Reduction in Virulence over Time in Ostreid herpesvirus 1 (OsHV-1) Microvariants between 2011 and 2015 in Australia
Abstract
1. Introduction
2. Materials and Methods
2.1. Oysters
2.2. Laboratory Housing
2.3. Isolates of OsHV-1
2.3.1. Primary Inoculae
2.3.2. Secondary Inoculae
2.4. Assessment of Virulence and Transmissibility of OsHV-1 Isolates
2.5. Detection and Quantification of OsHV-1 DNA
2.6. Statistical Analysis
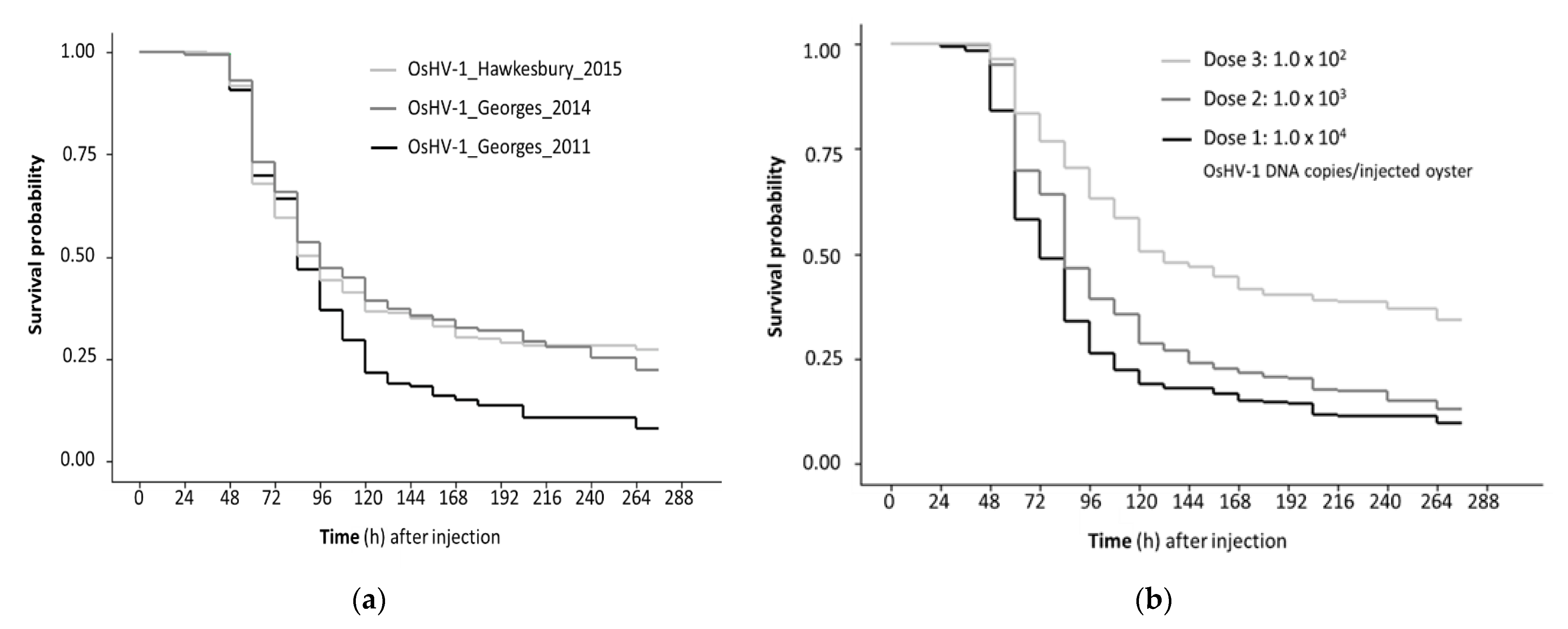
3. Results
4. Discussion
5. Conclusions
Author Contributions
Funding
Institutional Review Board Statement
Data Availability Statement
Acknowledgments
Conflicts of Interest
References
- Davison, A.J.; Trus, B.L.; Cheng, N.; Steven, A.C.; Watson, M.S.; Cunningham, C.; Le Deuff, R.-M.; Renault, T. A novel class of herpesvirus with bivalve hosts. J. Gen. Virol. 2005, 86, 41–53. [Google Scholar] [CrossRef] [PubMed]
- OIE. Chapter 2.4.5 Infection with Ostreid herpesvirus 1 microvariants. In Manual of Diagnostic Tests for Aquatic Animals 2019; OIE: Paris, France, 2019. [Google Scholar]
- Fuhrmann, M.; Castinel, A.; Cheslett, D.; Nozal, D.F.; Whittington, R. The impacts of Ostreid herpesvirus 1 microvariants on Pacific oyster aquaculture in the Northern and Southern Hemispheres since 2008. Rev. Sci. Tech. (Int. Off. Epizoot.) 2019, 38, 491–509. [Google Scholar] [CrossRef] [PubMed]
- Segarra, A.; Pépin, J.F.; Arzul, I.; Morga, B.; Faury, N.; Renault, T. Detection and description of a particular Ostreid herpesvirus 1 genotype associated with massive mortality outbreaks of Pacific oysters, Crassostrea gigas, in France in 2008. Virus Res. 2010, 153, 92–99. [Google Scholar] [CrossRef]
- Roque, A.; Carrasco, N.; Andree, K.; Lacuesta, B.; Elandaloussi, L.; Gairin, I.; Rodgers, C.; Furones, M. First report of OsHV-1 microvar in Pacific oyster (Crassostrea gigas) cultured in Spain. Aquaculture 2012, 324–325, 303–306. [Google Scholar] [CrossRef]
- Peeler, E.J.; Reese, R.A.; Cheslett, D.L.; Geoghegan, F.; Power, A.; Thrush, M.A. Investigation of mortality in Pacific oysters associated with Ostreid herpesvirus-1 μVar in the Republic of Ireland in 2009. Prev. Vet. Med. 2012, 105, 136–143. [Google Scholar] [CrossRef] [PubMed]
- Keeling, S.E.; Brosnahan, C.L.; Williams, R.; Gias, E.; Hannah, M.; Bueno, R.; McDonald, W.L.; Johnston, C. New Zealand juvenile oyster mortality associated with Ostreid herpesvirus 1-an opportunistic longitudinal study. Dis. Aquat. Org. 2014, 109, 231–239. [Google Scholar] [CrossRef] [PubMed]
- Jenkins, C.; Hick, P.; Gabor, M.; Spiers, Z.; Fell, S.A.; Gu, X.; Read, A.; Go, J.; Dove, M.; O’Connor, W.; et al. Identification and characterization of an ostreid herpesvirus-1 microvariant (OsHV-1 μ-var) in Crassostrea gigas (Pacific oysters) in Australia. Dis. Aquat. Org. 2013, 105, 109–126. [Google Scholar] [CrossRef]
- Paul-Pont, I.; Evans, O.; Dhand, N.; Rubio, A.; Coad, P.; Whittington, R. Descriptive epidemiology of mass mortality due to Ostreid herpesvirus-1 (OsHV-1) in commercially farmed Pacific oysters (Crassostrea gigas) in the Hawkesbury River estuary, Australia. Aquaculture 2014, 422–423, 146–159. [Google Scholar] [CrossRef]
- European Food Safety Authority Panel on Animal Health Welfare (EFSA). Oyster mortality. EFSA J. 2015, 13, 6. [Google Scholar]
- Renault, T.; Moreau, P.; Faury, N.; Pepin, J.F.; Segarra, A.; Webb, S. Analysis of clinical Ostreid herpesvirus 1 (Malaco-herpesviridae) specimens by sequencing amplified fragments from three virus genome areas. J. Virol. 2012, 86, 5942–5947. [Google Scholar] [CrossRef]
- Paul-Pont, I.; Dhand, N.; Whittington, R.J. Influence of husbandry practices on OsHV-1 associated mortality of Pacific oysters Crassostrea gigas. Aquaculture 2013, 412–413, 202–214. [Google Scholar] [CrossRef]
- Pernet, F.; Barret, J.; Le Gall, P.; Corporeau, C.; Degremont, L.; Lagarde, F.; Pépin, J.-F.; Keck, N. Mass mortalities of Pacific oysters Crassostrea gigas reflect infectious diseases and vary with farming practices in the Mediterranean Thau lagoon, France. Aquac. Environ. Interact. 2012, 2, 215–237. [Google Scholar] [CrossRef]
- Pernet, F.; Gachelin, S.; Stanisière, J.-Y.; Petton, B.; Fleury, E.; Mazurié, J. Farmer monitoring reveals the effect of tidal height on mortality risk of oysters during a herpesvirus outbreak. ICES J. Mar. Sci. 2019, 76, 1816–1824. [Google Scholar] [CrossRef]
- Paul-Pont, I.; Dhand, N.K.; Whittington, R.J. Spatial distribution of mortality in Pacific oysters Crassostrea gigas: Reflection on mechanisms of OsHV-1 transmission. Dis. Aquat. Org. 2013, 105, 127–138. [Google Scholar] [CrossRef] [PubMed]
- Whittington, R.J.; Liu, O.; Hick, P.M.; Dhand, N.; Rubio, A. Long-term temporal and spatial patterns of Ostreid herpesvirus 1 (OsHV-1) infection and mortality in sentinel Pacific oyster spat (Crassostrea gigas) inform farm management. Aquaculture 2019, 513, 734395. [Google Scholar] [CrossRef]
- De Lorgeril, J.; Lucasson, A.; Petton, B.; Toulza, E.; Montagnani, C.; Clerissi, C.; Vidal-Dupiol, J.; Chaparro, C.; Galinier, R.; Escoubas, J.-M.; et al. Immune-suppression by OsHV-1 viral infection causes fatal bacteraemia in Pacific oysters. Nat. Commun. 2018, 9, 4215. [Google Scholar] [CrossRef] [PubMed]
- Dégremont, L. Size and genotype affect resistance to mortality caused by OsHV-1 in Crassostrea gigas. Aquaculture 2013, 416–417, 129–134. [Google Scholar] [CrossRef]
- Degremont, L.; Morga, B.; Trancart, S.; Pépin, J.-F. Resistance to OsHV-1 Infection in Crassostrea gigas Larvae. Front. Mar. Sci. 2016, 3, 15. [Google Scholar] [CrossRef]
- Hick, P.M.; Evans, O.; Rubio, A.; Dhand, N.K.; Whittington, R.J. Both age and size influence susceptibility of Pacific oysters (Crassostrea gigas) to disease caused by Ostreid herpesvirus 1 (OsHV-1) in replicated field and laboratory experiments. Aquaculture 2018, 489, 110–120. [Google Scholar] [CrossRef]
- Petton, B.; Boudry, P.; Alunno-Bruscia, M.; Pernet, F. Factors influencing disease-induced mortality of Pacific oysters Crassostrea gigas. Aquac. Environ. Interact. 2015, 6, 205–222. [Google Scholar] [CrossRef]
- Pernet, F.; Tamayo, D.; Fuhrmann, M.; Petton, B. Deciphering the effect of food availability, growth and host condition on disease susceptibility in a marine invertebrate. J. Exp. Biol. 2019, 222, jeb210534. [Google Scholar] [CrossRef] [PubMed]
- Evans, O.; Hick, P.; Dhand, N.; Whittington, R.J. Transmission of Ostreid herpesvirus-1 in Crassostrea gigas by cohabitation: Effects of food and number of infected donor oysters. Aquac. Environ. Interact. 2015, 7, 281–295. [Google Scholar] [CrossRef]
- Oden, E.; Martenot, C.; Berthaux, M.; Travaillé, E.; Malas, J.; Houssin, M. Quantification of Ostreid herpesvirus 1 (OsHV-1) in Crassostrea gigas by real-time PCR: Determination of a viral load threshold to prevent summer mortalities. Aquaculture 2011, 317, 27–31. [Google Scholar] [CrossRef]
- Petton, B.; Pernet, F.; Robert, R.; Boudry, P. Temperature influence on pathogen transmission and subsequent mortalities in juvenile Pacific oysters Crassostrea gigas. Aquac. Environ. Interact. 2013, 3, 257–273. [Google Scholar] [CrossRef]
- Fuhrmann, M.; Delisle, L.; Petton, B.; Corporeau, C.; Pernet, F. Metabolism of the Pacific oyster, Crassostrea gigas, is influenced by salinity and modulates survival to the Ostreid herpesvirus OsHV-1. Biol. Open 2018, 7, bio028134. [Google Scholar] [CrossRef] [PubMed]
- Fuhrmann, M.; Petton, B.; Quillien, V.; Faury, N.; Morga, B.; Pernet, F. Salinity influences disease-induced mortality of the oyster Crassostrea gigas and infectivity of the Ostreid herpesvirus 1 (OsHV-1). Aquac. Environ. Interact. 2016, 8, 543–552. [Google Scholar] [CrossRef]
- De Kantzow, M.C.; Hick, P.M.; Dhand, N.K.; Whittington, R.J. Risk factors for mortality during the first occurrence of Pacific Oyster Mortality Syndrome due to Ostreid herpesvirus-1 in Tasmania, 2016. Aquaculture 2017, 468, 328–336. [Google Scholar] [CrossRef]
- Whittington, R.J.; Dhand, N.; Evans, O.; Paul-Pont, I. Further observations on the influence of husbandry practices on OsHV-1 μVar mortality in Pacific oysters Crassostrea gigas: Age, cultivation structures and growing height. Aquaculture 2015, 438, 82–97. [Google Scholar] [CrossRef]
- Martenot, C.; Lethuillier, O.; Fourour, S.; Oden, E.; Trancart, S.; Travaillé, E.; Houssin, M. Detection of undescribed Ostreid herpesvirus 1 (OsHV-1) specimens from Pacific oyster, Crassostrea gigas. J. Invertebr. Pathol. 2015, 132, 182–189. [Google Scholar] [CrossRef]
- Burioli, E.; Prearo, M.; Riina, M.; Bona, M.; Fioravanti, M.; Arcangeli, G.; Houssin, M. Ostreid herpesvirus type 1 genomic diversity in wild populations of Pacific oyster Crassostrea gigas from Italian coasts. J. Invertebr. Pathol. 2016, 137, 71–83. [Google Scholar] [CrossRef]
- Burioli, E.; Prearo, M.; Houssin, M. Complete genome sequence of Ostreid herpesvirus type 1 µVar isolated during mortality events in the Pacific oyster Crassostrea gigas in France and Ireland. Virology 2017, 509, 239–251. [Google Scholar] [CrossRef]
- Mineur, F.; Provan, J.; Arnott, G. Phylogeographical analyses of shellfish viruses: Inferring a geographical origin for ostreid herpesviruses OsHV-1 (Malacoherpesviridae). Mar. Biol. 2015, 162, 181–192. [Google Scholar] [CrossRef]
- Ren, W.; Chen, H.; Renault, T.; Cai, Y.; Bai, C.; Wang, C.; Huang, J. Complete genome sequence of acute viral necrosis virus associated with massive mortality outbreaks in the Chinese scallop, Chlamys farreri. Virol. J. 2013, 10, 110. [Google Scholar] [CrossRef] [PubMed]
- Bai, C.; Wang, C.; Xia, J.; Sun, H.; Zhang, S.; Huang, J. Emerging and endemic types of Ostreid herpesvirus 1 were detected in bivalves in China. J. Invertebr. Pathol. 2015, 124, 98–106. [Google Scholar] [CrossRef] [PubMed]
- Delmotte, J.; Chaparro, C.; Galinier, R.; de Lorgeril, J.; Petton, B.; Stenger, P.-L.; Vidal-Dupiol, J.; Destoumieux-Garzon, D.; Gueguen, Y.; Montagnani, C.; et al. Contribution of viral genomic diversity to oyster susceptibility in the Pacific oyster mortality syndrome. Front. Microbiol. 2020, 11, 1579. [Google Scholar] [CrossRef] [PubMed]
- Divilov, K.; Schoolfield, B.; Morga, B.; Dégremont, L.; Burge, C.A.; Cortez, D.M.; Friedman, C.S.; Fleener, G.B.; Dumbauld, B.R.; Langdon, C. First evaluation of resistance to both a California OsHV-1 variant and a French OsHV-1 microvariant in Pacific oysters. BMC Genet. 2019, 20, 96. [Google Scholar] [CrossRef] [PubMed]
- Burge, C.A.; Reece, K.S.; Dhar, A.K.; Kirkland, P.; Morga, B.; Dégremont, L.; Faury, N.; Wippel, B.J.T.; MacIntyre, A.; Friedman, C.S. First comparison of French and Australian OsHV-1 µvars by bath exposure. Dis. Aquat. Org. 2020, 138, 137–144. [Google Scholar] [CrossRef] [PubMed]
- Evans, O.; Kan, J.Z.; Pathirana, E.; Whittington, R.J.; Dhand, N.; Hick, P.; Pathirana, B.E. Effect of emersion on the mortality of Pacific oysters (Crassostrea gigas) infected with Ostreid herpesvirus-1 (OsHV-1). Aquaculture 2019, 505, 157–166. [Google Scholar] [CrossRef]
- Martenot, C.; Oden, E.; Travaillé, E.; Malas, J.; Houssin, M. Comparison of two real-time PCR methods for detection of Ostreid herpesvirus 1 in the Pacific oyster Crassostrea gigas. J. Virol. Methods 2010, 170, 86–89. [Google Scholar] [CrossRef]
- Therneau, T.M. A Package for Survival Analysis in S; Springer: New York, NY, USA, 2015. [Google Scholar]
- Bai, C.-M.; Morga, B.; Rosani, U.; Shi, J.; Li, C.; Xin, L.-S.; Wang, C.-M. Long-range PCR and high-throughput sequencing of Ostreid herpesvirus 1 indicate high genetic diversity and complex evolution process. Virology 2019, 526, 81–90. [Google Scholar] [CrossRef] [PubMed]
- Paul-Pont, I.; Evans, O.; Dhand, N.; Whittington, R. Experimental infections of Pacific oyster Crassostrea gigas using the Australian Ostreid herpesvirus-1 (OsHV-1) µVar strain. Dis. Aquat. Org. 2015, 113, 137–147. [Google Scholar] [CrossRef] [PubMed]
- De Kantzow, M.C.; Whittington, R.J.; Hick, P.M. Different in vivo growth of Ostreid herpesvirus 1 at 18 °C and 22 °C alters mortality of Pacific oysters (Crassostrea gigas). Arch. Virol. 2019, 164, 3035–3043. [Google Scholar] [CrossRef] [PubMed]
- Pathirana, E.; Fuhrmann, M.; Whittington, R.; Hick, P. Influence of environment on the pathogenesis of Ostreid herpesvirus-1 (OsHV-1) infections in Pacific oysters (Crassostrea gigas) through differential microbiome responses. Heliyon 2019, 5, e02101. [Google Scholar] [CrossRef] [PubMed]
- Bueno, R.; Perrott, M.; Dunowska, M.; Brosnahan, C.; Johnston, C. In situ hybridization and histopathological observations during ostreid herpesvirus-1-associated mortalities in Pacific oysters Crassostrea gigas. Dis. Aquat. Org. 2016, 122, 43–55. [Google Scholar] [CrossRef] [PubMed]
- Moreau, P.; Moreau, K.; Segarra, A.; Tourbiez, D.; Travers, M.-A.; Rubinsztein, D.C.; Renault, T. Autophagy plays an important role in protecting Pacific oysters from OsHV-1 and Vibrio aestuarianus infections. Autophagy 2015, 11, 516–526. [Google Scholar] [CrossRef]
- Martenot, C.; Oden, E.; Travaillé, E.; Malas, J.-P.; Houssin, M. Detection of different variants of Ostreid herpesvirus 1 in the Pacific oyster, Crassostrea gigas between 2008 and 2010. Virus Res. 2011, 160, 25–31. [Google Scholar] [CrossRef]
- Dundon, W.G.; Arzul, I.; Omnes, E.; Robert, M.; Magnabosco, C.; Zambon, M.; Gennari, L.; Toffan, A.; Terregino, C.; Capua, I.; et al. Detection of Type 1 Ostreid Herpes variant (OsHV-1 μvar) with no associated mortality in French-origin Pacific cupped oyster Crassostrea gigas farmed in Italy. Aquaculture 2011, 314, 49–52. [Google Scholar] [CrossRef]
- Evans, O.; Hick, P.; Whittington, R.J. Detection of Ostreid herpesvirus 1 microvariants in healthy Crassostrea gigas following disease events and their possible role as reservoirs of infection. J. Invertebr. Pathol. 2017, 148, 20–33. [Google Scholar] [CrossRef]
- Alizon, S.; Hurford, A.; Mideo, N.; Van Baalen, M. Virulence evolution and the trade-off hypothesis: History, current state of affairs and the future. J. Evol. Biol. 2008, 22, 245–259. [Google Scholar] [CrossRef]
- Peeler, E.J.; Otte, M.J. Epidemiology and Economics Support Decisions about Freedom from Aquatic Animal Disease. Transbound. Emerg. Dis. 2016, 63, 266–277. [Google Scholar] [CrossRef]
- De Kantzow, M.C.; Whittington, R.J.; Hick, P. Prior exposure to Ostreid herpesvirus 1 (OsHV-1) at 18 °C is associated with improved survival of juvenile Pacific oysters (Crassostrea gigas) following challenge at 22 °C. Aquaculture 2019, 507, 443–450. [Google Scholar] [CrossRef]




| Region Sampled | Date Collected | Clinical Signs (%) 1 | OsHV-1 qPCR Positive (%) | OsHV-1 Quantity 2 | Identity in Further Evaluation |
|---|---|---|---|---|---|
| Georges River, NSW | 24/11/2011 | 100 | 100 | 1.15 × 104 | OsHV-1_Georges_2011 |
| Georges River, NSW | 24/02/2014 | 100 | 100 | 4.01 × 104 | OsHV-1_Georges_2014 |
| Hawkesbury River, NSW | 11/11/2015 | 100 | 100 | 4.76 × 104 | OsHV-1_Hawkesbury_2015 |
| Isolate | Dose 1 | Total Cumulative Mortality (%) | ||||
|---|---|---|---|---|---|---|
| Range in Duplicate Tanks (%) | Injected Oysters | Cohabitating Oysters | ||||
| n | Mortality (%) | n | Mortality (%) | |||
| OsHV-1_Georges_2011 | 1.0 × 104 | 90–93 | 20 | 90 | 19 | 89 |
| 21 | 100 | 19 | 84 | |||
| 1.0 × 103 | 92–95 | 19 | 95 | 19 | 89 | |
| 24 | 100 | 15 | 87 | |||
| 1.0 × 102 | 83–90 | 22 | 91 | 18 | 72 | |
| 21 | 95 | 18 | 83 | |||
| OsHV-1_Georges_2014 | 1.0 × 104 | 79–93 | 20 | 85 | 19 | 74 |
| 22 | 95 | 18 | 89 | |||
| 1.0 × 103 | 87–88 | 20 | 100 | 23 | 78 | |
| 20 | 90 | 19 | 84 | |||
| 1.0 × 102 | 0–84 | 19 | 89 | 18 | 78 | |
| 19 | 0 | 20 | 0 | |||
| OsHV-1_Hawkesbury_2015 | 1.0 × 104 | 88–90 | 23 | 91 | 18 | 83 |
| 25 | 88 | 16 | 94 | |||
| 1.0 × 103 | 69–75 | 20 | 90 | 16 | 56 | |
| 19 | 100 | 20 | 40 | |||
| 1.0 × 102 | 46–78 | 23 | 61 | 18 | 100 | |
| 20 | 60 | 21 | 33 | |||
| Factor | Level | Hazard Ratio | |
|---|---|---|---|
| Point Estimate | 95% Confidence Interval | ||
| Isolate | OsHV-1_Georges_2011 | 1.37 | 1.01–1.86 |
| OsHV-1_Georges_2014 | 1.06 | 0.63–1.79 | |
| OsHV-1_Hawkesbury_2015 1 | - | - | |
| Challenge method | Injection | 1.30 | 1.02–1.65 |
| Cohabitation 1 | - | - | |
| Dose (OsHV-1 genome copies/injected oyster) | 1.0 × 102 | 0.44 | 0.24–0.79 |
| 1.0 × 103 | 0.78 | 0.57–1.07 | |
| 1.0 × 104 1 | - | - | |
Publisher’s Note: MDPI stays neutral with regard to jurisdictional claims in published maps and institutional affiliations. |
© 2021 by the authors. Licensee MDPI, Basel, Switzerland. This article is an open access article distributed under the terms and conditions of the Creative Commons Attribution (CC BY) license (https://creativecommons.org/licenses/by/4.0/).
Share and Cite
Cain, G.; Liu, O.; Whittington, R.J.; Hick, P.M. Reduction in Virulence over Time in Ostreid herpesvirus 1 (OsHV-1) Microvariants between 2011 and 2015 in Australia. Viruses 2021, 13, 946. https://doi.org/10.3390/v13050946
Cain G, Liu O, Whittington RJ, Hick PM. Reduction in Virulence over Time in Ostreid herpesvirus 1 (OsHV-1) Microvariants between 2011 and 2015 in Australia. Viruses. 2021; 13(5):946. https://doi.org/10.3390/v13050946
Chicago/Turabian StyleCain, Georgia, Olivia Liu, Richard J. Whittington, and Paul M. Hick. 2021. "Reduction in Virulence over Time in Ostreid herpesvirus 1 (OsHV-1) Microvariants between 2011 and 2015 in Australia" Viruses 13, no. 5: 946. https://doi.org/10.3390/v13050946
APA StyleCain, G., Liu, O., Whittington, R. J., & Hick, P. M. (2021). Reduction in Virulence over Time in Ostreid herpesvirus 1 (OsHV-1) Microvariants between 2011 and 2015 in Australia. Viruses, 13(5), 946. https://doi.org/10.3390/v13050946
