Ionic Cross-Linking as a Strategy to Modulate the Properties of Oral Mucoadhesive Microparticles Based on Polysaccharide Blends
Abstract
1. Introduction
2. Materials and Methods
2.1. Materials
2.2. Methods
2.2.1. Development of polysaccharide-based microparticles
Retrogradation of High-amylose Starch
Polysaccharide-based Microparticles (PMs) by Ionic-cross-linking
2.2.2. Microparticle Characterization
Particle Size, Span Index, and Circularity Index
Surface and Internal Structure Analyses by Field Emission Scanning Electron Microscopy
Liquid Uptake and Erosion of PMs
Erosion Percentage of PMs
Evaluation of PMs Enzymatic Degradation in Simulated Gastric and Enteric Media
2.2.3. Microparticle mucoadhesiveness
PMs Mucoadhesiveness by Porcine Mucosa Assay
In Vitro Mucin Adsorption
Mucin Adsorption Curves
3. Results and Discussion
3.1. Development of Polymeric Microparticles (PMs)
Effect of Ionic Cross-Linkers on the Size and Morphology of PMs
3.2. Effect of Ionic cross-linkers on Liquid Uptake and Erosion of PMs in Simulated Gastric and Enteric Media
3.3. Effect of Ionic Cross-Linkers on Enzymatic Degradation of Mps in Simulated Gastric and Enteric Media
3.4. Effect of Ionic Cross-linking on Mucoadhesiveness
3.4.1. PMs Mucoadhesiveness by the Porcine Mucosa Assay
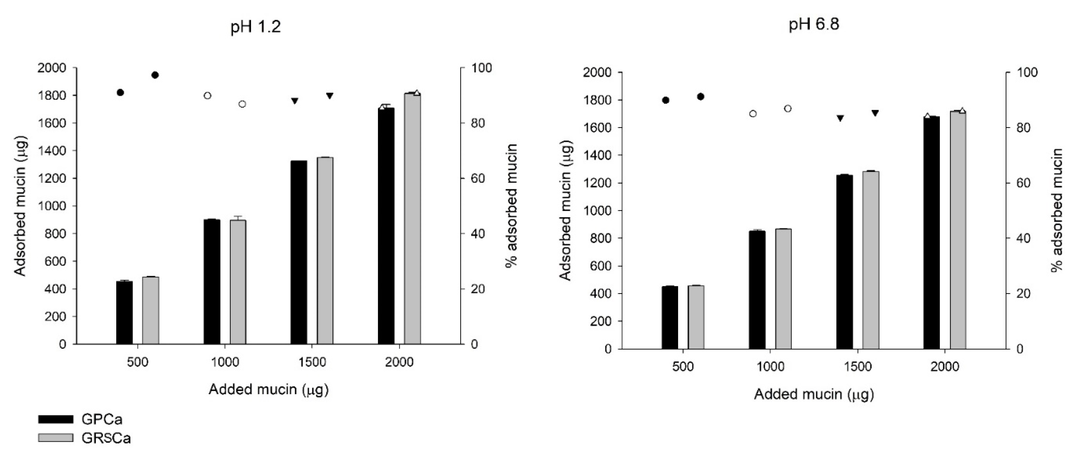
3.4.2. In vitro mucin absorption
4. Conclusions
Author Contributions
Funding
Data Availability Statement
Acknowledgments
Conflicts of Interest
References
- Homayun, B.; Lin, X.; Choi, H.-J. Challenges and Recent Progress in Oral Drug Delivery Systems for Biopharmaceuticals. Pharmaceutics 2019, 11, 129. [Google Scholar] [CrossRef]
- Prezotti, F.G.; Boni, F.I.; Ferreira, N.N.; Silva, D.S.; Almeida, A.; Vasconcelos, T.; Sarmento, B.; Gremião, M.P.D.; Cury, B.S.F. Oral nanoparticles based on gellan gum/pectin for colon-targeted delivery of resveratrol. Drug Dev. Ind. Pharm. 2020, 46, 236–245. [Google Scholar] [CrossRef] [PubMed]
- Prezotti, F.G.; Boni, F.I.; De Souza, D.; Campana-filho, S.P.; Almeida, A.; Palmira, M.; Gremi, D.; Stringhetti, B.; Cury, F. Gellan Gum / Pectin Beads Are Safe and Efficient for the Targeted Colonic Delivery of Resveratrol. Polymers (Basel) 2018, 10, 50. [Google Scholar] [CrossRef] [PubMed]
- Boni, F.I.; Prezotti, F.G.; Cury, B.S.F. Gellan gum microspheres crosslinked with trivalent ion: Effect of polymer and crosslinker concentrations on drug release and mucoadhesive properties. Drug Dev. Ind. Pharm. 2016, 42, 1283–1290. [Google Scholar] [CrossRef] [PubMed]
- Meneguin, A.B.; Beyssac, E.; Garrait, G.; Hsein, H.; Cury, B.S.F. Retrograded starch/pectin coated gellan gum-microparticles for oral administration of insulin: A technological platform for protection against enzymatic degradation and improvement of intestinal permeability. Eur. J. Pharm. Biopharm. 2018, 123, 84–94. [Google Scholar] [CrossRef]
- de Oliveira Cardoso, V.M.; Stringhetti Ferreira Cury, B.; Evangelista, R.C.; Daflon Gremião, M.P. Development and characterization of cross-linked gellan gum and retrograded starch blend hydrogels for drug delivery applications. J. Mech. Behav. Biomed. Mater. 2017, 65, 317–333. [Google Scholar] [CrossRef]
- Chen, J.; Li, X.; Chen, L.; Xie, F. Starch film-coated microparticles for oral colon-specific drug delivery. Carbohydr. Polym. 2018, 191, 242–254. [Google Scholar] [CrossRef] [PubMed]
- Wong, C.Y.; Al-Salami, H.; Dass, C.R. Microparticles, microcapsules and microspheres: A review of recent developments and prospects for oral delivery of insulin. Int. J. Pharm. 2018, 537, 223–244. [Google Scholar] [CrossRef] [PubMed]
- dos Santos, A.M.; Meneguin, A.B.; Akhter, D.T.; Fletcher, N.; Houston, Z.H.; Bell, C.; Thurecht, K.J.; Gremião, M.P.D. Understanding the role of colon-specific microparticles based on retrograded starch/pectin in the delivery of chitosan nanoparticles along the gastrointestinal tract. Eur. J. Pharm. Biopharm. 2021, 158, 371–378. [Google Scholar] [CrossRef]
- Ma, Y.; Fuchs, A.V.; Boase, N.R.B.; Rolfe, B.E.; Coombes, A.G.A.; Thurecht, K.J. The in vivo fate of nanoparticles and nanoparticle-loaded microcapsules after oral administration in mice: Evaluation of their potential for colon-specific delivery. Eur. J. Pharm. Biopharm. 2015, 94, 393–403. [Google Scholar] [CrossRef]
- Sriamornsak, P.; Wattanakorn, N.; Takeuchi, H. Study on the mucoadhesion mechanism of pectin by atomic force microscopy and mucin-particle method. Carbohydr. Polym. 2010, 79, 54–59. [Google Scholar] [CrossRef]
- Osmałek, T.; Froelich, A.; Tasarek, S. Application of gellan gum in pharmacy and medicine. Int. J. Pharm. 2014, 466, 328–340. [Google Scholar] [CrossRef]
- Carvalho, F.C.; Bruschi, M.L.; Evangelista, R.C.; Gremião, M.P.D. Mucoadhesive drug delivery systems. Braz. J. Pharm. Sci. 2010, 46, 1–17. [Google Scholar] [CrossRef]
- Lopez-Mendez, T.B.; Santos-Vizcaino, E.; Pedraz, J.L.; Hernandez, R.M.; Orive, G. Cell microencapsulation technologies for sustained drug delivery: Clinical trials and companies. Drug Discov. Today 2020. [Google Scholar] [CrossRef]
- Granfeldt, Y.E.; Drews, A.W.; Björck, I.M.E. Starch Bioavailability in Arepas Made from Ordinary or High Amylose Corn: Concentration and Gastrointestinal Fate of Resistant Starch in Rats. J. Nutr. 1993, 123, 1676–1684. [Google Scholar] [CrossRef]
- de Oliveira Cardoso, V.M.; Gremião, M.P.D.; Cury, B.S.F. Mucin-polysaccharide interactions: A rheological approach to evaluate the effect of pH on the mucoadhesive properties. Int. J. Biol. Macromol. 2020, 149, 234–245. [Google Scholar] [CrossRef]
- Meneguin, A.B.; Cury, B.S.F.; Evangelista, R.C. Films from resistant starch-pectin dispersions intended for colonic drug delivery. Carbohydr. Polym. 2014, 99, 140–149. [Google Scholar] [CrossRef]
- Ferreira, N.N.; Perez, T.A.; Pedreiro, L.N.; Prezotti, F.G.; Boni, F.I.; de Oliveira Cardoso, V.M.; Venâncio, T.; Gremião, M.P.D. A novel pH-responsive hydrogel-based on calcium alginate engineered by the previous formation of polyelectrolyte complexes (PECs) intended to vaginal administration. Drug Dev. Ind. Pharm. 2017, 43, 1656–1668. [Google Scholar] [CrossRef] [PubMed]
- Hur, S.J.; Lim, B.O.; Decker, E.A.; McClements, D.J. In vitro human digestion models for food applications. Food Chem. 2011, 125, 1–12. [Google Scholar] [CrossRef]
- Carbinatto, F.M.; Ribeiro, T.S.; Colnago, L.A.; Evangelista, R.C.; Cury, B.S.F. Preparation and Characterization of Amylose Inclusion Complexes for Drug Delivery Applications. J. Pharm. Sci. 2016, 105, 231–241. [Google Scholar] [CrossRef]
- Prezotti, F.G.; Cury, B.S.F.; Evangelista, R.C. Mucoadhesive beads of gellan gum/pectin intended to controlled delivery of drugs. Carbohydr. Polym. 2014, 113, 286–295. [Google Scholar] [CrossRef]
- Li, Y.-H.; Di, Z.; Ding, J.; Wu, D.; Luan, Z.; Zhu, Y. Adsorption thermodynamic, kinetic and desorption studies of Pb2+ on carbon nanotubes. Water Res. 2005, 39, 605–609. [Google Scholar] [CrossRef]
- Giles, C.H.; MacEwan, T.H.; Nakhwa, S.N.; Smith, D. Studies in Adsorption. Part XI.* A System. J. Chem. Soc. Perkin Trans. 2 1958, 846, 3973–3993. [Google Scholar]
- de Oliveira Cardoso, V.M.; Evangelista, R.C.; Daflon Gremião, M.P.; Stringhetti Ferreira Cury, B. Insights into the impact of cross-linking processes on physicochemical characteristics and mucoadhesive potential of gellan gum/retrograded starch microparticles as a platform for colonic drug release. J. Drug Deliv. Sci. Technol. 2020, 55, 101445. [Google Scholar] [CrossRef]
- Siepman, J.; Faisant, N.; Akiki, J.; Richard, J.; Benoit, J. Effect of the Size of Biodegradable Microparticles on Drug Release: Experiment and Theory Effect of the size of biodegradable microparticles on drug release: Experiment and theory. J. Control. Release 2004, 96, 123–134. [Google Scholar] [CrossRef] [PubMed]
- Maiti, S.; Ranjit, S.; Mondol, R.; Ray, S.; Sa, B. Al+3 ion cross-linked and acetalated gellan hydrogel network beads for prolonged release of glipizide. Carbohydr. Polym. 2011, 85, 164–172. [Google Scholar] [CrossRef]
- Fuentes-Zaragoza, E.; Riquelme-Navarrete, M.J.; Sánchez-Zapata, E.; Pérez-Álvarez, J.A. Resistant starch as functional ingredient: A review. Food Res. Int. 2010, 43, 931–942. [Google Scholar] [CrossRef]
- Hosseini, S.M.; Hosseini, H.; Mohammadifar, M.A.; German, J.B.; Mortazavian, A.M.; Mohammadi, A.; Khosravi-Darani, K.; Shojaee-Aliabadi, S.; Khaksar, R. Preparation and characterization of alginate and alginate-resistant starch microparticles containing nisin. Carbohydr. Polym. 2014, 103, 573–580. [Google Scholar] [CrossRef]
- Zou, Q.; Zhao, J.; Liu, X.; Tian, F.; Zhang, H.P.; Zhang, H.; Chen, W. Microencapsulation of Bifidobacterium bifidum F-35 in reinforced alginate microspheres prepared by emulsification/internal gelation. Int. J. Food Sci. Technol. 2011, 46, 1672–1678. [Google Scholar] [CrossRef]
- Yin Win, K.; Feng, S.-S. Effects of particle size and surface coating on cellular uptake of polymeric nanoparticles for oral delivery of anticancer drugs. Biomaterials 2005, 26, 2713–2722. [Google Scholar] [CrossRef]
- Silva, T.; Reis, J.; Teixeira, J.; Borges, F. Alzheimer’s disease, enzyme targets and drug discovery struggles: From natural products to drug prototypes. Ageing Res. Rev. 2014, 15, 116–145. [Google Scholar] [CrossRef] [PubMed]
- Thirawong, N.; Nunthanid, J.; Puttipipatkhachorn, S.; Sriamornsak, P. Mucoadhesive properties of various pectins on gastrointestinal mucosa: An in vitro evaluation using texture analyzer. Eur. J. Pharm. Biopharm. 2007, 67, 132–140. [Google Scholar] [CrossRef] [PubMed]
- Liu, L.; Fishman, M.L.; Hicks, K.B.; Kende, M. Interaction of various pectin formulations with porcine colonic tissues. Biomaterials 2005, 26, 5907–5916. [Google Scholar] [CrossRef] [PubMed]
- de Oliveira, F.M.; Coelho, L.M.; Melo, E.I. de Avaliação de processo adsortivo utilizando mesocarpo de coco verde para remoção do corante azul de metileno. Matéria (Rio Janeiro) 2018, 23. [Google Scholar] [CrossRef]







| Sample | Mass Ratio of GG:P (w/w) | Mass Ratio between GG:RS (w/w) | Cross-linker (%) | 
|---|---|---|---|
| GRsCa | - | 1:2.5 | Ca2+ (3%) | 
| GRsAl | - | 1:2.5 | Al3+ (3%) | 
| GRsCaAl | - | 1:2.5 | Ca2+ e Al3+ (3%) | 
| GPCa | 1:1 | - | Ca2+ (3%) | 
| GPAl | 1:1 | - | Al3+ (3%) | 
| GPCaAl | 1:1 | - | Ca2+ e Al3+ (3%) | 
| Sample | Average Diameter (µm) ± SD | Circularity ± SD | SPAN | 
|---|---|---|---|
| GRsCa | 1607 ± 177 | 0.76 ± 0.07 | 0.29 | 
| GRsAl | 1793 ± 158 | 0.78 ± 0.09 | 0.30 | 
| GRsCaAl | 1760 ± 174 | 0.78 ± 0.09 | 0.28 | 
| GPCa | 961 ± 97 | 0.77 ± 0.07 | 0.27 | 
| GPAl | 889 ± 110 | 0.82 ± 0.05 | 0.41 | 
| GPCaAl | 888 ± 99 | 0.81 ± 0.08 | 0.30 | 
| Sample | HCl+NaCl (pH 1.2) with Pepsin | Phosphate Buffer (pH 6.8) with Pancreatin | 
|---|---|---|
| Degradation (%) ± SD | ||
| GRSCa | 18.2 ± 0.6 | 15.1 ± 9.2 | 
| GRSAl | 32.0 ± 0.8 | 53.7 ± 7.5 | 
| GRSCaAl | 40.6 ± 2.1 | 52.9 ± 3.8 | 
| GPCa | 61.3 ± 0.7 | 65.7 ± 1.8 | 
| GPAl | 35.8 ± 2.8 | 95.3± 3.7 | 
| GPCaAl | 32.1 ± 0.1 | 75.2 ± 1.5 | 
| Publisher’s Note: MDPI stays neutral with regard to jurisdictional claims in published maps and institutional affiliations. | 
© 2021 by the authors. Licensee MDPI, Basel, Switzerland. This article is an open access article distributed under the terms and conditions of the Creative Commons Attribution (CC BY) license (http://creativecommons.org/licenses/by/4.0/).
Share and Cite
Boni, F.I.; Cury, B.S.F.; Ferreira, N.N.; Gremião, M.P.D. Ionic Cross-Linking as a Strategy to Modulate the Properties of Oral Mucoadhesive Microparticles Based on Polysaccharide Blends. Pharmaceutics 2021, 13, 407. https://doi.org/10.3390/pharmaceutics13030407
Boni FI, Cury BSF, Ferreira NN, Gremião MPD. Ionic Cross-Linking as a Strategy to Modulate the Properties of Oral Mucoadhesive Microparticles Based on Polysaccharide Blends. Pharmaceutics. 2021; 13(3):407. https://doi.org/10.3390/pharmaceutics13030407
Chicago/Turabian StyleBoni, Fernanda Isadora, Beatriz S. F. Cury, Natália Noronha Ferreira, and Maria Palmira Daflon Gremião. 2021. "Ionic Cross-Linking as a Strategy to Modulate the Properties of Oral Mucoadhesive Microparticles Based on Polysaccharide Blends" Pharmaceutics 13, no. 3: 407. https://doi.org/10.3390/pharmaceutics13030407
APA StyleBoni, F. I., Cury, B. S. F., Ferreira, N. N., & Gremião, M. P. D. (2021). Ionic Cross-Linking as a Strategy to Modulate the Properties of Oral Mucoadhesive Microparticles Based on Polysaccharide Blends. Pharmaceutics, 13(3), 407. https://doi.org/10.3390/pharmaceutics13030407
 
         
                                                
 
                         
       