Complete Cocrystal Formation during Resonant Acoustic Wet Granulation: Effect of Granulation Liquids
Abstract
1. Introduction
2. Materials and Methods
2.1. Materials
2.2. Resonant Acoustic Wet Granulation (RAG)
2.3. X-ray Diffractometry (XRD)
2.4. Differential Scanning Calorimetry (DSC)
2.5. Scanning Electron Microscopy (SEM)
2.6. Flowability Analysis
2.7. Particle Size Distribution (PSD)
2.8. Tablet Compression and Characterization
3. Results and Discussion
3.1. Baseline Characterization
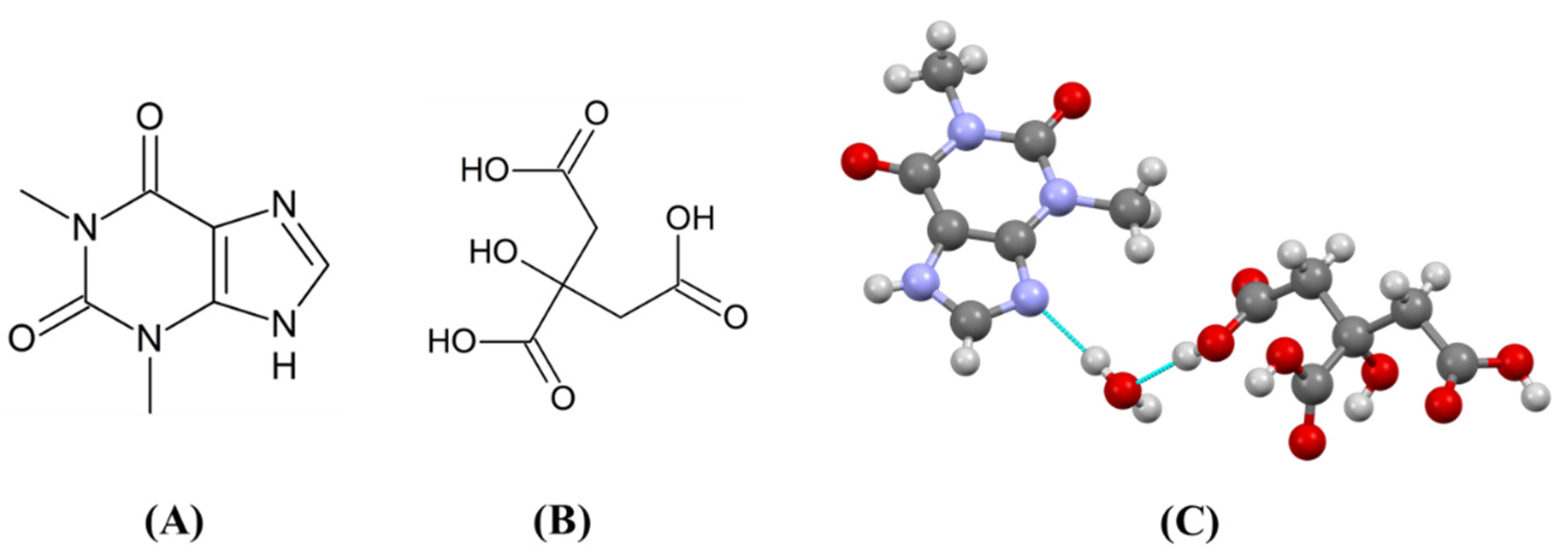
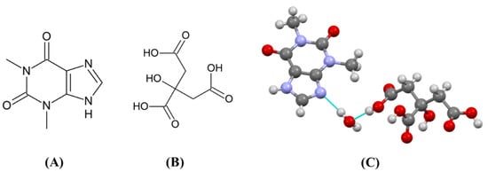
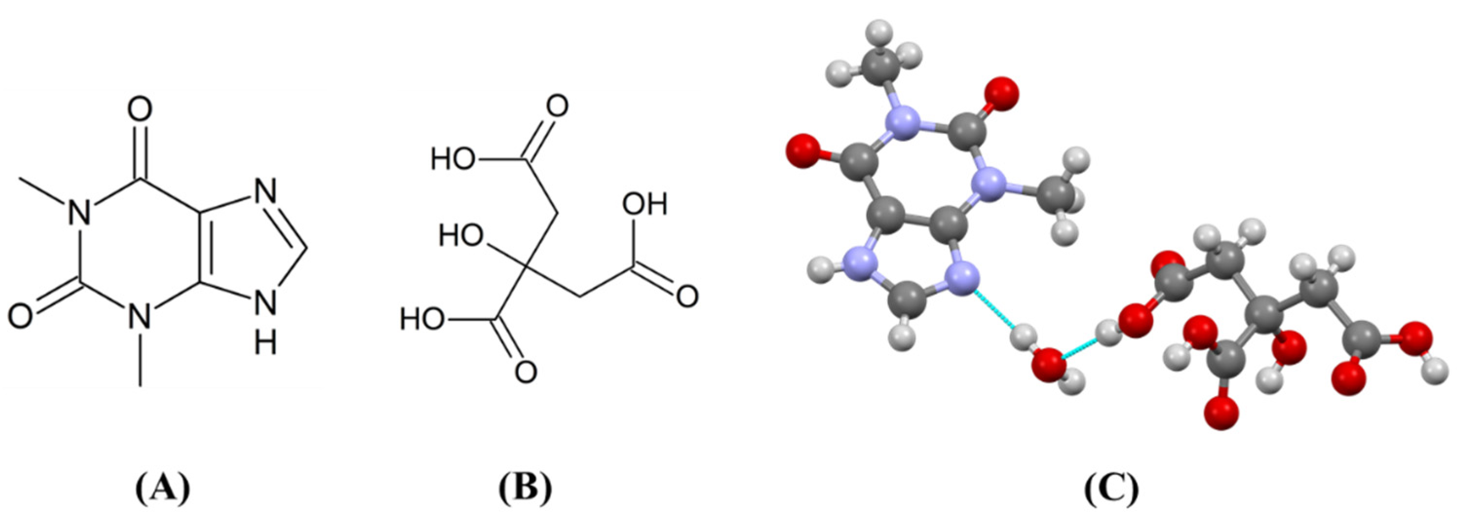
3.2. Formation of Theophylline-Citric Acid (THPCIT) Cocrystal
3.3. Granule Morphology and Physical Properties
3.4. X-ray CT Micrographs of Tablets
3.5. Hardness, Disintegration, and Dissolution Ability of Cocrystal Tablets
4. Conclusions
Author Contributions
Funding
Institutional Review Board Statement
Informed Consent Statement
Data Availability Statement
Acknowledgments
Conflicts of Interest
References
- Grothe, E.; Meekes, H.; Vlieg, E.; Ter Horst, J.H.; De Gelder, R. Solvates, Salts, and Cocrystals: A Proposal for a Feasible Classification System. Cryst. Growth Des. 2016, 16, 3237–3243. [Google Scholar] [CrossRef]
- Hu, Y.; Gniado, K.; Erxleben, A.; McArdle, P. Mechanochemical Reaction of Sulfathiazole with Carboxylic Acids: Formation of a Cocrystal, a Salt, and Coamorphous Solids. Cryst. Growth Des. 2014, 14, 803–813. [Google Scholar] [CrossRef]
- Buol, X.; Robeyns, K.; Garrido, C.C.; Tumanov, N.; Collard, L.; Wouters, J.; Leyssens, T. Improving Nefiracetam Dissolution and Solubility Behavior Using a Cocrystallization Approach. Pharmaceutics 2020, 12, 653. [Google Scholar] [CrossRef] [PubMed]
- Chen, H.; Wang, C.; Liu, S.; Sun, C.C. Development of piroxicam mini-tablets enabled by spherical cocrystallization. Int. J. Pharm. 2020, 590, 119953. [Google Scholar] [CrossRef] [PubMed]
- Poce, G.; Consalvi, S.; Cocozza, M.; Fernandez-Menendez, R.; Bates, R.H.; Ortega Muro, F.; Barros Aguirre, D.; Ballell, L.; Biava, M. Pharmaceutical salt of BM635 with improved bioavailability. Eur. J. Pharm. Sci. 2017, 99, 17–23. [Google Scholar] [CrossRef]
- Aitipamula, S.; Banerjee, R.; Bansal, A.K.; Biradha, K.; Cheney, M.L.; Choudhury, A.R.; Desiraju, G.R.; Dikundwar, A.G.; Dubey, R.; Duggirala, N.; et al. Polymorphs, Salts, and Cocrystals: What’s in a Name? Cryst. Growth Des. 2012, 12, 2147–2152. [Google Scholar] [CrossRef]
- Vishweshwar, P.; McMahon, J.A.; Bis, J.A.; Zaworotko, M.J. Pharmaceutical Co-Crystals. J. Pharm. Sci. 2006, 95, 499–516. [Google Scholar] [CrossRef]
- Food and Drug Administration Regulatory Classification of Pharmaceutical Co-Crystals Guidance for Industry. Available online: https://www.fda.gov/media/81824/download (accessed on 22 November 2020).
- Shattock, T.R.; Arora, K.K.; Vishweshwar, P.; Zaworotko, M.J. Hierarchy of Supramolecular Synthons: Persistent Carboxylic Acid···Pyridine Hydrogen Bonds in Cocrystals That also Contain a Hydroxyl Moiety. Cryst. Growth Des. 2008, 8, 4533–4545. [Google Scholar] [CrossRef]
- Weyna, D.R.; Shattock, T.; Vishweshwar, P.; Zaworotko, M.J. Synthesis and Structural Characterization of Cocrystals and Pharmaceutical Cocrystals: Mechanochemistry vs Slow Evaporation from Solution. Cryst. Growth Des. 2009, 9, 1106–1123. [Google Scholar] [CrossRef]
- Kojima, T.; Tsutsumi, S.; Yamamoto, K.; Ikeda, Y.; Moriwaki, T. High-throughput cocrystal slurry screening by use of in situ Raman microscopy and multi-well plate. Int. J. Pharm. 2010, 399, 52–59. [Google Scholar] [CrossRef]
- Otsuka, Y.; Ito, A.; Takeuchi, M.; Tanaka, H. Dry Mechanochemical Synthesis of Caffeine/Oxalic Acid Cocrystals and Their Evaluation by Powder X-ray Diffraction and Chemometrics. J. Pharm. Sci. 2017, 106, 3458–3464. [Google Scholar] [CrossRef] [PubMed]
- Friščić, T.; Jones, W. Recent Advances in Understanding the Mechanism of Cocrystal Formation via Grinding. Cryst. Growth Des. 2009, 9, 1621–1637. [Google Scholar] [CrossRef]
- Urano, M.; Kitahara, M.; Kishi, K.; Goto, E.; Tagami, T.; Fukami, T.; Ozeki, T. Physical Characteristics of Cilostazol–Hydroxybenzoic Acid Cocrystals Prepared Using a Spray Drying Method. Crystal 2020, 10, 313. [Google Scholar] [CrossRef]
- Walsh, D.; Serrano, D.R.; Worku, Z.A.; Madi, A.M.; O’Connell, P.; Twamley, B.; Healy, A.M. Engineering of pharmaceutical cocrystals in an excipient matrix: Spray drying versus hot melt extrusion. Int. J. Pharm. 2018, 551, 241–256. [Google Scholar] [CrossRef] [PubMed]
- Chow, P.S.; Lau, G.; Ng, W.K.; Vangala, V.R. Stability of Pharmaceutical Cocrystal During Milling: A Case Study of 1:1 Caffeine–Glutaric Acid. Cryst. Growth Des. 2017, 17, 4064–4071. [Google Scholar] [CrossRef]
- Nomura, K.; Titapiwatanakun, V.; Hisada, H.; Koide, T.; Fukami, T. In situ monitoring of the crystalline state of active pharmaceutical ingredients during high-shear wet granulation using a low-frequency Raman probe. Eur. J. Pharm. Biopharm. 2020, 147, 1–9. [Google Scholar] [CrossRef]
- Alhalaweh, A.; Velaga, S. Formation of Cocrystals from Stoichiometric Solutions of Incongruently Saturating Systems by Spray Drying. Cryst. Growth Des. 2010, 10, 3302–3305. [Google Scholar] [CrossRef]
- Otsuka, M.; Hasegawa, H.; Matsuda, Y. Effect of Polymorphic Transformation During the Extrusion-Granulation Process on the Pharmaceutical Properties of Carbamazepine Granules. Chem. Pharm. Bull. 1997, 45, 894–898. [Google Scholar] [CrossRef]
- Tantry, J.S.; Tank, J.; Suryanarayanan, R. Processing-Induced Phase Transitions of Theophylline—Implications on the Dissolution of Theophylline Tablets. J. Pharm. Sci. 2007, 96, 1434–1444. [Google Scholar] [CrossRef]
- Vippagunta, S.R.; Brittain, H.G.; Grant, D.J.W. Crystalline solids. Adv. Drug Deliv. Rev. 2001, 48, 3–26. [Google Scholar] [CrossRef]
- Tanaka, R.; Hattori, Y.; Ashizawa, K.; Otsuka, M. Kinetics Study of Cocrystal Formation Between Indomethacin and Saccharin Using High-Shear Granulation With In Situ Raman Spectroscopy. J. Pharm. Sci. 2019, 108, 3201–3208. [Google Scholar] [CrossRef] [PubMed]
- Tanaka, R.; Duggirala, N.K.; Hattori, Y.; Otsuka, M.; Suryanarayanan, R. Formation of Indomethacin–Saccharin Cocrystals during Wet Granulation: Role of Polymeric Excipients. Mol. Pharm. 2019, 17, 274–283. [Google Scholar] [CrossRef] [PubMed]
- Lee, S.L.; O’Connor, T.F.; Yang, X.; Cruz, C.N.; Chatterjee, S.; Madurawe, R.D.; Moore, C.M.V.; Yu, L.X.; Woodcock, J. Modernizing Pharmaceutical Manufacturing: From Batch to Continuous Production. J. Pharm. Innov. 2015, 10, 191–199. [Google Scholar] [CrossRef]
- Shi, L.; Feng, Y.; Sun, C.C. Roles of Granule Size in Over-Granulation During High Shear Wet Granulation. J. Pharm. Sci. 2010, 99, 3322–3325. [Google Scholar] [CrossRef] [PubMed]
- Tanaka, R.; Ashizawa, K.; Nakamura, Y.; Takahashi, N.; Hattori, Y.; Otsuka, M. Verification of the mixing processes of the active pharmaceutical ingredient, excipient and lubricant in a pharmaceutical formulation using a resonant acoustic mixing technology. RSC Adv. 2016, 6, 87049–87057. [Google Scholar] [CrossRef]
- Tanaka, R.; Takahashi, N.; Nakamura, Y.; Hattori, Y.; Ashizawa, K.; Otsuka, M. Performance of an acoustically mixed pharmaceutical dry powder delivered from a novel inhaler. Int. J. Pharm. 2018, 538, 130–138. [Google Scholar] [CrossRef]
- Nagapudi, K.; Umanzor, E.Y.; Masui, C. High-throughput screening and scale-up of cocrystals using resonant acoustic mixing. Int. J. Pharm. 2017, 521, 337–345. [Google Scholar] [CrossRef]
- Zheng, K.; Kunnath, K.; Ling, Z.; Chen, L.; Davé, R. Influence of guest and host particle sizes on dry coating effectiveness: When not to use high mixing intensity. Powder Technol. 2020, 366, 150–163. [Google Scholar] [CrossRef]
- Tanaka, R.; Takahashi, N.; Nakamura, Y.; Hattori, Y.; Ashizawa, K.; Otsuka, M. In-line and Real-time Monitoring of Resonant Acoustic Mixing by Near-infrared Spectroscopy Combined with Chemometric Technology for Process Analytical Technology Ap-plications in Pharmaceutical Powder Blending Systems. Anal. Sci. 2017, 33, 41–46. [Google Scholar] [CrossRef]
- Ende, D.J.A.; Anderson, S.R.; Salan, J.S. Development and Scale-Up of Cocrystals Using Resonant Acoustic Mixing. Org. Process. Res. Dev. 2014, 18, 331–341. [Google Scholar] [CrossRef]
- Chang, S.Y.; Sun, C.C. Superior Plasticity and Tabletability of Theophylline Monohydrate. Mol. Pharm. 2017, 14, 2047–2055. [Google Scholar] [CrossRef]
- Karki, S.; Friščić, T.; Jones, W.; Motherwell, W.D.S. Screening for Pharmaceutical Cocrystal Hydrates via Neat and Liquid-Assisted Grinding. Mol. Pharm. 2007, 4, 347–354. [Google Scholar] [CrossRef]
- Sun, C.; Zhou, D.; Grant, D.J.W.; Young, V.G., Jr. Theophylline monohydrate. Acta Cryst. Sect. E 2002, 58, o368–o370. [Google Scholar] [CrossRef]
- Rowe, R.C.; Sheskey, P.J.; Quinn, M.E. (Eds.) Handbook of Pharmaceutical Excipients, 6th ed.; Pharmaceutical Press: London, UK, 2009. [Google Scholar]
- Lu, E.; Rodríguez-Hornedo, N.; Suryanarayanan, R. A rapid thermal method for cocrystal screening. CrystEngComm 2008, 10, 665–668. [Google Scholar] [CrossRef]
- Sundaramurthi, P.; Suryanarayanan, R. The Effect of Crystallizing and Non-crystallizing Cosolutes on Succinate Buffer Crystallization and the Consequent pH Shift in Frozen Solutions. Pharm. Res. 2010, 28, 374–385. [Google Scholar] [CrossRef] [PubMed]
- Lebrun, P.; Krier, F.; Mantanus, J.; Grohganz, H.; Yang, M.; Rozet, E.; Boulanger, B.; Evrard, B.; Rantanen, J.; Hubert, P. Design space approach in the optimization of the spray-drying process. Eur. J. Pharm. Biopharm. 2012, 80, 226–234. [Google Scholar] [CrossRef]
- Šimek, M.; Grünwaldová, V.; Kratochvíl, B. Comparison of Compression and Material Properties of Differently Shaped and Sized Paracetamols. KONA Powder Part. J. 2017, 34, 197–206. [Google Scholar] [CrossRef]
- Fattah, S.; Okamoto, K.; Chihara, K.; Shirotani, K.; Tsuda, Y.; Suzuki, E.; Sekiguchi, K. Formation of ammonia adducts of several steroids and their application to particle size reduction. Chem. Pharm. Bull. 1983, 31, 3649–3655. [Google Scholar] [CrossRef][Green Version]
- Otsuka, M.; Kanai, Y.; Hattori, Y. Real-Time Monitoring of Changes of Adsorbed and Crystalline Water Contents in Tablet Formulation Powder Containing Theophylline Anhydrate at Various Temperatures During Agitated Granulation by Near-Infrared Spectroscopy. J. Pharm. Sci. 2014, 103, 2924–2936. [Google Scholar] [CrossRef]
- Castellanos, A. The relationship between attractive interparticle forces and bulk behaviour in dry and uncharged fine powders. Adv. Phys. 2005, 54, 263–376. [Google Scholar] [CrossRef]
- Yohannes, B.; Gonzalez, M.; Abebe, A.; Sprockel, O.; Nikfar, F.; Kang, S.; Cuitiño, A.M. The role of fine particles on compaction and tensile strength of pharmaceutical powders. Powder Technol. 2015, 274, 372–378. [Google Scholar] [CrossRef]
- Markl, D.; Zeitler, J.A. A Review of Disintegration Mechanisms and Measurement Techniques. Pharm. Res. 2017, 34, 890–917. [Google Scholar] [CrossRef] [PubMed]
- Babu, N.J.; Nangia, A. Solubility Advantage of Amorphous Drugs and Pharmaceutical Cocrystals. Cryst. Growth Des. 2011, 11, 2662–2679. [Google Scholar] [CrossRef]
- Jasani, M.S.; Kale, D.P.; Singh, I.P.; Bansal, A.K. Influence of Drug–Polymer Interactions on Dissolution of Thermodynamically Highly Unstable Cocrystal. Mol. Pharm. 2018, 16, 151–164. [Google Scholar] [CrossRef]
- Debnath, S.; Suryanarayanan, R. Influence of processing-induced phase transformations on the dissolution of theophylline tablets. Aaps Pharmscitech 2009, 5, 39. [Google Scholar]
- Washburn, E.W. The Dynamics of Capillary Flow. Phys. Rev. 2002, 17, 273–283. [Google Scholar] [CrossRef]
- Golman, B.; Takigawa, T.; Shinohara, K.; Ohzeki, K. Kinetics of liquid penetration into bottom edge of cast tape. Colloids Surf. A Physicochem. Eng. Asp. 2005, 254, 9–16. [Google Scholar] [CrossRef]
- Hattori, Y.; Otsuka, M. NIR spectroscopic study of the dissolution process in pharmaceutical tablets. Vib. Spectrosc. 2011, 57, 275–281. [Google Scholar] [CrossRef]
- Gajda, M.; Nartowski, K.P.; Pluta, J.; Karolewicz, B. The role of the polymer matrix in solvent-free hot melt extrusion continuous process for mechanochemical synthesis of pharmaceutical cocrystal. Eur. J. Pharm. Biopharm. 2018, 131, 48–59. [Google Scholar] [CrossRef]







| ρA1, g/cm3 | ρT2, g/cm3 | AR 3, ° | HR 4 | CI 5, % | |
|---|---|---|---|---|---|
| As is THP | 2.47 ± 0.17 | 5.06 ± 0.97 | 58.0 ± 6.00 | 2.03 ± 0.26 | 50.3 ± 6.23 |
| Physical mixture | 2.82 ± 0.17 | 5.69 ± 0.21 | 58.4 ± 6.23 | 2.02 ± 0.06 | 50.5 ± 1.42 |
| THPCIT GW | 4.23 ± 0.10 | 4.92 ± 0.19 | 36.8 ± 4.03 | 1.17 ± 0.02 | 14.4 ± 1.57 |
| THPCIT GE | 4.52 ± 0.39 | 4.93 ± 0.40 | 31.9 ± 3.89 | 1.09 ± 0.01 | 8.27 ± 0.92 |
| Hardness, N | Disintegration Time, min | |
|---|---|---|
| THPCIT GW tablet | 74.0 ± 5.0 | 41.1 ± 6.5 |
| THPCIT GE tablet | 24.7 ± 2.1 | 8.7 ± 1.0 |
Publisher’s Note: MDPI stays neutral with regard to jurisdictional claims in published maps and institutional affiliations. |
© 2021 by the authors. Licensee MDPI, Basel, Switzerland. This article is an open access article distributed under the terms and conditions of the Creative Commons Attribution (CC BY) license (http://creativecommons.org/licenses/by/4.0/).
Share and Cite
Tanaka, R.; Osotprasit, S.; Peerapattana, J.; Ashizawa, K.; Hattori, Y.; Otsuka, M. Complete Cocrystal Formation during Resonant Acoustic Wet Granulation: Effect of Granulation Liquids. Pharmaceutics 2021, 13, 56. https://doi.org/10.3390/pharmaceutics13010056
Tanaka R, Osotprasit S, Peerapattana J, Ashizawa K, Hattori Y, Otsuka M. Complete Cocrystal Formation during Resonant Acoustic Wet Granulation: Effect of Granulation Liquids. Pharmaceutics. 2021; 13(1):56. https://doi.org/10.3390/pharmaceutics13010056
Chicago/Turabian StyleTanaka, Ryoma, Supisara Osotprasit, Jomjai Peerapattana, Kazuhide Ashizawa, Yusuke Hattori, and Makoto Otsuka. 2021. "Complete Cocrystal Formation during Resonant Acoustic Wet Granulation: Effect of Granulation Liquids" Pharmaceutics 13, no. 1: 56. https://doi.org/10.3390/pharmaceutics13010056
APA StyleTanaka, R., Osotprasit, S., Peerapattana, J., Ashizawa, K., Hattori, Y., & Otsuka, M. (2021). Complete Cocrystal Formation during Resonant Acoustic Wet Granulation: Effect of Granulation Liquids. Pharmaceutics, 13(1), 56. https://doi.org/10.3390/pharmaceutics13010056

