Incidence and Mortality Trends of Upper Respiratory Infections in China and Other Asian Countries from 1990 to 2019
Abstract
1. Introduction
2. Materials and Methods
2.1. Data Source
2.2. Statistical Analysis
3. Results
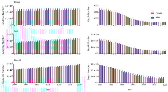
3.1. Global, Asian and National Burden and Trends of URI from 1990 to 2019
3.2. Age and Sex Distribution of URI in China
3.3. Factors Associated with URI Burden and EAPCs
4. Discussion
5. Conclusions
Author Contributions
Funding
Institutional Review Board Statement
Informed Consent Statement
Data Availability Statement
Acknowledgments
Conflicts of Interest
References
- Hasegawa, K.; Tsugawa, Y.; Cohen, A.; Camargo, C.A., Jr. Infectious Disease-related Emergency Department Visits Among Children in the US. Pediatr. Infect. Dis. J. 2015, 34, 681–685. [Google Scholar] [CrossRef] [PubMed]
- Incze, M.; Grady, D.; Gupta, A. I Have a Cold-What Do I Need to Know? JAMA Intern. Med. 2018, 178, 1288. [Google Scholar] [CrossRef] [PubMed]
- WHO. Influenza (Seasonal): Fact Sheet. 2022. Available online: https://www.who.int/en/news-room/fact-sheets/detail/influenza-(seasonal) (accessed on 15 October 2022).
- Li, J.S.; Peat, J.K.; Xuan, W.; Berry, G. Meta-analysis on the association between environmental tobacco smoke (ETS) exposure and the prevalence of lower respiratory tract infection in early childhood. Pediatr. Pulmonol. 1999, 27, 5–13. [Google Scholar] [CrossRef]
- Jones, L.L.; Hashim, A.; McKeever, T.; Cook, D.G.; Britton, J.; Leonardi-Bee, J. Parental and household smoking and the increased risk of bronchitis, bronchiolitis and other lower respiratory infections in infancy: Systematic review and meta-analysis. Respir. Res. 2011, 12, 5. [Google Scholar] [CrossRef]
- Vanker, A.; Gie, R.P.; Zar, H.J. The association between environmental tobacco smoke exposure and childhood respiratory disease: A review. Expert Rev. Respir. Med. 2017, 11, 661–673. [Google Scholar] [CrossRef]
- Young, B.E.; Chen, M. Influenza in temperate and tropical Asia: A review of epidemiology and vaccinology. Hum. Vaccines Immunother. 2020, 16, 1659–1667. [Google Scholar] [CrossRef]
- Institute for Health Metrics and Evaluation. The Global Burden of Disease: A Critical Resource for Informed Policymaking. 2018. Available online: https://www.healthdata.org/gbd/about (accessed on 15 October 2022).
- Kang, L.; Jing, W.; Liu, J.; Liu, M. Trends of global and regional aetiologies, risk factors and mortality of lower respiratory infections from 1990 to 2019: An analysis for the Global Burden of Disease Study 2019. Respirology, 2022; early view. [Google Scholar] [CrossRef]
- Kang, L.; Jing, W.; Liu, Q.; Liu, J.; Liu, M. The trends of mortality, aetiologies and risk factors of lower respiratory infections in China from 1990 to 2019: Findings from the Global Burden of Disease Study 2019. J. Infect. Public Health 2022, 15, 870–876. [Google Scholar] [CrossRef]
- GBD 2016 Lower Respiratory Infections Collaborators. Estimates of the global, regional, and national morbidity, mortality, and aetiologies of lower respiratory infections in 195 countries, 1990–2016: A systematic analysis for the Global Burden of Disease Study 2016. Lancet Infect. Dis. 2018, 18, 1191–1210. [Google Scholar] [CrossRef]
- Shahan, B.; Barstow, C.; Mahowald, M. Respiratory Conditions: Upper Respiratory Tract Infections. FP Essent. 2019, 486, 11–18. [Google Scholar]
- Kim, S.Y.; Kim, J.H.; Kim, M.; Wee, J.H.; Jung, Y.; Min, C.; Yoo, D.M.; Sim, S.; Choi, H.G. The associations of previous influenza/upper respiratory infection with COVID-19 susceptibility/morbidity/mortality: A nationwide cohort study in South Korea. Sci. Rep. 2021, 11, 21568. [Google Scholar] [CrossRef] [PubMed]
- Jin, X.; Ren, J.; Li, R.; Gao, Y.; Zhang, H.; Li, J.; Zhang, J.; Wang, X.; Wang, G. Global burden of upper respiratory infections in 204 countries and territories, from 1990 to 2019. EClinicalMedicine 2021, 37, 100986. [Google Scholar] [CrossRef] [PubMed]
- Global Burden of Disease Collaborative Network. Global Burden of Disease Study 2019 (GBD 2019) Results. 2019. Available online: https://vizhub.healthdata.org/gbd-results/ (accessed on 15 October 2022).
- GBD 2019 Diseases and Injuries Collaborators. Global burden of 369 diseases and injuries in 204 countries and territories, 1990–2019: A systematic analysis for the Global Burden of Disease Study 2019. Lancet 2020, 396, 1204–1222. [Google Scholar] [CrossRef]
- Global Burden of Disease Collaborative Network. Global Burden of Disease Study 2019 (GBD 2019) Socio-Demographic Index (SDI) 1950–2019. 2020. Available online: http://ghdx.healthdata.org/record/ihme-data/gbd-2019-socio-demographic-index-sdi-1950-2019 (accessed on 15 October 2022).
- Jing, W.; Liu, J.; Liu, M. The global trends and regional differences in incidence of HEV infection from 1990 to 2017 and implications for HEV prevention. Liver Int. 2021, 41, 58–69. [Google Scholar] [CrossRef] [PubMed]
- Liu, Q.; Jing, W.; Kang, L.; Liu, J.; Liu, M. Trends of the global, regional and national incidence of malaria in 204 countries from 1990 to 2019 and implications for malaria prevention. J. Travel Med. 2021, 28, taab046. [Google Scholar] [CrossRef]
- Liu, Q.; Liu, M.; Liu, J. Burden and Trends of Acute Viral Hepatitis in Asia from 1990 to 2019. Viruses 2022, 14, 1180. [Google Scholar] [CrossRef]
- Gupta, V.; Dawood, F.S.; Muangchana, C.; Lan, P.T.; Xeuatvongsa, A.; Sovann, L.; Olveda, R.; Cutter, J.; Oo, K.Y.; Ratih, T.S.; et al. Influenza vaccination guidelines and vaccine sales in southeast Asia: 2008–2011. PLoS ONE 2012, 7, e52842. [Google Scholar] [CrossRef]
- Koul, P.A.; Broor, S.; Saha, S.; Barnes, J.; Smith, C.; Shaw, M.; Chadha, M.; Lal, R.B. Differences in influenza seasonality by latitude, northern India. Emerg. Infect. Dis. 2014, 20, 1723–1726. [Google Scholar] [CrossRef]
- JAIF Management Team. ASEAN Centre for Public Health Emergencies and Emerging Diseases (ACPHEED). 2022. Available online: https://jaif.asean.org/whats-new/asean-center-for-public-health-emergencies-and-emerging-diseases-acpheed/ (accessed on 15 October 2022).
- Cowling, B.J.; Caini, S.; Chotpitayasunondh, T.; Djauzi, S.; Gatchalian, S.R.; Huang, Q.S.; Koul, P.A.; Lee, P.I.; Muttalif, A.R.; Plotkin, S. Influenza in the Asia-Pacific region: Findings and recommendations from the Global Influenza Initiative. Vaccine 2017, 35, 856–864. [Google Scholar] [CrossRef]
- Sampson, K. Asia-Pacific Alliance for the Control of Influenza (APACI). Hum. Vaccines Immunother. 2018, 14, 248–249. [Google Scholar] [CrossRef]
- Claassen-Weitz, S.; Lim, K.Y.L.; Mullally, C.; Zar, H.J.; Nicol, M.P. The association between bacteria colonizing the upper respiratory tract and lower respiratory tract infection in young children: A systematic review and meta-analysis. Clin. Microbiol. Infect. 2021, 27, 1262–1270. [Google Scholar] [CrossRef] [PubMed]
- Thompson, W.W.; Weintraub, E.; Dhankhar, P.; Cheng, P.Y.; Brammer, L.; Meltzer, M.I.; Bresee, J.S.; Shay, D.K. Estimates of US influenza-associated deaths made using four different methods. Influenza Other Respir. Viruse 2009, 3, 37–49. [Google Scholar] [CrossRef] [PubMed]
- Liu, H.; Wang, L.L.; Zhao, S.J.; Kwak-Kim, J.; Mor, G.; Liao, A.H. Why are pregnant women susceptible to COVID-19? An immunological viewpoint. J. Reprod. Immunol. 2020, 139, 103122. [Google Scholar] [CrossRef] [PubMed]
- GBD 2019 Risk Factors Collaborators. Global burden of 87 risk factors in 204 countries and territories, 1990–2019: A systematic analysis for the Global Burden of Disease Study 2019. Lancet 2020, 396, 1223–1249. [Google Scholar] [CrossRef]
- Zhang, S.; Chen, X.; Wang, J.; Dai, C.; Gou, Y.; Wang, H. Particulate air pollution and respiratory Haemophilus influenzae infection in Mianyang, southwest China. Environ. Sci. Pollut. Res. Int. 2021, 28, 33158–33164. [Google Scholar] [CrossRef]
- Shi, T.; McAllister, D.A.; O’Brien, K.L.; Simoes, E.A.F.; Madhi, S.A.; Gessner, B.D.; Polack, F.P.; Balsells, E.; Acacio, S.; Aguayo, C.; et al. Global, regional, and national disease burden estimates of acute lower respiratory infections due to respiratory syncytial virus in young children in 2015: A systematic review and modelling study. Lancet 2017, 390, 946–958. [Google Scholar] [CrossRef]
- Grigg, J. Air Pollution and Respiratory Infection: An Emerging and Troubling Association. Am. J. Respir. Crit. Care Med. 2018, 198, 700–701. [Google Scholar] [CrossRef]
- GBD 2015 Tobacco Collaborators. Smoking prevalence and attributable disease burden in 195 countries and territories, 1990–2015: A systematic analysis from the Global Burden of Disease Study 2015. Lancet 2017, 389, 1885–1906. [Google Scholar] [CrossRef]
- Madison, M.C.; Landers, C.T.; Gu, B.H.; Chang, C.Y.; Tung, H.Y.; You, R.; Hong, M.J.; Baghaei, N.; Song, L.Z.; Porter, P.; et al. Electronic cigarettes disrupt lung lipid homeostasis and innate immunity independent of nicotine. J. Clin. Investig. 2019, 129, 4290–4304. [Google Scholar] [CrossRef]
- Larcombe, A.N.; Janka, M.A.; Mullins, B.J.; Berry, L.J.; Bredin, A.; Franklin, P.J. The effects of electronic cigarette aerosol exposure on inflammation and lung function in mice. Am. J. Physiol. Lung Cell. Mol. Physiol. 2017, 313, L67–L79. [Google Scholar] [CrossRef]
- Khosravi, M.; Lin, R.L.; Lee, L.Y. Inhalation of electronic cigarette aerosol induces reflex bronchoconstriction by activation of vagal bronchopulmonary C-fibers. Am. J. Physiol. Lung Cell. Mol. Physiol. 2018, 315, L467–L475. [Google Scholar] [CrossRef] [PubMed]
- Crotty Alexander, L.E.; Drummond, C.A.; Hepokoski, M.; Mathew, D.; Moshensky, A.; Willeford, A.; Das, S.; Singh, P.; Yong, Z.; Lee, J.H.; et al. Chronic inhalation of e-cigarette vapor containing nicotine disrupts airway barrier function and induces systemic inflammation and multiorgan fibrosis in mice. Am. J. Physiol. Regul. Integr. Comp. Physiol. 2018, 314, R834–R847. [Google Scholar] [CrossRef] [PubMed]
- Chung, S.; Baumlin, N.; Dennis, J.S.; Moore, R.; Salathe, S.F.; Whitney, P.L.; Sabater, J.; Abraham, W.M.; Kim, M.D.; Salathe, M. Electronic Cigarette Vapor with Nicotine Causes Airway Mucociliary Dysfunction Preferentially via TRPA1 Receptors. Am. J. Respir. Crit. Care Med. 2019, 200, 1134–1145. [Google Scholar] [CrossRef] [PubMed]
- Hakansson, A.P.; Orihuela, C.J.; Bogaert, D. Bacterial-Host Interactions: Physiology and Pathophysiology of Respiratory Infection. Physiol. Rev. 2018, 98, 781–811. [Google Scholar] [CrossRef]
- Miyashita, L.; Foley, G. E-cigarettes and respiratory health: The latest evidence. J. Physiol. 2020, 598, 5027–5038. [Google Scholar] [CrossRef]
- Yang, X.; Zhao, H.; Li, Z.; Zhu, A.; Ren, M.; Geng, M.; Li, Y.; Qin, Y.; Feng, L.; Peng, Z.; et al. Influenza Vaccine Effectiveness in Mainland China: A Systematic Review and Meta-Analysis. Vaccines 2021, 9, 79. [Google Scholar] [CrossRef]







Publisher’s Note: MDPI stays neutral with regard to jurisdictional claims in published maps and institutional affiliations. |
© 2022 by the authors. Licensee MDPI, Basel, Switzerland. This article is an open access article distributed under the terms and conditions of the Creative Commons Attribution (CC BY) license (https://creativecommons.org/licenses/by/4.0/).
Share and Cite
Liu, Q.; Qin, C.; Du, M.; Wang, Y.; Yan, W.; Liu, M.; Liu, J. Incidence and Mortality Trends of Upper Respiratory Infections in China and Other Asian Countries from 1990 to 2019. Viruses 2022, 14, 2550. https://doi.org/10.3390/v14112550
Liu Q, Qin C, Du M, Wang Y, Yan W, Liu M, Liu J. Incidence and Mortality Trends of Upper Respiratory Infections in China and Other Asian Countries from 1990 to 2019. Viruses. 2022; 14(11):2550. https://doi.org/10.3390/v14112550
Chicago/Turabian StyleLiu, Qiao, Chenyuan Qin, Min Du, Yaping Wang, Wenxin Yan, Min Liu, and Jue Liu. 2022. "Incidence and Mortality Trends of Upper Respiratory Infections in China and Other Asian Countries from 1990 to 2019" Viruses 14, no. 11: 2550. https://doi.org/10.3390/v14112550
APA StyleLiu, Q., Qin, C., Du, M., Wang, Y., Yan, W., Liu, M., & Liu, J. (2022). Incidence and Mortality Trends of Upper Respiratory Infections in China and Other Asian Countries from 1990 to 2019. Viruses, 14(11), 2550. https://doi.org/10.3390/v14112550

