Modelling the Effect of Process Parameters on the Wet Extrusion and Spheronisation of High-Loaded Nicotinamide Pellets Using a Quality by Design Approach
Abstract
1. Introduction
2. Materials and Methods
2.1. Materials
2.2. Methods
2.2.1. Pellet Preparation
Micronisation
Extrusion and Spheronisation
Spray Granulation of NAM
Fluidized Bed Coating
Calculation of the Coating Level and Coating Process
2.2.2. Extrudate Characterization
Process Yield
Moisture Content
2.2.3. Pellet Characterization
Pellet Size Distribution—Sieve Analysis
Pellet Shape—Photo Image and Scanning Electron Microscopy (SEM)
Dissolution Testing after Application of Coating
2.2.4. Quality by Design
Quality Target Product Profile (QTPP) and Critical Quality Attributes (CQAs)
Critical Material Attributes (CMAs) and Critical Process Parameters (CPPs)
Design of Experiments (DoE)
3. Results and Discussion
3.1. Preliminary Tests: Establishing the Range of Solid-to-Liquid Ratio
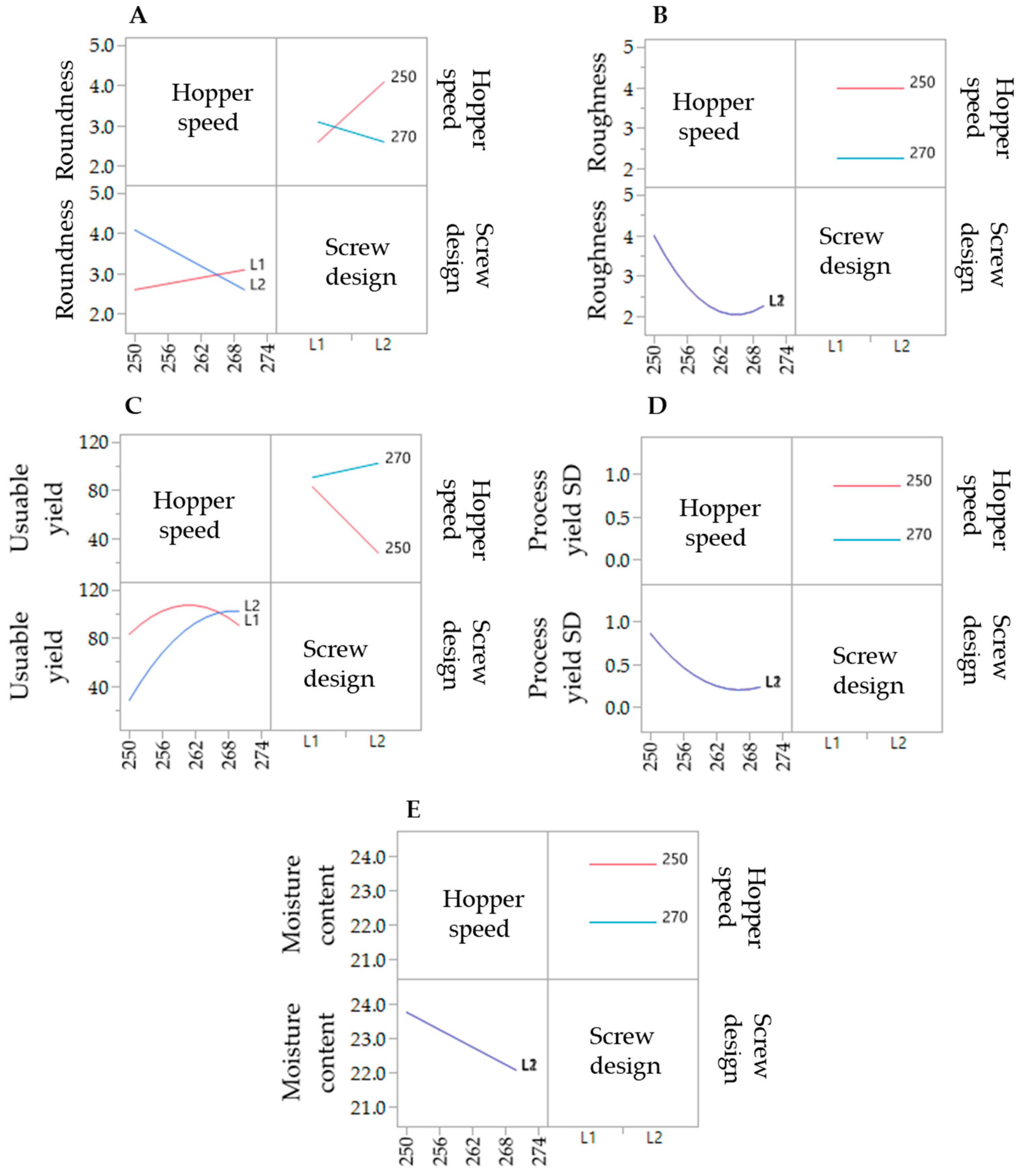
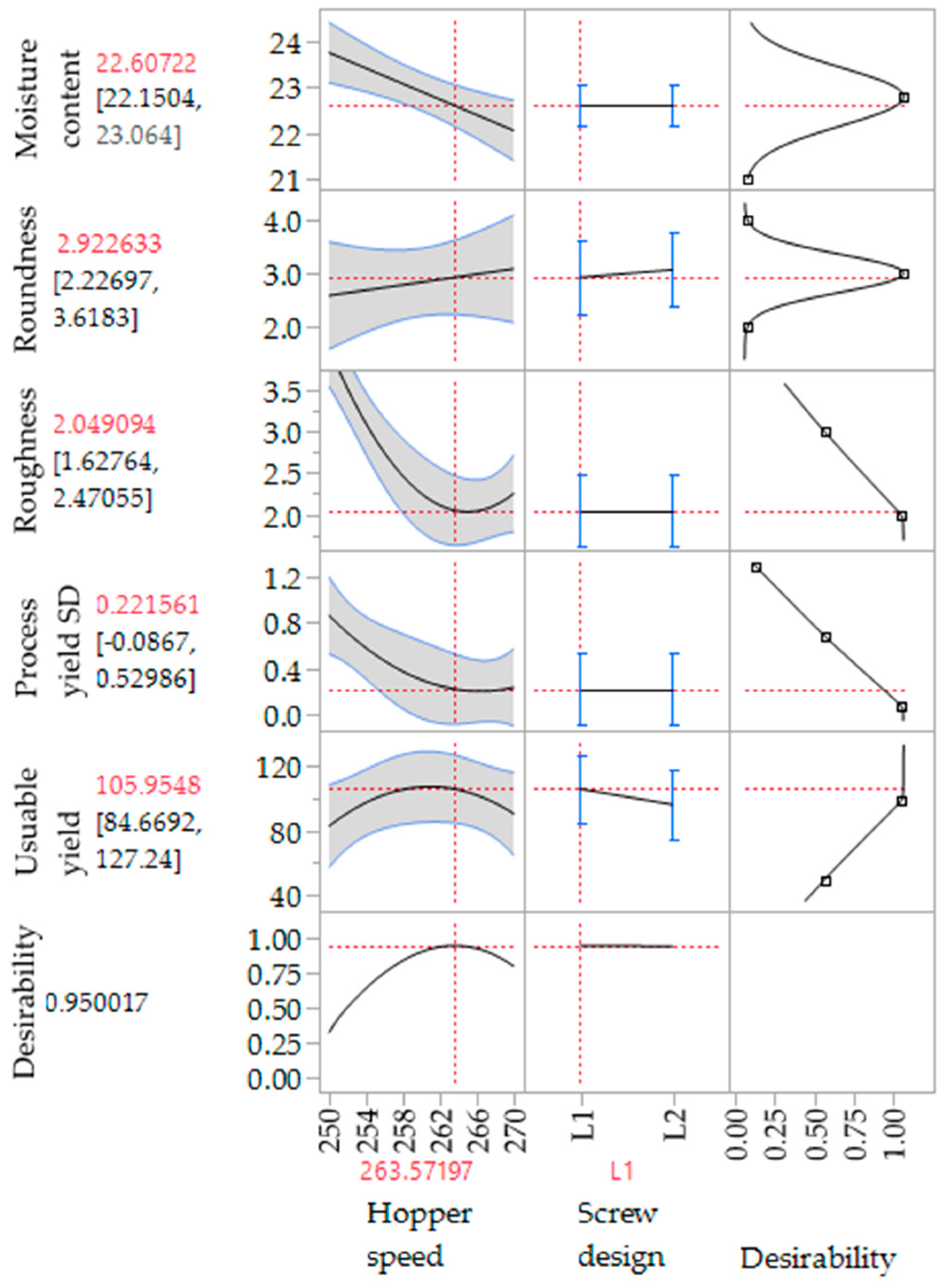
3.2. Design of Experiment—Extrusion Process
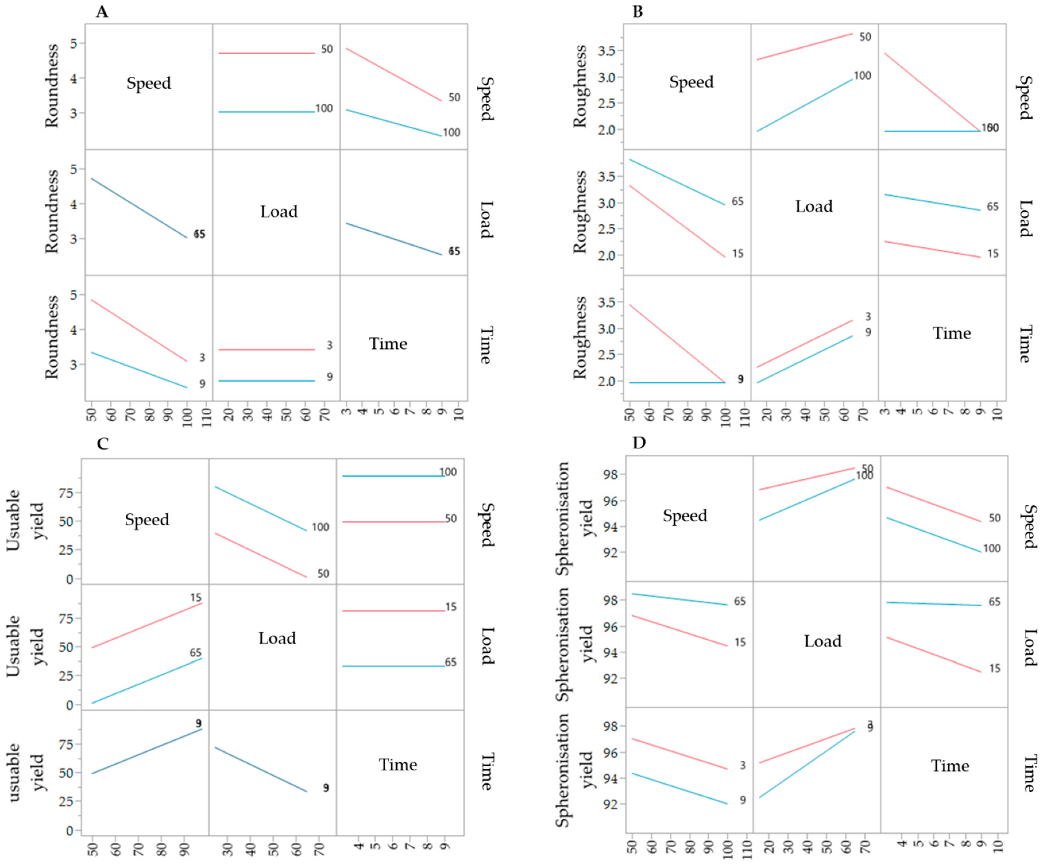
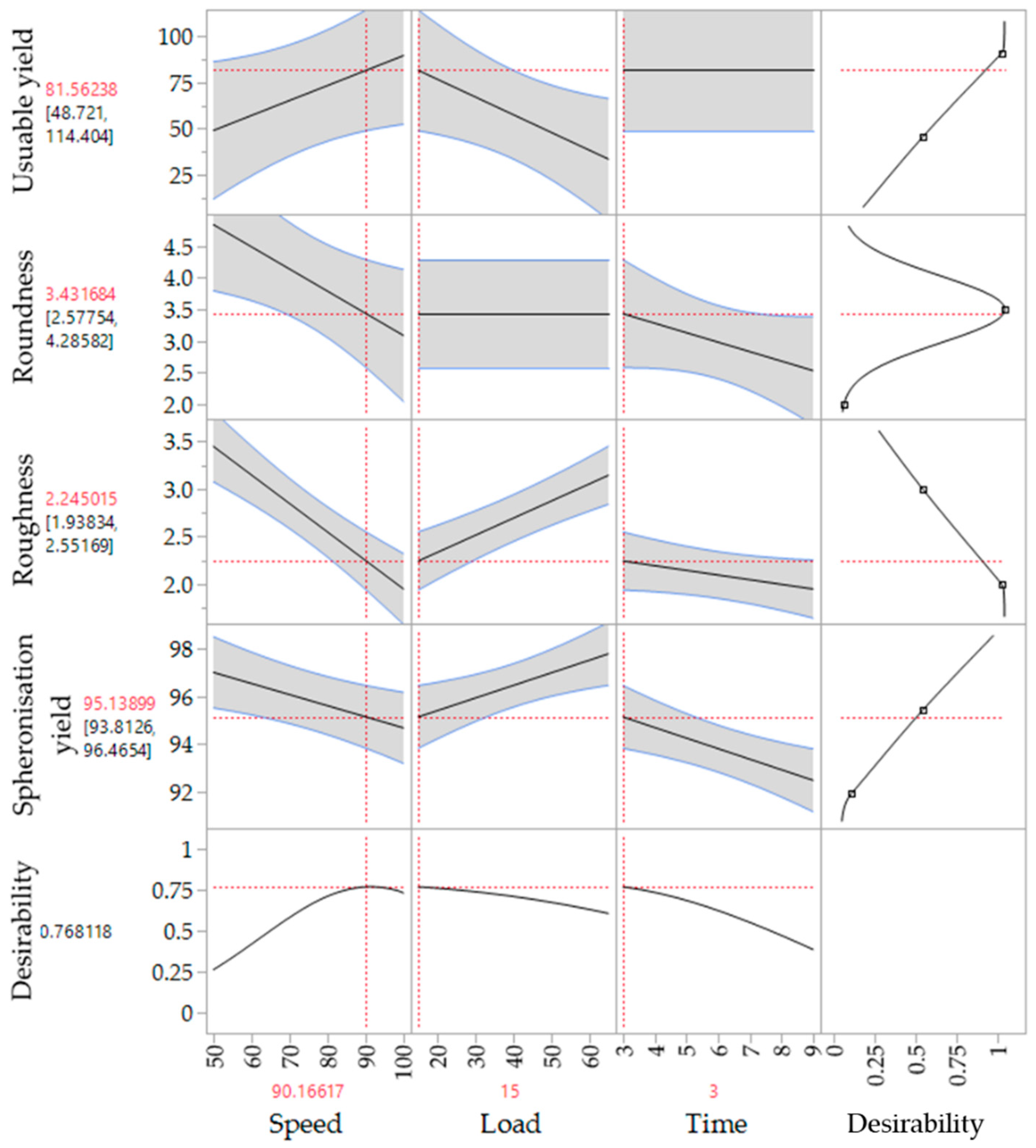
3.3. Design of Experiment—Spheronisation Process
3.4. Verification of the Spheronisation Model
3.5. Comparison of NAM Pellets Produced by Wet Extrusion-Spheronisation and Spray Granulation
4. Conclusions
Author Contributions
Funding
Acknowledgments
Conflicts of Interest
References
- Zaman, M.; Saeed-Ul-Hassan, S.; Safraz, R.M.; Batool, N.; Qureshi, M.J.; Akram, M.A.; Munir, S.; Danish, Z. Pellets and pelletization: Emerging trends in the pharma industry. Acta Pol. Pharm. Drug Res. 2016, 73, 1415–1425. [Google Scholar]
- Yu, D.-G.; Zheng, X.-L.; Yang, Y.; Li, X.-Y.; Williams, G.R.; Zhao, M. Immediate release of helicid from nanoparticles produced by modified coaxial electrospraying. Appl. Surf. Sci. 2019, 473, 148–155. [Google Scholar] [CrossRef]
- Frenzel, M.; Steffen-Heins, A. Impact of quercetin and fish oil encapsulation on bilayer membrane oxidation stability of liposomes. Food Chem. 2015, 185, 48–57. [Google Scholar] [CrossRef]
- Mueller, D.; Jung, K.; Winter, M.; Rogoll, D.; Melcher, R.; Kulozik, U.; Schwarz, K.; Richling, E. Encapsulation of anthocyanins from bilberries—Effects on bioavailability and intestinal accessibility in humans. Food Chem. 2018, 248, 217–224. [Google Scholar] [CrossRef] [PubMed]
- Egert, S.; Wolffram, S.; Schulze, B.; Langguth, P.; Hubbermann, E.M.; Schwarz, K.; Adolphi, B.; Bosy-Westphal, A.; Rimbach, G.; Müller, M.J. Enriched cereal bars are more effective in increasing plasma quercetin compared with quercetin from powder-filled hard capsules. Br. J. Nutr. 2012, 107, 539–546. [Google Scholar] [CrossRef]
- Petersen, B.; Egert, S.; Bosy-Westphal, A.; Müller, M.J.; Wolffram, S.; Hubbermann, E.M.; Rimbach, G.; Schwarz, K. Bioavailability of quercetin in humans and the influence of food matrix comparing quercetin capsules and different apple sources. Food Res. Int. 2016, 88, 159–165. [Google Scholar] [CrossRef]
- Knop, K.; Kleinebudde, P. Pharmaceutical pellets: Definition, properties, production. Excip. Act. Pharma 2005, 15, 2–5. [Google Scholar]
- Lustig-Gustafsson, C.; Kaur Johal, H.; Podczeck, F.; Newton, J.M. The influence of water content and drug solubility on the formulation of pellets by extrusion and spheronisation. Eur. J. Pharm. Sci. 1999, 8, 147–152. [Google Scholar] [CrossRef]
- Verstraete, G.; De Jeaghere, W.; Vercruysse, J.; Grymonpré, W.; Vanhoorne, V.; Stauffer, F.; De Beer, T.; Bezuijen, A.; Remon, J.P.; Vervaet, C. The use of partially hydrolysed polyvinyl alcohol for the production of high drug-loaded sustained release pellets via extrusion-spheronisation and coating: In vitro and in vivo evaluation. Int. J. Pharm. 2017, 517, 88–95. [Google Scholar] [CrossRef]
- Politis, S.N.; Rekkas, D.M. Pelletization processes for pharmaceutical applications: A patent review. Recent Pat. Drug Deliv. Formul. 2011, 5, 61–78. [Google Scholar] [CrossRef] [PubMed]
- Hashimoto, T.; Perlot, T.; Rehman, A.; Trichereau, J.; Ishiguro, H.; Paolino, M.; Sigl, V.; Hanada, T.; Hanada, R.; Lipinski, S.; et al. ACE2 links amino acid malnutrition to microbial ecology and intestinal inflammation. Nature 2012, 487, 477–481. [Google Scholar] [CrossRef]
- Buch, K.; Penning, M.; Wächtersbach, E.; Maskos, M.; Langguth, P. Investigation of various shellac grades: Additional analysis for identity. Drug Dev. Ind. Pharm. 2009, 35, 694–703. [Google Scholar] [CrossRef]
- Limmatvapirat, S.; Limmatvapirat, C.; Puttipipatkhachorn, S.; Nuntanid, J.; Luangtana-Anan, M. Enhanced enteric properties and stability of shellac films through composite salts formation. Eur. J. Pharm. Biopharm. 2007, 67, 690–698. [Google Scholar] [CrossRef]
- Farag, Y.; Leopold, C.S. Development of shellac-coated sustained release pellet formulations. Eur. J. Pharm. Sci. 2011, 42, 400–405. [Google Scholar] [CrossRef] [PubMed]
- Fangmann, D.; Theismann, E.-M.; Türk, K.; Schulte, D.M.; Relling, I.; Hartmann, K.; Keppler, J.K.; Knipp, J.-R.; Rehman, A.; Heinsen, F.-A.; et al. Targeted microbiome intervention by microencapsulated delayed-release niacin beneficially affects insulin sensitivity in humans. Diabetes Care 2018, 41, 398–405. [Google Scholar] [CrossRef] [PubMed]
- Yang, Y.-Y.; Liu, Z.-P.; Yu, D.-G.; Wang, K.; Liu, P.; Cheng, X. Colon-specific pulsatile drug release provided by electrospun shellac nanocoating on hydrophilic amorphous composites. Int. J. Nanomed. 2018, 13, 2395–2404. [Google Scholar] [CrossRef]
- Wang, K.; Wen, H.-F.; Yu, D.-G.; Yang, Y.; Zhang, D.-F. Electrosprayed hydrophilic nanocomposites coated with shellac for colon-specific delayed drug delivery. Mater. Des. 2018, 143, 248–255. [Google Scholar] [CrossRef]
- Kumar, P.; Sethi, S.; Sharma, R.R.; Varghese, E. Influence of edible coatings on physiological and biochemical attributes of Japanese plum (Prunus salicina Lindell cv. Santa Rosa). Fruits 2018, 73, 31–38. [Google Scholar] [CrossRef]
- Chauhan, O.P.; Nanjappa, C.; Ashok, N.; Ravi, N.; Roopa, N.; Raju, P.S. Shellac and Aloe vera gel based surface coating for shelf life extension of tomatoes. J. Food Sci. Technol. 2015, 52, 1200–1205. [Google Scholar] [CrossRef]
- Chitravathi, K.; Chaihan, O.P.; Raju, P.S. Postharvest shelf-life extension of green chillies (Capsicum annuum L.) using shellac-based edible surface coatings. Postharvest Biol. Technol. 2014, 92, 146–148. [Google Scholar] [CrossRef]
- Czarnocka, J.K.; Alhnan, M.A. Gastro-resistant characteristics of GRAS-grade enteric coatings for pharmaceutical and nutraceutical products. Int. J. Pharm. 2015, 486, 167–174. [Google Scholar] [CrossRef] [PubMed]
- Sovány, T.; Csordás, K.; Kelemen, A.; Regdon, G.; Pintye-Hódi, K. Development of pellets for oral lysozyme delivery by using a quality by design approach. Chem. Eng. Res. Des. 2016, 106, 92–100. [Google Scholar] [CrossRef]
- Zhang, L.; Mao, S. Applications of quality by design (QbD) and its tools in drug delivery. Asian J. Pharm. Sci. 2016, 11, 144–145. [Google Scholar] [CrossRef]
- Dukić-Ott, A.; Thommes, M.; Remon, J.P.; Kleinebudde, P.; Vervaet, C. Production of pellets via extrusion-spheronisation without the incorporation of microcrystalline cellulose: A critical review. Eur. J. Pharm. Biopharm. 2009, 71, 38–46. [Google Scholar] [CrossRef]
- Jain, S.P.; Singh, P.P.; Amin, P.D. Alternative extrusion-spheronization aids. Drug Dev. Ind. Pharm. 2010, 36, 1364–1376. [Google Scholar] [CrossRef]
- Farag, Y.; Leopold, C.S. Investigation of drug release from pellets coated with different shellac types. Drug Dev. Ind. Pharm. 2011, 37, 193–200. [Google Scholar] [CrossRef]
- Berg, S.; Bretz, M.; Hubbermann, E.M.; Schwarz, K. Influence of different pectins on powder characteristics of microencapsulated anthocyanins and their impact on drug retention of shellac coated granulate. J. Food Eng. 2012, 108, 158–165. [Google Scholar] [CrossRef]
- U.S. Pharmacopeial Convention. USP 35—NF 30: Test Solutions: Simulated Gastric Fluid. 2012. Available online: https://www.drugfuture.com/Pharmacopoeia/usp35/PDF/5321-5328%20Test%20Solutions.pdf (accessed on 14 February 2019).
- Gomori, G. Preparation of buffers for use in enzyme studies. Methods Enzymol. 1955, 1, 138–146. [Google Scholar]
- Vervaet, C.; Baert, L.; Remon, J.P. Extrusion-spheronisation: A literature review. Int. J. Pharm. 1995, 116, 131–146. [Google Scholar] [CrossRef]
- Jover, I.; Podczeck, F.; Newton, M. Evaluation, by a statistically designed experiment, of an experimental grade of microcrystalline cellulose, Avicel 955, as a technology to aid the production of pellets with high drug loading. Int. J. Pharm. Sci. 1996, 85, 700–705. [Google Scholar] [CrossRef] [PubMed]
- Podczeck, F.; Knight, P.E.; Newton, J.M. The evaluation of modified microcrystalline cellulose for the preparation of pellets with high drug loading by extrusion/spheronization. Int. J. Pharm. 2008, 350, 145–154. [Google Scholar] [CrossRef]
- Baert, L.; Remon, J.P. Influence of amount of granulation liquid on the drug release rate from pellets made by extrusion spheronisation. Int. J. Pharm. 1993, 95, 135–141. [Google Scholar] [CrossRef]
- Dhenge, R.M.; Cartwright, J.J.; Doughty, D.G.; Hounslow, M.J.; Salman, A.D. Twin screw wet granulation: Effect of powder feed rate. Adv. Powder Technol. 2011, 22, 162–166. [Google Scholar] [CrossRef]
- Seem, T.C.; Rowson, N.A.; Ingram, A.; Huang, Z.; Yu, S.; Matas, M.D.; Gabbott, I.; Reynolds, G.K. Twin screw granulation—A literature review. Powder Technol. 2015, 276, 89–102. [Google Scholar] [CrossRef]
- Dhenge, R.M.; Fyles, R.S.; Cartwright, J.J.; Doughty, D.G.; Hounslow, M.J.; Salman, A.D. Twin screw wet granulation: Granule properties. Chem. Eng. J. 2010, 164, 322–329. [Google Scholar] [CrossRef]
- Di Pretoro, G.; Zema, L.; Palugan, L.; Wilson, D.I.; Rough, S.L.; Gazzaniga, A. Optimisation and scale-up of a highly-loaded 5-ASA multi-particulate dosage form using a factorial approach. Eur. J. Pharm. Sci. 2012, 45, 158–168. [Google Scholar] [CrossRef] [PubMed]
- Hasznos, L.; Langer, I.; Gyarmathy, M. Some factors influencing pellet characteristics made by an Extrusion/Spheronisation process Part I: Effects on size characteristics and moisture content decrease of pellets. Drug Dev. Ind. Pharm. 2008, 18, 409–437. [Google Scholar] [CrossRef]
- Baert, L.; Vermeersch, H.; Remon, J.P.; Smeyers-Verbeke, J.; Massart, D.L. Study of parameters important in the spheronisation process. Int. J. Pharm. 1993, 96, 225–229. [Google Scholar] [CrossRef]
- Dukić, A.; Mens, R.; Adriaensens, P.; Foreman, P.; Gelan, J.; Remon, J.P.; Vervaet, C. Development of starch-based pellets via extrusion/spheronisation. Eur. J. Pharm. Biopharm. 2007, 66, 83–94. [Google Scholar] [CrossRef]
- Newton, J.M.; Chapman, S.R.; Rowe, R.C. The influence of process variables on the preparation and properties of spherical granules by the process of extrusion and spheronisation. Int. J. Pharm. 1995, 120, 101–109. [Google Scholar] [CrossRef]
- Krueger, C.; Thommes, M.; Kleinebudde, P. Spheronisation mechanism of MCC II-based pellets. Powder Technol. 2013, 238, 176–187. [Google Scholar] [CrossRef]
- Shah, N.; Mehta, T.; Gohel, M. Formulation and optimization of multiparticulate drug delivery system approach for high drug loading. AAPS PharmSciTech 2017, 18, 2157–2167. [Google Scholar] [CrossRef] [PubMed]
- Pandey, S.; Swamy, V.; Gupta, A.; Koli, A.; Patel, S.; Maulvi, F.; Vyas, B. Multiple response optimization of processing and formulation parameters of pH sensitive sustained release pellets of capecitabine for targeting colon. J. Microencapsul. 2018, 35. [Google Scholar] [CrossRef]
- Manda, A.; Walker, R.B.; Khamanga, S.M.M. An artificial neural network approach to predict the effects of formulation and process variables on prednisone release from a multiparticulate system. Pharmaceutics 2019, 11, 109. [Google Scholar] [CrossRef] [PubMed]














| Run | Pattern | Screw Design | Screw Speed [rpm] | Hopper Speed 1 [rpm] | mc [%] | Roundness | Roughness | py SD | uy [%] |
|---|---|---|---|---|---|---|---|---|---|
| 1 | 100 | L1 | 200 | 260 | 23.87 | 3 | 2 | 0.08 | 91.62 |
| 2 | 1+− | L1 | 300 | 250 | 23.86 | 3 | 4 | 1.19 | 91.18 |
| 3 | 1−− | L1 | 100 | 250 | 23.79 | 2 | 4 | 0.41 | 86.62 |
| 4 | 1++ | L1 | 300 | 270 | 21.70 | 3 | 2 | 0.23 | 95.79 |
| 5 | 100 | L1 | 200 | 260 | 23.55 | 3 | 3 | 0.12 | 98.12 |
| 6 | 1−+ | L1 | 100 | 270 | 21.39 | 3 | 2 | 0.23 | 97.53 |
| 7 | 200 | L2 | 200 | 260 | 23.15 | 2 | 2 | 0.36 | 98.04 |
| 8 | 2−− | L2 | 100 | 250 | 24.09 | 5 | 4 | 1.3 | 0 |
| 9 | 2+− | L2 | 300 | 250 | 22.78 | 4 | 4 | 0.56 | 42.42 |
| 10 | 2++ | L2 | 300 | 270 | 21.85 | 3 | 3 | 0.26 | 95.96 |
| 11 | 200 | L2 | 200 | 260 | 22.12 | 3 | 2 | 0.65 | 97.49 |
| 12 | 2−+ | L2 | 100 | 270 | 22.78 | 3 | 2 | 0.22 | 96.43 |
| Run | Pattern | Time [min] | Speed 1 [%] | Load [g] | uy [%] | Roundness | Roughness | sy [%] |
|---|---|---|---|---|---|---|---|---|
| 1 | +−+ | 9 | 50 | 65 | 0 | 4 | 2.5 | 97.62 |
| 2 | −++ | 3 | 100 | 65 | 27.05 | 3.5 | 3 | 97.00 |
| 3 | +−− | 9 | 50 | 15 | 71.43 | 3 | 2 | 94.27 |
| 4 | −−− | 3 | 50 | 15 | 0 | 5 | 3.5 | 96.93 |
| 5 | ++− | 9 | 100 | 15 | 90.99 | 3 | 2 | 91.93 |
| 6 | 000 | 6 | 75 | 40 | 65.29 | 2.5 | 2.5 | 96.28 |
| 7 | −−+ | 3 | 50 | 65 | 0 | 5 | 4 | 98.94 |
| 8 | −+− | 3 | 100 | 15 | 86.44 | 3 | 2 | 94.60 |
| 9 | 000 | 6 | 75 | 40 | 81.38 | 3 | 2.5 | 96.83 |
| 10 | +++ | 9 | 100 | 65 | 29.29 | 2 | 3 | 97.86 |
© 2019 by the authors. Licensee MDPI, Basel, Switzerland. This article is an open access article distributed under the terms and conditions of the Creative Commons Attribution (CC BY) license (http://creativecommons.org/licenses/by/4.0/).
Share and Cite
Theismann, E.-M.; K. Keppler, J.; Owen, M.; Schwarz, K.; Schlindwein, W. Modelling the Effect of Process Parameters on the Wet Extrusion and Spheronisation of High-Loaded Nicotinamide Pellets Using a Quality by Design Approach. Pharmaceutics 2019, 11, 154. https://doi.org/10.3390/pharmaceutics11040154
Theismann E-M, K. Keppler J, Owen M, Schwarz K, Schlindwein W. Modelling the Effect of Process Parameters on the Wet Extrusion and Spheronisation of High-Loaded Nicotinamide Pellets Using a Quality by Design Approach. Pharmaceutics. 2019; 11(4):154. https://doi.org/10.3390/pharmaceutics11040154
Chicago/Turabian StyleTheismann, Eva-Maria, Julia K. Keppler, Martin Owen, Karin Schwarz, and Walkiria Schlindwein. 2019. "Modelling the Effect of Process Parameters on the Wet Extrusion and Spheronisation of High-Loaded Nicotinamide Pellets Using a Quality by Design Approach" Pharmaceutics 11, no. 4: 154. https://doi.org/10.3390/pharmaceutics11040154
APA StyleTheismann, E.-M., K. Keppler, J., Owen, M., Schwarz, K., & Schlindwein, W. (2019). Modelling the Effect of Process Parameters on the Wet Extrusion and Spheronisation of High-Loaded Nicotinamide Pellets Using a Quality by Design Approach. Pharmaceutics, 11(4), 154. https://doi.org/10.3390/pharmaceutics11040154

