholar] [CrossRef]
- Ruan, H.; Li, H.; Li, Q. Nanocarbon Materials for Photodynamic Therapy and Photothermal Therapy. Pharm. Nanotechnol. 2014, 2, 58–64. [Google Scholar] [CrossRef]
- Zhang, M.; Wang, W.; Cui, Y.; Chu, X.; Sun, B.; Zhou, N.; Shen, J. Magnetofluorescent Fe3O4/carbon quantum dots coated single-walled carbon nanotubes as dual-modal targeted imaging and chemo/photodynamic/photothermal triple-modal therapeutic agents. Chem. Eng. J. 2018, 338, 526–538. [Google Scholar] [CrossRef]
- Shi, J.; Ma, R.; Wang, L.; Zhang, J.; Liu, R.; Liu, Y.; Yu, X.; Gao, J.; Li, L.; Hou, L.; et al. The application of hyaluronic acid-derivatized carbon nanotubes in hematoporphyrin monomethyl ether-based photodynamic therapy for in vivo and in vitro cancer treatment. Int. J. Nanomed. 2013, 8, 2361–2373. [Google Scholar] [CrossRef]
- Huang, Y.; Sharma, S.K.; Ying-Ying, H.; Agrawal, T.; Chiang, L.Y.; Hamblin, M.R. Functionalized Fullerenes in Photodynamic Therapy. J. Biomed. Nanotechnol. 2014, 10, 1918–1936. [Google Scholar] [CrossRef]
- Mroz, P.; Tegos, G.P.; Gali, H.; Wharton, T.; Sarna, T.; Hamblin, M.R. Photodynamic therapy with fullerenes. Photochem. Photobiol. Sci. 2007, 6, 1139–1149. [Google Scholar] [CrossRef]
- Liu, Q.; Xu, L.; Zhang, X.; Li, N.; Zheng, J.; Guan, M.; Fang, X.; Wang, C.; Shu, C. Enhanced Photodynamic Efficiency of an Aptamer-Guided Fullerene Photosensitizer toward Tumor Cells. Chem. Asian J. 2013, 8, 2370–2376. [Google Scholar] [CrossRef]
- Zhang, Y.; Zhang, H.; Zou, Q.; Xing, R.; Jiao, T.; Yan, X. An injectable dipeptide–fullerene supramolecular hydrogel for photodynamic antibacterial therapy. J. Mater. Chem. B 2018, 6, 7335–7342. [Google Scholar] [CrossRef]
- Shi, J.; Wang, B.; Wang, L.; Lu, T.; Fu, Y.; Zhang, H.; Zhang, Z. Fullerene (C 60)-based tumor-targeting nanoparticles with “off-on” state for enhanced treatment of cancer. J. Control. Release 2016, 235, 245–258. [Google Scholar] [CrossRef]
- Jaleel, J.A.; Sruthi, S.; Pramod, K. Reinforcing nanomedicine using graphene family nanomaterials. J. Control. Release 2017, 255, 218–230. [Google Scholar] [CrossRef]
- Shi, D.; Li, Y.; Dong, H.; Li, Y. Graphene-based nanovehicles for photodynamic medical therapy. Int. J. Nanomed. 2015, 4, 2451–2459. [Google Scholar] [CrossRef]
- Huang, P.; Xu, C.; Lin, J.; Wang, C.; Wang, X.; Zhang, C.; Zhou, X.; Guo, S.; Cui, D. Folic Acid-conjugated Graphene Oxide loaded with Photosensitizers for Targeting Photodynamic Therapy. Theranostics 2011, 1, 240–250. [Google Scholar] [CrossRef] [PubMed]
- Mukherjee, S.; Liang, L.; Veiseh, O. Recent Advancements of Magnetic Nanomaterials in Cancer Therapy. Pharmaceutics 2020, 12, 147. [Google Scholar] [CrossRef] [PubMed]
- Zeng, L.; Luo, L.; Pan, Y.; Luo, S.; Lu, G.; Wu, A. In vivo targeted magnetic resonance imaging and visualized photodynamic therapy in deep-tissue cancers using folic acid-functionalized superparamagnetic-upconversion nanocomposites. Nanoscale 2015, 7, 8946–8954. [Google Scholar] [CrossRef]
- Patel, K.; Raj, B.S.; Chen, Y.; Lou, X. Novel folic acid conjugated Fe3O4 -ZnO hybrid nanoparticles for targeted photodynamic therapy. Colloids Surf. B Biointerfaces 2017, 150, 317–325. [Google Scholar] [CrossRef] [PubMed]
- Samia, A.C.S.; Chen, X.; Burda, C. Semiconductor Quantum Dots for Photodynamic Therapy. J. Am. Chem. Soc. 2003, 125, 15736–15737. [Google Scholar] [CrossRef]
- Li, M.-M.; Cao, J.; Yang, J.-C.; Shen, Y.-J.; Cai, X.-L.; Chen, Y.-W.; Qu, C.-Y.; Zhang, Y.; Shen, F.; Xu, L.-M. Effects of arginine–glycine–aspartic acid peptide-conjugated quantum dots-induced photodynamic therapy on pancreatic carcinoma in vivo. Int. J. Nanomed. 2017, ume 12, 2769–2779. [Google Scholar] [CrossRef]
- Cao, Y.; Dong, H.; Yang, Z.; Zhong, X.; Chen, Y.; Dai, W.; Zhang, X. Aptamer-Conjugated Graphene Quantum Dots/Porphyrin Derivative Theranostic Agent for Intracellular Cancer-Related MicroRNA Detection and Fluorescence-Guided Photothermal/Photodynamic Synergetic Therapy. ACS Appl. Mater. Interfaces 2016, 9, 159–166. [Google Scholar] [CrossRef]
- Montaseri, H.; Kruger, C.A.; Abrahamse, H. Review: Organic nanoparticle based active targeting for photodynamic therapy treatment of breast cancer cells. Oncotarget 2020, 11, 2120–2136. [Google Scholar] [CrossRef]
- Jin, C.S.; Zheng, G. Liposomal nanostructures for photosensitizer delivery. Lasers Surg. Med. 2011, 43, 734–748. [Google Scholar] [CrossRef]
- Huang, X.; Chen, L.; Zhang, Y.; Zhou, S.; Cai, H.-H.; Li, T.; Jin, H.; Cai, J.; Zhou, H.; Pi, J. GE11 Peptide Conjugated Liposomes for EGFR-Targeted and Chemophotothermal Combined Anticancer Therapy. Bioinorg. Chem. Appl. 2021, 2021, 1–15. [Google Scholar] [CrossRef]
- Broekgaarden, M.; van Vught, R.; Oliveira, S.; Roovers, R.C.; Henegouwen, P.M.P.V.B.E.; Pieters, R.J.; Van Gulik, T.M.; Breukink, E.; Heger, M. Site-specific conjugation of single domain antibodies to liposomes enhances photosensitizer uptake and photodynamic therapy efficacy. Nanoscale 2016, 8, 6490–6494. [Google Scholar] [CrossRef]
- Anilkumar, T.; Lu, Y.-J.; Chen, H.-A.; Hsu, H.-L.; Jose, G.; Chen, J.-P. Dual targeted magnetic photosensitive liposomes for photothermal/photodynamic tumor therapy. J. Magn. Magn. Mater. 2018, 473, 241–252. [Google Scholar] [CrossRef]
- Wöhrle, D.; Shopova, M.; Müller, S.; Milev, A.; Mantareva, V.; Krastev, K. Liposome-delivered Zn(II)-2,3-naphthalocyanines as potential sensitizers for PDT: Synthesis, photochemical, pharmacokinetic and phototherapeutic studies. J. Photochem. Photobiol. B Biol. 1993, 21, 155–165. [Google Scholar] [CrossRef]
- Reddi, E.; Zhou, C.; Biolo, R.; Menegaldo, E.; Jori, G. Liposome- or LDL-administered Zn (II)-phthalocyanine as a photodynamic agent for tumours. I. Pharmacokinetic properties and phototherapeutic efficiency. Br. J. Cancer 1990, 61, 407–411. [Google Scholar] [CrossRef]
- Navarro, F.P.; Creusat, G.; Frochot, C.; Moussaron, A.; Verhille, M.; Vanderesse, R.; Thomann, J.-S.; Boisseau, P.; Texier, I.; Couffin, A.-C.; et al. Preparation and characterization of mTHPC-loaded solid lipid nanoparticles for photodynamic therapy. J. Photochem. Photobiol. B Biol. 2014, 130, 161–169. [Google Scholar] [CrossRef]
- Gibot, L.; Demazeau, M.; Pimienta, V.; Mingotaud, A.-F.; Vicendo, P.; Collin, F.; Martins-Froment, N.; Dejean, S.; Nottelet, B.; Roux, C.; et al. Role of Polymer Micelles in the Delivery of Photodynamic Therapy Agent to Liposomes and Cells. Cancers 2020, 12, 384. [Google Scholar] [CrossRef]
- Lamch, L.; Kulbacka, J.; Dubińska-Magiera, M.; Saczko, J.; Wilk, K.A. Folate-directed zinc (II) phthalocyanine loaded polymeric micelles engineered to generate reactive oxygen species for efficacious photodynamic therapy of cancer. Photodiagn. Photodyn. Ther. 2019, 25, 480–491. [Google Scholar] [CrossRef]
- Liu, Y.; Scrivano, L.; Peterson, J.D.; Fens, M.H.A.M.; Hernández, I.B.; Mesquita, B.; Toraño, J.S.; Hennink, W.E.; Van Nostrum, C.F.; Oliveira, S. EGFR-Targeted Nanobody Functionalized Polymeric Micelles Loaded with mTHPC for Selective Photodynamic Therapy. Mol. Pharm. 2020, 17, 1276–1292. [Google Scholar] [CrossRef]
- Lu, L.; Zhao, X.; Fu, T.; Li, K.; He, Y.; Luo, Z.; Dai, L.; Zeng, R.; Cai, K. An iRGD-conjugated prodrug micelle with blood-brain-barrier penetrability for anti-glioma therapy. Biomaterials 2019, 230, 119666. [Google Scholar] [CrossRef]
- Study Record|Beta ClinicalTrials.Gov. Available online: https://beta.clinicaltrials.gov/study/NCT01673074?distance=50&term=PDT&cond=cancer&rank=2 (accessed on 22 October 2022).
- Study Record|Beta ClinicalTrials.Gov. Available online: https://beta.clinicaltrials.gov/study/NCT01256424?distance=50&term=PDT&cond=cancer&rank=3%5D (accessed on 22 October 2022).
- Kydd, J.; Jadia, R.; Velpurisiva, P.; Gad, A.; Paliwal, S.; Rai, P. Targeting Strategies for the Combination Treatment of Cancer Using Drug Delivery Systems. Pharmaceutics 2017, 9, 46. [Google Scholar] [CrossRef]
- John, J.V.; Chung, C.-W.; Johnson, R.P.; Jeong, Y.-I.; Chung, K.-D.; Kang, D.H.; Suh, H.; Chen, H.; Kim, I. Dual Stimuli-Responsive Vesicular Nanospheres Fabricated by Lipopolymer Hybrids for Tumor-Targeted Photodynamic Therapy. Biomacromolecules 2015, 17, 20–31. [Google Scholar] [CrossRef]
- Zhao, C.; Lu, X.; Li, N.; Yang, G. Natural radioactivity measurements of building materials in Baotou, China. Radiat. Prot. Dosim. 2012, 152, 434–437. [Google Scholar] [CrossRef]


| Sr. No | Photosensitizer with Generic Name | Chemical Structure | Activation Wavelength | Clinical Outcomes | References |
|---|---|---|---|---|---|
| 1 | Porfimer Sodium (Photofrin) | ![]() | 630 nm | Approved for bladder cancer, endobronchial cancer, esophageal cancer, lung cancer, and cervical cancer In clinical trial-brain cancer diagnosis | [30,31,37] |
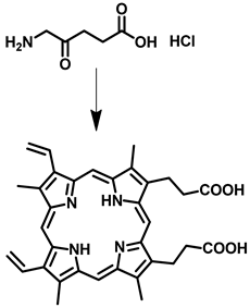
| 2 | 5-Aminolevulinic acid (Levulan and Ameluz) | ![]() | 635 nm | Approved for non-melanoma skin cancers In clinical trial-brain cancer diagnosis | [38,39,40] |
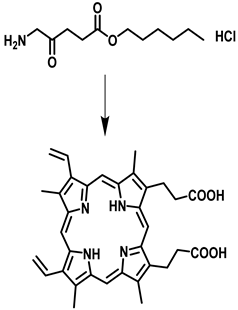
| 3 | Hexaminolevulinate hydrochloride (Hexvix®) | ![]() | 635 nm | Bladder cancer diagnosis | [41,42] |
| 4 | 5,10,15,20-Tetrakis(3-hydroxyphenyl) chlorin/Temoporfin (Foscan) | ![]() | 652 nm | Approved for head and neck cancer, prostate, and pancreatic cancer | [43,44] |
| 5 | 2-(1-Hexyloxyethyl)-2-devinyl pyropheophorbide-a (HPPH) (PhotoChlor) | ![]() | 665 nm | In clinical trial-basal cell carcinoma, esophagus, mouth, and throat cancers, cervical intraepithelial neoplasia | [32,33] |
| 6 | Aluminum phthalocyanine tetrasulfonate chloride (Photosens) | ![]() | 676 nm | Approved—Russia In clinical trials-stomach, skin, oral, and breast cancers | [34,35] |
| 7 | Palladium-Bacteriopheophorbde (WST09)/Padoporfin (Tookad) | ![]() | 763 nm | Approved for prostate cancer in Mexico, Israel and 31 countries of the European Union | [36] |
| Nanocarriers System | Photosensitizer | Tumor over Expression Receptor | Cancer Cell Lines/ Tumor Model | Major Outcomes | Ref |
|---|---|---|---|---|---|
| Methoxypoly(ethylene glycol)-poly(dl-lacticacid) (mPEG-b-PLA) Polymeric micelles | Chlorin e6 | EGFR Receptor | A431 squamous carcinoma cell line & Xenografted mice model | Enhanced PDT effect and uptake with a targeting moiety, percentage of tumor growth inhibition (%TGI) was found to be (84%). | [76] |
| Poly(D,L-Lactide-co-glycolide (PLGA) & carboxymethyl chitosan (CMC) nanoparticle | Hypocrellin A (HA) | Transferrin-receptor | A549 human lung adenocarcinoma cell line & A549 tumor-bearing model Transferrin-receptor (TFR) positive | The tumor inhibition rate was found to be 63% for 15 days of Photodynamic therapy (PDT) treatment in tumor bearing mouse model. | [77] |
| Polymeric micelles | Meta-tetrahydroxyphenyl chlorin (m-THPC) | Folic acid receptor | KB oral cancer cell line & Xenografted animal model | m-THPC-loaded micelles were prepared by using a poly (2-ethyl-2-oxazoline)- b -poly(d, l -lactide) (PEOz-PLA) copolymer. A single dose of m-THPC with folic acid attached to polymeric micelles has shown antitumor effect against KB oral cancer cell line. % TGI rate was found to be 92% and an enhanced PDT effect was observed. | [78] |
| Porphyrin-lipid (porphysomes) | Porphyrin molecule | Folate receptor 1 (FOLR 1) | A549 & SBC5 lung cancer cells & mouse lung orthotopic tumor models | Porphyrin molecule lipid-based active targeted nanoparticle was prepared to enhance the efficacy and specificity of PDT by using FOLR 1. Folate-based porphysomes PDT significantly inhibited cell proliferation in lung cancer. | [79] |
| Gold Nanoparticles (Smart Cu(II)-aptamer complexes-based gold) | Chlorin e6 | Specific targeting aptamers-TLS11a | Hepatocellular carcinoma cell line HepG2 and xenografted mouse model | These smart gold nanoparticles were fabricated for the programable synergistic targeted PDT therapy/Phototheramal therapy (PTT)/chemotherapy functionalities, to provide a synergistic effect for the treatment of hepatocellular carcinoma. | [80] |
| Titania Coated Upconversion NP Titanium dioxide (TiO2) poly ethylene glycol (PEG)up conversion | Chlorin e6 | EGFR Receptor | CAL-27 oral squamous cell carcinoma (OSCC) & xenograft oral cancer tumor mouse model | Anti-EGFR-PEG-TiO2- upconversion nanoparticles as NIR PDT agents were fabricated for oral cancer. Enhanced intratumoral delivery and penetration to the deep thick tumor of head and neck cancer. | [81] |
| Polymeric NP | Chlorin e6 and Indocyanine green | Folic acid receptor and cyclic Arginyl-glycyl-aspartic acid (cRGD) targeting peptides | MCF-7 human breast cancer cell lines | The combination of PDT and Photothermal therapy has been proved to have the potential for tumor inhibition. Tumor apoptosis was found to be 85.9%. | [82] |
| Thermosensitive liposomes (TSL) | Chlorin e6 | Folic acid receptor | Human cervical carcinoma (HeLa) cells & tumor mouse model | Thermosensitive dual drug-loaded nanocarrier for PDT with Photothermal therapy were prepared to utilize copper sulfide (CuS) and chlorin e6. Enhanced PDT effect and cellular uptake along with the controlled release of PS were observed. Higher phototoxicity and tumor inhibition was found. | [83] |
| Cationic dipeptide nanoparticle | Rose Bengal (RB) and bis(pyrene) (BP) | Cationic dipeptide (H-Phe-Phe-NH2_HCl,CDP) | MCF-7 breast cancer | (BP-CDPNP-RB) cationic dipeptide was fabricated for the one or two-photon-induced PDT therapy. Biocompatible and exhibit higher penetrability in tissue and enhances cellular uptake. | [84] |
| Chitosan/tripolyphosphate (TTP) | Curcumin | EGFR receptor | MKN45 human gastric cancer cells | Enhanced PDT effect, Curcumin nanoparticles were quickly taken up by the EGFR-overexpression cells. | [85] |
| Gold–Photoactive Polymer Nanoparticles (Gold acrylic copolymer with imidazole groups) | Spiropyran (SP) | Folic acid receptor | Rat brain C6 glioma cancer cell line | Photo responsive gold-decorated polymer nanoparticles (PGPNPs) were fabricated for improved PDT therapy and targeted efficiency towards rat brain cancer cell lines along with improved cellular uptake by 71.8%. | [86] |
| Polyacrylamide NP | Methylene blue (MB) | F3 peptides | GS-9L & F98 rat glioma & MDA-MB-435 human breast carcinoma cell lines | Tumor targeting MB-conjugated polyacrylamide nanoparticles were fabricated and used for active targeting, Results shows, that enhanced targeting effect and PDT efficacy with increasing dose and irradiation time. | [87] |
| Silica-based | Chlorin e6 | Folic acid receptor | Human breast MDA-MB-231 cancer cells | Silica NPs were fabricated and coated with chlorin e6 and folic acid as a targeting agent. Results show that PDT and cellular uptake have been enhanced. | [88] |
Disclaimer/Publisher’s Note: The statements, opinions and data contained in all publications are solely those of the individual author(s) and contributor(s) and not of MDPI and/or the editor(s). MDPI and/or the editor(s) disclaim responsibility for any injury to people or property resulting from any ideas, methods, instructions or products referred to in the content. |
© 2022 by the authors. Licensee MDPI, Basel, Switzerland. This article is an open access article distributed under the terms and conditions of the Creative Commons Attribution (CC BY) license (https://creativecommons.org/licenses/by/4.0/).
Share and Cite
Jain, R.; Mohanty, S.; Sarode, I.; Biswas, S.; Singhvi, G.; Dubey, S.K. Multifunctional Photoactive Nanomaterials for Photodynamic Therapy against Tumor: Recent Advancements and Perspectives. Pharmaceutics 2023, 15, 109. https://doi.org/10.3390/pharmaceutics15010109
Jain R, Mohanty S, Sarode I, Biswas S, Singhvi G, Dubey SK. Multifunctional Photoactive Nanomaterials for Photodynamic Therapy against Tumor: Recent Advancements and Perspectives. Pharmaceutics. 2023; 15(1):109. https://doi.org/10.3390/pharmaceutics15010109
Chicago/Turabian StyleJain, Rupesh, Shambo Mohanty, Ila Sarode, Swati Biswas, Gautam Singhvi, and Sunil Kumar Dubey. 2023. "Multifunctional Photoactive Nanomaterials for Photodynamic Therapy against Tumor: Recent Advancements and Perspectives" Pharmaceutics 15, no. 1: 109. https://doi.org/10.3390/pharmaceutics15010109
APA StyleJain, R., Mohanty, S., Sarode, I., Biswas, S., Singhvi, G., & Dubey, S. K. (2023). Multifunctional Photoactive Nanomaterials for Photodynamic Therapy against Tumor: Recent Advancements and Perspectives. Pharmaceutics, 15(1), 109. https://doi.org/10.3390/pharmaceutics15010109








