Cardiac Biomarkers in a Brazilian Indigenous Population Exposed to Arboviruses: A Cross-Sectional Study
Abstract
1. Introduction
2. Materials and Methods
2.1. Study Design and Population
2.2. Anthropometric Parameters and Clinical Data
2.3. Study Variables
2.4. Serum Collection for Biomarker Analysis and Arbovirus Serology
2.5. Statistical Analysis
2.6. Ethical Approval
3. Results
3.1. Seroprevalence of Arboviruses
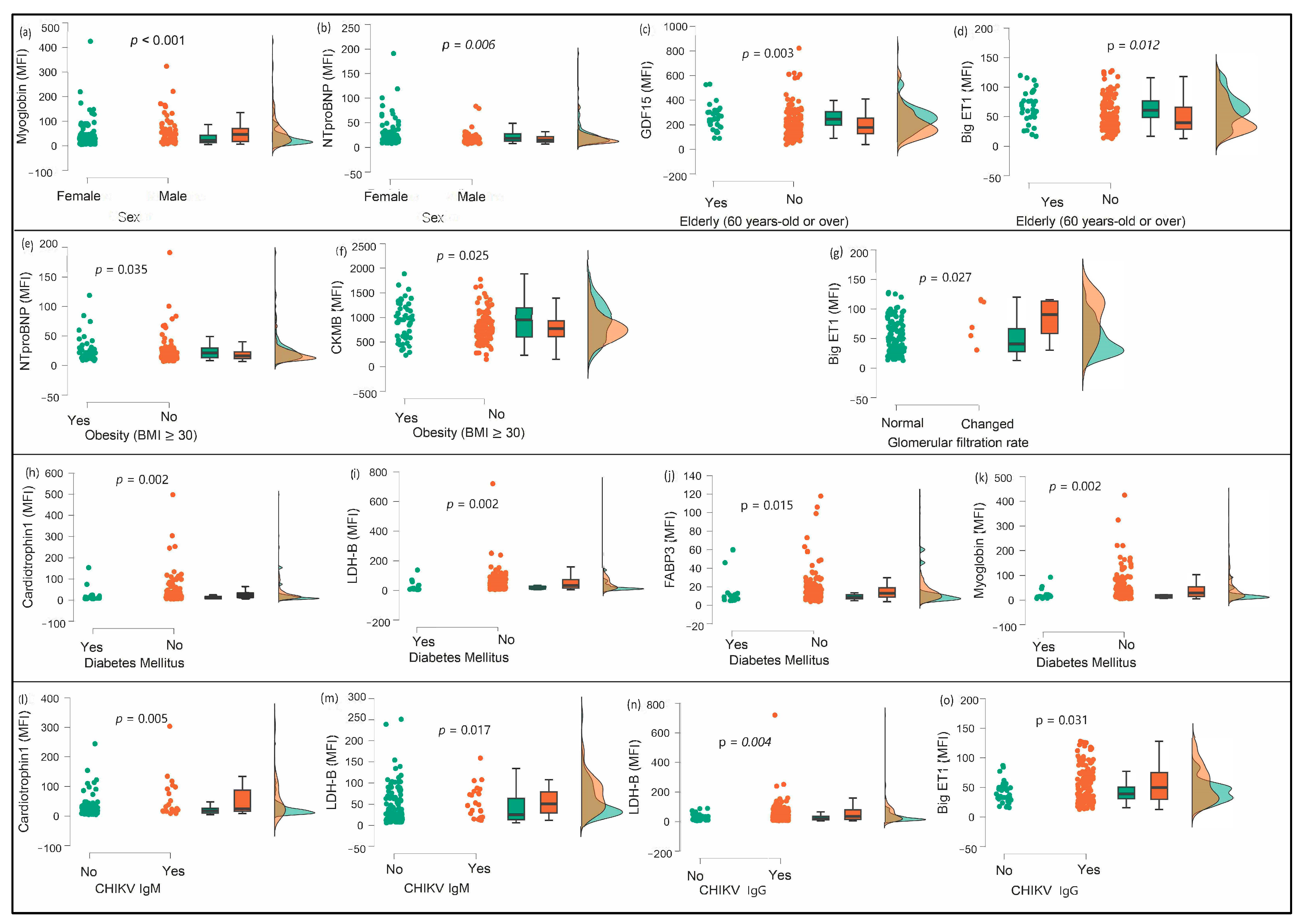
3.2. Cardiac Biomarkers
4. Discussion
4.1. Cardiac Biomarkers, Demographic Variables, and Comorbidities
4.2. Cardiac Biomarkers, Arboviruses, and Comorbidities
5. Conclusions
Supplementary Materials
Author Contributions
Funding
Institutional Review Board Statement
Informed Consent Statement
Data Availability Statement
Acknowledgments
Conflicts of Interest
References
- World Health Organization (WHO). Global Arbovirus Initiative [Internet]. Geneva: WHO. Available online: https://www.who.int/initiatives/global-arbovirus-initiative (accessed on 27 November 2024).
- Girard, M.; Nelson, C.B.; Picot, V.; Gubler, D.J. Arboviruses: A global public health threat. Vaccine 2020, 38, 3989–3994. [Google Scholar] [CrossRef] [PubMed] [PubMed Central]
- Chaintoutis, S.C.; Papa, A.; Pervanidou, D.; Dovas, C.I. Evolutionary dynamics of lineage 2 West Nile virus in Europe, 2004-2018: Phylogeny, selection pressure and phylogeography. Mol. Phylogenet. Evol. 2019, 141, 106617. [Google Scholar] [CrossRef] [PubMed]
- Clé, M.; Eldin, P.; Briant, L.; Lannuzel, A.; Simonin, Y.; Van de Perre, P.; Cabié, A.; Salinas, S. Neurocognitive impacts of arbovirus infections. J. Neuroinflamm. 2020, 17, 233. [Google Scholar] [CrossRef] [PubMed] [PubMed Central]
- Suchowiecki, K.; Reid, S.P.; Simon, G.L.; Firestein, G.S.; Chang, A. Persistent Joint Pain Following Arthropod Virus Infections. Curr. Rheumatol. Rep. 2021, 23, 26. [Google Scholar] [CrossRef] [PubMed] [PubMed Central]
- Suhrbier, A. Rheumatic manifestations of chikungunya: Emerging concepts and interventions. Nat. Rev. Rheumatol. 2019, 15, 597–611. [Google Scholar] [CrossRef] [PubMed]
- Lemos, J.F.; Araújo, L.M.C.; Guimarães-do-Carmo, V.J.; Cardoso, E.J.A.; da Silva Ferreira, A.I.; Barbosa, K.F.D.S.; Raposo, M.C.F.; Melo, R.S. Sedentary behavior, increasing age, and overweight/obesity increase the presence and intensity of the chronic joint pain in individuals affected by Chikungunya fever. Clin. Rheumatol. 2024, 43, 2993–3003. [Google Scholar] [CrossRef] [PubMed]
- Moizéis, R.N.C.; Fernandes, T.A.A.M.; Guedes, P.M.D.M.; Pereira, H.W.B.; Lanza, D.C.F.; Azevedo, J.W.V.; Galvão, J.M.A.; Fernandes, J.V. Chikungunya fever: A threat to global public health. Pathog. Glob. Health 2018, 112, 182–194. [Google Scholar] [CrossRef] [PubMed] [PubMed Central]
- Kaagaard, M.D.; Wegener, A.; Gomes, L.C.; Holm, A.E.; Lima, K.O.; Matos, L.O.; Vieira, I.V.M.; de Souza, R.M.; Vestergaard, L.S.; Marinho, C.R.F.; et al. Potential role of transthoracic echocardiography for screening LV systolic dysfunction in patients with a history of dengue infection. A cross-sectional and cohort study and review of the literature. PLoS ONE 2022, 17, e0276725. [Google Scholar] [CrossRef] [PubMed]
- Nicacio, J.M.; Gomes, O.V.; Carmo, R.F.D.; Nunes, S.L.P.; Rocha, J.R.C.F.; Souza, C.D.F.; Franca, R.F.O.; Khouri, R.; Barral-Netto, M.; Armstrong, A.D.C. Heart Disease and Arboviruses: A Systematic Review and Meta-Analysis. Viruses 2022, 14, 1988. [Google Scholar] [CrossRef] [PubMed] [PubMed Central]
- Higuera, A.; Ramírez, J.D. Molecular epidemiology of dengue, yellow fever, Zika and Chikungunya arboviruses: An update. Acta Trop. 2019, 190, 99–111. [Google Scholar] [CrossRef] [PubMed]
- Brasil-Ministério da Saúde. Informe Semanal nº 12—Centro de Operações de Emergências—SE 35 | 02 de Setembro de 2024. Available online: https://www.gov.br/saude/pt-br/assuntos/saude-de-a-a-z/a/arboviroses/informe-semanal/informe-semanal-sna-no-12.pdf/view (accessed on 7 September 2024).
- CDC Centers for Disease Control and Prevention, National Center for Emerging and Zoonotic Infectious Diseases (NCEZID), Division of Vector-Borne Diseases (DVBD). 2024. Available online: https://www.cdc.gov/dengue/statistics-maps/data-and-maps.html (accessed on 7 September 2024).
- Cerqueira-Silva, T.; Pescarini, J.M.; Cardim, L.L.; Leyrat, C.; Whitaker, H.; Antunes de Brito, C.A.; Brickley, E.B.; Barral-Netto, M.; Barreto, M.L.; Teixeira, M.G.; et al. Risk of death following chikungunya virus disease in the 100 Million Brazilian Cohort, 2015–2018: A matched cohort study and self-controlled case series. Lancet Infect Dis. 2024, 24, 504–513. [Google Scholar] [CrossRef] [PubMed]
- World Health Organization. Zika—OPAS/OMS Organização Pan-Americana da Saúde Washington, DC: PAHO/WHO. 2024. Available online: https://www.who.int/news-room/fact-sheets/detail/dengue-and-severe-dengue (accessed on 14 April 2024).
- Brito, M.T.F.M. Soroprevalência Para Arboviroses Humanas de Interesse em Saúde Pública Como Marcador de Impacto Ambiental em Comunidades Ribeirinhas que Vivem Sob a Influência da Usina Hidrelétrica de Tucuruí-Pará [dissertation]. Belém: Universidade Federal do Pará. 2011. Available online: https://bdtd.ibict.br/vufind/Record/UFPA_db45322fb577d2d43b6ed41ef0138d23 (accessed on 7 September 2024).
- Instituto Brasileiro de Geografia e Estatística (IBGE). Os Indígenas no Censo 2022 [Internet]. 2022. Available online: https://educa.ibge.gov.br/criancas/brasil/nosso-povo/22324-os-indigenas-no-censo-2022.html (accessed on 7 September 2024).
- Hayes, L. An Aboriginal woman’s historical and philosophical enquiry to identify the outcomes of prenatal alcohol exposure and early life trauma in Indigenous children who live in Aboriginal communities in Queensland. UQ eSpace 2019. [Google Scholar] [CrossRef]
- Mendes, A.M.; Leite, M.S.; Langdon, E.J.; Grisotti, M. O desafio da atenção primária na saúde indígena no Brasil. Rev. Panam. Salud Publica 2018, 42, e184. [Google Scholar] [CrossRef] [PubMed]
- Crocetti, A.C.; Cubillo Larrakia, B.; Lock Ngiyampaa, M.; Walker Yorta Yorta, T.; Hill Torres Strait Islander, K.; Mitchell Mununjali, F.; Paradies Wakaya, Y.; Backholer, K.; Browne, J. The commercial determinants of Indigenous health and well-being: A systematic scoping review. BMJ Glob. Health 2022, 7, e010366. [Google Scholar] [CrossRef] [PubMed] [PubMed Central]
- de Souza, W.M.; Weaver, S.C. Effects of climate change and human activities on vector-borne diseases. Nat. Rev. Microbiol. 2024, 22, 476–491. [Google Scholar] [CrossRef] [PubMed]
- De Oliveira Vitorino, A.C.; Dos Santos, F.P. Perfil da população mais vulnerável às arboviroses. Rev. Ibero-Am. Humanid. Ciênc Educ. 2023, 9, 1446–1463. [Google Scholar]
- World Health Organization. Cardiovascular diseases (CVDs) [Internet]. Available online: https://www.who.int/news-room/fact-sheets/detail/cardiovascular-diseases-(cvds) (accessed on 20 August 2024).
- Malta, D.C.; Andrade, S.S.C.d.A.; Oliveira, T.P.; de Moura, L.; Prado, R.R.D.; Souza, M.d.F.M.d. Probabilidade de morte prematura por doenças crônicas não transmissíveis, Brasil e regiões, projeções para 2025. Rev. bras. Epidemiol. 2019, 22, e190030. [Google Scholar] [CrossRef]
- Nicacio, J.M.; Khouri, R.; da Silva, A.M.L.; Barral-Netto, M.; Lima, J.A.C.; Ladeia, A.M.T.; do Carmo, R.F.; Armstrong, A.D.C. Anti-chikungunya virus seroprevalence in Indigenous groups in the São Francisco Valley, Brazil. PLoS Negl. Trop. Dis. 2021, 15, e0009468. [Google Scholar] [CrossRef] [PubMed] [PubMed Central]
- Begum, F.; Das, S.; Mukherjee, D.; Mal, S.; Ray, U. Insight into the Tropism of Dengue Virus in Humans. Viruses 2019, 11, 1136. [Google Scholar] [CrossRef] [PubMed] [PubMed Central]
- Goodman, A.G.; Rasmussen, A.L. Editorial: Host-Pathogen Interactions During Arboviral Infections. Front. Cell Infect. Microbiol. 2019, 9, 77. [Google Scholar] [CrossRef] [PubMed] [PubMed Central]
- Al-Qahtani, A.A.; Alhamlan, F.S.; Al-Qahtani, A.A. Pro-Inflammatory and Anti-Inflammatory Interleukins in Infectious Diseases: A Comprehensive Review. Trop. Med. Infect. Dis. 2024, 9, 13. [Google Scholar] [CrossRef] [PubMed] [PubMed Central]
- Zhang, J.; Zhang, J.; Huang, C.; Wu, T.; Jin, P. Integrated biomarker profiling for enhanced heart failure management: A comprehensive study on the application of chemiluminescence detection of GDF-15 and multi-index models. Lab. Med. 2024, 55, 754–762. [Google Scholar] [CrossRef] [PubMed]
- Oliveira, G.M.M.; Brant, L.C.C.; Polanczyk, C.A.; Biolo, A.; Nascimento, B.R.; Malta, D.C.; Souza, M.F.M.; Soares, G.P.; Xavier Junior, G.F.; Machline-Carrion, M.J.; et al. Estatística Cardiovascular-Brasil 2020. Arq. Bras. Cardiol 2020, 115, 308. Available online: https://www.scielo.br/j/abc (accessed on 7 September 2024). [CrossRef] [PubMed]
- Doron, D.; Muñoz, M. Marcadores cardíacos y riesgo cardiovascular. Rev. Med. Clin. Condes 2015, 26, 303–310. [Google Scholar] [CrossRef][Green Version]
- Calabro, P.; Limongelli, G. Cytokine release syndrome: Current perspectives. Immunotargets Ther. 2020, 9, 55–64. [Google Scholar]
- Lannou, S.; Mansencal, N.; Couchoud, C.; Lassalle, M.; Dubourg, O.; Stengel, B.; Jacquelinet, C.; Charron, P. The Public Health Burden of Cardiomyopathies: Insights from a Nationwide Inpatient Study. J. Clin. Med. 2020, 9, 920. [Google Scholar] [CrossRef] [PubMed] [PubMed Central]
- Lin, L.; Gao, R.; Chen, L.; Wu, Z.; Wei, X.; Xie, Y. Relationship between serum lactate dehydrogenase and mortality after cardiac arrest: A retrospective cohort study. Medicine 2022, 101, e31499. [Google Scholar] [CrossRef] [PubMed] [PubMed Central]
- Dai, C.; Li, Q.; May, H.I.; Li, C.; Zhang, G.; Sharma, G.; Sherry, A.D.; Malloy, C.R.; Khemtong, C.; Zhang, Y.; et al. Lactate Dehydrogenase A Governs Cardiac Hypertrophic Growth in Response to Hemodynamic Stress. Cell Rep. 2020, 32, 108087. [Google Scholar] [CrossRef] [PubMed] [PubMed Central]
- Wu, Y.; Lu, C.; Pan, N.; Zhang, M.; An, Y.; Xu, M.; Zhang, L.; Guo, Y.; Tan, L. Serum lactate dehydrogenase activities as systems biomarkers for 48 types of human diseases. Sci. Rep. 2021, 11, 12997. [Google Scholar] [CrossRef] [PubMed] [PubMed Central]
- Catalucci, D.; Latronico MV, G.; Condorelli, G. FABP3 as Biomarker of Heart Pathology. In General Methods in Biomarker Research and Their Applications; Springer: Berlin/Heidelberg, Germany, 2015; pp. 439–454. [Google Scholar] [CrossRef]
- Adepu, K.K.; Anishkin, A.; Adams, S.H.; Chintapalli, S.V. A versatile delivery vehicle for cellular oxygen and fuels or metabolic sensor? A review and perspective on the functions of myoglobin. Physiol. Rev. 2024, 104, 1611–1642. [Google Scholar] [CrossRef] [PubMed]
- Cao, Z.; Jia, Y.; Zhu, B. BNP and NT-proBNP as Diagnostic Biomarkers for Cardiac Dysfunction in Both Clinical and Forensic Medicine. Int. J. Mol. Sci. 2019, 20, 1820. [Google Scholar] [CrossRef] [PubMed] [PubMed Central]
- Tsutsui, H.; Albert, N.M.; Coats, A.J.; Anker, S.D.; Bayes-Genis, A.; Butler, J.; Chioncel, O.; Defilippi, C.R.; Drazner, M.H.; Felker, G.M.; et al. Natriuretic peptides: Role in the diagnosis and management of heart failure: A scientific statement from the Heart Failure Association of the European Society of Cardiology, Heart Failure Society of America, and Japanese Heart Failure Society. J. Card. Fail. 2023, 29, 787–804. [Google Scholar] [CrossRef] [PubMed]
- Ragusa, R.; Masotti, S.; Musetti, V.; Rocchiccioli, S.; Prontera, C.; Perrone, M.; Passino, C.; Clerico, A.; Caselli, C. Cardiac troponins: Mechanisms of release and role in healthy and diseased subjects. Biofactors 2023, 49, 351–364. [Google Scholar] [CrossRef] [PubMed]
- Chowdhury, M.A.; Moukarbel, G.V.; Gupta, R.; Frank, S.M.; Anderson, A.M.; Liu, L.C.; Khouri, S.J. Endothelin 1 Is Associated with Heart Failure Hospitalization and Long-Term Mortality in Patients with Heart Failure with Preserved Ejection Fraction and Pulmonary Hypertension. Cardiology 2019, 143, 124–133. [Google Scholar] [CrossRef] [PubMed]
- Armstrong, A.D.C.; de Souza, C.D.F.; Santos, J.M.D.; Carmo, R.F.D.; Armstrong, D.M.F.O.; Pereira, V.C.; Ladeia, A.M.; Correia, L.C.L.; Barral-Netto, M.; Lima, J.A.C. Urbanization and cardiovascular health among Indigenous groups in Brazil. Commun. Med. 2023, 3, 17. [Google Scholar] [CrossRef] [PubMed] [PubMed Central]
- Instituto Brasileiro de Geografia e Estatística. Censo Demográfico 2022: Indígenas, Primeiros Resultados do Universo: Segunda Apuração.-Rio de Janeiro: IBGE, c2023. Available online: https://biblioteca.ibge.gov.br/visualizacao/periodicos/3103/cd_2022_indigenas.pdf (accessed on 8 September 2024).
- World Health Organization (WHO). World Health Organization: Body Mass Index-BMI. 2021. Available online: https://www.euro.who.int/en/health-topics/disease-prevention/%0Anutrition/a-healthy-lifestyle/body-mass-index-bmi%0A (accessed on 7 September 2024).
- Malachias, M.; Plavnik, F.L.; Machado, C.A.; Malta, D.; Scala, L.C.N.; Fuchs, S. 7th Brazilian Guideline of Arterial Hypertension: Chapter 1—Concept, Epidemiology and Primary Prevention. Arq. Bras. Cardiol. 2016, 107 (Suppl. S3), 1–6. [Google Scholar] [CrossRef] [PubMed]
- Gomes, O.V.; Guimarães, M.P.; Nicacio, J.M.; Morena, L.; Silva, A.M.L.D.; Morais Junior, J.C.; Souza, C.D.F.; Barral Netto, M.; Lima, J.A.C.; Armstrong, A.D.C. Urbanization and kidney dysfunction in Brazilian indigenous people: A burden for the youth. Rev. Assoc. Med. Bras. (1992) 2023, 69, 240–245. [Google Scholar] [CrossRef] [PubMed] [PubMed Central]
- Inker, L.A.; Eneanya, N.D.; Coresh, J.; Tighiouart, H.; Wang, D.; Sang, Y.; Crews, D.C.; Doria, A.; Estrella, M.M.; Froissart, M.; et al. Chronic Kidney Disease Epidemiology Collaboration. New Creatinine- and Cystatin C-Based Equations to Estimate GFR without Race. N. Engl. J. Med. 2021, 385, 1737–1749. [Google Scholar] [CrossRef] [PubMed] [PubMed Central]
- Thermo Fisher Scientific. Luminex Instruments and Multiplex Assays [Internet]. Thermo Fisher Scientific. 2023. Available online: https://www.thermofisher.com (accessed on 8 September 2024).
- Creative Proteomics. Luminex xMAP Technology Assay [Internet]. Creative Proteomics. 2023. Available online: https://cytokine.creative-proteomics.com (accessed on 8 September 2024).
- Litzba, N.; Schuffenecker, I.; Zeller, H.; Drosten, C.; Emmerich, P.; Charrel, R.; Kreher, P.; Niedrig, M. Evaluation of the first commercial chikungunya virus indirect immunofluorescence test. J. Virol. Methods 2008, 149, 175–179. [Google Scholar] [CrossRef] [PubMed]
- LIRAa Aponta 357 Municı’Pios em Situac¸ão de Risco Para Dengue, Zika e Chikungunya [Internet]. Brasília: Ministério da Saúde; 2017 Nov 28. Lira. Available online: https://www.saude.gov.br/noticias/agencia-saude/42041-liraa-aponta-357-municipios-em-situacao-de-risco-para-denguezika-e-chikungunya (accessed on 30 August 2024).
- APAC-Agência Pernambucana deA’ guas e Clima [Internet]. Recife-PE: Governo do Estado de Pernambuco. [Entre 2016 e 2017]. Monitoramento Pluviométrico. Available online: http://www.ipa.br/indice_pluv.php#calendario_indices (accessed on 30 August 2024).
- Anjos, R.O.; Mugabe, V.A.; Moreira, P.S.S.; Carvalho, C.X.; Portilho, M.M.; Khouri, R.; Sacramento, G.A.; Nery, N.R.R., Jr.; Reis, M.G.; Kitron, U.D.; et al. Transmission of Chikungunya Virus in an Urban Slum, Brazil. Emerg. Infect. Dis. 2020, 26, 1364–1373. [Google Scholar] [CrossRef] [PubMed] [PubMed Central]
- Slavov, S.N.; Guaragna Machado, R.R.; Ferreira, A.R.; Soares, C.P.; Araujo, D.B.; Leal Oliveira, D.B.; Covas, D.T.; Durigon, E.L.; Kashima, S. Zika virus seroprevalence in blood donors from the Northeastern region of São Paulo State, Brazil, between 2015 and 2017. J. Infect. 2020, 80, 111–115. [Google Scholar] [CrossRef] [PubMed]
- Fritzell, C.; Rousset, D.; Adde, A.; Kazanji, M.; Van Kerkhove, M.D.; Flamand, C. Current challenges and implications for dengue, chikungunya and Zika seroprevalence studies worldwide: A scoping review. PLoS Negl. Trop. Dis. 2018, 12, e0006533. [Google Scholar] [CrossRef] [PubMed] [PubMed Central]
- Sergon, K.; Yahaya, A.A.; Brown, J.; Bedja, S.A.; Mlindasse, M.; Agata, N.; Allaranger, Y.; Ball, M.D.; Powers, A.M.; Ofula, V.; et al. Seroprevalence of Chikungunya virus infection on Grande Comore Island, union of the Comoros, 2005. Am. J. Trop. Med. Hyg. 2007, 76, 1189–1193. [Google Scholar] [CrossRef] [PubMed]
- Chiaravalloti-Neto, F.; da Silva, R.A.; Zini, N.; da Silva, G.C.D.; da Silva, N.S.; Parra, M.C.P.; Dibo, M.R.; Estofolete, C.F.; Fávaro, E.A.; Dutra, K.R.; et al. Seroprevalence for dengue virus in a hyperendemic area and associated socioeconomic and demographic factors using a cross-sectional design and a geostatistical approach, state of São Paulo, Brazil. BMC Infect. Dis. 2019, 19, 441. [Google Scholar] [CrossRef] [PubMed] [PubMed Central]
- Khor, C.S.; Mohd-Rahim, N.F.; Hassan, H.; Tan, K.K.; Zainal, N.; Teoh, B.T.; Sam, S.S.; Khoo, J.J.; Lee, H.Y.; Lim, Y.A.; et al. Serological evidence of DENV, JEV, and ZIKV among the indigenous people (Orang Asli) of Peninsular Malaysia. J. Med. Virol. 2020, 92, 956–962. [Google Scholar] [CrossRef] [PubMed]
- Sistema de Informação de Agravos de Notificação (SINAN). Notification Rates of Suspected Arbovirus Cases—Pernambuco. [Internet]. 2024. Available online: https://info.dengue.mat.br/report/PE/201449 (accessed on 12 September 2024).
- Dannecker, E.A.; Liu, Y.; Rector, R.S.; Thomas, T.R.; Fillingim, R.B.; Robinson, M.E. Sex differences in exercise-induced muscle pain and muscle damage. J. Pain 2012, 13, 1242–1249. [Google Scholar] [CrossRef] [PubMed] [PubMed Central]
- Seven, E.; Husemoen, L.L.; Ibsen, H.; Friedrich, N.; Nauck, M.; Wachtell, K.; Linneberg, A.; Jeppesen, J.L. Higher serum concentrations of N-terminal pro-B-type natriuretic peptide associate with prevalent hypertension whereas lower associate with incident hypertension. PLoS ONE 2015, 10, e0117864. [Google Scholar] [CrossRef] [PubMed] [PubMed Central]
- Sanchez, O.A.; Jacobs, D.R., Jr.; Bahrami, H.; Peralta, C.A.; Daniels, L.B.; Lima, J.A.; Maisel, A.; Duprez, D.A. Increasing aminoterminal-pro-B-type natriuretic peptide precedes the development of arterial hypertension: The multiethnic study of atherosclerosis. J. Hypertens. 2015, 33, 966–974. [Google Scholar] [CrossRef] [PubMed] [PubMed Central][Green Version]
- Jones, T.H.; Kelly, D.M. Randomized controlled trials—Mechanistic studies of testosterone and the cardiovascular system. Asian J. Androl. 2018, 20, 120–130. [Google Scholar] [CrossRef] [PubMed] [PubMed Central]
- Karadağ, C.; Yoldemir, T. Relation of NT-probnp levels and cardiovascular disease risk factors in lean women with polycystic ovary syndrome. J. Obstet. Gynaecol. 2019, 39, 1154–1159. [Google Scholar] [CrossRef] [PubMed]
- Cignarella, A.; Bolego, C.; Barton, M. Sex and sex steroids as determinants of cardiovascular risk. Steroids 2024, 206, 109423. [Google Scholar] [CrossRef] [PubMed]
- Liu, H.; Huang, Y.; Lyu, Y.; Dai, W.; Tong, Y.; Li, Y. GDF15 as a biomarker of ageing. Exp. Gerontol. 2021, 146, 111228. [Google Scholar] [CrossRef] [PubMed]
- Siddiqui, J.A.; Pothuraju, R.; Khan, P.; Sharma, G.; Muniyan, S.; Seshacharyulu, P.; Jain, M.; Nasser, M.W.; Batra, S.K. Pathophysiological role of growth differentiation factor 15 (GDF15) in obesity, cancer, and cachexia. Cytokine Growth Factor Rev. 2022, 64, 71–83. [Google Scholar] [CrossRef] [PubMed] [PubMed Central]
- Moon, J.S.; Goeminne, L.J.E.; Kim, J.T.; Tian, J.W.; Kim, S.H.; Nga, H.T.; Kang, S.G.; Kang, B.E.; Byun, J.S.; Lee, Y.S.; et al. Growth differentiation factor 15 protects against the aging-mediated systemic inflammatory response in humans and mice. Aging Cell. 2020, 19, e13195. [Google Scholar] [CrossRef] [PubMed] [PubMed Central]
- Kato, E.T.; Morrow, D.A.; Guo, J.; Berg, D.D.; Blazing, M.A.; Bohula, E.A.; Bonaca, M.P.; Cannon, C.P.; de Lemos, J.A.; Giugliano, R.P.; et al. Growth Differentiation Factor 15 and Cardiovascular Risk: Individual Patient Meta-Analysis. Eur. Heart J. 2023, 44, 293–300. [Google Scholar] [CrossRef]
- Chen, Z.; Shi, A.; Wang, Z.; Chen, Y.; Lin, Y.; Su, M.; Dong, H.; Laptseva, N.; Hu, Y.; Flammer, A.J.; et al. Prognostic value of plasma big endothelin-1 in patients with light chain cardiac amyloidosis. Heart 2024, 110, 1124–1132. [Google Scholar] [CrossRef] [PubMed]
- Lin, Y.J.; Juan, C.C.; Kwok, C.F.; Hsu, Y.P.; Shih, K.C.; Chen, C.C.; Ho, L.T. Endothelin-1 exacerbates development of hypertension and atherosclerosis in modest insulin resistant syndrome. Biochem. Biophys. Res. Commun. 2015, 460, 497–503. [Google Scholar] [CrossRef] [PubMed]
- Zager, R.A.; Johnson, A.C.; Andress, D.; Becker, K. Progressive endothelin-1 gene activation initiates chronic/end-stage renal disease following experimental ischemic/reperfusion injury. Kidney Int. 2013, 84, 703–712. [Google Scholar] [CrossRef] [PubMed] [PubMed Central]
- Baldassarre, S.; Fragapani, S.; Panero, A.; Fedele, D.; Pinach, S.; Lucchiari, M.; Vitale, A.R.; Mengozzi, G.; Gruden, G.; Bruno, G. NTproBNP in insulin-resistance mediated conditions: Overweight/obesity, metabolic syndrome and diabetes. The population-based Casale Monferrato Study. Cardiovasc. Diabetol. 2017, 16, 119. [Google Scholar] [CrossRef] [PubMed] [PubMed Central]
- Kozhuharov, N.; Martin, J.; Wussler, D.; Lopez-Ayala, P.; Belkin, M.; Strebel, I.; Flores, D.; Diebold, M.; Shrestha, S.; Nowak, A.; et al. Clinical effect of obesity on N-terminal pro-B-type natriuretic peptide cut-off concentrations for the diagnosis of acute heart failure. Eur. J. Heart Fail. 2022, 24, 1545–1554. [Google Scholar] [CrossRef] [PubMed] [PubMed Central]
- Salvadori, A.; Fanari, P.; Ruga, S.; Brunani, A.; Longhini, E. Creatine kinase and creatine kinase-MB isoenzyme during and after exercise testing in normal and obese young people. Chest 1992, 102, 1687–1689. [Google Scholar] [CrossRef] [PubMed]
- Badawi, A.; Ryoo, S.G.; Vasileva, D.; Yaghoubi, S. Prevalence of chronic comorbidities in chikungunya: A systematic review and meta-analysis. Int. J. Infect. Dis. 2018, 67, 107–113. [Google Scholar] [CrossRef] [PubMed] [PubMed Central]
- Silva, G.B., Jr.; Pinto, J.R.; Salani Mota, R.M.; Pires Neto, R.J.; Daher, E.D.F. Risk factors for death among patients with Chikungunya virus infection during the outbreak in northeast Brazil, 2016–2017. Trans. R. Soc. Trop. Med. Hyg. 2019, 113, 221–226. [Google Scholar] [CrossRef] [PubMed]
- Tran, L.; Radwan, I.; Minh, L.H.N.; Low, S.K.; Hashan, M.R.; Gomaa, M.D.; Abdelmongy, M.; Abdelaziz, A.I.; Mohamed, A.; Tawfik, G.M.; et al. Role of cytokines produced by T helper immune-modulators in dengue pathogenesis: A systematic review and meta-analysis. Acta Trop. 2021, 216, 105823. [Google Scholar] [CrossRef] [PubMed]
- Levy, A.; Valero, N.; Espina, L.M.; Añez, G.; Arias, J.; Mosquera, J. Increment of interleukin 6, tumour necrosis factor alpha, nitric oxide, C-reactive protein and apoptosis in dengue. Trans. R. Soc. Trop. Med. Hyg. 2010, 104, 16–23. [Google Scholar] [CrossRef] [PubMed]
- Imad, H.A.; Phumratanaprapin, W.; Phonrat, B.; Chotivanich, K.; Charunwatthana, P.; Muangnoicharoen, S.; Khusmith, S.; Tantawichien, T.; Phadungsombat, J.; Nakayama, E.; et al. Cytokine Expression in Dengue Fever and Dengue Hemorrhagic Fever Patients with Bleeding and Severe Hepatitis. Am. J. Trop. Med. Hyg. 2020, 102, 943–950. [Google Scholar] [CrossRef] [PubMed] [PubMed Central]
- Peinado, R.D.S.; Martins, L.G.; Pacca, C.C.; Saivish, M.V.; Borsatto, K.C.; Nogueira, M.L.; Tasic, L.; Arni, R.K.; Eberle, R.J.; Coronado, M.A. HR-MAS NMR Metabolomics Profile of Vero Cells under the Influence of Virus Infection and nsP2 Inhibitor: A Chikungunya Case Study. Int. J. Mol. Sci. 2024, 25, 1414. [Google Scholar] [CrossRef] [PubMed] [PubMed Central]
- Rollé, A.; Schepers, K.; Cassadou, S.; Curlier, E.; Madeux, B.; Hermann-Storck, C.; Fabre, I.; Lamaury, I.; Tressières, B.; Thiery, G.; et al. Severe Sepsis and Septic Shock Associated with Chikungunya Virus Infection, Guadeloupe, 2014. Emerg. Infect. Dis. 2016, 22, 891–894. [Google Scholar] [CrossRef] [PubMed] [PubMed Central]
- Acosta-Reyes, J.; Rico, A.; Bayona-Pacheco, B.; Navarro-Lechuga, E.; Muñoz, F.L.; Campo, A.; Beracaza, K.; Viasus, D.; Mercado, M. High levels of cardiovascular biomarkers in fatal Chikungunya virus infection. Acta Trop. 2023, 237, 106705. [Google Scholar] [CrossRef] [PubMed]
- Araujo, A.Q.; Silva, M.T.; Araujo, A.P. Zika virus-associated neurological disorders: A review. Brain 2016, 139 Pt 8, 2122–2130. [Google Scholar] [CrossRef] [PubMed]
- Freeman, B.D.; Machado, F.S.; Tanowitz, H.B.; Desruisseaux, M.S. Endothelin-1 and its role in the pathogenesis of infectious diseases. Life Sci. 2014, 118, 110–119. [Google Scholar] [CrossRef] [PubMed] [PubMed Central]
- Jha, R.K.; Jain, P.; Khandolkar, A.; Dhok, A. Study of LDH Isoenzymes in Myocardial Infraction at Vidharbha Region (Central India). Indian J. Forensic Med. Toxicol. 2021, 15, 4466–4471. [Google Scholar] [CrossRef]
- Ferreira, A.S.; Baldoni, N.R.; Cardoso, C.S.; Oliveira, C.D.L. Biomarkers of severity and chronification in chikungunya fever: A systematic review and meta-analysis. Rev. Inst. Med. Trop. São Paulo 2021, 63, e16. [Google Scholar] [CrossRef] [PubMed]
- Cotella, J.I.; Sauce, A.L.; Saldarriaga, C.I.; Perez, G.E.; Farina, J.M.; Wyss, F.; Sosa Liprandi, A.; Mendoza, I.; Múnera, A.G.; Alexander, B.; et al. Chikungunya and the Heart. Cardiology 2021, 146, 324–334. [Google Scholar] [CrossRef] [PubMed]


| Variable | All N = 174 | Female N = 114 | Male N = 60 | p-Value |
|---|---|---|---|---|
| Age, years (median; IQR) | 47 (39–56) | 47 (39–57) | 47 (38–55) | 0.804 1 |
| 30 to 39 years | 28.2% (49/174) | 26.3% (30/114) | 31.7% (19/60) | 0.475 2 |
| 40 to 49 years | 27.6% (48/174) | 28.9% (33/114) | 25.0% (15/60) | |
| 50 to 59 years | 27.6% (48/174) | 23.7% (27/114) | 30.0% (18/60) | |
| ≥60 years (elderly) | 18.4% (32/174) | 21.0% (24/114) | 13.3% (8/60) | |
| BMI ≥ 30 kg/m2 (obesity) | 29.3% (51/174) | 31.6% (36/114) | 25.0% (15/60) | 0.365 2 |
| Arterial hypertension | 17.8% (31/174) | 22.8% (26/114) | 8.3% (5/60) | 0.018 2 |
| Diabetes mellitus | 10.3% (18/174) | 12.3% (14/114) | 6.7% (4/60) | 0.248 2 |
| Chronic kidney disease (eGFR stage ≥ G3) | 3.4% (6/174) | 4.4% (5/114) | 1.7% (1/60) | 0.317 2 |
| DENV IgM+ | 4.6% (8/174) | 3.5% (4/114) | 6.7% (4/60) | 0.333 2 |
| DENV IgG+ | 92.5% (161/174) | 90.3% (103/114) | 96.7% (58/60) | 0.230 2 |
| CHIKV IgM+ | 12.6% (22/174) | 12/114 (10.5%) | 16.7% (10/60) | 0.260 2 |
| CHIKV IgG+ | 78.2% (136/174) | 78.0% (89/114) | 78.3% (47/60) | 0.775 2 |
| ZIKV IgM+ | 16.1% (28/174) | 18.42% (21/114) | 11.7% (7/60) | 0.212 2 |
| ZIKV IgG+ | 95.4% (166/174) | 96.5% (110/114) | 93.3% (56/60) | 0.988 2 |
| Sociodemographic Variables | Comorbidities | Arboviruses | ||||||||||
|---|---|---|---|---|---|---|---|---|---|---|---|---|
| Biomarker | Sex Male (n = 114) Female (n = 60) | Age (≥60 Years) Yes (n = 32) No (n = 142) | Obesity (BMI ≥ 30 kg/m2) Yes (n = 51) No (n = 123) | Arterial Hypertension Yes (n = 31) No (n = 143) | Diabetes Mellitus Yes (n = 18) No (n = 154) | Chronic Kidney Disease Yes (n = 6) No (n = 128) | DENV IgM+ Yes (n = 8) No (n = 166) | DENV IgG+ Yes (n = 161) No (n = 158) | CHIKV IgM+ Yes (n = 22) No (n = 152) | CHIKV IgG+ Yes (n = 163) No (n = 11) | ZIKV IgM+ Yes (n = 28) No (n = 146) | ZIKV IgG+ Yes (n = 166) No (n = 8) |
| Cardiotrophin-1 (MFI) | 0.587 | 0.220 | 0.619 | 0.208 | 0.007 * | 0.415 | 0.865 | 0.193 | 0.005 * | 0.055 | 0.134 | 0.592 |
| GDF-15 (MFI) | 0.890 | 0.003 * | 0.268 | 0.631 | 0.882 | 0.107 | 0.651 | 0.140 | 0.383 | 0.136 | 0.250 | 0.350 |
| LDH-B (MFI) | 0.437 | 0.781 | 0.968 | 0.457 | 0.002 * | 0.868 | 0.861 | 0.910 | 0.017 * | 0.004 * | 0.910 | 0.872 |
| FABP-3 (MFI) | 0.134 | 0.277 | 0.468 | 0.296 | 0.015 * | 0.448 | 0.124 | 0.471 | 0.433 | 0.460 | 0.578 | 0.588 |
| Myoglobin (MFI) | 0.001 * | 0.769 | 0.780 | 0.562 | 0.002 * | 0.884 | 0.197 | 0.053 | 0.996 | 0.188 | 0.800 | 0.471 |
| NT-proBNP (MFI) | 0.006 * | 0.306 | 0.035 * | 0.621 | 0.051 | 0.889 | 0.361 | 0.376 | 0.496 | 0.848 | 0.326 | 0.821 |
| Troponin I (MFI) | 0.555 | 0.844 | 0.682 | 0.276 | - 1 | - 1 | 0.547 | 0.648 | 0.826 | 0.357 | 0.058 | 0.893 |
| Big ET-1 (MFI) | 0.310 | 0.012 * | 0.272 | 0.080 | 0.072 | 0.027 * | 0.331 | 0.078 | 0.586 | 0.031 * | 0.478 | 0.986 |
| CKMB (MFI) | 0.525 | 0.719 | 0.025 * | 0.829 | 0.348 | 0.671 | 0.671 | 0.493 | 0.451 | 0.106 | 0.426 | 0.104 |
| (a) Chikungunya (IgM) | |||||
| Estimate | Standard error | z | p | VIF | |
| (Intercept) | −0.833 | 1.443 | −0.577 | 0.564 | - |
| Cardiotrophin 1 (MFI) | 0.016 | 0.006 | 2.67 | 0.008 * | 1.196 |
| GDF-15 (MFI) | −0.005 | 0.004 | −1.205 | 0.228 | 2.337 |
| LDH-B (MFI) | 0.009 | 0.006 | 1.362 | 0.173 | 1.353 |
| FABP-3 (MFI) | −0.055 | 0.042 | −1.298 | 0.194 | 1.677 |
| Myoglobin (MFI) | −21.39 | 0.008 | −0.022 | 0.982 | 1.541 |
| NT-proBNP (MFI) | −0.007 | 0.015 | −0.458 | 0.647 | 1.068 |
| Troponin I (MFI) | −0.091 | 0.199 | −0.456 | 0.648 | 1.170 |
| Big ET-1 (MFI) | 0.009 | 0.015 | 0.601 | 0.548 | 2.886 |
| CKMB (MFI) | 1.870 × 10−4 | 8.937 × 10−4 | 0.209 | 0.834 | 1.252 |
| (b) Chikungunya (IgG) | |||||
| Estimate | Standard error | z | p | VIF | |
| (Intercept) | −0.868 | 1.075 | −0.808 | 0.419 | - |
| Cardiotrophin 1 (MFI) | −0.005 | 0.005 | −1.005 | 0.315 | 1.219 |
| GDF-15 (MFI) | 5.645 × 10−4 | 0.003 | 0.194 | 0.847 | 2.342 |
| LDH-B (MFI) | 0.022 | 0.009 | 2.569 | 0.01 * | 1.254 |
| FABP-3 (MFI) | −0.022 | 0.015 | −1.457 | 0.145 | 1.671 |
| Myoglobin (MFI) | 0.002 | 0.005 | 0.365 | 0.715 | 1.690 |
| NT-proBNP (MFI) | −60.34 | 0.008 | −0.068 | 0.946 | 1.099 |
| Troponin I (MFI) | 0.018 | 0.146 | 0.122 | 0.903 | 1.230 |
| Big ET-1 (MFI) | 0.015 | 0.015 | 1.008 | 0.313 | 3.038 |
| CKMB (MFI) | 0.001 | 7.374 × 10−4 | 1.468 | 0.142 | 1.134 |
Disclaimer/Publisher’s Note: The statements, opinions and data contained in all publications are solely those of the individual author(s) and contributor(s) and not of MDPI and/or the editor(s). MDPI and/or the editor(s) disclaim responsibility for any injury to people or property resulting from any ideas, methods, instructions or products referred to in the content. |
© 2024 by the authors. Licensee MDPI, Basel, Switzerland. This article is an open access article distributed under the terms and conditions of the Creative Commons Attribution (CC BY) license (https://creativecommons.org/licenses/by/4.0/).
Share and Cite
Nicacio, J.M.; Souza, C.D.F.d.; Gomes, O.V.; Souza, B.V.; Lima, J.A.C.; Carmo, R.F.d.; Nunes, S.L.P.; Pereira, V.C.; Barros, N.d.S.; Melo, A.L.S.d.; et al. Cardiac Biomarkers in a Brazilian Indigenous Population Exposed to Arboviruses: A Cross-Sectional Study. Viruses 2024, 16, 1902. https://doi.org/10.3390/v16121902
Nicacio JM, Souza CDFd, Gomes OV, Souza BV, Lima JAC, Carmo RFd, Nunes SLP, Pereira VC, Barros NdS, Melo ALSd, et al. Cardiac Biomarkers in a Brazilian Indigenous Population Exposed to Arboviruses: A Cross-Sectional Study. Viruses. 2024; 16(12):1902. https://doi.org/10.3390/v16121902
Chicago/Turabian StyleNicacio, Jandir Mendonça, Carlos Dornels Freire de Souza, Orlando Vieira Gomes, Beatriz Vasconcelos Souza, João Augusto Costa Lima, Rodrigo Feliciano do Carmo, Sávio Luiz Pereira Nunes, Vanessa Cardoso Pereira, Naiara de Souza Barros, Ana Luiza Santos de Melo, and et al. 2024. "Cardiac Biomarkers in a Brazilian Indigenous Population Exposed to Arboviruses: A Cross-Sectional Study" Viruses 16, no. 12: 1902. https://doi.org/10.3390/v16121902
APA StyleNicacio, J. M., Souza, C. D. F. d., Gomes, O. V., Souza, B. V., Lima, J. A. C., Carmo, R. F. d., Nunes, S. L. P., Pereira, V. C., Barros, N. d. S., Melo, A. L. S. d., Lourencini, L. G. F., Magalhães, J. J. F. d., Cabral, D. G. d. A., Khouri, R., Barral-Netto, M., & Armstrong, A. d. C. (2024). Cardiac Biomarkers in a Brazilian Indigenous Population Exposed to Arboviruses: A Cross-Sectional Study. Viruses, 16(12), 1902. https://doi.org/10.3390/v16121902

