Optimisation of Mycobacterium bovis BCG Fermentation and Storage Survival
Abstract
1. Introduction
2. Materials and Methods
2.1. Bacterial Strain
2.2. Media
2.3. Reagents
2.4. Flask Bacterial Culture
2.5. Culture of M. bovis BCG in Fermenters
2.6. Total Viable Counts and Culture Turbidity
2.7. Viability and Titre of M. bovis BCG Using Flow Cytometry
2.8. Impact of Storage Conditions on M. bovis BCG Viability
2.9. Statistic Analyses
3. Results
3.1. M. bovis BCG Cultivation
3.1.1. Roisin’s and Middlebrook Support Growth of BCG in Shaking Flasks
3.1.2. Middlebrook and Roisin’s Produce Equivalent M. bovis BCG Titres in Batch Fermentation
3.1.3. Flow Cytometry Analyses of Culture Viability and Biomass, Show Comparable Growth in Roisin’s or Middlebrook
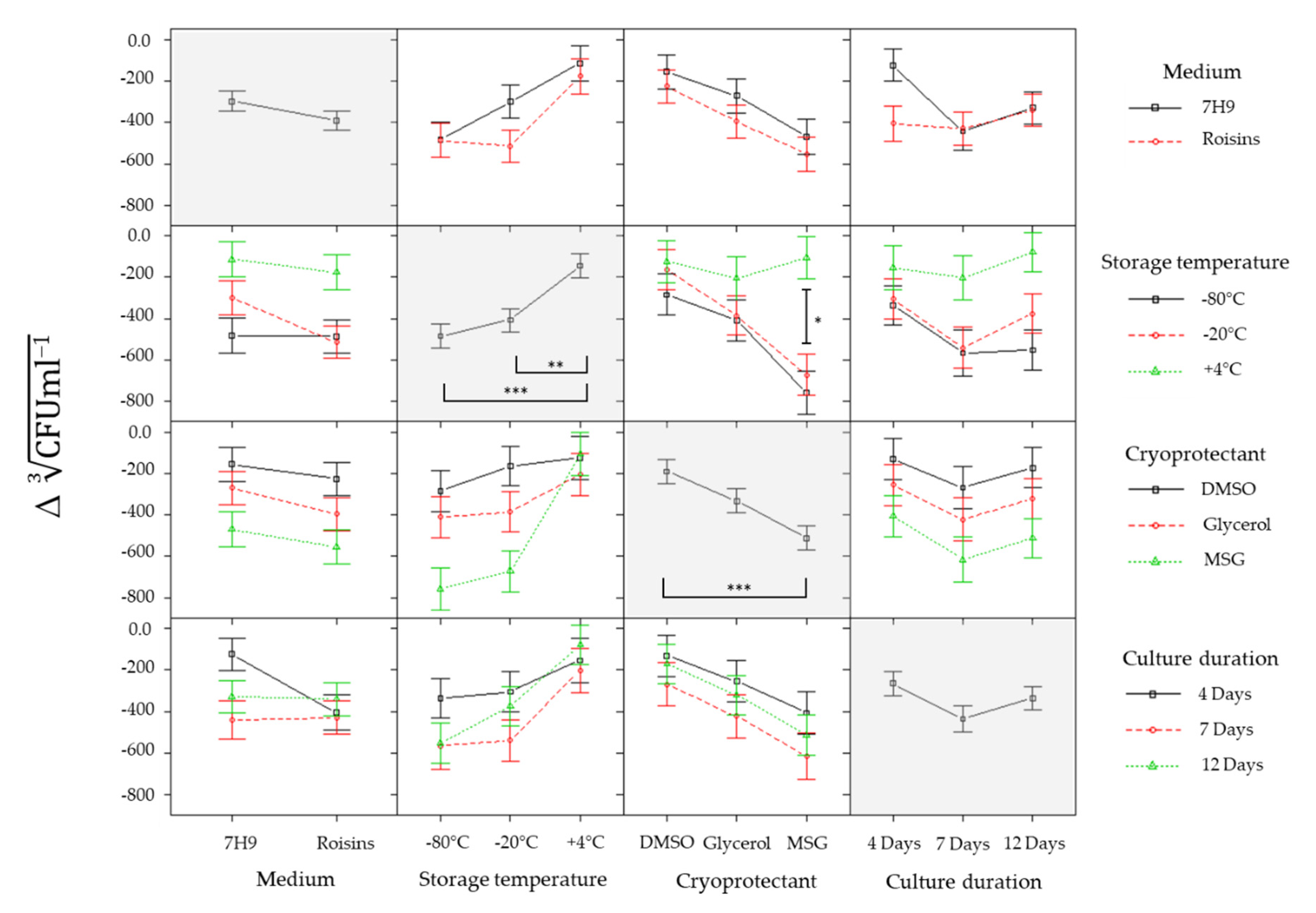
3.1.4. Optimal Conditions for Storage of M. bovis BCG were Cryopreservation in 1.5% MSG, Supplemented with 5% DMSO, and Storage at +4 °C
4. Discussion
5. Concluding Remarks
Supplementary Materials
Author Contributions
Funding
Acknowledgments
Conflicts of Interest
References
- Luca, S.; Mihaescu, T. History of BCG Vaccine. Maedica 2013, 8, 53–58. [Google Scholar]
- Mangtani, P.; Abubakar, I.; Ariti, C.; Beynon, R.; Pimpin, L.; Fine, P.E.M.; Rodrigues, L.C.; Smith, P.G.; Lipman, M.; Whiting, P.F.; et al. Protection by BCG Vaccine against Tuberculosis: A Systematic Review of Randomized Controlled Trials. Clin. Infect. Dis. 2014, 58, 470–480. [Google Scholar] [CrossRef] [PubMed]
- Aaby, P.; Roth, A.; Ravn, H.; Napirna, B.M.; Rodrigues, A.; Lisse, I.M.; Stensballe, L.; Diness, B.R.; Lausch, K.R.; Lund, N.; et al. Randomized Trial of BCG Vaccination at Birth to Low-Birth-Weight Children: Beneficial Nonspecific Effects in the Neonatal Period? J. Infect. Dis. 2011, 204, 245–252. [Google Scholar] [CrossRef]
- Dockrell, H.M.; Smith, S.G. What Have We Learnt about BCG Vaccination in the Last 20 Years? Front. Immunol. 2017, 8, 1–10. [Google Scholar] [CrossRef] [PubMed]
- Zhang, L.; Ru, H.W.; Chen, F.Z.; Jin, C.Y.; Sun, R.F.; Fan, X.Y.; Guo, M.; Mai, J.T.; Xu, W.X.; Lin, Q.X.; et al. Variable Virulence and Efficacy of BCG Vaccine Strains in Mice and Correlation with Genome Polymorphisms. Mol. Ther. 2016, 24, 398–405. [Google Scholar] [CrossRef]
- Behr, M.A.; Wilson, M.A.; Gill, W.P.; Salamon, H.; Schoolnik, G.K.; Rane, S.; Small, P.M. Comparative Genomics of BCG Vaccines by Whole-Genome DNA Microarray. Science 1999, 284, 1520–1523. [Google Scholar] [CrossRef] [PubMed]
- Guidelines, W.H.O.; Recommendations, W.H.O.; Guidelines, R.W.H.O.; Recommendations, W.H.O.; Recommendations, W.H.O.; Standards, I.; Reagents, R. WHO Expert Committee on Biological Standardization. Sixty-Fifth Report. World Health Organ. Tech. Rep. Ser. 2015, 993, 1–262. [Google Scholar]
- Stefanova, T. Quality Control and Safety Assessment of BCG Vaccines in the Post-Genomic Era. Biotechnol. Biotechnol. Equip. 2014, 28, 387–391. [Google Scholar] [CrossRef]
- Sefidi, F.J.; Kaghazian, H.; Moradli, G.A.; Hassanzadeh, S.M. Improvement of Thermal Stability of BCG Vaccine. Iran. Biomed. J. 2017, 21, 406–410. [Google Scholar] [CrossRef]
- Lévy, F.M.; Mande, R.; Conge, G.; Fillastre, C.; Orssaud, E. Perspectives for BCG Standardization. Bibl. Tuberc. 1968, 24, 63–190. [Google Scholar]
- Cernuschi, T.; Malvolti, S.; Nickels, E.; Friede, M. Bacillus Calmette-Guérin (BCG) Vaccine: A Global Assessment of Demand and Supply Balance. Vaccine 2018, 36, 498–506. [Google Scholar] [CrossRef] [PubMed]
- UNICEF. Bacillus Calmette-Guérin (BCG) Vaccine Supply and Demand August 2019 Update; UNICEF: Geneva, Switzerland, 2019; pp. 1–8. [Google Scholar]
- Dietrich, G.; Mollenkopf, H.-J.; Weber, H.; Knapp, B.; Diehl, K.-D.; Hess, J.; Blackkolb, F.; Bröker, M.; Kaufmann, S.H.E.; Hundt, E. Cultivation of Mycobacterium Bovis BCG in Bioreactors. J. Biotechnol. 2002, 96, 259–270. [Google Scholar] [CrossRef]
- Magana, M.; Sereti, C.; Ioannidis, A.; Mitchell, C.A.; Ball, A.R.; Magiorkinis, E.; Chatzipanagiotou, S.; Hamblin, M.R.; Hadjifrangiskou, M.; Tegos, G.P. Options and Limitations in Clinical Investigation of Bacterial Biofilms. Clin. Microbiol. Rev. 2018, 31, 1–49. [Google Scholar] [CrossRef] [PubMed]
- Provisions, European Department for the Quality of Medicines, European Pharmacopoeia Commission. European Pharmacopoeia, 10th ed.; Council of Europe: Strasbourg, France, 2019; pp. 948–949. [Google Scholar]
- Fitzpatrick, M.; Ho, M.M.; Clark, S.; Dagg, B.; Khatri, B.; Lanni, F.; Williams, A.; Brennan, M.; Laddy, D.; Walker, B. Comparison of Pellicle and Shake Flask-Grown BCG Strains by Quality Control Assays and Protection Studies. Tuberculosis 2019, 114, 47–53. [Google Scholar] [CrossRef]
- Lesellier, S.; Birch, C.P.D.; Davé, D.; Dalley, D.; Gowtage, S.; Palmer, S.; McKenna, C.; Williams, G.A.; Ashford, R.; Weyer, U.; et al. Bioreactor-Grown Bacillus of Calmette and Guérin (BCG) Vaccine Protects Badgers against Virulent Mycobacterium Bovis When Administered Orally: Identifying Limitations in Baited Vaccine Delivery. Pharmaceutics 2020, 12, 782. [Google Scholar] [CrossRef] [PubMed]
- James, B.W.; Williams, A.; Marsh, P.D. The Physiology and Pathogenicity of Mycobacterium Tuberculosis Grown under Controlled Conditions in a Defined Medium. J. Appl. Microbiol. 2000, 88, 669–677. [Google Scholar] [CrossRef]
- Bacon, J.; Alderwick, L.J.; Allnutt, J.A.; Gabasova, E.; Watson, R.; Hatch, K.A.; Clark, S.O.; Jeeves, R.E.; Marriott, A.; Rayner, E.; et al. Non-Replicating Mycobacterium Tuberculosis Elicits a Reduced Infectivity Profile with Corresponding Modifications to the Cell Wall and Extracellular Matrix. PLoS ONE 2014, 9, e87329. [Google Scholar] [CrossRef]
- Miles, A.A.; Misra, S.S.; Irwin, J.O. The Estimation of the Bactericidal Power of the Blood. J. Hyg. 1938, 38, 732–749. [Google Scholar] [CrossRef]
- Hendon-Dunn, C.L.; Doris, K.S.; Thomas, S.R.; Allnutt, J.C.; Marriott, A.A.N.; Hatch, K.A.; Watson, R.J.; Bottley, G.; Marsh, P.D.; Taylor, S.C.; et al. A Flow Cytometry Method for Rapidly Assessing Mycobacterium Tuberculosis Responses to Antibiotics with Different Modes of Action. Antimicrob. Agents Chemother. 2016, 60, 3869–3883. [Google Scholar] [CrossRef]
- Team, R. RStudio: Integrated Development for R; RStudio: Boston, MA, USA, 2020. [Google Scholar]
- Box, G.E.P.; Cox, D.R. An Analysis of Transformations. J. R. Stat. Soc. Ser. B 1964, 26, 211–243. [Google Scholar] [CrossRef]
- Prados-Rosales, R.; Carreño, L.J.; Weinrick, B.; Batista-Gonzalez, A.; Glatman-Freedman, A.; Xu, J.; Chan, J.; Jacobs, W.R.; Porcelli, S.A.; Casadevall, A. The Type of Growth Medium Affects the Presence of a Mycobacterial Capsule and Is Associated with Differences in Protective Efficacy of BCG Vaccination Against Mycobacterium Tuberculosis. J. Infect. Dis. 2016, 214, 426–437. [Google Scholar] [CrossRef] [PubMed]
- Obayashi, Y.; Noguchi, T.; Takano, K. Study on Homogeneous BCG Suspensions Prepared with Tween 80. Bull. World Health Organ. 1955, 13, 327–336. [Google Scholar] [PubMed]
- Beste, D.J.V.; Peters, J.; Hooper, T.; Avignone-Rossa, C.; Bushell, M.E.; McFadden, J. Compiling a Molecular Inventory for Mycobacterium Bovis BCG at Two Growth Rates: Evidence for Growth Rate-Mediated Regulation of Ribosome Biosynthesis and Lipid Metabolism. J. Bacteriol. 2005, 187, 1677–1684. [Google Scholar] [CrossRef] [PubMed]
- Parbhoo, T.; Sampson, S.L.; Mouton, J.M. Recent Developments in the Application of Flow Cytometry to Advance Our Understanding of Mycobacterium Tuberculosis Physiology and Pathogenesis. Cytom. Part A 2020, 1–11. [Google Scholar] [CrossRef]
- Breeuwer, P.; Drocourt, J.L.; Bunschoten, N.; Zwietering, M.H.; Rombouts, F.M.; Abee, T. Characterization of Uptake and Hydrolysis of Fluorescein Diacetate and Carboxyfluorescein Diacetate by Intracellular Esterases in Saccharomyces Cerevisiae, Which Result in Accumulation of Fluorescent Product. Appl. Environ. Microbiol. 1995, 61, 1614–1619. [Google Scholar] [CrossRef]
- Diaper, J.P.; Edwards, C. The Use of Fluorogenic Esters to Detect Viable Bacteria by Flow Cytometry. J. Appl. Bacteriol. 1994, 77, 221–228. [Google Scholar] [CrossRef]
- Pan, H.; Zhang, Y.; He, G.X.; Katagori, N.; Chen, H. A Comparison of Conventional Methods for the Quantification of Bacterial Cells after Exposure to Metal Oxide Nanoparticles. BMC Microbiol. 2014, 14. [Google Scholar] [CrossRef]
- Majeed, M.; Majeed, S.; Nagabhushanam, K.; Punnapuzha, A.; Philip, S.; Mundkur, L. Rapid Assessment of Viable but Nonculturable Bacillus Coagulans MTCC 5856 in Commercial Formulations Using Flow Cytometry. PLoS ONE 2018, 13, e0192836. [Google Scholar] [CrossRef]
- Davey, H.M. Flow Cytometric Techniques for the Detection of Microorganisms. Methods Cell Sci. 2002, 24, 91–97. [Google Scholar] [CrossRef]
- Obayashi, Y.; Cho, C. Effect of Storage at 37 °C on Allergenic Potency of Dried BCG Vaccine. Bull. World Health Organ. 1957, 275–287. [Google Scholar]
- Brandau, D.T.; Jones, L.S.; Wiethoff, C.M.; Rexroad, J.; Middaugh, C.R. Thermal Stability of Vaccines. J. Pharm. Sci. 2003, 92, 218–231. [Google Scholar] [CrossRef] [PubMed]
- Yamamoto, S.; Yamamoto, T. Historical Review of BCG Vaccine in Japan. Jpn. J. Infect. Dis. 2007, 60, 331–336. [Google Scholar] [PubMed]
- Janaszek, W. Evaluation of thermostability of lyophilized BCG vaccines by using an accelerated thermal degradation test. Med. Dosw. Mikrobiol. 1991, 43, 43–49. [Google Scholar]
- Janaszek, W. Investigation of factors determining stability of BCG vaccine. Med. Dosw. Mikrobiol. 1992, 44, 137–144. [Google Scholar]
- Lugosi, L. Multiple Comparison of Dried BCG Vaccines: Stability at 37 °C and Persistence of Strains in the Mouse Spleen. Vaccine 1984, 2, 149–156. [Google Scholar] [CrossRef]
- Gheorghiu, M.; Lagrange, P.H. Viability, heat stability and immunogenicity of four BCG vaccines prepared from four different BCG strains. Ann. Immunol. Inst. Pasteur. 1983, 134, 125–147. [Google Scholar] [CrossRef]
- Wong, Y.-L.; Sampson, S.; Germishuizen, W.A.; Goonesekera, S.; Caponetti, G.; Sadoff, J.; Bloom, B.R.; Edwards, D. Drying a Tuberculosis Vaccine without Freezing. Proc. Natl. Acad. Sci. USA 2007, 104, 2591–2595. [Google Scholar] [CrossRef] [PubMed]
- Gheorghiu, M.; Lagranderie, M.; Balazuc, A.M. Stabilisation of BCG Vaccines. Dev. Biol. Stand. 1996, 87, 251–261. [Google Scholar]
- Grover, A.A.; Kim, H.K.; Wiegeshaus, E.H.; Smith, D.W. Host-Parasite Relationships in Experimental Airborne Tuberculosis II. Reproducible Infection by Means of an Inoculum Preserved at −70 C. J. Bacteriol. 1967, 94, 832–835. [Google Scholar] [CrossRef] [PubMed]




| Pair-Wise Comparison | p-Value |
|---|---|
| Temperature | |
| +4 °C vs. −80 °C | 0.0002 *** |
| +4 °C vs. −20 °C | 0.0022 ** |
| −20 °C vs. −80 °C | 0.7163 |
| Cryoprotectant | |
| 5% DMSO vs. 1.5% MSG | 0.0003 *** |
| 10% Glycerol vs. 1.5% MSG | 0.0698 |
| 5% DMSO vs. 10% Glycerol | 0.1535 |
© 2020 by the authors. Licensee MDPI, Basel, Switzerland. This article is an open access article distributed under the terms and conditions of the Creative Commons Attribution (CC BY) license (http://creativecommons.org/licenses/by/4.0/).
Share and Cite
Pascoe, J.; Hendon-Dunn, C.L.; Birch, C.P.D.; Williams, G.A.; Chambers, M.A.; Bacon, J. Optimisation of Mycobacterium bovis BCG Fermentation and Storage Survival. Pharmaceutics 2020, 12, 900. https://doi.org/10.3390/pharmaceutics12090900
Pascoe J, Hendon-Dunn CL, Birch CPD, Williams GA, Chambers MA, Bacon J. Optimisation of Mycobacterium bovis BCG Fermentation and Storage Survival. Pharmaceutics. 2020; 12(9):900. https://doi.org/10.3390/pharmaceutics12090900
Chicago/Turabian StylePascoe, Jordan, Charlotte L. Hendon-Dunn, Colin P.D. Birch, Gareth A. Williams, Mark A. Chambers, and Joanna Bacon. 2020. "Optimisation of Mycobacterium bovis BCG Fermentation and Storage Survival" Pharmaceutics 12, no. 9: 900. https://doi.org/10.3390/pharmaceutics12090900
APA StylePascoe, J., Hendon-Dunn, C. L., Birch, C. P. D., Williams, G. A., Chambers, M. A., & Bacon, J. (2020). Optimisation of Mycobacterium bovis BCG Fermentation and Storage Survival. Pharmaceutics, 12(9), 900. https://doi.org/10.3390/pharmaceutics12090900

