Risk of Seven-Day Worsening and Death: A New Clinically Derived COVID-19 Score
Abstract
:1. Introduction
2. Materials and Methods
2.1. Study Endpoints and Design
2.2. Participants, Variables and Outcome
- Escalating need of oxygen delivery: switch from no need to a need of oxygen; switch from a simple nasal cannula or Venturi face mask to a high-flow nasal cannula or helmet noninvasive ventilation; switch from noninvasive ventilation to invasive ventilation;
 - Transfer to a ward with a higher level of assistance: from the regular ward to semi-intensive or intensive care units; from the semi-intensive to the intensive care unit;
 - Occurrence of a severe complication (diagnosed and treated during hospitalization according to local guidelines): acute pulmonary embolism; sepsis; need for vasopressors support; acute coronary syndrome; ischaemic or hemorrhagic stroke; acute kidney injury requiring renal replacement therapy.
 
2.3. Statistical Analysis
3. Results
3.1. Overall Cohort
3.2. Re-Evaluation at the Seventh Day: Stable/Improved vs. Worsened/Dead
3.3. Final Outcome: Survivors vs. Deceased Patients
3.4. Multivariable Analysis and Factors Independently Associated with Death
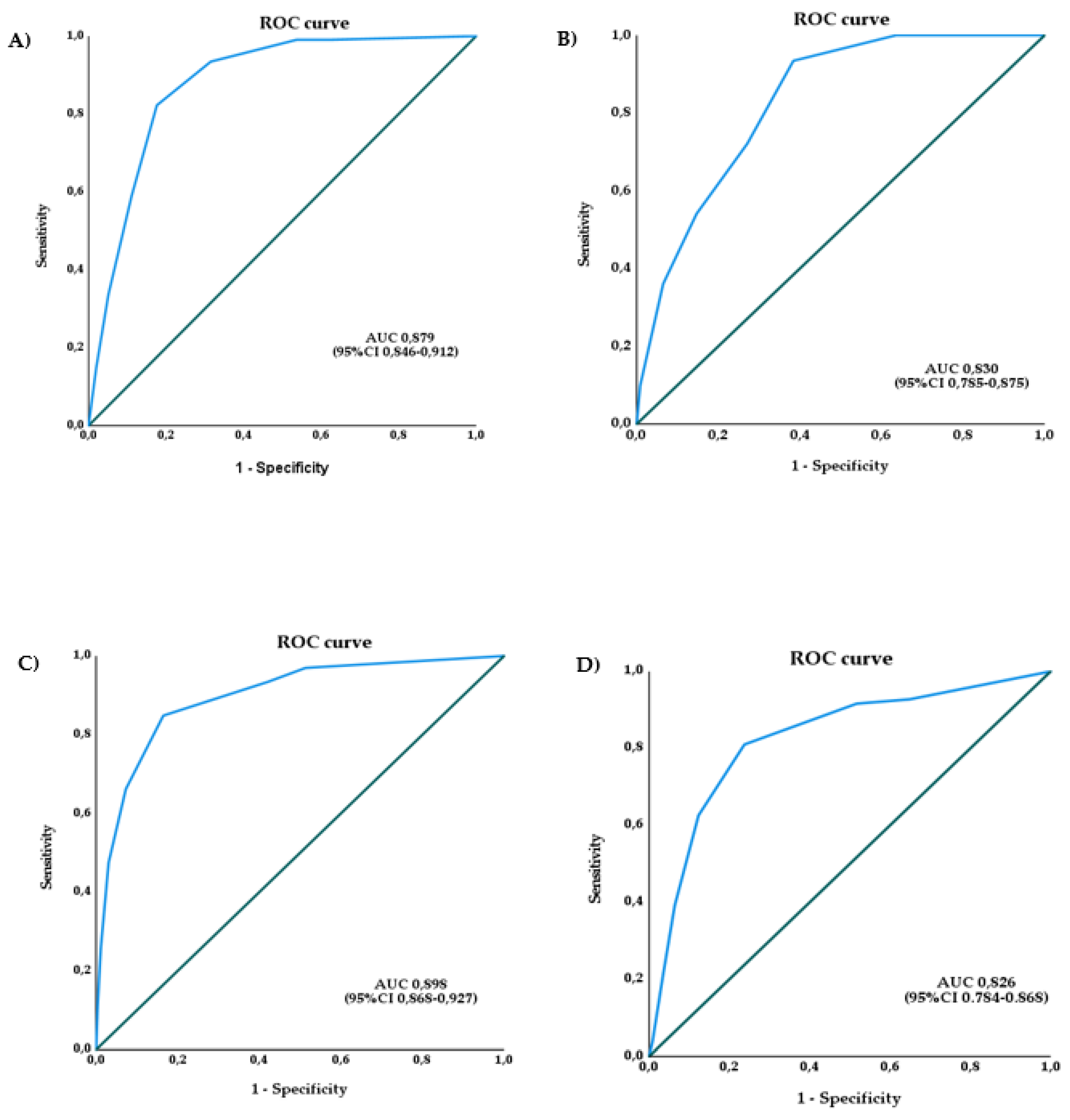
3.5. Score Development
3.6. Score Validation
4. Discussion
5. Conclusions
Author Contributions
Funding
Institutional Review Board Statement
Informed Consent Statement
Data Availability Statement
Conflicts of Interest
References
- World Health Organization. Coronavirus Disease (COVID-19), Weekly Epidemiological Update and Weekly Operational Update; World Health Organization: Geneva, Switzerland, 2021. [Google Scholar]
 - Salzberger, B.; Buder, F.; Lampl, B.; Ehrenstein, B.; Hitzenbichler, F.; Holzmann, T.; Schmidt, B.; Hanses, F. Epidemiology of SARS-CoV-2. Infection 2021, 49, 233–239. [Google Scholar] [CrossRef] [PubMed]
 - Zhang, J.J.Y.; Lee, K.S.; Ang, L.W.; Leo, Y.S.; Young, B.E. Risk Factors for Severe Disease and Efficacy of Treatment in Patients Infected With COVID-19: A Systematic Review, Meta-Analysis, and Meta-Regression Analysis. Clin. Infect. Dis. 2020, 71, 2199–2206. [Google Scholar] [CrossRef]
 - Abate, S.M.; Ahmed Ali, S.; Mantfardo, B.; Basu, B. Rate of Intensive Care Unit Admission and Outcomes among Patients with Coronavirus: A Systematic Review and Meta-Analysis. PLoS ONE 2020, 15, e0235653. [Google Scholar] [CrossRef]
 - World Health Organization. WHO Coronavirus (COVID-19) Dashboard, Global Overview; World Health Organization: Geneva, Switzerland, 2021. [Google Scholar]
 - World Health Organization. Regional Office for Africa. Africa COVID-19 Dashboard; World Health Organization: Geneva, Switzerland, 2022. [Google Scholar]
 - Raman, R.; Patel, K.J.; Ranjan, K. COVID-19: Unmasking Emerging SARS-CoV-2 Variants, Vaccines and Therapeutic Strategies. Biomolecules 2021, 11, 993. [Google Scholar] [CrossRef]
 - Thakur, V.; Bhola, S.; Thakur, P.; Patel, S.K.S.; Kulshrestha, S.; Ratho, R.K.; Kumar, P. Waves and Variants of SARS-CoV-2: Understanding the Causes and Effect of the COVID-19 Catastrophe. Infection 2021, 16, 1–16. [Google Scholar] [CrossRef] [PubMed]
 - Phillips, N. The Coronavirus Is Here to Stay—Here’s What That Means. Nature 2021, 590, 382–384. [Google Scholar] [CrossRef] [PubMed]
 - Wynants, L. Update to Living Systematic Review on Prediction Models for Diagnosis and Prognosis of Covid-19. BMJ 2021, 372, n236. [Google Scholar] [CrossRef]
 - Focà, E.; Ripamonti, D.; Rizzi, M.; Bonfanti, P.; Bruno, R.; Casari, S.; Castelli, F.; Monforte, A.D.; Franzetti, F.; Galli, M.; et al. Vademecum per La Cura Delle Persone Con Infezione Da SARS-CoV-2. 2020. Italian Society of Infectious and Tropical Disease—SIMIT Website. Available online: https://https://www.simit.org/images/Vademecum%203.0%20del%2003.11.2020.pdf (accessed on 13 February 2022).
 - Mehta, H.B.; Mehta, V.; Girman, C.J.; Adhikari, D.; Johnson, M.L. Regression Coefficient–Based Scoring System Should Be Used to Assign Weights to the Risk Index. J. Clin. Epidemiol. 2016, 79, 22–28. [Google Scholar] [CrossRef] [PubMed] [Green Version]
 - Ji, D.; Zhang, D.; Xu, J.; Chen, Z.; Yang, T.; Zhao, P.; Chen, G.; Cheng, G.; Wang, Y.; Bi, J.; et al. Prediction for Progression Risk in Patients With COVID-19 Pneumonia: The CALL Score. Clin. Infect. Dis. 2020, 71, 1393–1399. [Google Scholar] [CrossRef] [PubMed] [Green Version]
 - Grifoni, E.; Valoriani, A.; Cei, F.; Vannucchi, V.; Moroni, F.; Pelagatti, L.; Tarquini, R.; Landini, G.; Masotti, L. The CALL Score for Predicting Outcomes in Patients With COVID-19. Clin. Infect. Dis. 2020, 72, 182–183. [Google Scholar] [CrossRef] [PubMed]
 - Gerotziafas, G.T.; Sergentanis, T.N.; Voiriot, G.; Lassel, L.; Papageorgiou, C.; Elabbadi, A.; Turpin, M.; Vandreden, P.; Papageorgiou, L.; Psaltopoulou, T.; et al. Derivation and Validation of a Predictive Score for Disease Worsening in Patients with COVID-19. Thromb. Haemost. 2020, 120, 1680–1690. [Google Scholar] [CrossRef]
 - Bartoletti, M.; Giannella, M.; Scudeller, L.; Tedeschi, S.; Rinaldi, M.; Bussini, L.; Fornaro, G.; Pascale, R.; Pancaldi, L.; Pasquini, Z.; et al. Development and Validation of a Prediction Model for Severe Respiratory Failure in Hospitalized Patients with SARS-CoV-2 Infection: A Multicentre Cohort Study (PREDI-CO Study). Clin. Microbiol. Infect. 2020, 26, 1545–1553. [Google Scholar] [CrossRef]
 - Fumagalli, C.; Rozzini, R.; Vannini, M.; Coccia, F.; Cesaroni, G.; Mazzeo, F.; Cola, M.; Bartoloni, A.; Fontanari, P.; Lavorini, F.; et al. Clinical Risk Score to Predict In-Hospital Mortality in COVID-19 Patients: A Retrospective Cohort Study. BMJ Open 2020, 10, e040729. [Google Scholar] [CrossRef]
 - Duca, A.; Piva, S.; Focà, E.; Latronico, N.; Rizzi, M. Calculated Decisions: Brescia-COVID Respiratory Severity Scale (BCRSS)/Algorithm. Emerg. Med. Pract. 2020, 22, CD1–CD2. [Google Scholar]
 - Rodriguez-Nava, G.; Yanez-Bello, M.A.; Trelles-Garcia, D.P.; Chung, C.W.; Friedman, H.J.; Hines, D.W. Performance of the Quick COVID-19 Severity Index and the Brescia-COVID Respiratory Severity Scale in Hospitalized Patients with COVID-19 in a Community Hospital Setting. Int. J. Infect. Dis. 2021, 102, 571–576. [Google Scholar] [CrossRef] [PubMed]
 - Ak, R.; Kurt, E.; Bahadirli, S. Comparison of 2 Risk Prediction Models Specific for COVID-19: The Brescia-COVID Respiratory Severity Scale Versus the Quick COVID-19 Severity Index. Disaster med. Public Health Prep. 2021, 15, e46–e50. [Google Scholar] [CrossRef] [PubMed]
 - Altschul, D.J.; Unda, S.R.; Benton, J.; de la Garza Ramos, R.; Cezayirli, P.; Mehler, M.; Eskandar, E.N. A Novel Severity Score to Predict Inpatient Mortality in COVID-19 Patients. Sci. Rep. 2020, 10, 16726. [Google Scholar] [CrossRef] [PubMed]
 - Liang, W.; Liang, H.; Ou, L.; Chen, B.; Chen, A.; Li, C.; Li, Y.; Guan, W.; Sang, L.; Lu, J.; et al. Development and Validation of a Clinical Risk Score to Predict the Occurrence of Critical Illness in Hospitalized Patients With COVID-19. JAMA Intern. Med. 2020, 180, 1081. [Google Scholar] [CrossRef]
 - Knight, S.R.; Ho, A.; Pius, R.; Buchan, I.; Carson, G.; Drake, T.M.; Dunning, J.; Fairfield, C.J.; Gamble, C.; Green, C.A.; et al. Risk Stratification of Patients Admitted to Hospital with Covid-19 Using the ISARIC WHO Clinical Characterisation Protocol: Development and Validation of the 4C Mortality Score. BMJ 2020, 370, m3339. [Google Scholar] [CrossRef] [PubMed]
 - Haimovich, A.D.; Ravindra, N.G.; Stoytchev, S.; Young, H.P.; Wilson, F.P.; van Dijk, D.; Schulz, W.L.; Taylor, R.A. Development and Validation of the Quick COVID-19 Severity Index: A Prognostic Tool for Early Clinical Decompensation. Ann. Emerg. Med. 2020, 76, 442–453. [Google Scholar] [CrossRef]
 - Covino, M.; De Matteis, G.; Burzo, M.L.; Russo, A.; Forte, E.; Carnicelli, A.; Piccioni, A.; Simeoni, B.; Gasbarrini, A.; Franceschi, F.; et al. Predicting In-Hospital Mortality in COVID-19 Older Patients with Specifically Developed Scores. J. Am. Geriatr. Soc. 2021, 69, 37–43. [Google Scholar] [CrossRef] [PubMed]
 - Novelli L, Raimondi F, Ghirardi A, et al At the Peak of COVID-19 Age and Disease Severity but Not Comorbidities Are Predictors of Mortality: COVID-19 Burden in Bergamo, Italy. Panminerva Med. 2021, 63, 51–61. [CrossRef]
 - O’Driscoll, M.; Ribeiro Dos Santos, G.; Wang, L.; Cummings, D.A.T.; Azman, A.S.; Paireau, J.; Fontanet, A.; Cauchemez, S.; Salje, H. Age-Specific Mortality and Immunity Patterns of SARS-CoV-2. Nature 2021, 590, 140–145. [Google Scholar] [CrossRef] [PubMed]
 - COVID-19 Treatment Guidelines Panel. Coronavirus Disease 2019 (COVID-19) Treatment Guidelines; National Institutes of Health: Bethesda, MD, USA, 2020.
 - Simadibrata, D.M.; Calvin, J.; Wijaya, A.D.; Ibrahim, N.A.A. Neutrophil-to-Lymphocyte Ratio on Admission to Predict the Severity and Mortality of COVID-19 Patients: A Meta-Analysis. Am. J. Emerg. Med. 2021, 42, 60–69. [Google Scholar] [CrossRef] [PubMed]
 - Smilowitz, N.R.; Kunichoff, D.; Garshick, M.; Shah, B.; Pillinger, M.; Hochman, J.S.; Berger, J.S. C-Reactive Protein and Clinical Outcomes in Patients with COVID-19. Eur. Heart J. 2021, 42, 2270–2279. [Google Scholar] [CrossRef] [PubMed]
 - Hariyanto, T.I.; Japar, K.V.; Kwenandar, F.; Damay, V.; Siregar, J.I.; Lugito, N.P.H.; Tjiang, M.M.; Kurniawan, A. Inflammatory and Hematologic Markers as Predictors of Severe Outcomes in COVID-19 Infection: A Systematic Review and Meta-Analysis. Am. J. Emerg. Med. 2021, 41, 110–119. [Google Scholar] [CrossRef] [PubMed]
 - Porta-Etessam, J.; Núñez-Gil, I.J.; González García, N.; Fernandez-Perez, C.; Viana-Llamas, M.C.; Eid, C.M.; Romero, R.; Molina, M.; Uribarri, A.; Becerra-Muñoz, V.M.; et al. COVID-19 Anosmia and Gustatory Symptoms as a Prognosis Factor: A Subanalysis of the HOPE COVID-19 (Health Outcome Predictive Evaluation for COVID-19) Registry. Infection 2021, 49, 677–684. [Google Scholar] [CrossRef] [PubMed]
 - Bassoli, C.; Oreni, L.; Ballone, E.; Foschi, A.; Perotti, A.; Mainini, A.; Casalini, G.; Galimberti, L.; Meroni, L.; Antinori, S.; et al. Role of Serum Albumin and Proteinuria in Patients with SARS-CoV-2 Pneumonia. Int. J. Clin. Pract. 2021, 75, e13946. [Google Scholar] [CrossRef] [PubMed]
 - Damayanthi, H.D.W.T.; Prabani, K.I.P. Nutritional Determinants and COVID-19 Outcomes of Older Patients with COVID-19: A Systematic Review. Arch. Gerontol. Geriatr. 2021, 95, 104411. [Google Scholar] [CrossRef] [PubMed]
 - Arques, S. Serum Albumin and Cardiovascular Disease: State-of-the-Art Review. Ann. Cardiol. d’Angéiol. Ann. Cardiol. d’Angéiol. 2020, 69, 192–200. [Google Scholar] [CrossRef]
 - Foresta, C.; Rocca, M.S.; Di Nisio, A. Gender Susceptibility to COVID-19: A Review of the Putative Role of Sex Hormones and X Chromosome. J. Endocrinol. Investig. 2021, 44, 951–956. [Google Scholar] [CrossRef] [PubMed]
 

| Variable | Overall Cohort (n = 494) | Stable (n = 281) | Worsened (n = 201) | p a | Survived (n = 384) | Deceased (n = 110) | p b | 
|---|---|---|---|---|---|---|---|
| Age (years), median (IQR) | 62 (49–76) | 54 (39–68) | 72 (63–82) | <0.001 * | 57 (44–72) | 76 (67–84) | <0.001 * | 
| Gender (male), n (%) | 267 (54.0) | 135 (48.0) | 124 (61.7) | 0.003 * | 202 (52.6) | 65 (59.1) | 0.235 | 
| Days from onset of symptoms, median (IQR) | 6 (3–10) | 6 (3–9) | 6 (3–10) | 0.463 | 6.5 (3.0–10.0) | 6.0 (3.0–8.5) | 0.185 | 
| Body temperature °C, median (IQR) | 37.0 (36.2–37.8) | 36.8 (36.1–37.5) | 37.4 (36.4–38.0) | <0.001 * | 37.0 (36.2–37.7) | 37.4 (36.4–38.0) | 0.014 * | 
| Respiratory rate, median (IQR) | 18 (16–22) | 18 (16–18) | 20 (18–25) | <0.001 * | 18 (16–20) | 22 (18–26) | <0.001 * | 
| Heart rate, median (IQR) | 89 (80–100) | 86 (78–100) | 90 (80–104) | 0.026 * | 87 (79–100) | 90 (80–109) | 0.033 * | 
| Oxygen saturation in room air, median (IQR) | 97 (94–98) | 98 (96–99) | 93 (88–97) | <0.001 * | 97 (95–99) | 92 (86–95) | <0.001 * | 
| Fever, n (%) | 358 (76.3) | 197 (71.9) | 160 (82.5) | 0.008 * | 279 (75.8) | 79 (78.2) | 0.692 | 
| Conjunctivitis, n (%) | 11 (2.4) | 8 (2.9) | 3 (1.6) | 0.538 | 7 (1.9) | 4 (4.0) | 0.260 | 
| Headache, n (%) | 50 (10.7) | 37 (13.6) | 13 (6.7) | 0.022 * | 39 (10.7) | 11 (11.0) | 1.0 | 
| Cough, n (%) | 236 (50.4) | 139 (50.7) | 97 (50.3) | 0.925 | 184 (50.0) | 52 (52.0) | 0.736 | 
| Asthenia, n (%) | 106 (22.6) | 67 (24.5) | 38 (19.7) | 0.261 | 81 (22.0) | 25 (25.0) | 0.590 | 
| Diarrhea, n (%) | 70 (15.0) | 40 (14.7) | 30 (15.5) | 0.794 | 58 (15.8) | 12 (12.0) | 0.430 | 
| Dyspnea, n (%) | 209 (44.6) | 91 (33.2) | 118 (60.8) | <0.001 * | 138 (37.5) | 71 (70.3) | <0.001 * | 
| Confusion, n (%) | 34 (7.3) | 19 (7.0) | 15 (7.8) | 0.857 | 22 (6.0) | 12 (12.0) | 0.051 | 
| Ageusia/Anosmia, n (%) | 37 (7.9) | 35 (12.8) | 1 (0.5) | <0.001 * | 37 (10.1) | 0 | <0.001 * | 
| Chronic obstructive pulmonary disease, n (%) | 89 (19.1) | 39 (14.4) | 50 (25.8) | 0.003* | 55 (15.2) | 34 (33.3) | <0.001 * | 
| Diabetes, n (%) | 89 (19.1) | 33 (12.2) | 56 (28.9) | <0.001 * | 56 (15.4) | 33 (32.4) | <0.001 * | 
| Hypertension, n (%) | 208 (44.6) | 84 (31.0) | 124 (63.9) | <0.001 * | 143 (39.3) | 65 (63.7) | <0.001 * | 
| Liver disease, n (%) | 20 (4.1) | 6 (2.1) | 14 (7.0) | 0.016 * | 12 (3.1) | 8 (7.3) | 0.177 | 
| Cardiovascular disease, n (%) | 157 (33.9) | 73 (26.9) | 84 (44.0) | <0.001 * | 95 (26.2) | 62 (61.4) | <0.001 * | 
| Active malignancy, n (%) | 77 (16.6) | 36 (13.3) | 41 (21.1) | 0.031 * | 51 (14.0) | 26 (25.5) | 0.010 * | 
| Chronic kidney disease, n (%) | 28 (6.0) | 8 (3.0) | 20 (10.3) | 0.001 * | 13 (3.6) | 15 (14.7) | <0.001 * | 
| Immunodeficiency, n (%) | 25 (5.4) | 12 (4.4) | 13 (6.7) | 0.304 | 14 (3.9) | 11 (10.8) | 0.011 * | 
| Obesity, n (%) | 42 (9.0) | 22 (8.1) | 20 (10.3) | 0.512 | 32 (8.8) | 10 (9.8) | 0.701 | 
| Pregnancy, n (%) | 7 (1.4) | 7 (2.5) | 0 (0) | 0.045 * | 7 (1.8) | 0 (0) | 0.355 | 
| White blood cell (×109/L), median (IQR) | 6.1 (4.4–8.8) | 5.8 (4.2–7.7) | 6.8 (4.9–10.5) | <0.001 * | 5.8 (4.3–7.8) | 8.3 (5.1–12.0) | <0.001 * | 
| Lymphocytes (×109/L), median (IQR) | 1.0 (0.6–1.5) | 1.2 (0.8–1.7) | 0.7 (0.5–1.0) | <0.001 * | 1.1 (0.7–1.6) | 0.7 (0.4–1.0) | <0.001 * | 
| Neutrophils (×109/L), median (IQR) | 4.3 (3.0–6.6) | 3.8 (2.7–5.4) | 5.4 (3.4–8.8) | <0.001 * | 4.0 (2.8–5.8) | 6.2 (3.8–10.5) | <0.001 * | 
| Neutrophils/lymphocytes ratio, median (IQR) | 4.3 (2.5–8.0) | 3.1 (2.1–5.0) | 7.5 (4.3–13.6) | <0.001 * | 3.8 (2.2–6.4) | 9.0 (4.6–17.9) | <0.001 * | 
| Platelets (×109/L), median (IQR) | 201 (161–263) | 210 (166–263) | 193 (152–248) | 0.058 | 202 (164–261) | 196 (144–268) | 0.348 | 
| Haemoglobin (g/dL), median (IQR) | 13.6 (11.9–14.7) | 13.9 (12.5–14.9) | 13.2 (11.1–14.3) | <0.001 * | 13.8 (12.4–14.9) | 11.9 (10.2–13.7) | <0.001 * | 
| Serum creatinine (mg/dL), median (IQR) | 0.90 (0.7–1.1) | 0.8 (0.7–1.0) | 1.0 (0.8–1.3) | <0.001 * | 0.9 (0.7–1.0) | 1.1 (0.8–1.5) | <0.001 * | 
| C-reactive protein (mg/dL), median (IQR) | 2.7 (0.7–8.4) | 1.2 (0.2–3.5) | 7.8 (2.8–15.8) | <0.001 * | 1.6 (0.4–6.0) | 10.2 (3.7–19.9) | <0.001 * | 
| Lactate dehydrogenase (IU/L), median (IQR) | 286 (216–387) | 233 (195–299) | 373 (289–493) | <0.001 * | 268 (208–341) | 389 (274–521) | <0.001 * | 
| Albumin (g/dL), median (IQR) | 3.7 (3.2–4.1) | 3.9 (3.6–4.2) | 3.4 (2.9–3.7) | <0.001 * | 3.8 (3.5–4.2) | 3.1 (2.8–3.6) | <0.001 * | 
| International normalized ratio, median (IQR) | 1.03 (0.98–1.09) | 1.02 (0.98–1.07) | 1.04 (0.98–1.12) | 0.007 * | 1.02 (0.98–1.07) | 1.06 (0.99–1.16) | <0.001 * | 
| D-dimer (µg/L), median (IQR) | 848 (440–1967) | 551 (360–1133) | 1478 (760–3760) | <0.001 * | 647 (398–1285) | 2244 (1265–4382) | <0.001 * | 
| Aspartate aminotransferase (IU/L), median (IQR) | 26 (19–40) | 23 (18–31) | 33 (24–53) | <0.001 * | 25 (19–37) | 30 (21–55) | 0.002 * | 
| Scoring Factor | Odd Ratio | 95% CI | p Value | β-Coefficient | Score Assigned * | 
|---|---|---|---|---|---|
| Age ≥ 60 years | 5043 | 2473–10,284 | <0.001 | 1618 | 2 | 
| SaO2 ≤ 94% | 4555 | 2599–7982 | <0.001 | 1516 | 2 | 
| N/L ≥ 10 | 3023 | 1619–5645 | <0.001 | 1106 | 1 | 
| CRP ≥ 10 mg/dL | 2389 | 1305–4374 | 0.005 | 0.871 | 1 | 
| LDH ≥ 330 IU/L | 1861 | 1052–3292 | 0.033 | 0.621 | 1 | 
| Variable | Overall Cohort (n = 415) | Stable (n = 236) | Worsened (n = 179) | Survived (n = 354) | Deceased (n = 61) | 
|---|---|---|---|---|---|
| Age (years), median (IQR) | 63 (52–75) | 59 (47–70) | 70 (58–78) | 60 (51–72) | 79 (71–86) | 
| Gender (male), n (%) | 259 (62.4) | 144 (61.0) | 115 (64.2) | 222 (62.7) | 37 (60.7) | 
| Days from onset of symptoms, median (IQR) | 6 (3–8) | 5.5 (4.0–8.0) | 6.0 (3.0–8.0) | 6.0 (4.0–8.0) | 4.0 (2.0–7.0) | 
| Oxygen saturation in room air, median (IQR) | 96 (94–98) | 97 (96–98) | 94 (91–96) | 97 (94–98) | 93 (89–95) | 
| Fever, n (%) | 319 (76.9) | 171 (72.5) | 148 (82.7) | 274 (77.4) | 45 (73.8) | 
| Conjunctivitis, n (%) | 22 (5.3) | 8 (3.4) | 14 (7.8) | 16 (4.5) | 6 (9.8) | 
| Headache, n (%) | 92 (22.2) | 58 (24.6) | 34 (19.0) | 80 (22.6) | 12 (19.7) | 
| Cough, n (%) | 202 (48.7) | 117 (49.6) | 85 (47.5) | 179 (50.6) | 23 (37.7) | 
| Asthenia, n (%) | 137 (33.0) | 73 (30.9) | 64 (35.8) | 112 (31.6) | 25 (41.0) | 
| Diarrhea, n (%) | 65 (15.7) | 36 (15.3) | 29 (16.2) | 60 (16.9) | 5 (8.2) | 
| Dyspnea, n (%) | 220 (53.0) | 87 (36.9) | 133 (74.3) | 172 (48.6) | 48 (78.7) | 
| Confusion, n (%) | 40 (9.6) | 22 (9.3) | 18 (10.1) | 23 (6.5) | 18 (29.5) | 
| Ageusia/Anosmia, n (%) | 29 (7.0) | 19 (8.1) | 10 (5.6) | 27 (7.6) | 2 (3.3) | 
| Chronic obstructive pulmonary disease, n (%) | 70 (16.9) | 33 (14.0) | 37 (20.7) | 51 (14.4) | 19 (31.1) | 
| Diabetes, n (%) | 76 (18.3) | 41 (17.4) | 35 (19.6) | 59 (16.7) | 17 (27.9) | 
| Hypertension, n (%) | 206 (49.6) | 95 (40.3) | 111 (62.0) | 165 (46.6) | 41 (67.2) | 
| Liver disease, n (%) | 15 (3.6) | 12 (5.1) | 3 (1.7) | 12 (3.4) | 3 | 
| Cardiovascular disease, n (%) | 152 (36.6) | 82 (34.7) | 70 (39.1) | 118 (33.3) | 34 (55.7) | 
| Active malignancy, n (%) | 53 (12.7) | 28 (11.9) | 25 (14.0) | 39 (11.0) | 14 (22.9) | 
| Chronic kidney disease, n (%) | 29 (7.0) | 11 (4.7) | 18 (10.1) | 15 (4.2) | 14 (23.0) | 
| Immunodeficiency, n (%) | 38 (9.2) | 21 (8.9) | 17 (9.5) | 32 (9.0) | 6 (9.8) | 
| Obesity, n (%) | 23 (5.5) | 9 (3.8) | 14 (7.8) | 19 (5.4) | 4 (6.6) | 
| Pregnancy, n (%) | 9 (2.2) | 8 (3.4) | 1 (0.6) | 9 (2.5) | 0 (0) | 
| White blood cell (×109/L), median (IQR) | 6.9 (4.9–9.0) | 6.6 (4.8–8.5) | 7.2 (5.5–10.3) | 6.7 (5.0–8.6) | 8.9 (6.1–13.1) | 
| Lymphocytes (×109/L), median (IQR) | 0.9 (0.7–1.3) | 1.1 (0.7–1.6) | 0.8 (0.6–1.1) | 1.0 (0.7–1.3) | 0.7 (0.6–1.1) | 
| Neutrophils (×109/L), median (IQR) | 5.1 (3.5–7.3) | 4.7 (3.2–6.3) | 5.8 (4.1–8.9) | 4.8 (3.4–6.6) | 7.7 (4.3–11.7) | 
| Neutrophils/lymphocytes ratio, median (IQR) | 5.1 (3.1–9.4) | 4.1 (2.6–6.5) | 7.8 (4.4–13.9) | 5.0 (3.1–8.1) | 10.4 (3.7–17.6) | 
| Platelets (×109/L), median (IQR) | 212 (164–287) | 219 (172–292) | 195 (153–274) | 213 (166–290) | 194 (145–260) | 
| Haemoglobin (g/dL), median (IQR) | 13.8 (12.5–15.0) | 14.0 (12.8–15.1) | 13.5 (12.2–14.6) | 13.8 (12.7–14.9) | 13.2 (11.0–15.0) | 
| Serum creatinine (mg/dL), median (IQR) | 0.90 (0.7–1.1) | 0.9 (0.7–1.0) | 1.0 (0.8–1.3) | 0.9 (0.7–1.1) | 1.2 (0.9–1.6) | 
| C-reactive protein (mg/dL), median (IQR) | 4.18 (1.2–9.2) | 2.2 (0.7–4.8) | 8.1 (3.5–13.9) | 3.1 (0.9–8.4) | 8.0 (4.8–16.0) | 
| Lactate dehydrogenase (IU/L), median (IQR) | 296 (229–367) | 269 (210–330) | 328 (264–419) | 287 (222–346) | 347 (275–527) | 
| International normalized ratio, median (IQR) | 0.96 (0.90–1.02) | 0.95 (0.90–1.00) | 0.98 (0.92–1.05) | 0.95 (0.90–1.01) | 1.01 (0.94–1.14) | 
| D-dimer (µg/L), median (IQR) | 593 (368–1344) | 499 (307–940) | 824 (467–1918) | 550 (354–1083) | 1161 (641–2834) | 
Publisher’s Note: MDPI stays neutral with regard to jurisdictional claims in published maps and institutional affiliations.  | 
© 2022 by the authors. Licensee MDPI, Basel, Switzerland. This article is an open access article distributed under the terms and conditions of the Creative Commons Attribution (CC BY) license (https://creativecommons.org/licenses/by/4.0/).
Share and Cite
Cruciata, A.; Volpicelli, L.; Di Bari, S.; Iaiani, G.; Cirillo, B.; Pugliese, F.; Pellegrino, D.; Galardo, G.; Taliani, G. Risk of Seven-Day Worsening and Death: A New Clinically Derived COVID-19 Score. Viruses 2022, 14, 642. https://doi.org/10.3390/v14030642
Cruciata A, Volpicelli L, Di Bari S, Iaiani G, Cirillo B, Pugliese F, Pellegrino D, Galardo G, Taliani G. Risk of Seven-Day Worsening and Death: A New Clinically Derived COVID-19 Score. Viruses. 2022; 14(3):642. https://doi.org/10.3390/v14030642
Chicago/Turabian StyleCruciata, Alessia, Lorenzo Volpicelli, Silvia Di Bari, Giancarlo Iaiani, Bruno Cirillo, Francesco Pugliese, Daniela Pellegrino, Gioacchino Galardo, and Gloria Taliani. 2022. "Risk of Seven-Day Worsening and Death: A New Clinically Derived COVID-19 Score" Viruses 14, no. 3: 642. https://doi.org/10.3390/v14030642
APA StyleCruciata, A., Volpicelli, L., Di Bari, S., Iaiani, G., Cirillo, B., Pugliese, F., Pellegrino, D., Galardo, G., & Taliani, G. (2022). Risk of Seven-Day Worsening and Death: A New Clinically Derived COVID-19 Score. Viruses, 14(3), 642. https://doi.org/10.3390/v14030642
        
                                                
