A Novel CXCR4 Targeting Protein SDF-1/54 as an HIV-1 Entry Inhibitor
Abstract
1. Introduction
2. Materials and Methods
2.1. Reagents
2.2. Preparation of HIV-1
2.3. Single-Cycle Viral Infection
2.4. Multiple-Cycle Viral Infection
2.5. Time-of-Addition Assay
2.6. HIV-1 Env-Mediated Cell–Cell Fusion
2.7. CXCR4 Internalization Assay
2.8. Drug Combination Studies
2.9. Cytotoxicity Assay
2.10. Determination of the Inhibitory Activity of SDF-1/54 in PBS, SE-F, VFS and Human Serum Albumin (HSA) Respectively
3. Results
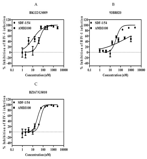
3.1. Antiviral Potency of SDF-1/54
3.2. SDF-1/54 Inhibits HIV-1 Entry by Time-of-Addition Assay
3.3. SDF-1/54 Inhibits HIV-1 Entry by Blocking Membrane Fusion
3.4. SDF-1/54 Inhibits HIV-1 Entry by Inducing CXCR4 Internalization
3.5. SDF-1/54 Showed Limited in Vitro Cytotoxicity to HIV-1 Target Cells and Reproductive Tract Epithelial Cells
3.6. Combinations of SDF-1/54 with ARVs Display Synergistic Effects Against HIV-1 Infection
3.7. SDF-1/54 Remained Stable and Potent Anti-HIV-1 Activity in the Presence of Human Body Fluids
4. Discussion
Supplementary Materials
Author Contributions
Funding
Conflicts of Interest
References
- Joint United Nations Programme on HIV/AIDS (UNAIDS). Unaids Data 2018; UNAIDS: Geneva, Switzerland, 2018; Available online: http://www.unaids.org/sites/default/files/media_asset/unaids-data-2018_en.pdf (accessed on 16 September 2019).
- Cervia, J.S.; Smith, M.A. Enfuvirtide (T-20): a novel human immunodeficiency virus type 1 fusion inhibitor. Clin. Infect. Dis. 2003, 37, 1102–1106. [Google Scholar] [PubMed]
- Xu, G.G.; Guo, J.; Wu, Y. Chemokine receptor CCR5 antagonist maraviroc: medicinal chemistry and clinical applications. Curr. Top. Med. Chem. 2014, 14, 1504–1514. [Google Scholar] [CrossRef] [PubMed]
- Zhu, T.; Mo, H.; Wang, N.; Nam, D.S.; Cao, Y.; Koup, R.A.; Ho, D.D. Genotypic and phenotypic characterization of HIV-1 patients with primary infection. Science 1993, 261, 1179–1181. [Google Scholar] [CrossRef] [PubMed]
- Schuitemaker, H.; Koot, M.; Kootstra, N.A.; Dercksen, M.W.; de Goede, R.E.; van Steenwijk, R.P.; Lange, J.M.; Schattenkerk, J.K.; Miedema, F.; Tersmette, M. Biological phenotype of human immunodeficiency virus type 1 clones at different stages of infection: progression of disease is associated with a shift from monocytotropic to T–cell-tropic virus population. J. Virol. 1992, 66, 1354–1360. [Google Scholar] [PubMed]
- Clapham, P.R.; Reeves, J.D.; Simmons, G.; Dejucq, N.; Hibbitts, S.; McKnight, A. HIV coreceptors, cell tropism and inhibition by chemokine receptor ligands. Mol. Membr. Biol. 1999, 16, 49–55. [Google Scholar] [CrossRef] [PubMed]
- Crump, M.P.; Gong, J.H.; Loetscher, P.; Rajarathnam, K.; Amara, A.; Arenzana-Seisdedos, F.; Virelizier, J.L.; Baggiolini, M.; Sykes, B.D.; Clark-Lewis, I. Solution structure and basis for functional activity of stromal cell-derived factor-1; dissociation of CXCR4 activation from binding and inhibition of HIV-1. Embo J. 1997, 16, 6996–7007. [Google Scholar] [CrossRef] [PubMed]
- Didigu, C.A.; Doms, R.W. Novel approaches to inhibit HIV entry. Viruses 2012, 4, 309–324. [Google Scholar] [CrossRef] [PubMed]
- Berg, C.; Daugvilaite, V.; Steen, A.; Jorgensen, A.S.; Vabeno, J.; Rosenkilde, M.M. Inhibition of HIV Fusion by Small Molecule Agonists through Efficacy-Engineering of CXCR4. ACS Chem. Biol. 2018, 13, 881–886. [Google Scholar] [CrossRef]
- Bleul, C.C.; Farzan, M.; Choe, H.; Parolin, C.; Clark-Lewis, I.; Sodroski, J.; Springer, T.A. The lymphocyte chemoattractant SDF-1 is a ligand for LESTR/fusin and blocks HIV-1 entry. Nature 1996, 382, 829–833. [Google Scholar] [CrossRef]
- Janssens, R.; Struyf, S.; Proost, P. The unique structural and functional features of CXCL12. Cell. Mol. Immunol. 2018, 15, 299–311. [Google Scholar] [CrossRef]
- Sakyiamah, M.M.; Kobayakawa, T.; Fujino, M.; Konno, M.; Narumi, T.; Tanaka, T.; Nomura, W.; Yamamoto, N.; Murakami, T.; Tamamura, H. Design, synthesis and biological evaluation of low molecular weight CXCR4 ligands. Bioorg. Med. Chem. 2019, 27, 1130–1138. [Google Scholar] [CrossRef] [PubMed]
- Tudan, C.; Willick, G.E.; Chahal, S.; Arab, L.; Law, P.; Salari, H.; Merzouk, A. C-terminal cyclization of an SDF-1 small peptide analogue dramatically increases receptor affinity and activation of the CXCR4 receptor. J. Med. Chem. 2002, 45, 2024–2031. [Google Scholar] [CrossRef] [PubMed]
- Dettin, M.; Scarinci, C.; Pasquato, A.; Di Bello, C. Synthetic peptides for study of human immunodeficiency virus infection. Appl. Biochem. Biotechnol. 2002, 102–103, 41–47. [Google Scholar] [CrossRef]
- Mona, C.E.; Besserer-Offroy, E.; Cabana, J.; Leduc, R.; Lavigne, P.; Heveker, N.; Marsault, E.; Escher, E. Design, synthesis and biological evaluation of CXCR4 ligands. Org. Biomol. Chem. 2016, 14, 10298–10311. [Google Scholar] [CrossRef] [PubMed]
- Tan, Y.; Du, J.; Cai, S.; Li, X.; Ma, W.; Guo, Z.; Chen, H.; Huang, Z.; Xiao, J.; Cai, L.; et al. Cloning and characterizing mutated human stromal cell-derived factor-1 (SDF-1): C-terminal alpha-helix of SDF-1alpha plays a critical role in CXCR4 activation and signaling, but not in CXCR4 binding affinity. Exp. Hematol. 2006, 34, 1553–1562. [Google Scholar] [CrossRef] [PubMed]
- Jiang, S.B.; Lin, K.; Neurath, A.R. Enhancement of human immunodeficiency virus type 1 infection by antisera to peptides from the envelope glycoproteins gp120/gp41. J. Exp. Med. 1991, 174, 1557–1563. [Google Scholar] [CrossRef] [PubMed]
- Jiang, S.; Lu, H.; Liu, S.; Zhao, Q.; He, Y.; Debnath, A.K. N-substituted pyrrole derivatives as novel human immunodeficiency virus type 1 entry inhibitors that interfere with the gp41 six-helix bundle formation and block virus fusion. Antimicrob. Agents Chemother. 2004, 48, 4349–4359. [Google Scholar] [CrossRef] [PubMed]
- Zhu, Y.; Zhang, X.; Ding, X.; Chong, H.; Cui, S.; He, J.; Wang, X.; He, Y. Exceptional potency and structural basis of a T1249-derived lipopeptide fusion inhibitor against HIV-1, HIV-2 and simian immunodeficiency virus. J. Biol. Chem. 2018, 293, 5323–5334. [Google Scholar] [CrossRef] [PubMed]
- Chou, T.C.; Talalay, P. Quantitative analysis of dose-effect relationships: the combined effects of multiple drugs or enzyme inhibitors. Adv. Enzyme Regul. 1984, 22, 27–55. [Google Scholar] [CrossRef]
- Li, L.; He, L.; Tan, S.; Guo, X.; Lu, H.; Qi, Z.; Pan, C.; An, X.; Jiang, S.; Liu, S. 3-hydroxyphthalic anhydride-modified chicken ovalbumin exhibits potent and broad anti-HIV-1 activity: a potential microbicide for preventing sexual transmission of HIV-1. Antimicrob. Agents Chemother. 2010, 54, 1700–1711. [Google Scholar] [CrossRef]
- Li, M.; Duan, J.; Qiu, J.; Yu, F.; Che, X.; Jiang, S.; Li, L. 3-hydroxyphthalic anhydride-modified human serum albumin as a microbicide candidate against HIV type 1 entry by targeting both viral envelope glycoprotein gp120 and cellular receptor CD4. AIDS Res. Hum. Retrovir. 2013, 29, 1455–1464. [Google Scholar] [CrossRef] [PubMed]
- Qiu, J.; Liang, T.; Wu, J.; Yu, F.; He, X.; Tian, Y.; Xie, L.; Jiang, S.; Liu, S.; Li, L. N-Substituted Pyrrole Derivative 12m Inhibits HIV-1 Entry by Targeting Gp41 of HIV-1 Envelope Glycoprotein. Front. Pharmacol. 2019, 10, 859. [Google Scholar] [CrossRef]
- Lu, H.; Zhao, Q.; Xu, Z.; Jiang, S. Automatic quantitation of HIV-1 mediated cell-to–cell fusion with a digital image analysis system (DIAS): application for rapid screening of HIV-1 fusion inhibitors. J. Virol. Methods 2003, 107, 155–161. [Google Scholar] [CrossRef]
- Pan, C.; Cai, L.; Lu, H.; Qi, Z.; Jiang, S. Combinations of the first and next generations of human immunodeficiency virus (HIV) fusion inhibitors exhibit a highly potent synergistic effect against enfuvirtide- sensitive and -resistant HIV type 1 strains. J. Virol. 2009, 83, 7862–7872. [Google Scholar] [CrossRef] [PubMed]
- Chou, T.C. Theoretical basis, experimental design and computerized simulation of synergism and antagonism in drug combination studies. Pharmacol. Rev. 2006, 58, 621–681. [Google Scholar] [CrossRef] [PubMed]
- Xun, T.; Li, W.; Chen, J.; Yu, F.; Xu, W.; Wang, Q.; Yu, R.; Li, X.; Zhou, X.; Lu, L.; et al. ADS-J1 inhibits semen-derived amyloid fibril formation and blocks fibril-mediated enhancement of HIV-1 infection. Antimicrob. Agents Chemother. 2015, 59, 5123–5134. [Google Scholar] [CrossRef] [PubMed]
- Tong, P.; Lu, Z.; Chen, X.; Wang, Q.; Yu, F.; Zou, P.; Yu, X.; Li, Y.; Lu, L.; Chen, Y.H.; et al. An engineered HIV-1 gp41 trimeric coiled coil with increased stability and anti-HIV-1 activity: implication for developing anti-HIV microbicides. J. Antimicrob. Chemother. 2013, 68, 2533–2544. [Google Scholar] [CrossRef]
- Zhou, X.; Fang, W.; Tan, S.; Lin, X.; Xun, T.; Yang, B.; Liu, S.; Liu, Y. Aspernigrins with anti-HIV-1 activities from the marine-derived fungus Aspergillus niger SCSIO Jcsw6F30. Bioorg. Med. Chem. Lett. 2016, 26, 361–365. [Google Scholar] [CrossRef]
- Neurath, A.R.; Strick, N.; Li, Y.Y. Role of seminal plasma in the anti-HIV-1 activity of candidate microbicides. BMC Infect. Dis. 2006, 6, 150. [Google Scholar] [CrossRef]
- Zirafi, O.; Kim, K.A.; Roan, N.R.; Kluge, S.F.; Müller, J.A.; Jiang, S.; Mayer, B.; Greene, W.C.; Kirchhoff, F.; Münch, J. Semen enhances HIV infectivity and impairs the antiviral efficacy of microbicides. Sci. Transl. Med. 2014, 6, 157r–262r. [Google Scholar] [CrossRef]
- Cai, S.H.; Tan, Y.; Ren, X.D.; Li, X.H.; Cai, S.X.; Du, J. Loss of C-terminal alpha-helix decreased SDF-1alpha-mediated signaling and chemotaxis without influencing CXCR4 internalization. Acta Pharmacol. Sin. 2004, 25, 152–160. [Google Scholar] [PubMed]
- Zirafi, O.; Hermann, P.C.; Munch, J. Proteolytic processing of human serum albumin generates EPI-X4, an endogenous antagonist of CXCR4. J. Leukoc. Biol. 2016, 99, 863–868. [Google Scholar] [CrossRef] [PubMed]
- Kurosawa, M.; Arakaki, R.; Yamada, A.; Tsunematsu, T.; Kudo, Y.; Sprent, J.; Ishimaru, N. NF-kappaB2 Controls the Migratory Activity of Memory T Cells by Regulating Expression of CXCR4 in a Mouse Model of Sjogren’s Syndrome. Arthritis Rheumatol. 2017, 69, 2193–2202. [Google Scholar] [CrossRef] [PubMed]
- Tzeng, Y.S.; Li, H.; Kang, Y.L.; Chen, W.C.; Cheng, W.C.; Lai, D.M. Loss of Cxcl12/Sdf-1 in adult mice decreases the quiescent state of hematopoietic stem/progenitor cells and alters the pattern of hematopoietic regeneration after myelosuppression. Blood 2011, 117, 429–439. [Google Scholar] [CrossRef] [PubMed]
- Ozawa, P.M.; Ariza, C.B.; Ishibashi, C.M.; Fujita, T.C.; Banin-Hirata, B.K.; Oda, J.M.; Watanabe, M.A. Role of CXCL12 and CXCR4 in normal cerebellar development and medulloblastoma. Int. J. Cancer 2016, 138, 10–13. [Google Scholar] [CrossRef] [PubMed]
- Doring, Y.; Noels, H.; van der Vorst, E.; Neideck, C.; Egea, V.; Drechsler, M.; Mandl, M.; Pawig, L.; Jansen, Y.; Schroder, K.; et al. Vascular CXCR4 Limits Atherosclerosis by Maintaining Arterial Integrity: Evidence From Mouse and Human Studies. Circulation 2017, 136, 388–403. [Google Scholar] [CrossRef]
- Song, Z.Y.; Wang, F.; Cui, S.X.; Qu, X.J. Knockdown of CXCR4 Inhibits CXCL12-Induced Angiogenesis in HUVECs through Downregulation of the MAPK/ERK and PI3K/AKT and the Wnt/beta-Catenin Pathways. Cancer Investig. 2018, 36, 10–18. [Google Scholar] [CrossRef]
- Rossi, F.W.; Prevete, N.; Rivellese, F.; Lobasso, A.; Napolitano, F.; Granata, F.; Selleri, C.; de Paulis, A. HIV-1 Nef promotes migration and chemokine synthesis of human basophils and mast cells through the interaction with CXCR4. Clin. Mol. Allergy 2016, 14, 15. [Google Scholar] [CrossRef][Green Version]
- Khorramdelazad, H.; Bagheri, V.; Hassanshahi, G.; Zeinali, M.; Vakilian, A. New insights into the role of stromal cell-derived factor 1 (SDF-1/CXCL12) in the pathophysiology of multiple sclerosis. J. Neuroimmunol. 2016, 290, 70–75. [Google Scholar] [CrossRef]
- Cheng, Y.; Song, Y.; Qu, J.; Che, X.; Song, N.; Fan, Y.; Wen, T.; Xu, L.; Gong, J.; Wang, X.; et al. The Chemokine Receptor CXCR4 and c-MET Cooperatively Promote Epithelial-Mesenchymal Transition in Gastric Cancer Cells. Transl. Oncol. 2018, 11, 487–497. [Google Scholar] [CrossRef]
- Guo, H.; Ge, Y.; Li, X.; Yang, Y.; Meng, J.; Liu, J.; Wang, C.; Xu, H. Targeting the CXCR4/CXCL12 axis with the peptide antagonist E5 to inhibit breast tumor progression. Signal Transduct. Target Ther. 2017, 2, 17033. [Google Scholar] [CrossRef] [PubMed]
- Meuris, F.; Jaracz-Ros, A.; Gaudin, F.; Schlecht-Louf, G.; Deback, C.; Bachelerie, F. The CXCL12/CXCR4 signaling pathway in the control of human papillomavirus infection: new susceptibility factors in viral pathogenesis. Med. Sci. (Paris) 2017, 33, 691–694. [Google Scholar] [CrossRef] [PubMed]
- Domanska, U.M.; Kruizinga, R.C.; Nagengast, W.B.; Timmer-Bosscha, H.; Huls, G.; de Vries, E.G.; Walenkamp, A.M. A review on CXCR4/CXCL12 axis in oncology: no place to hide. Eur. J. Cancer 2013, 49, 219–230. [Google Scholar] [CrossRef] [PubMed]
- Fernandis, A.Z.; Cherla, R.P.; Chernock, R.D.; Ganju, R.K. CXCR4/CCR5 down-modulation and chemotaxis are regulated by the proteasome pathway. J. Biol. Chem. 2002, 277, 18111–18117. [Google Scholar] [CrossRef] [PubMed]
- Nevins, A.M.; Marchese, A. Detecting Cell Surface Expression of the G Protein-Coupled Receptor CXCR4. Methods Mol. Biol. 2018, 1722, 151–164. [Google Scholar] [PubMed]
- Zhou, N.; Luo, Z.; Luo, J.; Fan, X.; Cayabyab, M.; Hiraoka, M.; Liu, D.; Han, X.; Pesavento, J.; Dong, C.Z.; et al. Exploring the stereochemistry of CXCR4-peptide recognition and inhibiting HIV-1 entry with D-peptides derived from chemokines. J. Biol. Chem. 2002, 277, 17476–17485. [Google Scholar] [CrossRef] [PubMed]









| Virus Strain | IC50 (nM) a of | |
|---|---|---|
| SDF-1/54 | AMD3100 | |
| HIV-1 NL4-3 | 164.01 ± 14.40 | 16.97 ± 4.05 |
| HIV-1 ⅢB | 156.25 ± 23.05 | 52.16 ± 8.00 |
| Virus Strain | Target Cells | IC50 (nM) a of | |
|---|---|---|---|
| SDF-1/54 | AMD3100 | ||
| HIV-1 NL4-3 | MT-2 | 102.84 ± 15.56 | 113.58 ± 18.23 |
| HIV-1 IIIB | MT-2 | 113.37 ± 23.23 | 43.16 ± 6.75 |
| HIV-1 NL4-3 | PBMC | 41.81 ± 13.73 | 12.44 ± 4.61 |
| Virus Strain | IC50 (nM) a of | |
|---|---|---|
| SDF-1/54 | AMD3100 | |
| BK132/GS009 (B, X4) | 66.21 ± 27.00 nM | 15.52 ± 6.02 nM |
| 93BR020 (F,X4/R5) | 91.63 ± 19.00 nM | >250.00 nM |
| BZ167/GS010 (B,X4) | 54.90 ± 21.00 nM | 32.10 ± 13.00 nM |
| Virus strain | IC50 (nM) a of | |||
|---|---|---|---|---|
| SDF-1/54 | AMD3100 | T20 | T1144 | |
| T1144-7 | 95.19 ± 30.55 | 14.74 ± 9.36 | ND b | ND |
| T1144-5 | 84.09 ± 20.10 | 6.76 ± 9.76 | ND | 61.29 ± 12.83 |
| T20-9496 | 127.29 ± 12.35 | 30.06 ± 1.74 | 2266.17 ± 521.34 | ND |
| T20-9489 | 60.29 ± 8.43 | 9.45 ± 0.82 | ND | ND |
| Cell Lines | Cell Type | CC50 |
|---|---|---|
| CEMx174 5.25M7 Jurkat | Infection target cells | >3000 nM |
| MT-2 | ||
| TZM-b1 | ||
| PBMCs | ||
| Siha | Vaginal epithelial cells | |
| Hela | ||
| HEC-1-A | ||
| HEC-1-B | ||
| Ect/E6E7 |
| Drug Combination, % Inhibitory Conc. (Molar Ratio) | CI b | Mean Value for a: | |||||
|---|---|---|---|---|---|---|---|
| SDF-1/54 | ARVs | ||||||
| Conc. (nM) | Dose Reduction | Conc. (nM) | Dose Reduction | ||||
| Alone | Mixture | Alone | Mixture | ||||
| SDF-1/54:AZT (200:1) | |||||||
| 50 | 0.537 | 78.01 | 32.74 | 2.38 | 1.40 | 0.16 | 8.51 |
| 90 | 0.379 | 222.41 | 77.25 | 2.88 | 12.23 | 0.39 | 31.69 |
| SDF-1/54:TNF (1:5) | |||||||
| 50 | 0.382 | 180.06 | 55.79 | 3.23 | 3854.03 | 278.94 | 13.82 |
| 90 | 0.722 | 413.89 | 279.57 | 1.48 | 29772.00 | 1397.84 | 21.30 |
| SDF-1/54:RAL (60:1) | |||||||
| 50 | 0.643 | 198.15 | 74.88 | 2.65 | 1.37 | 1.25 | 1.10 |
| 90 | 0.420 | 277.09 | 105.78 | 2.62 | 25.39 | 4.62 | 5.50 |
| SDF-1/54:NVP (10:1) | |||||||
| 50 | 0.452 | 78.01 | 32.74 | 2.38 | 33.34 | 2.85 | 11.68 |
| 90 | 0.288 | 222.41 | 77.25 | 2.88 | 146.74 | 5.55 | 26.43 |
| SDF-1/54:TMC120 (30:1) | |||||||
| 50 | 0.683 | 118.37 | 57.93 | 2.04 | 9.97 | 1.93 | 5.16 |
| 90 | 0.401 | 344.40 | 90.30 | 3.81 | 21.67 | 3.01 | 7.20 |
| Drug Combination, % Inhibitory Conc. (Molar Ratio) | CI b | Mean Value for a: | |||||
|---|---|---|---|---|---|---|---|
| SDF-1/54 | ARVs | ||||||
| Conc. (nM) | Dose Reduction | Conc. (nM) | Dose Reduction | ||||
| Alone | Mixture | Alone | Mixture | ||||
| SDF-1/54:AZT (37.5:1) | |||||||
| 50 | 0.362 | 149.39 | 12.41 | 12.04 | 1.19 | 0.33 | 3.59 |
| 90 | 0.232 | 227.88 | 33.83 | 6.74 | 10.79 | 0.90 | 11.96 |
| SDF-1/54:RAL (30:1) | |||||||
| 50 | 0.269 | 41.55 | 10.38 | 4.00 | 17.82 | 0.35 | 51.51 |
| 90 | 0.204 | 114.04 | 20.66 | 5.52 | 29.75 | 0.69 | 43.18 |
| SDF-1/54:NVP (10:1) | |||||||
| 50 | 0.312 | 149.39 | 39.19 | 3.81 | 79.34 | 3.92 | 18.71 |
| 90 | 0.219 | 227.88 | 46.92 | 4.86 | 348.14 | 4.69 | 74.20 |
| SDF-1/54:TMC120 (15:1) | |||||||
| 50 | 0.327 | 41.55 | 10.28 | 4.04 | 8.57 | 0.69 | 12.50 |
| 90 | 0.244 | 114.04 | 18.40 | 6.20 | 14.90 | 1.23 | 12.14 |
© 2019 by the authors. Licensee MDPI, Basel, Switzerland. This article is an open access article distributed under the terms and conditions of the Creative Commons Attribution (CC BY) license (http://creativecommons.org/licenses/by/4.0/).
Share and Cite
Tan, S.; Li, W.; Li, Z.; Li, Y.; Luo, J.; Yu, L.; Yang, J.; Qiu, M.; Cheng, H.; Xu, W.; et al. A Novel CXCR4 Targeting Protein SDF-1/54 as an HIV-1 Entry Inhibitor. Viruses 2019, 11, 874. https://doi.org/10.3390/v11090874
Tan S, Li W, Li Z, Li Y, Luo J, Yu L, Yang J, Qiu M, Cheng H, Xu W, et al. A Novel CXCR4 Targeting Protein SDF-1/54 as an HIV-1 Entry Inhibitor. Viruses. 2019; 11(9):874. https://doi.org/10.3390/v11090874
Chicago/Turabian StyleTan, Suiyi, Wenjuan Li, Zhaofeng Li, Yujing Li, Jiangyan Luo, Liangzhentian Yu, Jie Yang, Mengjie Qiu, Hongyan Cheng, Wei Xu, and et al. 2019. "A Novel CXCR4 Targeting Protein SDF-1/54 as an HIV-1 Entry Inhibitor" Viruses 11, no. 9: 874. https://doi.org/10.3390/v11090874
APA StyleTan, S., Li, W., Li, Z., Li, Y., Luo, J., Yu, L., Yang, J., Qiu, M., Cheng, H., Xu, W., Jiang, S., Lu, L., Liu, S., & Ma, W. (2019). A Novel CXCR4 Targeting Protein SDF-1/54 as an HIV-1 Entry Inhibitor. Viruses, 11(9), 874. https://doi.org/10.3390/v11090874

