Effect of Red Ginseng Extract on the Pharmacokinetics and Efficacy of Metformin in Streptozotocin-Induced Diabetic Rats
Abstract
1. Introduction
2. Materials and Methods
2.1. Materials
2.2. Animals
2.3. Induction of Diabetes Mellitus (DM) and Efficacy Monitoring
2.4. Pharmacokinetic Interaction Study
2.5. LC-MS/MS Analysis of Metformin and Ginsenoside Rb1
2.6. Data Analysis
3. Results
3.1. Pharmacokinetics (PK) Interaction between Metformin and Red Ginseng Extract (RGE) in Diabetic Rats
3.2. Efficacy of Metformin with RGE in Diabetic Rats
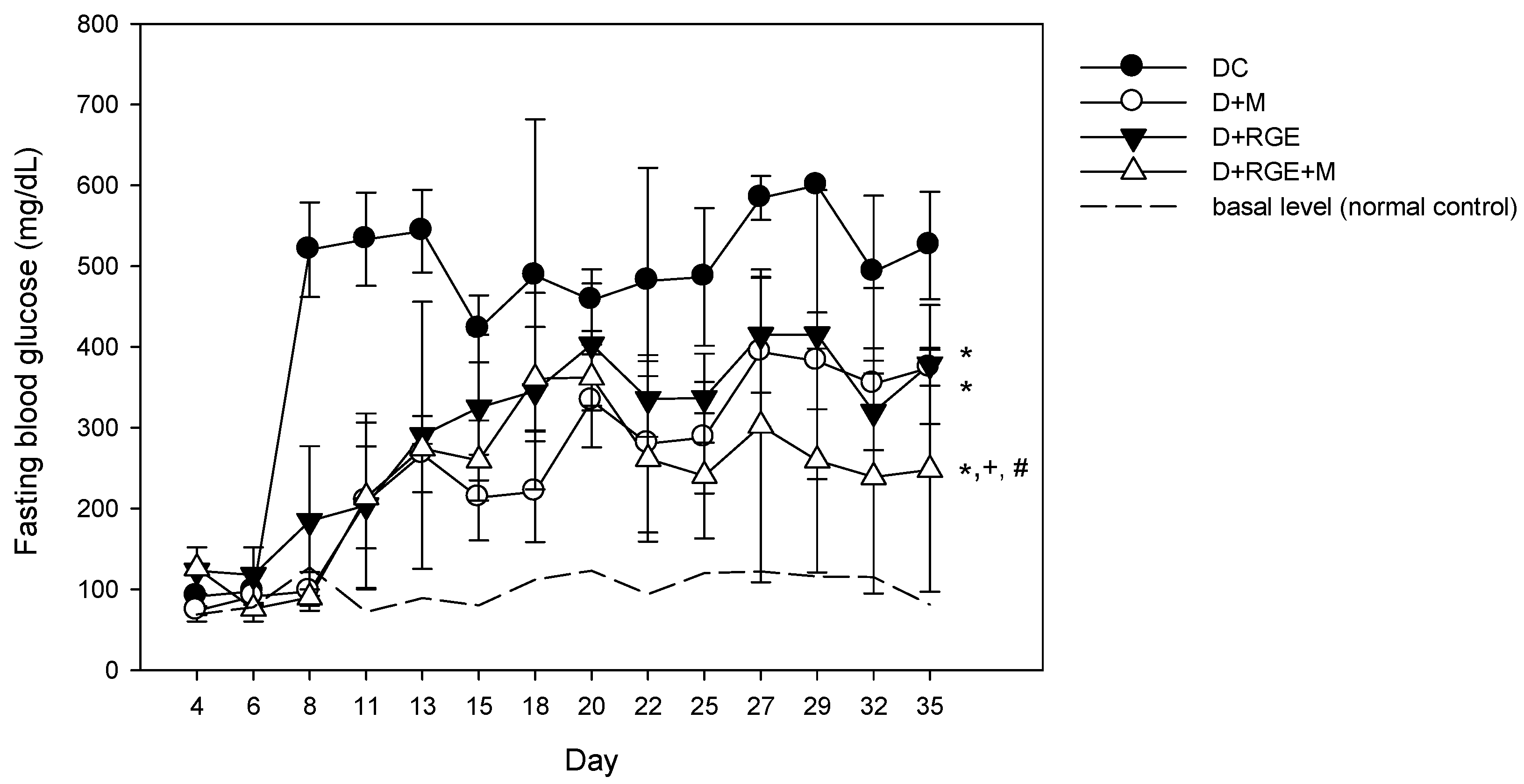
3.2.1. Fasting Blood Glucose
3.2.2. Body, Liver, and Pancreas Weight
3.2.3. Biochemical Results
4. Discussion
Author Contributions
Funding
Conflicts of Interest
References
- Akbarzadeh, A.; Norouzian, D.; Mehrabi, M.R.; Jamshidi, S.; Farhangi, A.; Verdi, A.A.; Mofidian, S.M.; Rad, B.L. Induction of diabetes by streptozotocin in rats. Indian J. Clin. Biochem. 2007, 22, 60–64. [Google Scholar] [CrossRef] [PubMed]
- Liu, Z.; Li, W.; Li, X.; Zhang, M.; Chen, L.; Zheng, Y.N.; Sun, G.Z.; Ruan, C.C. Antidiabetic effects of malonyl ginsenosides from panax ginseng on type 2 diabetic rats induced by high-fat diet and streptozotocin. J. Ethnopharmacol. 2013, 145, 233–240. [Google Scholar] [CrossRef] [PubMed]
- Zhang, M.; Lv, X.Y.; Li, J.; Xu, Z.G.; Chen, L. The characterization of high-fat diet and multiple low-dose streptozotocin induced type 2 diabetes rat model. Exp. Diabetes Res. 2008, 2008, 704045. [Google Scholar] [CrossRef] [PubMed]
- Al-Ali, K.; Abdel Fatah, H.S.; El-Badry, Y.A. Dual effect of curcumin-zinc complex in controlling diabetes mellitus in experimentally induced diabetic rats. Biol. Pharm. Bull. 2016, 39, 1774–1780. [Google Scholar] [CrossRef] [PubMed]
- Srinivasan, K.; Viswanad, B.; Asrat, L.; Kaul, C.L.; Ramarao, P. Combination of high-fat diet-fed and low-dose streptozotocin-treated rat: A model for type 2 diabetes and pharmacological screening. Pharmacol. Res. 2005, 52, 313–320. [Google Scholar] [CrossRef] [PubMed]
- Cheng, J.T.; Huang, C.C.; Liu, I.M.; Tzeng, T.F.; Chang, C.J. Novel mechanism for plasma glucose-lowering action of metformin in streptozotocin-induced diabetic rats. Diabetes 2006, 55, 819–825. [Google Scholar] [CrossRef] [PubMed]
- Majithiya, J.B.; Balaraman, R. Metformin reduces blood pressure and restores endothelial function in aorta of streptozotocin-induced diabetic rats. Life Sci. 2006, 78, 2615–2624. [Google Scholar] [CrossRef] [PubMed]
- Yanardag, R.; Ozsoy-Sacan, O.; Bolkent, S.; Orak, H.; Karabulut-Bulan, O. Protective effects of metformin treatment on the liver injury of streptozotocin-diabetic rats. Hum. Exp. Toxicol. 2005, 24, 129–135. [Google Scholar] [CrossRef] [PubMed]
- Bang, H.; Kwak, J.H.; Ahn, H.Y.; Shin, D.Y.; Lee, J.H. Korean red ginseng improves glucose control in subjects with impaired fasting glucose, impaired glucose tolerance, or newly diagnosed type 2 diabetes mellitus. J. Med. Food 2014, 17, 128–134. [Google Scholar] [CrossRef] [PubMed]
- Jung, J.H.; Kang, I.G.; Kim, D.Y.; Hwang, Y.J.; Kim, S.T. The effect of korean red ginseng on allergic inflammation in a murine model of allergic rhinitis. J. Ginseng Res. 2013, 37, 167–175. [Google Scholar] [CrossRef] [PubMed]
- Park, T.Y.; Hong, M.; Sung, H.; Kim, S.; Suk, K.T. Effect of korean red ginseng in chronic liver disease. J. Ginseng Res. 2017, 41, 450–455. [Google Scholar] [CrossRef] [PubMed]
- Kim, H.J.; Lee, S.G.; Chae, I.G.; Kim, M.J.; Im, N.K.; Yu, M.H.; Lee, E.J.; Lee, I.S. Antioxidant effects of fermented red ginseng extracts in streptozotocin-induced diabetic rats. J. Ginseng Res. 2011, 35, 129–137. [Google Scholar] [CrossRef] [PubMed]
- Oh, M.R.; Park, S.H.; Kim, S.Y.; Back, H.I.; Kim, M.G.; Jeon, J.Y.; Ha, K.C.; Na, W.T.; Cha, Y.S.; Park, B.H.; et al. Postprandial glucose-lowering effects of fermented red ginseng in subjects with impaired fasting glucose or type 2 diabetes: A randomized, double-blind, placebo-controlled clinical trial. BMC Complement. Altern. Med. 2014, 14, 237. [Google Scholar] [CrossRef] [PubMed]
- Mostafavinia, A.; Amini, A.; Ghorishi, S.K.; Pouriran, R.; Bayat, M. The effects of dosage and the routes of administrations of streptozotocin and alloxan on induction rate of type1 diabetes mellitus and mortality rate in rats. Lab. Anim. Res. 2016, 32, 160–165. [Google Scholar] [CrossRef] [PubMed]
- Al-Khalifa, A.; Mathew, T.C.; Al-Zaid, N.S.; Mathew, E.; Dashti, H. Low carbohydrate ketogenic diet prevents the induction of diabetes using streptozotocin in rats. Exp. Toxicol. Pathol. 2011, 63, 663–669. [Google Scholar] [CrossRef] [PubMed]
- Abunasef, S.K.; Amin, H.A.; Abdel-Hamid, G.A. A histological and immunohistochemical study of beta cells in streptozotocin diabetic rats treated with caffeine. Folia Histochem. Cytobiol. 2014, 52, 42–50. [Google Scholar] [CrossRef] [PubMed]
- Kwon, M.; Choi, Y.A.; Choi, M.K.; Song, I.S. Organic cation transporter-mediated drug-drug interaction potential between berberine and metformin. Arch. Pharm. Res. 2015, 38, 849–856. [Google Scholar] [CrossRef] [PubMed]
- Choi, I.D.; Ryu, J.H.; Lee, D.E.; Lee, M.H.; Shim, J.J.; Ahn, Y.T.; Sim, J.H.; Huh, C.S.; Shim, W.S.; Yim, S.V.; et al. Enhanced absorption study of ginsenoside compound k (20-O-beta-(d-glucopyranosyl)-20(S)-protopanaxadiol) after oral administration of fermented red ginseng extract (hyfrg) in healthy korean volunteers and rats. Evid. Based Complement. Altern. Med. 2016, 2016, 3908142. [Google Scholar] [CrossRef] [PubMed]
- Lee, S.M.; Bae, B.S.; Park, H.W.; Ahn, N.G.; Cho, B.G.; Cho, Y.L.; Kwak, Y.S. Characterization of korean red ginseng (panax ginseng meyer): History, preparation method, and chemical composition. J. Ginseng Res. 2015, 39, 384–391. [Google Scholar] [CrossRef] [PubMed]
- Franklin, R.A. The influence of gastric emptying on plasma concentrations of the analgesic, meptazinol. Br. J. Pharm. 1977, 59, 565–569. [Google Scholar] [CrossRef]
- Song, I.S.; Kong, T.Y.; Jeong, H.U.; Kim, E.N.; Kwon, S.S.; Kang, H.E.; Choi, S.Z.; Son, M.; Lee, H.S. Evaluation of the transporter-mediated herb-drug interaction potential of da-9801, a standardized dioscorea extract for diabetic neuropathy, in human in vitro and rat in vivo. BMC Complement. Altern. Med. 2014, 14, 251. [Google Scholar] [CrossRef] [PubMed]
- Yuan, H.D.; Kim, J.T.; Kim, S.H.; Chung, S.H. Ginseng and diabetes: The evidences from in vitro, animal and human studies. J. Ginseng Res. 2012, 36, 27–39. [Google Scholar] [CrossRef] [PubMed]
- Lee, S.; Lee, M.S.; Kim, C.T.; Kim, I.H.; Kim, Y. Ginsenoside rg3 reduces lipid accumulation with amp-activated protein kinase (ampk) activation in hepg2 cells. Int. J. Mol. Sci. 2012, 13, 5729–5739. [Google Scholar] [CrossRef] [PubMed]
- Meng, F.; Su, X.; Li, W.; Zheng, Y. Ginsenoside rb3 strengthens the hypoglycemic effect through ampk for inhibition of hepatic gluconeogenesis. Exp. Ther. Med. 2017, 13, 2551–2557. [Google Scholar] [CrossRef] [PubMed]
- Choi, J.; Kim, K.J.; Koh, E.J.; Lee, B.Y. Gelidium elegans extract ameliorates type 2 diabetes via regulation of mapk and pi3k/akt signaling. Nutrients 2018, 10, 51. [Google Scholar] [CrossRef] [PubMed]
- Hwang, J.T.; Lee, M.S.; Kim, H.J.; Sung, M.J.; Kim, H.Y.; Kim, M.S.; Kwon, D.Y. Antiobesity effect of ginsenoside rg3 involves the ampk and ppar-gamma signal pathways. Phytother. Res. 2009, 23, 262–266. [Google Scholar] [CrossRef] [PubMed]
- Zhou, G.; Myers, R.; Li, Y.; Chen, Y.; Shen, X.; Fenyk-Melody, J.; Wu, M.; Ventre, J.; Doebber, T.; Fujii, N.; et al. Role of amp-activated protein kinase in mechanism of metformin action. J. Clin. Investig. 2001, 108, 1167–1174. [Google Scholar] [CrossRef] [PubMed]
- Abbud, W.; Habinowski, S.; Zhang, J.Z.; Kendrew, J.; Elkairi, F.S.; Kemp, B.E.; Witters, L.A.; Ismail-Beigi, F. Stimulation of amp-activated protein kinase (ampk) is associated with enhancement of glut1-mediated glucose transport. Arch. Biochem. Biophys. 2000, 380, 347–352. [Google Scholar] [CrossRef] [PubMed]





| Parameters | Control | SA | 1WRA | p Value | |
|---|---|---|---|---|---|
| Cmax | μg/mL | 6.29 ± 1.04 | 5.54 ± 1.20 | 7.58 ± 1.39 | 0.06 |
| Tmax | h | 1.80 ± 0.45 | 2.40 ± 0.55 | 1.80 ± 0.84 | 0.26 |
| AUC24 h | μg·h/mL | 33.07 ± 6.82 | 41.59 ± 11.93 | 39.58 ± 9.50 | 0.37 |
| AUC∞ | μg·h/mL | 34.27 ± 6.63 | 43.49 ± 11.72 | 41.18 ± 10.30 | 0.33 |
| t1/2 | h | 4.59 ± 1.14 | 5.05 ± 0.64 | 4.53 ± 0.40 | 0.65 |
| MRT | h | 5.68 ± 1.28 | 6.63 ± 0.77 | 5.77 ± 0.91 | 0.29 |
| Ae24 h | % of dose | 45.14 ± 3.26 | 48.37 ± 5.87 | 41.89 ± 9.19 | 0.33 |
| Parameters | RGE | RGE + Metformin | p Value | |
|---|---|---|---|---|
| Cmax | ng/mL | 36.59 ± 7.94 | 35.03 ± 8.82 | 0.31 |
| AUC24 h | ng·h/mL | 512.25 ± 30.06 | 511.45 ± 75.26 | 0.98 |
| t1/2 | h | 11.88 ± 0.75 | 11.86 ± 0.79 | 0.93 |
© 2018 by the authors. Licensee MDPI, Basel, Switzerland. This article is an open access article distributed under the terms and conditions of the Creative Commons Attribution (CC BY) license (http://creativecommons.org/licenses/by/4.0/).
Share and Cite
Nam, S.J.; Han, Y.J.; Lee, W.; Kang, B.; Choi, M.-K.; Han, Y.-H.; Song, I.-S. Effect of Red Ginseng Extract on the Pharmacokinetics and Efficacy of Metformin in Streptozotocin-Induced Diabetic Rats. Pharmaceutics 2018, 10, 80. https://doi.org/10.3390/pharmaceutics10030080
Nam SJ, Han YJ, Lee W, Kang B, Choi M-K, Han Y-H, Song I-S. Effect of Red Ginseng Extract on the Pharmacokinetics and Efficacy of Metformin in Streptozotocin-Induced Diabetic Rats. Pharmaceutics. 2018; 10(3):80. https://doi.org/10.3390/pharmaceutics10030080
Chicago/Turabian StyleNam, So Jeong, You Jin Han, Wonpyo Lee, Bitna Kang, Min-Koo Choi, Yong-Hae Han, and Im-Sook Song. 2018. "Effect of Red Ginseng Extract on the Pharmacokinetics and Efficacy of Metformin in Streptozotocin-Induced Diabetic Rats" Pharmaceutics 10, no. 3: 80. https://doi.org/10.3390/pharmaceutics10030080
APA StyleNam, S. J., Han, Y. J., Lee, W., Kang, B., Choi, M.-K., Han, Y.-H., & Song, I.-S. (2018). Effect of Red Ginseng Extract on the Pharmacokinetics and Efficacy of Metformin in Streptozotocin-Induced Diabetic Rats. Pharmaceutics, 10(3), 80. https://doi.org/10.3390/pharmaceutics10030080

