RETRACTED: Lipidic Nano-Sized Emulsomes Potentiates the Cytotoxic and Apoptotic Effects of Raloxifene Hydrochloride in MCF-7 Human Breast Cancer Cells: Factorial Analysis and In Vitro Anti-Tumor Activity Assessment
Abstract
1. Introduction
2. Materials and Methods
2.1. Materials
2.2. Formulation of RLX-EMLs
2.3. Characterization of RLX-EMLs
2.3.1. Vesicle Size and Zeta Potential
2.3.2. Entrapment Efficiency (EE%)
2.3.3. In Vitro Release
2.4. Experimental Design (4131 Full Factorial Design)
2.5. Optimization of RLX-EMLs
2.6. In Vitro Anti-Tumor Activity of Optimized RLX-EMLs in Human Breast Cancer Cells
2.6.1. Cell Culture
2.6.2. MTT Assay
2.6.3. Cell Cycle Analysis
2.6.4. Apoptosis Assay
2.6.5. Evaluation of Bax and Bcl-2 Expressions
2.6.6. Caspase-3 Activation Assay
2.6.7. Mitochondrial Membrane Potential (MMP)
3. Results and Discussion
3.1. Factorial Design Analysis
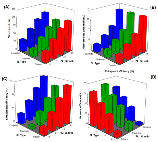
3.1.1. Variables Influence on Vesicle Size (Y1)
3.1.2. Variables Influence on Zeta Potential (Y2)
3.1.3. Variables Influence on Entrapment Efficiency (Y3)
3.1.4. Variables Influence on Drug Release (Y4)
3.2. Selection of the Optimized RLX-EMLs
3.3. In-Vitro Antitumor Activity of Optimized RLX-EMLs
3.3.1. MTT Assay
3.3.2. Cell Cycle Analysis
3.3.3. Apoptosis Assay
3.3.4. Determination of Bax and Bcl2 Expressions, Caspase-9 Activation, and MMP
4. Conclusions
Author Contributions
Funding
Institutional Review Board Statement
Informed Consent Statement
Data Availability Statement
Acknowledgments
Conflicts of Interest
References
- Harbeck, N.; Penault-Llorca, F.; Cortes, J.; Gnant, M.; Houssami, N.; Poortmans, P.; Ruddy, K.; Tsang, J.; Cardoso, F. Breast cancer. Nat. Rev. Dis. Prim. 2019, 5, 1–31. [Google Scholar] [CrossRef] [PubMed]
- Dai, X.; Xiang, L.; Li, T.; Bai, Z. Cancer hallmarks, biomarkers and breast cancer molecular subtypes. J. Cancer 2016, 7, 1281–1294. [Google Scholar] [CrossRef] [PubMed]
- Ahmed, O.A.A.; Badr-Eldin, S.M. In situ misemgel as a multifunctional dual-absorption platform for nasal delivery of raloxifene hydrochloride: Formulation, characterization, and in vivo performance. Int. J. Nanomed. 2018, 13, 6325–6335. [Google Scholar] [CrossRef]
- Murthy, A.; Rao Ravi, P.; Kathuria, H.; Malekar, S. Oral Bioavailability Enhancement of Raloxifene with Nanostructured Lipid Carriers. Nanomaterials 2020, 10, 1085. [Google Scholar] [CrossRef]
- Waters, E.A.; McNeel, T.S.; Stevens, W.M.; Freedman, A.N. Use of tamoxifen and raloxifene for breast cancer chemoprevention in 2010. Breast Cancer Res. Treat. 2012, 134, 875–880. [Google Scholar] [CrossRef]
- Levy, N.; Tatomer, D.; Herber, C.B.; Zhao, X.; Tang, H.; Sargeant, T.; Ball, L.J.; Summers, J.; Speed, T.P.; Leitman, D.C. Differential regulation of native estrogen receptor-regulatory elements by estradiol, tamoxifen, and raloxifene. Mol. Endocrinol. 2008, 22, 287–303. [Google Scholar] [CrossRef] [PubMed]
- Wang, Z.; Li, Y. Raloxifene/SBE-β-CD inclusion complexes formulated into nanoparticles with chitosan to overcome the absorption barrier for bioavailability enhancement. Pharmaceutics 2018, 10, 76. [Google Scholar] [CrossRef]
- Kanade, R.; Boche, M.; Pokharkar, V. Self-Assembling Raloxifene Loaded Mixed Micelles: Formulation Optimization, In Vitro Cytotoxicity and In Vivo Pharmacokinetics. AAPS PharmSciTech 2018, 19, 1105–1115. [Google Scholar] [CrossRef] [PubMed]
- Patra, J.K.; Das, G.; Fraceto, L.F.; Campos, E.V.R.; Rodriguez-Torres, M.D.P.; Acosta-Torres, L.S.; Diaz-Torres, L.A.; Grillo, R.; Swamy, M.K.; Sharma, S.; et al. Nano based drug delivery systems: Recent developments and future prospects 10 Technology 1007 Nanotechnology 03 Chemical Sciences 0306 Physical Chemistry (incl. Structural) 03 Chemical Sciences 0303 Macromolecular and Materials Chemistry 11 Medical and Health Sciences 1115 Pharmacology and Pharmaceutical Sciences 09 Engineering 0903 Biomedical Engineering Prof Ueli Aebi, Prof Peter Gehr. J. Nanobiotechnol. 2018, 16, 71. [Google Scholar]
- Su, Y.L.; Hu, S.H. Functional nanoparticles for tumor penetration of therapeutics. Pharmaceutics 2018, 10, 193. [Google Scholar] [CrossRef]
- Pal, A.; Gupta, S.; Jaiswal, A.; Dube, A.; Vyas, S.P. Development and evaluation of tripalmitin emulsomes for the treatment of experimental visceral leishmaniasis. J. Liposome Res. 2012, 22, 62–71. [Google Scholar] [CrossRef]
- El-Zaafarany, G.M.; Soliman, M.E.; Mansour, S.; Awad, G.A.S. Identifying lipidic emulsomes for improved oxcarbazepine brain targeting: In vitro and rat in vivo studies. Int. J. Pharm. 2016, 503, 127–140. [Google Scholar] [CrossRef] [PubMed]
- Gupta, S.; Vyas, S.P. Development and characterization of amphotericin B bearing emulsomes for passive and active macrophage targeting. J. Drug Target. 2007, 15, 206–217. [Google Scholar] [CrossRef]
- Kumar, R.; Seth, N.; Hari kumar, S.L. Emulsomes: An Emerging Vesicular Drug Delivery System. J. Drug Deliv. Ther. 2013, 3, 133. [Google Scholar] [CrossRef]
- Zhou, X.; Chen, Z. Preparation and performance evaluation of emulsomes as a drug delivery system for silybin. Arch. Pharm. Res. 2015, 38, 2193–2200. [Google Scholar] [CrossRef] [PubMed]
- Varshosaz, J.; Raghami, F.; Rostami, M.; Jahanian, A. PEGylated trimethylchitosan emulsomes conjugated to octreotide for targeted delivery of sorafenib to hepatocellular carcinoma cells of HepG2. J. Liposome Res. 2019, 29, 383–398. [Google Scholar] [CrossRef] [PubMed]
- Bolat, Z.B.; Islek, Z.; Demir, B.N.; Yilmaz, E.N.; Sahin, F.; Ucisik, M.H. Curcumin- and Piperine-Loaded Emulsomes as Combinational Treatment Approach Enhance the Anticancer Activity of Curcumin on HCT116 Colorectal Cancer Model. Front. Bioeng. Biotechnol. 2020, 8, 50. [Google Scholar] [CrossRef] [PubMed]
- Ucisik, M.H.; Sleytr, U.B.; Schuster, B. Emulsomes Meet S-layer Proteins: An Emerging Targeted Drug Delivery System. Curr. Pharm. Biotechnol. 2015, 16, 392–405. [Google Scholar] [CrossRef]
- Awan, Z.A.; Fahmy, U.A.; Badr-eldin, S.M.; Ibrahim, T.S.; Asfour, H.Z.; Al-rabia, M.W.; Alfarsi, A.; Alhakamy, N.A.; Abdulaal, W.H.; Al Sadoun, H.; et al. The enhanced cytotoxic and pro-apoptotic effects of optimized simvastatin-loaded emulsomes on MCF-7 breast cancer cells. Pharmaceutics 2020, 12, 597. [Google Scholar] [CrossRef]
- Alhakamy, N.A.; Badr-Eldin, S.M.; Ahmed, O.A.A.; Asfour, H.Z.; Aldawsari, H.M.; Algandaby, M.M.; Eid, B.G.; Abdel-Naim, A.B.; Awan, Z.A.; Alghaith, A.F.; et al. Piceatannol-loaded emulsomes exhibit enhanced cytostatic and apoptotic activities in colon cancer cells. Antioxidants 2020, 9, 419. [Google Scholar] [CrossRef]
- Fahmy, U.A.; Aldawsari, H.M.; Badr-Eldin, S.M.; Ahmed, O.A.A.; Alhakamy, N.A.; Alsulimani, H.H.; Caraci, F.; Caruso, G. The Encapsulation of Febuxostat into Emulsomes Strongly Enhances the Cytotoxic Potential of the Drug on HCT 116 Colon Cancer Cells. Pharmaceutics 2020, 12, 956. [Google Scholar] [CrossRef] [PubMed]
- Ahmed, O.A.A.; Fahmy, U.A.; Badr-Eldin, S.M.; Aldawsari, H.M.; Awan, Z.A.; Asfour, H.Z.; Kammoun, A.K.; Caruso, G.; Caraci, F.; Alfarsi, A.; et al. Application of nanopharmaceutics for flibanserin brain delivery augmentation via the nasal route. Nanomaterials 2020, 10, 1270. [Google Scholar] [CrossRef] [PubMed]
- Paliwal, R.; Paliwal, S.R.; Mishra, N.; Mehta, A.; Vyas, S.P. Engineered chylomicron mimicking carrier emulsome for lymph targeted oral delivery of methotrexate. Int. J. Pharm. 2009, 380, 181–188. [Google Scholar] [CrossRef] [PubMed]
- Alhakamy, N.A.; Ahmed, O.A.A.; Fahmy, U.A.; Md, S. Development and in vitro evaluation of 2-methoxyestradiol loaded polymeric micelles for enhancing anticancer activities in prostate cancer. Polymers 2021, 13, 884. [Google Scholar] [CrossRef]
- Narayan, R.; Singh, M.; Ranjan, O.P.; Nayak, Y.; Garg, S.; Shavi, G.V.; Nayak, U.Y. Development of risperidone liposomes for brain targeting through intranasal route. Life Sci. 2016, 163, 38–45. [Google Scholar] [CrossRef] [PubMed]
- Trontelj, J.; Vovk, T.; Bogataj, M.; Mrhar, A. HPLC analysis of raloxifene hydrochloride and its application to drug quality control studies. Pharmacol. Res. 2005, 52, 334–339. [Google Scholar] [CrossRef]
- Abdel-Mottaleb, M.M.A.; Lamprecht, A. Standardized in vitro drug release test for colloidal drug carriers using modified USP dissolution apparatus i. Drug Dev. Ind. Pharm. 2011, 37, 178–184. [Google Scholar] [CrossRef]
- Darwesh, B.; Aldawsari, H.M.; Badr-Eldin, S.M. Optimized chitosan/anion polyelectrolyte complex based inserts for vaginal delivery of fluconazole: In vitro/in vivo evaluation. Pharmaceutics 2018, 10, 227. [Google Scholar] [CrossRef]
- Ibrahim, H.K.; Fahmy, R.H. Localized rosuvastatin via implantable bioerodible sponge and its potential role in augmenting bone healing and regeneration. Drug Deliv. 2016, 23, 3181–3192. [Google Scholar] [CrossRef]
- Aldawsari, H.M.; Badr-Eldin, S.M. Enhanced pharmacokinetic performance of dapoxetine hydrochloride via the formulation of instantly-dissolving buccal films with acidic pH modifier and hydrophilic cyclodextrin: Factorial analysis, in vitro and in vivo assessment. J. Adv. Res. 2020, 24, 281–290. [Google Scholar] [CrossRef]
- Al-Mahallawi, A.M.; Abdelbary, A.A.; Aburahma, M.H. Investigating the potential of employing bilosomes as a novel vesicular carrier for transdermal delivery of tenoxicam. Int. J. Pharm. 2015, 485, 329–340. [Google Scholar] [CrossRef] [PubMed]
- Hamidreza Kheiri, M.; Alimohammadi, N.; Danafar, H. Preparation of biocompatible copolymeric micelles as a carrier of atorvastatin and rosuvastatin for potential anticancer activity study. Pharm. Dev. Technol. 2019, 24, 303–313. [Google Scholar] [CrossRef] [PubMed]
- Franco, M.S.; Roque, M.C.; Oliveira, M.C. Short and long-term effects of the exposure of breast cancer cell lines to different ratios of free or co-encapsulated liposomal paclitaxel and doxorubicin. Pharmaceutics 2019, 11, 178. [Google Scholar] [CrossRef] [PubMed]
- Hasanzadeh, D.; Mahdavi, M.; Dehghan, G.; Charoudeh, H.N. Farnesiferol C induces cell cycle arrest and apoptosis mediated by oxidative stress in MCF-7 cell line. Toxicol. Rep. 2017, 4, 420–426. [Google Scholar] [CrossRef]
- Foo, J.B.; Ng, L.S.; Lim, J.H.; Tan, P.X.; Lor, Y.Z.; Loo, J.S.E.; Low, M.L.; Chan, L.C.; Beh, C.Y.; Leong, S.W.; et al. Induction of cell cycle arrest and apoptosis by copper complex Cu (SBCM) 2 towards oestrogen-receptor positive MCF-7 breast cancer cells. RSC Adv. 2019, 9, 18359–18370. [Google Scholar] [CrossRef]
- Ji, Y.; Yu, M.; Qi, Z.; Cui, D.; Xin, G.; Wang, B.; Jia, W.; Chang, L. Study on apoptosis effect of human breast cancer cell MCF-7 induced by lycorine hydrochloride via death receptor pathway. Saudi Pharm. J. 2017, 25, 633–637. [Google Scholar] [CrossRef]
- Hoshyar, N.; Gray, S.; Han, H.; Bao, G. The effect of nanoparticle size on in vivo pharmacokinetics and cellular interaction. Nanomedicine 2016, 11, 673–692. [Google Scholar] [CrossRef]
- Blanco, E.; Shen, H.; Ferrari, M. Principles of nanoparticle design for overcoming biological barriers to drug delivery. Nat. Biotechnol. 2015, 33, 941–951. [Google Scholar] [CrossRef] [PubMed]
- Ramalho, M.J.; Loureiro, J.A.; Coelho, M.A.N.; Pereira, M.C. Factorial design as a tool for the optimization of plga nanoparticles for the co-delivery of temozolomide and o6-benzylguanine. Pharmaceutics 2019, 11, 401. [Google Scholar] [CrossRef]
- Araújo, J.; Gonzalez-Mira, E.; Egea, M.A.; Garcia, M.L.; Souto, E.B. Optimization and physicochemical characterization of a triamcinolone acetonide-loaded NLC for ocular antiangiogenic applications. Int. J. Pharm. 2010, 393, 167–175. [Google Scholar] [CrossRef]
- Riffenburgh, R. Statistics in Medicine; Elsevier Inc.: Amsterdam, The Netherlands, 2012; ISBN 9780123848642. [Google Scholar]
- Ahmed, O.A.A.; Badr-Eldin, S.M. Biodegradable self-assembled nanoparticles of PEG-PLGA amphiphilic diblock copolymer as a promising stealth system for augmented vinpocetine brain delivery. Int. J. Pharm. 2020, 588. [Google Scholar] [CrossRef] [PubMed]
- Jain, A.; Jain, S.K. Formulation and optimization of temozolomide nanoparticles by 3 factor 2 level factorial design. Biomatter 2013, 3. [Google Scholar] [CrossRef] [PubMed]
- Vyas, S.P.; Subhedar, R.; Jain, S. Development and characterization of emulsomes for sustained and targeted delivery of an antiviral agent to liver. J. Pharm. Pharmacol. 2006, 58, 321–326. [Google Scholar] [CrossRef] [PubMed]
- Danaei, M.; Dehghankhold, M.; Ataei, S.; Hasanzadeh Davarani, F.; Javanmard, R.; Dokhani, A.; Khorasani, S.; Mozafari, M.R. Impact of particle size and polydispersity index on the clinical applications of lipidic nanocarrier systems. Pharmaceutics 2018, 10, 57. [Google Scholar] [CrossRef] [PubMed]
- Ahmed, T.A.; Badr-Eldin, S.M.; Ahmed, O.A.A.; Aldawsari, H. Intranasal optimized solid lipid nanoparticles loaded in situ gel for enhancing trans-mucosal delivery of simvastatin. J. Drug Deliv. Sci. Technol. 2018, 48, 499–508. [Google Scholar] [CrossRef]
- Tefas, L.R.; Sylvester, B.; Sesarman, A.; Licarete, E.; Banciu, M. Development of antiproliferative long-circulating liposomes co-encapsulating doxorubicin and curcumin, through the use of a quality-by-design approach. Drug Des. Devel. Ther. 2017, 11, 1605–1621. [Google Scholar] [CrossRef]
- Nayak, A.P.; Tiyaboonchai, W.; Patankar, S.; Madhusudhan, B.; Souto, E.B. Curcuminoids-loaded lipid nanoparticles: Novel approach towards malaria treatment. Colloids Surf. B Biointerfaces 2010, 81, 263–273. [Google Scholar] [CrossRef]
- Gim, S.; Ong, M.; Ming, L.C.; Lee, K.S.; Yuen, K.H. Influence of the Encapsulation Efficiency and Size of Liposome on the Oral Bioavailability of Griseofulvin-Loaded Liposomes. J. Pharm. 2016, 8, 25. [Google Scholar] [CrossRef]
- Tiwari, G.; Tiwari, R.; Wal, P.; Wal, A. Development and Optimization of Liposomes Containing 5 Fluorouracil and Tretinoin for Skin Warts: 32 Experimental Design. J. Pharm. 2019, 44, 17–26. [Google Scholar]
- Rizvi, S.A.A.; Saleh, A.M. Applications of nanoparticle systems in drug delivery technology. Saudi Pharm. J. 2018, 26, 64–70. [Google Scholar] [CrossRef]
- Kim, D.E.; Kim, Y.; Cho, D.H.; Jeong, S.Y.; Kim, S.B.; Suh, N.; Lee, J.S.; Choi, E.K.; Koh, J.Y.; Hwang, J.J.; et al. Raloxifene induces autophagy-dependent cell death in breast cancer cells via the activation of amp-activated protein kinase. Mol. Cells 2015, 38, 138–144. [Google Scholar] [CrossRef]
- Xu, L.; Lei, J.; Jiang, D.; Zhou, L.; Wang, S.; Fan, W. Reversal effects of Raloxifene on paclitaxel resistance in 2 MDR breast cancer cells. Cancer Biol. Ther. 2015, 16, 1794–1801. [Google Scholar] [CrossRef] [PubMed][Green Version]
- Taurin, S.; Nimick, M.; Larsen, L.; Rosengren, R.J. A novel curcumin derivative increases the cytotoxicity of raloxifene in estrogen receptor-negative breast cancer cell lines. Int. J. Oncol. 2016, 48, 385–398. [Google Scholar] [CrossRef][Green Version]
- Elmore, S. Apoptosis: A Review of Programmed Cell Death. Toxicol. Pathol. 2007, 35, 495–516. [Google Scholar] [CrossRef] [PubMed]
- Saelens, X.; Festjens, N.; Vande Walle, L.; Van Gurp, M.; Van Loo, G.; Vandenabeele, P. Toxic proteins released from mitochondria in cell death. Oncogene 2004, 23, 2861–2874. [Google Scholar] [CrossRef]
- Cory, S.; Adams, J.M. The BCL2 family: Regulators of the cellular life-or-death switch. Nat. Rev. Cancer 2002, 2, 647–656. [Google Scholar] [CrossRef] [PubMed]
- Liu, F.T.; Newland, A.C.; Jia, L. Bax conformational change is a crucial step for PUMA-mediated apoptosis in human leukemia. Biochem. Biophys. Res. Commun. 2003, 310, 956–962. [Google Scholar] [CrossRef]





| Independent Variables | Levels | |||
|---|---|---|---|---|
| X1: Lipoid: solid lipid weight ratio | 1:1 | 2:1 | 3:1 | 4:1 |
| X2: Solid lipid type | Tristearin | Tripalmitin | Compritol | |
| Responses | Desirability constraints | |||
| Y1: Vesicle size (nm) | Minimize | |||
| Y2: Zeta potential (mV) | Maximize | |||
| Y3: Entrapment efficiency (%) | Maximize | |||
| Y4: Release efficiency after 6 h (%) | Minimize | |||
| Trial Number | Run Order | Variables Levels | Mean Responses ± SD | ||||
|---|---|---|---|---|---|---|---|
| X1:PL:SL | X2:SL Type | Y1:VS (nm) | Y2:ZP (mV) | Y3:EE (%) | Y4:RE (%) | ||
| 1 | EML-6 | 1:1 | Tristearin | 106.0 ± 3.8 | −15.6 ± 0.3 | 87.2 ± 3.3 | 72.7 ± 3.1 |
| 2 | EML-7 | 2:1 | Tristearin | 160.9 ± 5.2 | −16.3 ± 0.6 | 91.2 ± 3.9 | 64.7 ± 3.7 |
| 3 | EML-2 | 3:1 | Tristearin | 206.2 ± 5.6 | −17.1 ± 0.4 | 95.3 ± 4.8 | 58.2 ± 2.9 |
| 4 | EML-12 | 4:1 | Tristearin | 236.2 ± 8.6 | −18.6 ± 0.7 | 98.9 ± 4.9 | 42.7 ± 1.8 |
| 5 | EML-4 | 1:1 | Tripalmitin | 97.2 ± 1.8 | −15.4 ± 0.6 | 85.5 ± 2.8 | 75.9 ± 3.2 |
| 6 | EML-9 | 2:1 | Tripalmitin | 137.0 ± 5.2 | −16.7 ± 0.6 | 90.4 ± 3.8 | 66.9 ± 2.9 |
| 7 | EML-5 | 3:1 | Tripalmitin | 192.2 ± 5.1 | −17.1 ± 0.2 | 93.1 ± 2.7 | 60.9 ± 2.4 |
| 8 | EML-10 | 4:1 | Tripalmitin | 223.2 ± 8.7 | −17.9 ± 0.8 | 98.2 ± 4.6 | 49.3 ± 2.3 |
| 9 | EML-1 | 1:1 | Compritol | 119.1 ± 3.3 | −16.1 ± 0.6 | 89.2 ± 3.1 | 71.2 ± 3.3 |
| 10 | EML-3 | 2:1 | Compritol | 174.9 ± 4.2 | −15.9 ± 0.3 | 91.9 ± 3.9 | 63.2 ± 2.7 |
| 11 | EML-11 | 3:1 | Compritol | 215.3± 9.3 | −16.8 ± 0.5 | 96.8 ± 4.1 | 53.1 ± 2.1 |
| 12 | EML-8 | 4:1 | Compritol | 247.1 ± 9.8 | −18.9 ± 0.7 | 99.1 ± 4.1 | 41.6 ± 1.9 |
| Response | p-Value | R2 | Adjusted R2 | Predicted R2 | Adequate Precision | Significant Factors |
|---|---|---|---|---|---|---|
| Y1:VS (nm) | <0.0001 | 0.9965 | 0.9937 | 0.9862 | 52.94 | X1, X2 |
| Y2:ZP (mV) | 0.0031 | 0.9201 | 0.8534 | 0.7802 | 9.57 | X1 |
| Y3:EE (%) | <0.0001 | 0.9859 | 0.9741 | 0.9434 | 26.42 | X1, X2 |
| Y4:RE (%) | <0.0001 | 0.9917 | 0.9847 | 0.9667 | 34.92 | X1, X2 |
Publisher’s Note: MDPI stays neutral with regard to jurisdictional claims in published maps and institutional affiliations. |
© 2021 by the authors. Licensee MDPI, Basel, Switzerland. This article is an open access article distributed under the terms and conditions of the Creative Commons Attribution (CC BY) license (https://creativecommons.org/licenses/by/4.0/).
Share and Cite
Aldawsari, H.M.; Ahmed, O.A.A.; Alhakamy, N.A.; Neamatallah, T.; Fahmy, U.A.; Badr-Eldin, S.M. RETRACTED: Lipidic Nano-Sized Emulsomes Potentiates the Cytotoxic and Apoptotic Effects of Raloxifene Hydrochloride in MCF-7 Human Breast Cancer Cells: Factorial Analysis and In Vitro Anti-Tumor Activity Assessment. Pharmaceutics 2021, 13, 783. https://doi.org/10.3390/pharmaceutics13060783
Aldawsari HM, Ahmed OAA, Alhakamy NA, Neamatallah T, Fahmy UA, Badr-Eldin SM. RETRACTED: Lipidic Nano-Sized Emulsomes Potentiates the Cytotoxic and Apoptotic Effects of Raloxifene Hydrochloride in MCF-7 Human Breast Cancer Cells: Factorial Analysis and In Vitro Anti-Tumor Activity Assessment. Pharmaceutics. 2021; 13(6):783. https://doi.org/10.3390/pharmaceutics13060783
Chicago/Turabian StyleAldawsari, Hibah M., Osama A. A. Ahmed, Nabil A. Alhakamy, Thikryat Neamatallah, Usama A. Fahmy, and Shaimaa M. Badr-Eldin. 2021. "RETRACTED: Lipidic Nano-Sized Emulsomes Potentiates the Cytotoxic and Apoptotic Effects of Raloxifene Hydrochloride in MCF-7 Human Breast Cancer Cells: Factorial Analysis and In Vitro Anti-Tumor Activity Assessment" Pharmaceutics 13, no. 6: 783. https://doi.org/10.3390/pharmaceutics13060783
APA StyleAldawsari, H. M., Ahmed, O. A. A., Alhakamy, N. A., Neamatallah, T., Fahmy, U. A., & Badr-Eldin, S. M. (2021). RETRACTED: Lipidic Nano-Sized Emulsomes Potentiates the Cytotoxic and Apoptotic Effects of Raloxifene Hydrochloride in MCF-7 Human Breast Cancer Cells: Factorial Analysis and In Vitro Anti-Tumor Activity Assessment. Pharmaceutics, 13(6), 783. https://doi.org/10.3390/pharmaceutics13060783

