Redox-Responsive Nanocarrier for Controlled Release of Drugs in Inflammatory Skin Diseases
Abstract
1. Introduction
2. Materials and Methods
2.1. Chemical Reagents
2.2. Instrumentation and Methods
2.2.1. Synthesis of the Starting Materials
2.2.2. Synthesis of the Dishells
2.2.3. Synthesis of the Nanocarriers
2.2.4. Drug Encapsulation
2.2.5. Characterization Methods
2.2.6. Skin Penetration Experiments
3. Results and Discussion
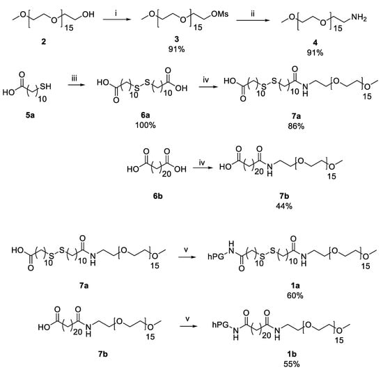
3.1. Synthesis of the CMS Nanocarriers and Their Building Blocks
3.2. Redox Potential of rsCMS 1a
3.3. In Vitro Stimulus-Triggered Release of NR from CMS Nanocarriers
3.4. Penetration of rsCMS-(FITC) and ccCMS-(FITC) Nanocarriers and Diffusion of the Loaded mTHPP in Ex Vivo Human Skin
3.5. Drug-Loading Capacity
4. Conclusions
Supplementary Materials
Author Contributions
Funding
Institutional Review Board Statement
Informed Consent Statement
Data Availability Statement
Acknowledgments
Conflicts of Interest
References
- Wiseman, A.C. Immunosuppressive Medications. Clin. J. Am. Soc. Nephrol. 2016, 11, 332–343. [Google Scholar] [CrossRef]
- Ikeda, E.; Hikita, N.; Eto, K.; Mochizuki, M. Tacrolimus-rapamycin combination therapy for experimental autoimmune uveoretinitis. Jpn. J. Ophthalmol. 1998, 41, 396–402. [Google Scholar] [CrossRef]
- Saeidpour, S.; Lohan, S.; Anske, M.; Unbehauen, M.; Fleige, E.; Haag, R.; Meinke, M.; Bittl, R.; Teutloff, C. Localization of dexamethasone within dendritic core-multishell (CMS) nanoparticles and skin penetration properties studied by multi-frequency electron paramagnetic resonance (EPR) spectroscopy. Eur. J. Pharm. Biopharm. 2017, 116, 94–101. [Google Scholar] [CrossRef]
- Ogura, R.; Knox, J.M.; Griffin, A.C.; Kusuhara, M.; Ogura, J.M.K.R. The Concentration of Sulfhydryl and Disulfide in Human Epidermis, Hair and Nail. J. Investig. Dermatol. 2010, 38, 69–75. [Google Scholar] [CrossRef]
- Pickard, C.; Louafi, F.; McGuire, C.; Lowings, K.; Kumar, P.; Cooper, H.; Dearman, R.J.; Cumberbatch, M.; Kimber, I.; Healy, E.; et al. The Cutaneous Biochemical Redox Barrier: A Component of the Innate Immune Defenses against Sensitization by Highly Reactive Environmental Xenobiotics. J. Immunol. 2009, 183, 7576–7584. [Google Scholar] [CrossRef]
- Wang, Y.-C.; Wang, F.; Sun, T.-M.; Wang, J. Redox-Responsive Nanoparticles from the Single Disulfide Bond-Bridged Block Copolymer as Drug Carriers for Overcoming Multidrug Resistance in Cancer Cells. Bioconjugate Chem. 2011, 22, 1939–1945. [Google Scholar] [CrossRef]
- Ding, J.; Chen, J.; Li, D.; Xiao, C.; Zhang, J.; He, C.; Zhuang, X.; Chen, X. Biocompatible reduction-responsive polypeptide micelles as nanocarriers for enhanced chemotherapy efficacy in vitro. J. Mater. Chem. B 2013, 1, 69–81. [Google Scholar] [CrossRef]
- Xu, P.; Yu, H.; Zhang, Z.; Meng, Q.; Sun, H.; Chen, X.; Yin, Q.; Li, Y. Hydrogen-bonded and reduction-responsive micelles loading atorvastatin for therapy of breast cancer metastasis. Biomaterials 2014, 35, 7574–7587. [Google Scholar] [CrossRef] [PubMed]
- Sun, H.; Guo, B.; Li, X.; Cheng, R.; Meng, F.; Liu, H.; Zhong, Z. Shell-Sheddable Micelles Based on Dextran-SS-Poly(ε-caprolactone) Diblock Copolymer for Efficient Intracellular Release of Doxorubicin. Biomacromolecules 2010, 11, 848–854. [Google Scholar] [CrossRef] [PubMed]
- Thambi, T.; Deepagan, V.G.; Ko, H.; Lee, D.S.; Park, J.H. Bioreducible polymersomes for intracellular dual-drug delivery. J. Mater. Chem. 2012, 22, 22028–22036. [Google Scholar] [CrossRef]
- Cunningham, A.; Ko, N.R.; Oh, J.K. Synthesis and reduction-responsive disassembly of PLA-based mono-cleavable micelles. Colloids Surf. B Biointerfaces 2014, 122, 693–700. [Google Scholar] [CrossRef] [PubMed]
- Zhang, P.; Wu, J.; Xiao, F.; Zhao, D.; Luan, Y. Disulfide bond based polymeric drug carriers for cancer chemotherapy and relevant redox environments in mammals. Med. Res. Rev. 2018, 38, 1485–1510. [Google Scholar] [CrossRef] [PubMed]
- Radowski, M.R.; Shukla, A.; Von Berlepsch, H.; Böttcher, C.; Pickaert, G.; Rehage, H.; Haag, R. Supramolecular Aggregates of Dendritic Multishell Architectures as Universal Nanocarriers. Angew. Chem. Int. Ed. 2007, 46, 1265–1269. [Google Scholar] [CrossRef] [PubMed]
- Kurniasih, I.N.; Keilitz, J.; Haag, R. Dendritic nanocarriers based on hyperbranched polymers. Chem. Soc. Rev. 2015, 44, 4145–4164. [Google Scholar] [CrossRef]
- Etrych, T.; Kovář, L.; Šubrt, V.; Braunová, A.; Pechar, M.; Chytil, P.; Říhova, B.; Ulbrich, K. High-molecular-weight Polymers Containing Biodegradable Disulfide Bonds: Synthesis and In Vitro Verification of Intracellular Degradation. J. Bioact. Compat. Polym. 2010, 25, 5–26. [Google Scholar] [CrossRef]
- De Vries, W.C.; Grill, D.; Tesch, M.; Ricker, A.; Nüsse, H.; Klingauf, J.; Studer, A.; Gerke, V.; Ravoo, B.J. Reversible Stabilization of Vesicles: Redox-Responsive Polymer Nanocontainers for Intracellular Delivery. Angew. Chem. Int. Ed. 2017, 56, 9603–9607. [Google Scholar] [CrossRef]
- Xia, J.; Du, Y.; Huang, L.; Chaurasiya, B.; Tu, J.; Webster, T.J.; Sun, C. Redox-responsive micelles from disulfide bond-bridged hyaluronic acid-tocopherol succinate for the treatment of melanoma. Nanomed. Nanotechnol. Biol. Med. 2018, 14, 713–723. [Google Scholar] [CrossRef]
- Roller, S.; Zhou, H.; Haag, R. High-loading polyglycerol supported reagents for Mitsunobu- and acylation-reactions and other useful polyglycerol derivatives. Mol. Divers. 2005, 9, 305–316. [Google Scholar] [CrossRef]
- Semple, J.E.; Sullivan, B.; Vojkovsky, T.; Sill, K. Synthesis and facile end-group quantification of functionalized PEG azides. J. Polym. Sci. Part A Polym. Chem. 2016, 54, 2888–2895. [Google Scholar] [CrossRef]
- Elbert, D.L.; Hubbell, J.A. Conjugate Addition Reactions Combined with Free-Radical Cross-Linking for the Design of Materials for Tissue Engineering. Biomacromolecules 2001, 2, 430–441. [Google Scholar] [CrossRef]
- Belser, T.; Stöhr, M.; Pfaltz, A. Immobilization of Rhodium Complexes at Thiolate Monolayers on Gold Surfaces: Catalytic and Structural Studies. J. Am. Chem. Soc. 2005, 127, 8720–8731. [Google Scholar] [CrossRef] [PubMed][Green Version]
- Mangold, C.; Dingels, C.; Obermeier, B.; Frey, H.; Wurm, F.R. PEG-based Multifunctional Polyethers with Highly Reactive Vinyl-Ether Side Chains for Click-Type Functionalization. Macromolecules 2011, 44, 6326–6334. [Google Scholar] [CrossRef]
- Niederer, K.; Schüll, C.; Leibig, D.; Johann, T.; Frey, H. Catechol Acetonide Glycidyl Ether (CAGE): A Functional Epoxide Monomer for Linear and Hyperbranched Multi-Catechol Functional Polyether Architectures. Macromolecules 2016, 49, 1655–1665. [Google Scholar] [CrossRef]
- Unbehauen, M.; Fleige, E.; Paulus, F.; Schemmer, B.; Mecking, S.; Moré, S.D.; Haag, R. Biodegradable Core–Multishell Nanocarriers: Influence of Inner Shell Structure on the Encapsulation Behavior of Dexamethasone and Tacrolimus. Polymers 2017, 9, 316. [Google Scholar] [CrossRef] [PubMed]
- Harfield, J.C.; Batchelor-McAuley, C.; Compton, R.G. Electrochemical determination of glutathione: A review. Analyst 2012, 137, 2285–2296. [Google Scholar] [CrossRef] [PubMed]
- Swain, J.; Mishra, A.K. Nile red fluorescence for quantitative monitoring of micropolarity and microviscosity of pluronic F127 in aqueous media. Photochem. Photobiol. Sci. 2016, 15, 1400–1407. [Google Scholar] [CrossRef] [PubMed]
- Schafer, F.Q.; Buettner, G.R. Redox environment of the cell as viewed through the redox state of the glutathione disulfide/glutathione couple. Free. Radic. Biol. Med. 2001, 30, 1191–1212. [Google Scholar] [CrossRef]
- Comini, M.A. Measurement and meaning of cellular thiol:disufhide redox status. Free. Radic. Res. 2016, 50, 246–271. [Google Scholar] [CrossRef]
- Khutoryanskiy, V.V.; Tirelli, N. Oxidation-responsiveness of nanomaterials for targeting inflammatory reactions. Pure Appl. Chem. 2008, 80, 1703–1718. [Google Scholar] [CrossRef]
- D’Arcy, R.; Burke, J.; Tirelli, N. Branched polyesters: Preparative strategies and applications. Adv. Drug Deliv. Rev. 2016, 107, 60–81. [Google Scholar] [CrossRef]
- Herzberger, J.; Fischer, K.; Leibig, D.; Bros, M.; Thiermann, R.; Frey, H. Oxidation-Responsive and “Clickable” Poly(ethylene glycol) via Copolymerization of 2-(Methylthio)ethyl Glycidyl Ether. J. Am. Chem. Soc. 2016, 138, 9212–9223. [Google Scholar] [CrossRef] [PubMed]
- Page, S.M.; Martorella, M.; Parelkar, S.; Kosif, I.; Emrick, T. Disulfide Cross-Linked Phosphorylcholine Micelles for Triggered Release of Camptothecin. Mol. Pharm. 2013, 10, 2684–2692. [Google Scholar] [CrossRef]
- Ko, N.R.; Oh, J.K. Glutathione-Triggered Disassembly of Dual Disulfide Located Degradable Nanocarriers of Polylactide-Based Block Copolymers for Rapid Drug Release. Biomacromolecules 2014, 15, 3180–3189. [Google Scholar] [CrossRef] [PubMed]
- Delmas, T.; Fraichard, A.; Bayle, P.-A.; Texier, I.; Bardet, M.; Baudry, J.; Bibette, J.; Couffin, A.-C. Encapsulation and Release Behavior from Lipid Nanoparticles: Model Study with Nile Red Fluorophore. J. Colloid Sci. Biotechnol. 2012, 1, 16–25. [Google Scholar] [CrossRef]
- Zabihi, F.; Koeppe, H.; Achazi, K.; Hedtrich, S.; Haag, R. One-Pot Synthesis of Poly(glycerol-co-succinic acid) Nanogels for Dermal Delivery. Biomacromolecules 2019, 20, 1867–1875. [Google Scholar] [CrossRef] [PubMed]
- Du, F.; Hönzke, S.; Neumann, F.; Keilitz, J.; Chen, W.; Ma, N.; Hedtrich, S.; Haag, R. Development of biodegradable hyperbranched core-multishell nanocarriers for efficient topical drug delivery. J. Control. Release 2016, 242, 42–49. [Google Scholar] [CrossRef]
- Stefánsson, E.; Loftsson, T. Microspheres and Nanotechnology for Drug Delivery. In Retinal Pharmacotherapy; Nguyen, Q.D., Ed.; Saunders/Elsevier: Maryland Heights, MO, USA, 2010; pp. 86–90. ISBN 978-1-4377-0603-1. [Google Scholar]
- Gholizadeh, S.; Visweswaran, G.R.R.; Storm, G.; Hennink, W.E.; Kamps, J.A.; Kok, R.J. E-selectin targeted immunoliposomes for rapamycin delivery to activated endothelial cells. Int. J. Pharm. 2018, 548, 759–770. [Google Scholar] [CrossRef]
- Ben-Dror, S.; Bronshtein, I.; Wiehe, A.; Röder, B.; Senge, M.O.; Ehrenberg, B. On the Correlation Between Hydrophobicity, Liposome Binding and Cellular Uptake of Porphyrin Sensitizers. Photochem. Photobiol. 2006, 82, 695–701. [Google Scholar] [CrossRef]




| CMS | Mn, Theor. 1 (g/mol) | Mn, NMR 2 (g/mol) | DF, NMR 2 (%) | Mn, GPC 3 (g/mol) | PDI 3 | DH, vol 4 (nm) | PDI 4 |
|---|---|---|---|---|---|---|---|
| rsCMS 1a | 118.6 kDa | 106 kDa | 89 | 62.7 kDa | 1.1 | 9.3 | 0.6 |
| ccCMS 1b | 112.5 kDa | 75 kDa | 67 | 48.5 kDa | 1.1 | 14.3 | 0.5 |
| Potential | TCEP | GSH | Disulfide 6a | rsCMS 1a |
|---|---|---|---|---|
| Reduction potential 1 | −1.65 V | −0.75 V | −0.55 V | −0.51 V |
| Oxidation potential 1 | Not detectable | −0.65 V | −0.38 V | −0.26 V |
| Redox potential 2 | −1.62 V | −0.70 V | −0.51 V | −0.44 V |
| Drug | Log P | Mn (g/mol) | DLC in rsCMS 1a | DLC in ccCMS 1b |
|---|---|---|---|---|
| Dexamethasone | 1.8 [37] | 392.46 | 2 wt% 1 | 2 wt% 1 |
| NR | 3–5 [34] | 318.37 | 1 wt% 1 | 1 wt% 1 |
| Rapamycin | 4.3 [38] | 914.17 | 3 wt% 1 | 2 wt% 1 |
| mTHPP | ~10–12 [39] | 678.73 | 1 wt% 1, 2 wt% 2 | 1 wt% 1, 3 wt% 2 |
| PhA | ~10–12 [39] | 592.68 | 2 wt% 1, 6 wt% 3 | 2 wt% 1, 6 wt% 3 |
Publisher’s Note: MDPI stays neutral with regard to jurisdictional claims in published maps and institutional affiliations. |
© 2020 by the authors. Licensee MDPI, Basel, Switzerland. This article is an open access article distributed under the terms and conditions of the Creative Commons Attribution (CC BY) license (http://creativecommons.org/licenses/by/4.0/).
Share and Cite
Rajes, K.; Walker, K.A.; Hadam, S.; Zabihi, F.; Rancan, F.; Vogt, A.; Haag, R. Redox-Responsive Nanocarrier for Controlled Release of Drugs in Inflammatory Skin Diseases. Pharmaceutics 2021, 13, 37. https://doi.org/10.3390/pharmaceutics13010037
Rajes K, Walker KA, Hadam S, Zabihi F, Rancan F, Vogt A, Haag R. Redox-Responsive Nanocarrier for Controlled Release of Drugs in Inflammatory Skin Diseases. Pharmaceutics. 2021; 13(1):37. https://doi.org/10.3390/pharmaceutics13010037
Chicago/Turabian StyleRajes, Keerthana, Karolina A. Walker, Sabrina Hadam, Fatemeh Zabihi, Fiorenza Rancan, Annika Vogt, and Rainer Haag. 2021. "Redox-Responsive Nanocarrier for Controlled Release of Drugs in Inflammatory Skin Diseases" Pharmaceutics 13, no. 1: 37. https://doi.org/10.3390/pharmaceutics13010037
APA StyleRajes, K., Walker, K. A., Hadam, S., Zabihi, F., Rancan, F., Vogt, A., & Haag, R. (2021). Redox-Responsive Nanocarrier for Controlled Release of Drugs in Inflammatory Skin Diseases. Pharmaceutics, 13(1), 37. https://doi.org/10.3390/pharmaceutics13010037

