Molecular Methods for the Simultaneous Detection of Tomato Fruit Blotch Virus and Identification of Tomato Russet Mite, a New Potential Virus–Vector System Threatening Solanaceous Crops Worldwide
Abstract
1. Introduction
2. Materials and Methods
2.1. Plant and Mite Samples
2.2. Total RNA Extraction
2.3. Primer and Probe Design
2.4. Real-Time RT-PCR Optimization for Virus Detection
2.5. Real-Time RT-PCR Optimization for Mite Identification
2.6. Duplex Real-Time RT-PCR Optimization for Simultaneous Virus Detection and Mite Identification
2.7. Droplet Digital RT-PCR Optimization for Virus Detection
2.8. Droplet Digital RT-PCR Optimization for Mite Identification
2.9. Validation of the Developed Tests
2.9.1. Analytical Sensitivity
2.9.2. Analytical Specificity
2.9.3. Selectivity
2.9.4. Repeatability and Reproducibility
3. Results
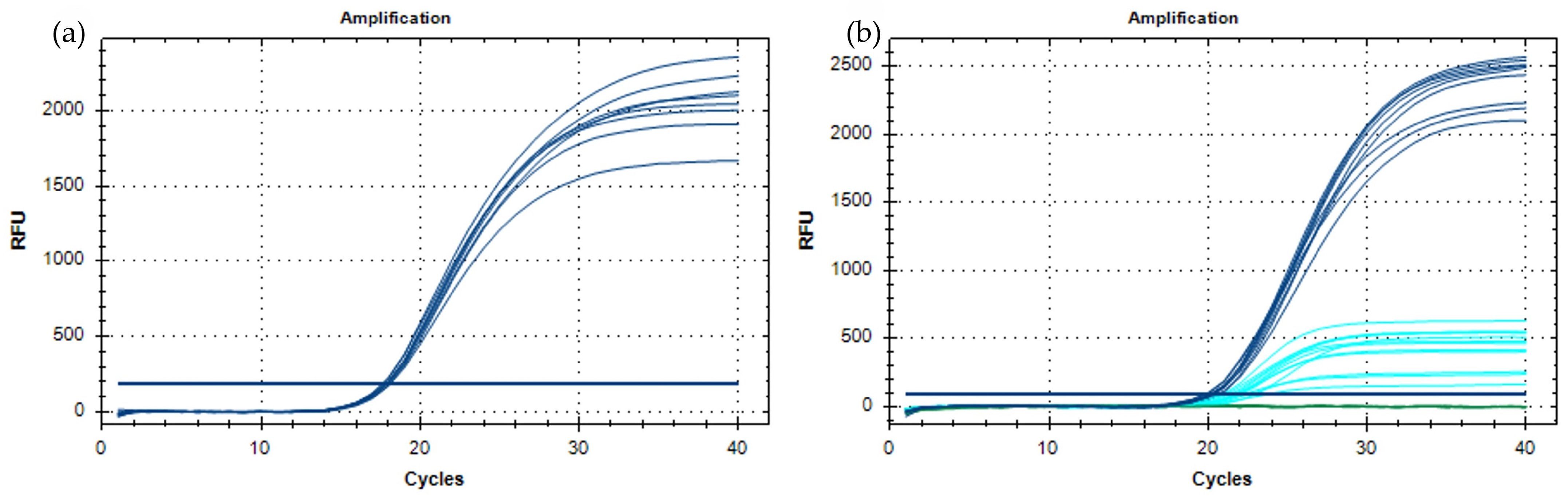
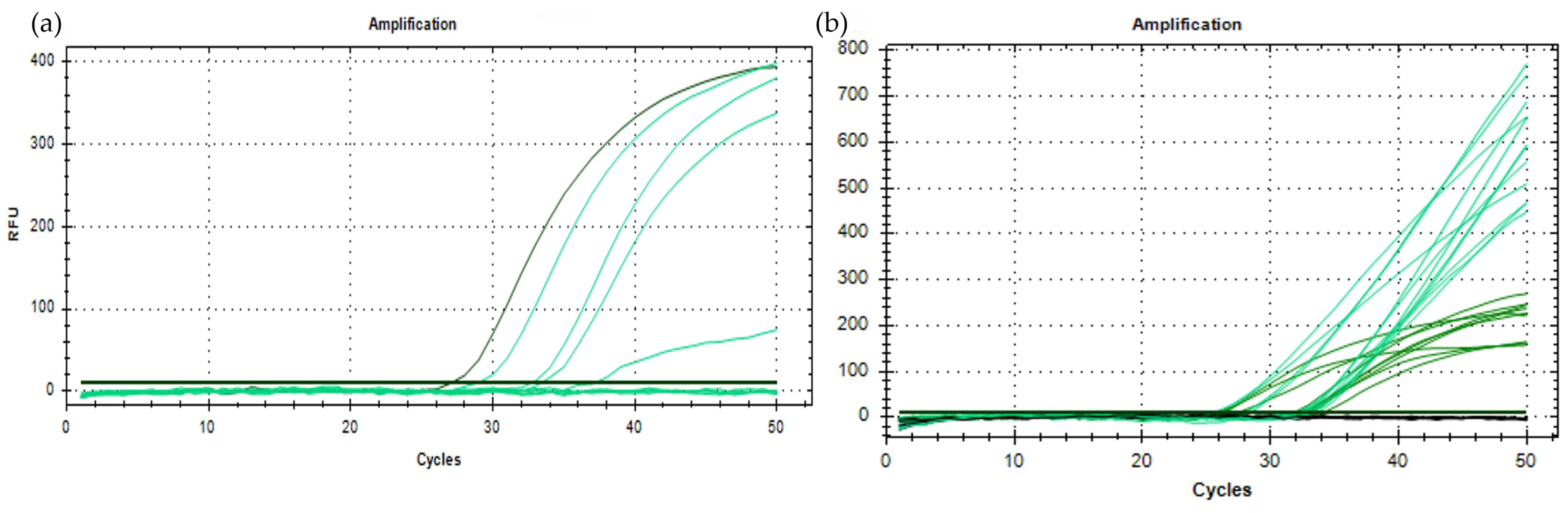
3.1. Optimization of the Real-Time and Droplet Digital RT-PCR Tests for Virus Detection
3.2. Optimization of the Real-Time and Droplet Digital RT-PCR Tests for Mite Identification
3.3. Optimization of the Duplex Real-Time RT-PCR
3.4. Validation of the Assays
3.4.1. Analytical Sensitivity
3.4.2. Analytical Specificity
3.4.3. Selectivity
3.4.4. Repeatability and Reproducibility
4. Discussion
Supplementary Materials
Author Contributions
Funding
Institutional Review Board Statement
Informed Consent Statement
Data Availability Statement
Conflicts of Interest
References
- Ciuffo, M.; Kinoti, W.M.; Tiberini, A.; Forgia, M.; Tomassoli, L.; Constable, F.E.; Turina, M. A New Blunervirus Infects Tomato Crops in Italy and Australia. Arch. Virol. 2020, 165, 2379–2384. [Google Scholar] [CrossRef] [PubMed]
- Quito-Avila, D.F.; Freitas-Astúa, J.; Melzer, M.J. Bluner-, Cile-, and Higreviruses (Kitaviridae). In Encyclopedia of Virology; Elsevier: Amsterdam, The Netherlands, 2021; pp. 247–251. [Google Scholar]
- Lefkowitz, E.J.; Dempsey, D.M.; Hendrickson, R.C.; Orton, R.J.; Siddell, S.G.; Smith, D.B. Virus Taxonomy: The Database of the International Committee on Taxonomy of Viruses (ICTV). Nucleic Acids Res. 2018, 46, D708–D717. [Google Scholar] [CrossRef] [PubMed]
- Walker, P.J.; Siddell, S.G.; Lefkowitz, E.J.; Mushegian, A.R.; Adriaenssens, E.M.; Alfenas-Zerbini, P.; Dempsey, D.M.; Dutilh, B.E.; García, M.L.; Curtis Hendrickson, R.; et al. Recent Changes to Virus Taxonomy Ratified by the International Committee on Taxonomy of Viruses (2022). Arch. Virol. 2022, 167, 2429–2440. [Google Scholar] [CrossRef] [PubMed]
- Ramos-González, P.L.; Dias Arena, G.; Tassi, A.D.; Chabi-Jesus, C.; Watanabe Kitajima, E.; Freitas-Astúa, J. Kitaviruses: A Window to Atypical Plant Viruses Causing Nonsystemic Diseases. Annu. Rev. Phytopathol. 2023, 61, 97–118. [Google Scholar] [CrossRef] [PubMed]
- Nakasu, E.Y.T.; Nagata, T.; Inoue-Nagata, A.K. First Report of Tomato Fruit Blotch Virus Infecting Tomatoes in Brazil. Plant Dis. 2022, 106, 2271. [Google Scholar] [CrossRef] [PubMed]
- Rivarez, M.P.S.; Vučurović, A.; Mehle, N.; Ravnikar, M.; Kutnjak, D. Global Advances in Tomato Virome Research: Current Status and the Impact of High-Throughput Sequencing. Front. Microbiol. 2021, 12, 671925. [Google Scholar] [CrossRef] [PubMed]
- Maachi, A.; Torre, C.; Sempere, R.N.; Hernando, Y.; Aranda, M.A.; Donaire, L. Use of High-Throughput Sequencing and Two RNA Input Methods to Identify Viruses Infecting Tomato Crops. Microorganisms 2021, 9, 1043. [Google Scholar] [CrossRef] [PubMed]
- Blouin, A.G.; Dubuis, N.; Brodard, J.; Apothéloz-Perret-Gentil, L.; Altenbach, D.; Schumpp, O. Symptomatic, Widespread, and Inconspicuous: New Detection of Tomato Fruit Blotch Virus. Phytopathol. Mediterr. 2023, 62, 371–376. [Google Scholar] [CrossRef]
- Beris, D.; Galeou, A.; Kektsidou, O.; Varveri, C. First Report of Tomato Fruit Blotch Fruit Virus Infecting Tomato in Greece. New Dis. Rep. 2023, 48, e12219. [Google Scholar] [CrossRef]
- Panno, S.; Ragona, A.; Bertacca, S.; Agrò, G.; Yahyaoui, E.; Dimauro, B.; Caruso, A.G.; Davino, S. Outbreak of Tomato Fruit Blotch Virus in the Most Relevant Tomato Greenhouse Production Area of Sicily. J. Plant Pathol. 2024. [Google Scholar] [CrossRef]
- FAOSTAT. Agricultural Production Statistics 2000–2022 Analytical Brief 79; FAOSTAT: Rome, Italy, 2022. [Google Scholar]
- Kitajima, E.W.; Nakasu, E.Y.T.; Inoue-Nagata, A.K.; Salaroli, R.B.; Ramos-González, P.L. Tomato Fruit Blotch Virus Cytopathology Strengthens Evolutionary Links between Plant Blunerviruses and Insect Negeviruses. Sci. Agric. 2023, 80, e20220045. [Google Scholar] [CrossRef]
- Burkle, C.; Olmstead, J.; Harmon, P. A Potential Vector of Blueberry Necrotic Ring Blotch Virus and Symptoms on Various Host Genotypes. In Proceedings of the APS Annual Meeting, Providence, RI, USA, 29 October–2 November 2012; p. 17. [Google Scholar]
- Ren, H.; Chen, Y.; Zhao, F.; Ding, C.; Zhang, K.; Wang, L.; Yang, Y.; Hao, X.; Wang, X. Quantitative Distribution and Transmission of Tea Plant Necrotic Ring Blotch Virus in Camellia Sinensis. Forests 2022, 13, 1306. [Google Scholar] [CrossRef]
- de Lillo, E.; Skoracka, A. What’s “Cool” on Eriophyoid Mites? Exp. Appl. Acarol. 2010, 51, 3–30. [Google Scholar] [CrossRef]
- de Lillo, E.; Freitas-Astúa, J.; Kitajima, E.W.; Ramos-González, P.L.; Simoni, S.; Tassi, A.D.; Valenzano, D. Phytophagous Mites Transmitting Plant Viruses: Update and Perspectives. Entomol. Gen. 2021, 41, 439–462. [Google Scholar] [CrossRef]
- Stephan, D.; Moeller, I.; Skoracka, A.; Ehrig, F.; Maiss, E. Eriophyid Mite Transmission and Host Range of a Brome Streak Mosaic Virus Isolate Derived from a Full-Length CDNA Clone. Arch. Virol. 2008, 153, 181–185. [Google Scholar] [CrossRef] [PubMed]
- Perring, T.; Farrar, C. Historical Perspective and Current World Status of the Tomato Russet Mite (Acari: Eriophyidae). Entomol. Am. Misc. Publ. 1986, 63, 1–19. [Google Scholar]
- Duarte, M.E.; Lewandowski, M.; de Mendonça, R.S.; Simoni, S.; Navia, D. Genetic Analysis of the Tomato Russet Mite Provides Evidence of Oligophagy and a Widespread Pestiferous Haplotype. Exp. Appl. Acarol. 2023, 89, 171–199. [Google Scholar] [CrossRef] [PubMed]
- EPPO. PM 7/98 (5) Specific Requirements for Laboratories Preparing Accreditation for a Plant Pest Diagnostic Activity. EPPO Bull. 2021, 51, 468–498. [Google Scholar] [CrossRef]
- Tamura, K.; Stecher, G.; Kumar, S. MEGA11: Molecular Evolutionary Genetics Analysis Version 11. Mol. Biol. Evol. 2021, 38, 3022–3027. [Google Scholar] [CrossRef]
- Lindquist, E.E.; Sabelis, M.W.; Bruin, J. Eriophyoid Mites: Their Biology, Natural Enemies and Control. In World Crop Pests; Elsevier: Amsterdam, The Netherlands, 1996; Volume 6, ISBN 978-0-444-88628-6. [Google Scholar]
- Amrine, J.J.; Stasny, T.; Fletchman, T. Revised Keys to World Genera of Eriophyoidea (Acari: Prostigmata); Indira Publishing House: West Bloomfield, MI, USA, 2003. [Google Scholar]
- de Lillo, E.; Craemer, C.; Amrine, J.W.; Nuzzaci, G. Recommended Procedures and Techniques for Morphological Studies of Eriophyoidea (Acari: Prostigmata). Exp. Appl. Acarol. 2010, 51, 283–307. [Google Scholar] [CrossRef]
- Crüger, G.; Hommes, M.; Smolka, S.; Vetten, H.; Backhaus, G. Pflanzenschutz Im Gartenbau; Ulmer GmbH & Co.: Stuttgart, Germany, 2002. [Google Scholar]
- Duso, C.; Castagnoli, M.; Simoni, S.; Angeli, G. The Impact of Eriophyoids on Crops: Recent Issues on Aculus Schlechtendali, Calepitrimerus Vitis and Aculops Lycopersici. Exp. Appl. Acarol. 2010, 51, 151–168. [Google Scholar] [CrossRef] [PubMed]
- Van Leeuwen, T.; Witters, J.; Nauen, R.; Duso, C.; Tirry, L. The Control of Eriophyoid Mites: State of the Art and Future Challenges. Exp. Appl. Acarol. 2010, 51, 205–224. [Google Scholar] [CrossRef] [PubMed]
- Takayama, K.; Iyoki, S.; Takahashi, N.; Nishina, H.; van Henten, E.J. Plant Diagnosis by Monitoring Plant Smell: Detection of Russet Mite Damages on Tomato Plants. IFAC Proc. Vol. 2013, 46, 68–70. [Google Scholar] [CrossRef]
- Pfaff, A.; Gabriel, D.; Böckmann, E. Mitespotting: Approaches for Aculops Lycopersici Monitoring in Tomato Cultivation. Exp. Appl. Acarol. 2020, 80, 1–15. [Google Scholar] [CrossRef]
- Bertin, S.; Picciau, L.; Ács, Z.; Alma, A.; Bosco, D. Molecular Differentiation of Four Reptalus Species (Hemiptera: Cixiidae). Bull Entomol. Res. 2010, 100, 551–558. [Google Scholar] [CrossRef] [PubMed]
- Bouneb, M.; de Lillo, E.; Roversi, P.F.; Simoni, S. Molecular Detection Assay of the Bud Mite Trisetacus Juniperinus on Cupressus Sempervirens in Nurseries of Central Italy. Exp. Appl. Acarol. 2014, 62, 161–170. [Google Scholar] [CrossRef]
- Lewandowski, M.; Skoracka, A.; Szydło, W.; Kozak, M.; Druciarek, T.; Griffiths, D.A. Genetic and Morphological Diversity of Trisetacus Species (Eriophyoidea: Phytoptidae) Associated with Coniferous Trees in Poland: Phylogeny, Barcoding, Host and Habitat Specialization. Exp. Appl. Acarol. 2014, 63, 497–520. [Google Scholar] [CrossRef] [PubMed]
- Hebert, P.D.N.; Ratnasingham, S.; de Waard, J.R. Barcoding Animal Life: Cytochrome c Oxidase Subunit 1 Divergences among Closely Related Species. Proc. R. Soc. Lond. B Biol. Sci. 2003, 270, S96–S99. [Google Scholar] [CrossRef]
- Hebert, P.D.N.; Cywinska, A.; Ball, S.L.; deWaard, J.R. Biological Identifications through DNA Barcodes. Proc. R. Soc. Lond. B Biol. Sci. 2003, 270, 313–321. [Google Scholar] [CrossRef]
- Dietrich, C.H.; Rakitov, R.A.; Holmes, J.L.; Black, W.C. Phylogeny of the Major Lineages of Membracoidea (Insecta: Hemiptera: Cicadomorpha) Based on 28S RDNA Sequences. Mol. Phylogenet. Evol. 2001, 18, 293–305. [Google Scholar] [CrossRef]
- Behura, S.K. Molecular Marker Systems in Insects: Current Trends and Future Avenues. Mol. Ecol. 2006, 15, 3087–3113. [Google Scholar] [CrossRef] [PubMed]
- Sonnenberg, R.; Nolte, A.W.; Tautz, D. An Evaluation of LSU RDNA D1-D2 Sequences for Their Use in Species Identification. Front. Zool 2007, 4, 6. [Google Scholar] [CrossRef] [PubMed]
- Mironov, S.V.; Dabert, J.; Dabert, M. A New Feather Mite Species of the Genus Proctophyllodes Robin, 1877 (Astigmata: Proctophyllodidae) from the Long-Tailed Tit Aegithalos Caudatus (Passeriformes: Aegithalidae)—Morphological Description with DNA Barcode Data. Zootaxa 2012, 3253, 54–61. [Google Scholar] [CrossRef]
- Fenton, B.; Malloch, G.; Moxey, E. Analysis of Eriophyid Mite RDNA Internal Transcribed Spacer Sequences Reveals Variable Simple Sequence Repeats. Insect Mol. Biol. 1997, 6, 23–32. [Google Scholar] [CrossRef] [PubMed]
- Druciarek, T.; Lewandowski, M.; Tzanetakis, I. A New, Sensitive and Efficient Method for Taxonomic Placement in the Eriophyoidea and Virus Detection in Individual Eriophyoids. Exp. Appl. Acarol. 2019, 78, 247–261. [Google Scholar] [CrossRef] [PubMed]
- Tiberini, A.; Manglli, A.; Taglienti, A.; Vučurović, A.; Brodarič, J.; Ferretti, L.; Luigi, M.; Gentili, A.; Mehle, N. Development and Validation of a One-Step Reverse Transcription Real-Time PCR Assay for Simultaneous Detection and Identification of Tomato Mottle Mosaic Virus and Tomato Brown Rugose Fruit Virus. Plants 2022, 11, 489. [Google Scholar] [CrossRef] [PubMed]
- Mehle, N.; Gregur, L.; Bogožalec Košir, A.; Dobnik, D. One-Step Reverse-Transcription Digital PCR for Reliable Quantification of Different Pepino Mosaic Virus Genotypes. Plants 2020, 9, 326. [Google Scholar] [CrossRef]
- Vervaet, L.; De Vis, R.; De Clercq, P.; Van Leeuwen, T. Is the Emerging Mite Pest Aculops Lycopersici Controllable? Global and Genome-based Insights in Its Biology and Management. Pest Manag. Sci. 2021, 77, 2635–2644. [Google Scholar] [CrossRef]










| Plant Samples | Test Set-Up | Performance Criteria of Validation (EPPO PM7/98(5)) | |||||||
|---|---|---|---|---|---|---|---|---|---|
| Phytosanitary Status | N° of Tested Samples | Species (Sample ID) | Matrix | Analytical Sensitivity | Analytical Specificity/Inclusivity | Analytical Specificity/ Exclusivity | Selectivity | Repeatability and Reproducibility | |
| Healthy | 1 | S. lycopersicum | L | X | X | X | |||
| ToFBV | 1 | S. lycopersicum (92) a | L | X | |||||
| ToFBV | 1 | S. lycopersicum (94) a | R, L, F | X | X | ||||
| ToFBV | 1 | S. lycopersicum (95) a | R, L, F | X | X | X | X | ||
| ToFBV | 1 | S. lycopersicum (96) a | F | X | |||||
| ToFBV | 1 | S. lycopersicum (97) a | F | X | |||||
| ToFBV | 1 | S. lycopersicum (98) a | R, L, F | X | X | ||||
| ToFBV | 1 | S. lycopersicum (99) a | R, L, F | X | X | X | X | X | |
| ToFBV | 1 | Solanum nigrum (1) b | L | X | X | ||||
| ToFBV | 1 | S. nigrum (2) b | L | X | |||||
| ToFBV | 1 | S. lycopersicum (4) b | L | X | |||||
| ToFBV | 1 | S. lycopersicum (5) b | L | X | |||||
| ToFBV | 1 | S. lycopersicum (104) b | L | X | |||||
| ToFBV | 1 | S. lycopersicum (1B) c | L | X | |||||
| ToFBV | 1 | S. lycopersicum (1C) c | L | X | |||||
| Healthy | 4 | S. lycopersicum | L | X | |||||
| Healthy | 5 | S. nigrum | L | X | |||||
| Healthy | 3 | Convolvolus arvensis | L | X | |||||
| CEVd | 1 | S. lycopersicum d | L | X | |||||
| CLVd | 1 | S. lycopersicum d | L | X | |||||
| CMV | 1 | S. lycopersicum d | L | X | |||||
| INSV | 1 | S. lycopersicum d | L | X | |||||
| PCFVd | 1 | S. lycopersicum d | L | X | |||||
| PePMV | 1 | S. lycopersicum d | L | X | |||||
| PmoV | 2 | S. lycopersicum d | L | X | |||||
| PSTVd | 1 | S. lycopersicum d | L | X | |||||
| PVY | 2 | S. lycopersicum d | L | X | |||||
| TASVd | 1 | S. lycopersicum d | L | X | |||||
| TCDVd | 1 | S. lycopersicum d | L | X | |||||
| TICV | 2 | S. lycopersicum d | L | X | |||||
| TMV | 1 | S. lycopersicum d | L | X | |||||
| ToBRFV | 1 | S. lycopersicum d | L | X | |||||
| ToCV | 2 | S. lycopersicum d | L | X | |||||
| ToLCNDV | 1 | Cucurbita pepo d | L | X | |||||
| ToMMV | 1 | S. lycopersicum d | L | X | |||||
| ToMV | 1 | S. lycopersicum d | L | X | |||||
| TPMVd | 1 | S. lycopersicum d | L | X | |||||
| Arthropod Samples | Test Set-Up | Performance Criteria of Validation (EPPO PM7/98(5)) | |||||
|---|---|---|---|---|---|---|---|
| Species | N° of Tested Samples | N. of Specimens/Sample | Analytical Sensitivity | Analytical Specificity (Inclusivity) | Analytical Specificity (Exclusivity) | Repeatability and Reproducibility | |
| TRM a | 2 | 10 | X | ||||
| TRM a | 2 | 5 | X | ||||
| TRM a | 2 | 1 | X | ||||
| TRM a | 5 | 10 | X | ||||
| TRM a | 5 | 5 | X | ||||
| TRM a | 5 | 3 | X | X | |||
| TRM a | 10 | 1 | X | ||||
| TRM b from ToBFV-positive S. lycopersicum sample 1B | 5 | 3 | X | ||||
| TRM b from ToBFV-positive S. lycopersicum sample 1C | 1 | 3 | X | ||||
| TRM b from S. nigrum | 6 | 3 | X | ||||
| TRM b from S. nigrum | 1 | 3 | X | ||||
| Aceria tosichella c | 5 | 5 | X | ||||
| Phyllocoptes adalius c | 5 | 5 | X | ||||
| B. tabaci a | 1 | X | |||||
| TRM a | 11 | 3 | X | X | |||
| TRM a | 1 | 24 | X | ||||
| Name | Sequence (5′–3′) | Position (Sequence ID) | Reference |
|---|---|---|---|
| ToFBV-Probe | FAM-TCCGAAATCCCGCCATCTTGTCAT-BH1 | 1879–1902 (NC_078394.1) | This study |
| ToFBV-F | CTCGTGATGTTGCCCATTTG | 1847–1866 (NC_078394.1) | |
| ToFBV-R | GGAATTGCAGAGTAGGGAGAAT | 1928–1949 (NC_078394.1) | |
| AcL-Probe | HEX- TGCTGGCTATGCGGCTGGTGGACT -BH1 | 195–218 (MT652212.1) | This study |
| AcL-F | CTTAGGATTTCGGTCCTATGGTG | 171–193 (MT652212.1) | |
| AcL-R | TGCGCATTTTGTGTCAAGTC | 258–277 (MT652212.1) |
| Real-Time RT-PCR | ddRT-PCR | Duplex Real-Time RT-PCR | |||||||
|---|---|---|---|---|---|---|---|---|---|
| D | 99 | 95 | 1 | 99 | 95 | 1 | 99 | 95 | 1 |
| 100 | 8.70 ± 0.52 | 10.92 ± 0.02 | 15.68 ± 0.43 | NT | NT | NT | 10.52 ± 0.20 | 9.85 ± 0.01 | 17.02 ± 0.05 |
| 10−1 | 13.06 ± 0.02 | 13.52 ± 0.44 | 19.28 ± 0.02 | NT | NT | NT | 14.48 ± 1.02 | 15.01 ± 0.00 | 19.92 ± 0.13 |
| 10−2 | 16.33 ± 0.16 | 17.38 ± 0.02 | 22.15 ± 0.05 | NT | NT | NT | 17.28 ± 0.21 | 18.20 ± 0.35 | 22.35 ± 0.29 |
| 10−3 | 21.36 ± 0.08 | 20.43 ± 0.17 | 24.79 ± 0.1 | NT | NT | NT | 21.27 ± 0.03 | 21.59 ± 0.23 | 26.06 ± 0.06 |
| 10−4 | 24.4 ± 0.18 | 23.25 ± 0.01 | 28.42 ± 0.04 | 4480 ± 269 | 1700 ± 99 | 3655 ± 148 | 25.84 ± 0.67 | 23.87 ± 0.01 | 29.9 ± 0.17 |
| 10−5 | 28.98 ± 0.01 | 26.51 ± 0.18 | 32.21 ± 0.66 | 505 ± 53 | 136 ± 26 | 168 ± 33 | 28.97 ± 0.47 | 27.46 ± 0.47 | 33.45 ± 0.84 |
| 10−6 | 31.40 ± 0.19 | 28.77 ± 0.02 | 36.07 ± 1.18 | 75 ± 21 | 30 ± 13 | 19.5 ± 11 | 31.92 ± 0.29 | 30.00 ± 0.35 | 36.21 ± 0.05 |
| 10−7 | 33.69 ± 0.45 | 33.07 ± 0.01 | Und | 13 ± 8 | 4.3 ± 4 | 0 | 34.81 ± 0.06 | 33.28 ± 0.06 | Und |
| 10−8 | 36.80 ± 0.4 | Und | Und | 0 | 0 | 0 | Und | Und | Und |
| 10−9 | Und | Und | Und | 0 | 0 | 0 | Und | Und | Und |
| n° Specimen/ Sample | n° Sample | Real-Time RT-PCR | ddRT-PCR | Duplex Real-Time RT-PCR | ||||
|---|---|---|---|---|---|---|---|---|
| Min | Max | Min | Max | Min | Max | |||
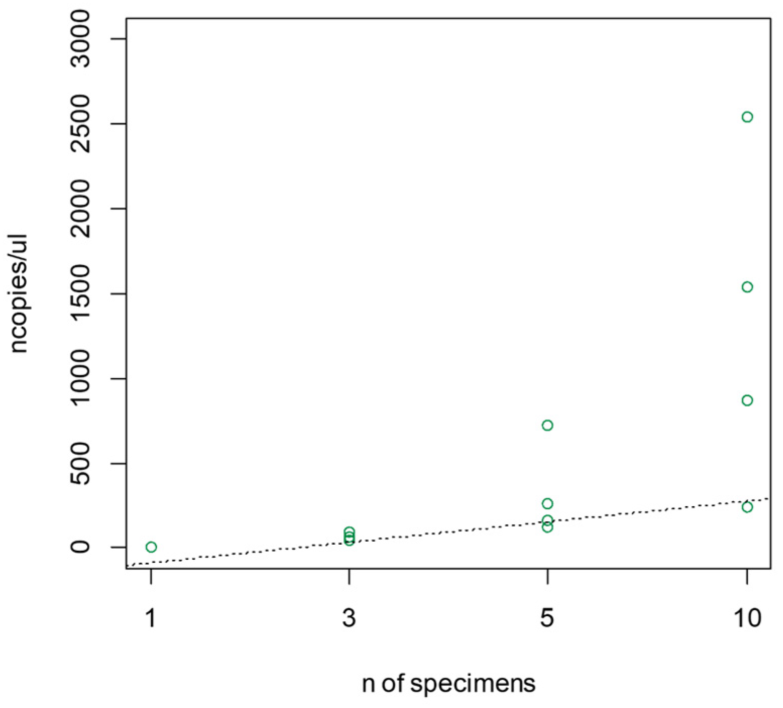
| TRM | 10 | 5 | 24.96 | 29.12 | 240 | 2530 | 24.40 | 27.87 |
| TRM | 5 | 5 | 26.63 | 30.45 | 116 | 723 | 25.46 | 29.42 |
| TRM | 3 | 5 | 28.31 | 34.05 | 8.9 | 275 | 29.03 | 35.25 |
| TRM | 1 | 10 | 34.38 | Und | 0 | 1.9 | 34.37 | Und |
Disclaimer/Publisher’s Note: The statements, opinions and data contained in all publications are solely those of the individual author(s) and contributor(s) and not of MDPI and/or the editor(s). MDPI and/or the editor(s) disclaim responsibility for any injury to people or property resulting from any ideas, methods, instructions or products referred to in the content. |
© 2024 by the authors. Licensee MDPI, Basel, Switzerland. This article is an open access article distributed under the terms and conditions of the Creative Commons Attribution (CC BY) license (https://creativecommons.org/licenses/by/4.0/).
Share and Cite
Luigi, M.; Tiberini, A.; Taglienti, A.; Bertin, S.; Dragone, I.; Sybilska, A.; Tarchi, F.; Goggioli, D.; Lewandowski, M.; Simoni, S.; et al. Molecular Methods for the Simultaneous Detection of Tomato Fruit Blotch Virus and Identification of Tomato Russet Mite, a New Potential Virus–Vector System Threatening Solanaceous Crops Worldwide. Viruses 2024, 16, 806. https://doi.org/10.3390/v16050806
Luigi M, Tiberini A, Taglienti A, Bertin S, Dragone I, Sybilska A, Tarchi F, Goggioli D, Lewandowski M, Simoni S, et al. Molecular Methods for the Simultaneous Detection of Tomato Fruit Blotch Virus and Identification of Tomato Russet Mite, a New Potential Virus–Vector System Threatening Solanaceous Crops Worldwide. Viruses. 2024; 16(5):806. https://doi.org/10.3390/v16050806
Chicago/Turabian StyleLuigi, Marta, Antonio Tiberini, Anna Taglienti, Sabrina Bertin, Immacolata Dragone, Anna Sybilska, Franca Tarchi, Donatella Goggioli, Mariusz Lewandowski, Sauro Simoni, and et al. 2024. "Molecular Methods for the Simultaneous Detection of Tomato Fruit Blotch Virus and Identification of Tomato Russet Mite, a New Potential Virus–Vector System Threatening Solanaceous Crops Worldwide" Viruses 16, no. 5: 806. https://doi.org/10.3390/v16050806
APA StyleLuigi, M., Tiberini, A., Taglienti, A., Bertin, S., Dragone, I., Sybilska, A., Tarchi, F., Goggioli, D., Lewandowski, M., Simoni, S., & Faggioli, F. (2024). Molecular Methods for the Simultaneous Detection of Tomato Fruit Blotch Virus and Identification of Tomato Russet Mite, a New Potential Virus–Vector System Threatening Solanaceous Crops Worldwide. Viruses, 16(5), 806. https://doi.org/10.3390/v16050806

