Effects of Burn Severity and Environmental Conditions on Post-Fire Regeneration in Siberian Larch Forest
Abstract
:1. Introduction
2. Materials and Methods
2.1. Study Area
2.2. Datasets and Preprocessing
2.3. Indicators of Vegetation Response after Fire
2.4. Exploring Drivers of Post-Fire Forest Pattern
2.4.1. Pre- and Post-Fire Forest Condition
2.4.2. Topographic Variables
2.4.3. Local Landscape Variables
2.5. Modeling Post-Fire Forest Pattern
3. Results
3.1. Calculation of Drivers
3.1.1. Pre- and Post-Fire Vegetation Conditions
3.1.2. Topographic and Local Landscape Variables
3.2. Modeling Post-Fire Forest Recovery
3.2.1. Modeling FVC Based Vegetation Recovery
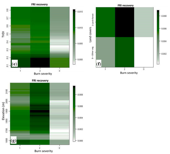
3.2.2. Modeling FRI Based Forest Regeneration
4. Discussion
4.1. Influence of Burn Severity on Post-Fire Vegetation Response
4.2. Influence of Other Environmental Factors on Post-Fire Vegetation Response
4.3. Implications for Post-Fire Forest Succession and Forest Management
5. Conclusions
Acknowledgments
Author Contributions
Conflicts of Interest
References
- Dulamsuren, C.; Hauck, M.; Khishigjargal, M.; Leuschner, H.H.; Leuschner, C. Diverging climate trends in mongolian taiga forests influence growth and regeneration of larix sibirica. Oecologia 2010, 163, 1091–1102. [Google Scholar] [CrossRef] [PubMed]
- Otoda, T.; Doi, T.; Sakamoto, K.; Hirobe, M.; Nachin, B.; Yoshikawa, K. Frequent fires may alter the future composition of the boreal forest in northern Mongolia. J. For. Res. 2013, 18, 246–255. [Google Scholar] [CrossRef]
- James, T.M. Temperature sensitivity and recruitment dynamics of siberian larch (larix sibirica) and siberian spruce (picea obovata) in northern Mongolia’s boreal forest. For. Ecol. Manag. 2011, 262, 629–636. [Google Scholar] [CrossRef]
- Dulamsuren, C.; Hauck, M.; Leuschner, C. Recent drought stress leads to growth reductions in larix sibirica in the western khentey, mongolia. Glob. Chang. Biol. 2010, 16, 3024–3035. [Google Scholar] [CrossRef]
- Barrett, K.; McGuire, A.; Hoy, E.; Kasischke, E. Potential shifts in dominant forest cover in interior alaska driven by variations in fire severity. Ecol. Appl. 2011, 21, 2380–2396. [Google Scholar] [CrossRef] [PubMed]
- Shenoy, A.; Johnstone, J.F.; Kasischke, E.S.; Kielland, K. Persistent effects of fire severity on early successional forests in interior alaska. For. Ecol. Manag. 2011, 261, 381–390. [Google Scholar] [CrossRef]
- French, N.H.F.; Kasischke, E.S.; Hall, R.J.; Murphy, K.A.; Verbyla, D.L.; Hoy, E.E.; Allen, J.L. Using landsat data to assess fire and burn severity in the north American boreal forest region: An overview and summary of results. Int. J. Wildland Fire 2008, 17, 443–462. [Google Scholar] [CrossRef]
- Cai, W.; Yang, J.; Liu, Z.; Hu, Y.; Weisberg, P.J. Post-fire tree recruitment of a boreal larch forest in northeast China. For. Ecol. Manag. 2013, 307, 20–29. [Google Scholar] [CrossRef]
- Johnstone, J.; Chapin, F., III. Fire interval effects on successional trajectory in boreal forests of northwest Canada. Ecosystems 2006, 9, 268–277. [Google Scholar] [CrossRef]
- Veilleux-Nolin, M.; Payette, S. Influence of recent fire season and severity on black spruce regeneration in spruce–moss forests of Quebec, Canada. Can. J. For. Res. 2012, 42, 1316–1327. [Google Scholar] [CrossRef]
- Dulamsuren, C.; Wommelsdorf, T.; Zhao, F.; Xue, Y.; Zhumadilov, B.Z.; Leuschner, C.; Hauck, M. Increased summer temperatures reduce the growth and regeneration of larix sibirica in southern boreal forests of eastern Kazakhstan. Ecosystems 2013, 16, 1536–1549. [Google Scholar] [CrossRef]
- Chu, T.; Guo, X. Remote sensing techniques in monitoring post-fire effects and patterns of forest recovery in boreal forest regions: A review. Remote Sens. 2013, 6, 470–520. [Google Scholar] [CrossRef]
- Ireland, G.; Petropoulos, G.P. Exploring the relationships between post-fire vegetation regeneration dynamics, topography and burn severity: A case study from the montane cordillera ecozones of western Canada. Appl. Geogr. 2015, 56, 232–248. [Google Scholar] [CrossRef]
- Petropoulos, G.P.; Griffiths, H.M.; Kalivas, D.P. Quantifying spatial and temporal vegetation recovery dynamics following a wildfire event in a Mediterranean landscape using Eo data and GIS. Appl. Geogr. 2014, 50, 120–131. [Google Scholar] [CrossRef]
- Malak, D.A.; Pausas, J.G.; Pardo-Pascual, J.E.; Ruiz, L.A. Fire recurrence and the dynamics of the enhanced vegetation index in a Mediterranean ecosystem. Int. J. Appl. Geospat. Res. 2015, 6, 18–35. [Google Scholar] [CrossRef]
- Frolking, S.; Palace, M.; Clark, D.; Chambers, J.; Shugart, H.; Hurtt, G. Forest disturbance and recovery: A general review in the context of spaceborne remote sensing of impacts on aboveground biomass and canopy structure. J. Geophys. Res. 2009, 114, G00E02. [Google Scholar] [CrossRef]
- Buma, B. Evaluating the utility and seasonality of ndvi values for assessing post-disturbance recovery in a subalpine forest. Environ. Monit. Assess. 2012, 184, 3849–3860. [Google Scholar] [CrossRef] [PubMed]
- Fernandez-Manso, A.; Quintano, C.; Roberts, D.A. Burn severity influence on post-fire vegetation cover resilience from landsat mesma fraction images time series in Mediterranean forest ecosystems. Remote Sens. Environ. 2016, 184, 112–123. [Google Scholar] [CrossRef]
- Gitelson, A.A.; Kaufman, Y.J.; Stark, R.; Rundquist, D. Novel algorithms for remote estimation of vegetation fraction. Remote Sens. Environ. 2002, 80, 76–87. [Google Scholar] [CrossRef]
- Vila, J.P.S.; Barbosa, P. Post-fire vegetation regrowth detection in the deiva marina region (liguria-italy) using landsat tm and etm+ data. Ecol. Model. 2010, 221, 75–84. [Google Scholar] [CrossRef]
- Huang, C.; Song, K.; Kim, S.; Townshend, J.R.; Davis, P.; Masek, J.G.; Goward, S.N. Use of a dark object concept and support vector machines to automate forest cover change analysis. Remote Sens. Environ. 2008, 112, 970–985. [Google Scholar] [CrossRef]
- Huang, C.; Goward, S.N.; Schleeweis, K.; Thomas, N.; Masek, J.G.; Zhu, Z. Dynamics of national forests assessed using the landsat record: Case studies in eastern united states. Remote Sens. Environ. 2009, 113, 1430–1442. [Google Scholar] [CrossRef]
- Chu, T.; Guo, X.; Takeda, K. Remote sensing approach to detect post-fire vegetation regrowth in siberian boreal larch forest. Ecol. Indic. 2016, 62, 32–46. [Google Scholar] [CrossRef]
- Tsogtbaatar, J. Deforestation and reforestation needs in mongolia. For. Ecol. Manag. 2004, 201, 57–63. [Google Scholar] [CrossRef]
- Zyryanova, O.; Abaimov, A.; Bugaenko, T.; Bugaenko, N. Recovery of forest vegetation after fire disturbance. In Permafrost Ecosystems; Springer: Berlin/Heidelberg, Germany, 2010; pp. 83–96. [Google Scholar]
- Farukh, M.A.; Hayasaka, H.; Mishigdorj, O. Recent tendency of mongolian wildland fire incidence: Analysis using modis hotspot and weather data. J. Nat. Disaster Sci. 2009, 31, 23–33. [Google Scholar] [CrossRef]
- International Forest Fire News. The forest fire situation in mongolia. Int. For. Fire News 2007, 36, 46–66. [Google Scholar]
- Takeda, K.; Torita, H.; Nobori, Y.; Lopez, C.M.L.; Itoh, J. Regeneration in burned larch forests of hovsgol region, northern Mongolia. In Multidisciplinary Research on Mongolian Ecosystems: Conference Proceedings from Second International Symposium by Japan and Mongolia; Japan Society of Forest Planning Press: Niigata, Japan, 2013. [Google Scholar]
- Chu, T.; Guo, X.; Takeda, K. Temporal dependence of burn severity assessment in siberian larch (larix sibirica) forest of northern Mongolia using remotely sensed data. Int. J. Wildland Fire 2016, 25, 685–698. [Google Scholar] [CrossRef]
- USGS Global Visualization Viewer. Avalable online: http://glovis.usgs.gov/ (accessed on 15 May 2013).
- Schroeder, T.A.; Cohen, W.B.; Song, C.; Canty, M.J.; Yang, Z. Radiometric correction of multi-temporal landsat data for characterization of early successional forest patterns in western Oregon. Remote Sens. Environ. 2006, 103, 16–26. [Google Scholar] [CrossRef]
- Canty, M.J.; Nielsen, A.A. Automatic radiometric normalization of multitemporal satellite imagery with the iteratively re-weighted mad transformation. Remote Sens. Environ. 2008, 112, 1025–1036. [Google Scholar] [CrossRef]
- Richter, R. A fast atmospheric correction algorithm applied to landsat tm images. Int. J. Remote Sens. 1990, 11, 159–166. [Google Scholar] [CrossRef]
- SRTM. Avalable online: http://earthexplorer.usgs.gov/ (accessed on 30 April 2014).
- Carlson, T.N.; Ripley, D.A. On the relation between ndvi, fractional vegetation cover, and leaf area index. Remote Sens. Environ. 1997, 62, 241–252. [Google Scholar] [CrossRef]
- Wittich, K.; Hansing, O. Area-averaged vegetative cover fraction estimated from satellite data. Int. J. Biometeorol. 1995, 38, 209–215. [Google Scholar] [CrossRef]
- Yang, G.; Pu, R.; Zhang, J.; Zhao, C.; Feng, H.; Wang, J. Remote sensing of seasonal variability of fractional vegetation cover and its object-based spatial pattern analysis over mountain areas. ISPRS J. Photogramm. Remote Sens. 2013, 77, 79–93. [Google Scholar] [CrossRef]
- Tucker, C.J. Red and photographic infrared linear combinations for monitoring vegetation. Remote Sens. Environ. 1979, 8, 127–150. [Google Scholar] [CrossRef]
- Keeley, J.E.; Keeley, M.B.; Bond, W.J. Stem demography and post-fire recruitment of a resprouting serotinous conifer. J. Veg. Sci. 1999, 10, 69–76. [Google Scholar] [CrossRef]
- Turner, M.G.; Romme, W.H.; Gardner, R.H. Prefire heterogeneity, fire severity, and early postfire plant reestablishment in subalpine forests of yellowstone national park, wyoming. Int. J. Wildland Fire 1999, 9, 21–36. [Google Scholar] [CrossRef]
- Pausas, J.; Ribeiro, E.; Vallejo, R. Post-fire regeneration variability of pinus halepensis in the eastern Iberian Peninsula. For. Ecol. Manag. 2004, 203, 251–259. [Google Scholar] [CrossRef]
- Shive, K.L.; Kuenzi, A.M.; Sieg, C.H.; Fulé, P.Z. Pre-fire fuel reduction treatments influence plant communities and exotic species 9 years after a large wildfire. Appl. Veg. Sci. 2013, 16, 457–469. [Google Scholar] [CrossRef]
- Lee, J.-M.; Lee, S.-W.; Lim, J.-H.; Won, M.-S.; Lee, H.-S. Effects of heterogeneity of pre-fire forests and vegetation burn severity on short-term post-fire vegetation density and regeneration in Samcheok, Korea. Landsc. Ecol. Eng. 2014, 10, 215–228. [Google Scholar] [CrossRef]
- Lozano, F.J.; Suárez-Seoane, S.; de Luis-Calabuig, E. Does fire regime affect both temporal patterns and drivers of vegetation recovery in a resilient Mediterranean landscape? A remote sensing approach at two observation levels. Int. J. Wildland Fire 2012, 21, 666–679. [Google Scholar] [CrossRef]
- Johnstone, J.F.; Kasischke, E.S. Stand-level effects of soil burn severity on postfire regeneration in a recently burned black spruce forest. Can. J. For. Res. 2005, 35, 2151–2163. [Google Scholar] [CrossRef]
- Pettorelli, N.; Vik, J.O.; Mysterud, A.; Gaillard, J.-M.; Tucker, C.J.; Stenseth, N.C. Using the satellite-derived ndvi to assess ecological responses to environmental change. Trends Ecol. Evol. 2005, 20, 503–510. [Google Scholar] [CrossRef] [PubMed]
- Lentile, L.B.; Holden, Z.A.; Smith, A.M.S.; Falkowski, M.J.; Hudak, A.T.; Morgan, P.; Lewis, S.A.; Gessler, P.E.; Benson, N.C. Remote sensing techniques to assess active fire characteristics and post-fire effects. Int. J. Wildland Fire 2006, 15, 319–345. [Google Scholar] [CrossRef]
- Key, C.H.; Benson, N.C. Landscape Assessment: Ground Measure of Severity, the Composite Burn Index; and Remote Sensing of Severity, the Normalized Burn Ratio; Lutes, D.C., Keane, R.E., Caratti, J.F., Key, C.H., Benson, N.C., Sutherland, S., Gangi, L.J., Eds.; General Techincal Report RMRS-GTR-164-CD: LA; USDA Forest Service, Rocky Mountain Research Station: Ogden, UT, USA, 2006; pp. 1–15.
- Johnstone, J.F.; Chapin, F.S., III. Effects of soil burn severity on post-fire tree recruitment in boreal forest. Ecosystems 2006, 9, 14–31. [Google Scholar] [CrossRef]
- Kasischke, E.S.; Johnstone, J.F. Variation in postfire organic layer thickness in a black spruce forest complex in interior alaska and its effects on soil temperature and moisture. Can. J. For. Res. 2005, 35, 2164–2177. [Google Scholar] [CrossRef]
- Kasischke, E.S.; Bourgeau-Chavez, L.L.; Johnstone, J.F. Assessing spatial and temporal variations in surface soil moisture in fire-disturbed black spruce forests in interior alaska using spaceborne synthetic aperture radar imagery—Implications for post-fire tree recruitment. Remote Sens. Environ. 2007, 108, 42–58. [Google Scholar] [CrossRef]
- Sandholt, I.; Rasmussen, K.; Andersen, J. A simple interpretation of the surface temperature/vegetation index space for assessment of surface moisture status. Remote Sens. Environ. 2002, 79, 213–224. [Google Scholar] [CrossRef]
- Wang, C.; Qi, S.; Niu, Z.; Wang, J. Evaluating soil moisture status in china using the temperature-vegetation dryness index (tvdi). Can. J. Remote Sens. 2004, 30, 671–679. [Google Scholar] [CrossRef]
- Chen, J.; Wang, C.; Jiang, H.; Mao, L.; Yu, Z. Estimating soil moisture using temperature–vegetation dryness index (tvdi) in the huang-huai-hai (hhh) plain. Int. J. Remote Sens. 2011, 32, 1165–1177. [Google Scholar] [CrossRef]
- Son, N.T.; Chen, C.F.; Chen, C.R.; Chang, L.Y.; Minh, V.Q. Monitoring agricultural drought in the lower mekong basin using modis ndvi and land surface temperature data. Int. J. Appl. Earth Obs. Geoinf. 2012, 18, 417–427. [Google Scholar] [CrossRef]
- Holzman, M.; Rivas, R.; Piccolo, M. Estimating soil moisture and the relationship with crop yield using surface temperature and vegetation index. Int. J. Appl. Earth Obs. Geoinf. 2014, 28, 181–192. [Google Scholar] [CrossRef]
- Patel, N.; Anapashsha, R.; Kumar, S.; Saha, S.; Dadhwal, V. Assessing potential of modis derived temperature/vegetation condition index (tvdi) to infer soil moisture status. Int. J. Remote Sens. 2009, 30, 23–39. [Google Scholar] [CrossRef]
- Petropoulos, G.; Carlson, T.; Wooster, M.; Islam, S. A review of ts/vi remote sensing based methods for the retrieval of land surface energy fluxes and soil surface moisture. Prog. Phys. Geogr. 2009, 33, 224–250. [Google Scholar] [CrossRef]
- Han, Y.; Wang, Y.; Zhao, Y. Estimating soil moisture conditions of the greater changbai mountains by land surface temperature and ndvi. IEEE Trans. Geosci. Remote Sens. 2010, 48, 2509–2515. [Google Scholar]
- Leon, J.R.R.; van Leeuwen, W.J.D.; Casady, G.M. Using modis-ndvi for the modeling of post-wildfire vegetation response as a function of environmental conditions and pre-fire restoration treatments. Remote Sens. 2012, 4, 598–621. [Google Scholar] [CrossRef]
- Chen, D.; Loboda, T.V.; Krylov, A.; Potapov, P.V. Mapping stand age dynamics of the siberian larch forests from recent landsat observations. Remote Sens. Environ. 2016, 187, 320–331. [Google Scholar] [CrossRef]
- Zhao, F.J.; Shu, L.F.; Wang, M.Y.; Liu, B.; Yang, L.J. Influencing factors on early vegetation restoration in burned area of pinus pumila - larch forest. Acta Ecol. Sin. 2012, 32, 57–61. [Google Scholar] [CrossRef]
- Fu, P.; Rich, P.M. A geometric solar radiation model with applications in agriculture and forestry. Comput. Electron. Agric. 2002, 37, 25–35. [Google Scholar] [CrossRef]
- Meek, D.; Hatfield, J.; Howell, T.; Idso, S.; Reginato, R. A generalized relationship between photosynthetically active radiation and solar radiation. Agron. J. 1984, 76, 939–945. [Google Scholar] [CrossRef]
- Yu, X.; Wu, Z.; Jiang, W.; Guo, X. Predicting daily photosynthetically active radiation from global solar radiation in the contiguous united states. Energy Convers. Manag. 2015, 89, 71–82. [Google Scholar] [CrossRef]
- Oikonomakis, N.; Ganatsas, P. Land cover changes and forest succession trends in a site of natura 2000 network (elatia forest), in northern greece. For. Ecol. Manag. 2012, 285, 153–163. [Google Scholar] [CrossRef]
- Keating, K.A.; Gogan, P.J.; Vore, J.M.; Irby, L.R. A simple solar radiation index for wildlife habitat studies. J. Wildl. Manag. 2007, 71, 1344–1348. [Google Scholar] [CrossRef]
- Fu, P.; Rich, P.M. Design and implementation of the solar analyst: An arcview extension for modeling solar radiation at landscape scales. In Proceedings of the 19th Annual ESRI User Conference, San Diego, CA, USA, 26–30 July 1999; pp. 1–33.
- Fu, B.; Burgher, I. Riparian vegetation ndvi dynamics and its relationship with climate, surface water and groundwater. J. Arid Environ. 2015, 113, 59–68. [Google Scholar] [CrossRef]
- Christopoulou, A.; Fyllas, N.M.; Andriopoulos, P.; Koutsias, N.; Dimitrakopoulos, P.G.; Arianoutsou, M. Post-fire regeneration patterns of pinus nigra in a recently burned area in mount taygetos, southern Greece: The role of unburned forest patches. For. Ecol. Manag. 2014, 327, 148–156. [Google Scholar] [CrossRef]
- Breiman, L. Random forests. Mach. Learn. 2001, 45, 5–32. [Google Scholar] [CrossRef]
- Freeman, E.; Frescino, T.; Freeman, M.E. Package ‘Modelmap’; R Development Team: Vienna, Austria, 2014. [Google Scholar]
- Falkowski, M.J.; Evans, J.S.; Martinuzzi, S.; Gessler, P.E.; Hudak, A.T. Characterizing forest succession with lidar data: An evaluation for the inland northwest, USA. Remote Sens. Environ. 2009, 113, 946–956. [Google Scholar] [CrossRef]
- Freeman, E.A.; Moisen, G.G.; Coulston, J.W.; Wilson, B.T. Random forests and stochastic gradient boosting for predicting tree canopy cover: Comparing tuning processes and model performance. Can. J. For. Res. 2015, 46, 323–339. [Google Scholar] [CrossRef]
- Strobl, C.; Boulesteix, A.-L.; Kneib, T.; Augustin, T.; Zeileis, A. Conditional variable importance for random forests. BMC Bioinform. 2008, 9, 1–11. [Google Scholar] [CrossRef] [PubMed]
- Zuur, A.F.; Ieno, E.N.; Elphick, C.S. A protocol for data exploration to avoid common statistical problems. Methods Ecol. Evol. 2010, 1, 3–14. [Google Scholar] [CrossRef]
- Renard, K.G.; Foster, G.R.; Weesies, G.A.; Porter, J.P. Rusle: Revised universal soil loss equation. J. Soil Water Conserv. 1991, 46, 30–33. [Google Scholar]
- Liu, B.; Nearing, M.; Risse, L. Slope gradient effects on soil loss for steep slopes. Trans. ASAE 1994, 37, 1835–1840. [Google Scholar] [CrossRef]
- Kosmas, C.; Danalatos, N.; Gerontidis, S. The effect of land parameters on vegetation performance and degree of erosion under Mediterranean conditions. Catena 2000, 40, 3–17. [Google Scholar] [CrossRef]
- Epting, J.; Verbyla, D. Landscape-level interactions of prefire vegetation, burn severity, and postfire vegetation over a 16-year period in interior alaska. Can. J. For. Res. 2005, 35, 1367–1377. [Google Scholar] [CrossRef]
- Jin, Y.; Randerson, J.T.; Goetz, S.J.; Beck, P.S.A.; Loranty, M.M.; Goulden, M.L. The influence of burn severity on postfire vegetation recovery and albedo change during early succession in north American boreal forests. J. Geophys. Res. 2012, 117, G01036. [Google Scholar] [CrossRef]
- Johnstone, J.F.; Hollingsworth, T.N.; Chapin, F.S.; Mack, M.C. Changes in fire regime break the legacy lock on successional trajectories in Alaskan boreal forest. Glob. Chang. Biol. 2010, 16, 1281–1295. [Google Scholar] [CrossRef]
- Dorisuren, C. Post-fire successions of the larch forests in Mongolia. In Proceedings of the First International Central Asian Wildland Fire Joint Conference and Consultation, Ulaanbaatar, Mongolia, 2–6 June 2008; p. 24.
- Crotteau, J.S.; Morgan Varner, J., III; Ritchie, M.W. Post-fire regeneration across a fire severity gradient in the southern Cascades. For. Ecol. Manag. 2013, 287, 103–112. [Google Scholar] [CrossRef]
- Goetz, S.J.; Fiske, G.J.; Bunn, A.G. Using satellite time-series data sets to analyze fire disturbance and forest recovery across Canada. Remote Sens. Environ. 2006, 101, 352–365. [Google Scholar] [CrossRef]
- de Groot, W.J.; Cantin, A.S.; Flannigan, M.D.; Soja, A.J.; Gowman, L.M.; Newbery, A. A comparison of Canadian and Russian boreal forest fire regimes. For. Ecol. Manag. 2013, 294, 23–34. [Google Scholar] [CrossRef]
- Dulamsuren, C.; Hauck, M.; Bader, M.; Osokhjargal, D.; Oyungerel, S.; Nyambayar, S.; Runge, M.; Leuschner, C. Water relations and photosynthetic performance in larix sibirica growing in the forest-steppe ecotone of northern Mongolia. Tree Physiol. 2009, 29, 99–110. [Google Scholar] [CrossRef] [PubMed]
- Messier, C.; Doucet, R.; Ruel, J.-C.; Claveau, Y.; Kelly, C.; Lechowicz, M.J. Functional ecology of advance regeneration in relation to light in boreal forests. Can. J. For. Res. 1999, 29, 812–823. [Google Scholar] [CrossRef]
- Givnish, T.J. Adaptation to sun and shade: A whole-plant perspective. Funct. Plant Biol. 1988, 15, 63–92. [Google Scholar] [CrossRef]
- Koike, T.; Mori, S.; Zyryanova, O.; Kajimoto, T.; Matsuura, Y.; Abaimov, A. Photosynthetic characteristics of trees and shrubs growing on the north-and south-facing slopes in central Siberia. In Permafrost Ecosystems; Springer: Berlin/Heidelberg, Germany, 2010; pp. 273–287. [Google Scholar]
- Greene, D.; Noel, J.; Bergeron, Y.; Rousseau, M.; Gauthier, S. Recruitment of picea mariana, pinus banksiana, and populus tremuloides across a burn severity gradient following wildfire in the southern boreal forest of Quebec. Can. J. For. Res. 2004, 34, 1845–1857. [Google Scholar] [CrossRef]
- Chen, H.Y.; Vasiliauskas, S.; Kayahara, G.J.; Ilisson, T. Wildfire promotes broadleaves and species mixture in boreal forest. For. Ecol. Manag. 2009, 257, 343–350. [Google Scholar] [CrossRef]
- Zyryanova, O.A.; Yabarov, V.; Tchikhacheva, T.L.; Koike, T.; Makoto, K.; Matsuura, Y.; Satoh, F.; Zyryanova, V. The structure and biodiversity after fire disturbance in larix gmelinii (rupr.) rupr. Forests, northeastern Asia. Eurasian J For Res 2007, 10, 19–29. [Google Scholar]
- Sofronov, M.; Volokitina, A. Wildfire ecology in continuous permafrost zone. In Permafrost Ecosystems; Springer: Berlin/Heidelberg, Germany, 2010; pp. 59–82. [Google Scholar]
- Bergeron, Y.; Gauthier, S.; Kafka, V.; Lefort, P.; Lesieur, D. Natural fire frequency for the eastern Canadian boreal forest: Consequences for sustainable forestry. Can. J. For. Res. 2001, 31, 384–391. [Google Scholar] [CrossRef]
- Heward, H.; Smith, A.M.; Roy, D.P.; Tinkham, W.T.; Hoffman, C.M.; Morgan, P.; Lannom, K.O. Is burn severity related to fire intensity? Observations from landscape scale remote sensing. Int. J. Wildland Fire 2013, 22, 910–918. [Google Scholar] [CrossRef]
- Veraverbeke, S.; Lhermitte, S.; Verstraeten, W.W.; Goossens, R. The temporal dimension of differenced normalized burn ratio (dnbr) fire/burn severity studies: The case of the large 2007 peloponnese wildfires in greece. Remote Sens. Environ. 2010, 114, 2548–2563. [Google Scholar] [CrossRef]
- Keeley, J.E. Fire intensity, fire severity and burn severity: A brief review and suggested usage. Int. J. Wildland Fire 2009, 18, 116–126. [Google Scholar] [CrossRef]
- Sofronov, M.A.; Volokitina, A.V.; Kajimoto, T.; Uemura, S. The ecological role of moss-lichen cover and thermal amelioration of larch forest ecosystems in the northern part of Siberia. Eurasian J. For. Res. 2004, 7, 11–19. [Google Scholar]
- Cutler, D.R.; Edwards, T.C.; Beard, K.H.; Cutler, A.; Hess, K.T.; Gibson, J.; Lawler, J.J. Random forests for classification in ecology. Ecology 2007, 88, 2783–2792. [Google Scholar] [CrossRef] [PubMed]
- Kane, V.R.; Cansler, C.A.; Povak, N.A.; Kane, J.T.; McGaughey, R.J.; Lutz, J.A.; Churchill, D.J.; North, M.P. Mixed severity fire effects within the rim fire: Relative importance of local climate, fire weather, topography, and forest structure. For. Ecol. Manag. 2015, 358, 62–79. [Google Scholar] [CrossRef]
- Johnstone, J.F.; Chapin, F., III; Foote, J.; Kemmett, S.; Price, K.; Viereck, L. Decadal observations of tree regeneration following fire in boreal forests. Can. J. For. Res. 2004, 34, 267–273. [Google Scholar] [CrossRef]
- Turner, M.G.; Tinker, D.B.; Romme, W.H.; Kashian, D.M.; Litton, C.M. Landscape patterns of sapling density, leaf area, and aboveground net primary production in postfire lodgepole pine forests, yellowstone national park (USA). Ecosystems 2004, 7, 751–775. [Google Scholar] [CrossRef]
- Liu, Z.; Yang, J. Quantifying ecological drivers of ecosystem productivity of the early-successional boreal larix gmelinii forest. Ecosphere 2014, 5, art84. [Google Scholar] [CrossRef]
- Mayor, A.; Bautista, S.; Llovet, J.; Bellot, J. Post-fire hydrological and erosional responses of a Mediterranean landscpe: Seven years of catchment-scale dynamics. Catena 2007, 71, 68–75. [Google Scholar] [CrossRef]
- Woods, S.W.; Balfour, V.N. The effects of soil texture and ash thickness on the post-fire hydrological response from ash-covered soils. J. Hydrol. 2010, 393, 274–286. [Google Scholar] [CrossRef]
- Certini, G. Effects of fire on properties of forest soils: A review. Oecologia 2005, 143, 1–10. [Google Scholar] [CrossRef] [PubMed]













| ID | Acquisition Date | Sensor | Year Since Fire (YSF) |
|---|---|---|---|
| 1 | 30/6/1995 | TM | Pre-fire |
| 2 | 25/8/1998 | TM | 2 |
| 3 | 5/9/1999 | ETM+ | 3 |
| 4 | 29/7/2000 | TM | 4 |
| 5 | 16/7/2001 | TM | 5 |
| 6 | 19/7/2002 | TM | 6 |
| 7 | 6/7/2003 | TM | 7 |
| 8 | 16/7/2004 | ETM+ | 8 |
| 9 | 4/8/2005 | ETM+ | 9 |
| 10 | 9/7/2007 | ETM+ | 11 |
| 11 | 12/8/2008 | ETM+ | 12 |
| 12 | 6/7/2009 | TM | 13 |
| 13 | 25/7/2010 | TM | 14 |
| 14 | 12/7/2011 | TM | 15 |
| 15 | 3/9/2013 | OLI | 17 |
| 16 | 12/7/2014 | ETM+ | 18 |
| Variable Group | Indicator | Description | Unit/Variable Type | Source |
|---|---|---|---|---|
| Response variables | ||||
| Post-fire forest pattern/forest recovery rate | Fractional vegetation cover (FVC) | FVC determines the proportion of burned land surface occupied by vegetation recovery. It not only represents Larch forest recruitment but also the early seral community of shrubs, grasses, and broadleaf trees. Post-fire slopes of the fitted FVC by year since fire were used as the rate of post-fire vegetation recovery in early seral vegetation. | Continuous | Analysis of post-fire Landsat time series FVC data (1998–2014) [23] |
| Forest recovery index (FRI) | FRI estimates whether a disturbed Larch forest pixel is recovering to a Larch forest pixel. Post-fire slopes of the fitted FRI by year since fire were used as the rate of post-fire forest recruitment. | Continuous | Analysis of post-fire Landsat time series FRI data (1998–2014) [23] | |
| Explanatory variables | ||||
| Pre- and post-fire forest condition | Pre-fire forest NDVI | The Normalized Vegetation Difference Index (NDVI) is a common indicator to evaluate forest health including tree density, tree age, and basal area. These pre-fire properties have a strong effect on post-fire forest regeneration. The pre-fire NDVI within Larch forest locations was thus selected as an indicator of pre-fire forest condition. | Continuous (0 ÷ 1) | Derived from red and near infrared band of the pre-fire 1995 Landsat image |
| Burn severity | The burn severity is defined as the degree of ecosystem change attributed to fire disturbance. Three burn levels (low, moderate and high severity) were derived from our burn severity model of the study area. | Categorical with value of 1 (low), 2 (moderate) and 3 (high) severity | Burn severity model for the Siberian boreal Larch forest [29] | |
| Post-fire vegetation and soil moisture | The temperature–vegetation dryness index TVDI is a remote sensing based index that provides an indication of drought condition. The TVDI is negatively related to vegetation and soil water content. Higher TVDI results from the combination of lower precipitation and higher evaporation rate. This study used an 18-year mean of post-fire TVDI as indicator of post-fire vegetation and soil moisture condition. | Continuous (0 ÷ 1) | Derived from the relationship between surface temperature (Ts) and NDVI that were extracted from Landsat time series (1998–2014) | |
| Topographic variables | Solar insolation | The Solar insolation or solar radiation is the total amount of solar energy received at a particular location during a specified time period. It is an indicator of photosynthetically active radiation, soil moisture and soil temperature. The total amount of solar insolation in each location within the burned area was averaged during summer months in the study area. | Continuous (MWH/m2) | Derived from a digital elevation model (DEM) |
| Elevation | The elevation within each pixel. Shuttle Radar Topography Mission (SRTM) digital elevation was interpolated and resampled to 30 m resolution. | Continuous (m) | SRTM digital elevation model | |
| Slope | The slope within each pixel location of the burned area that was derived from DEM. | Continuous (deg.) | Digital elevation model | |
| Local landscape | Distance to water body/Hydrology | The distance to the water surface is an indicator of water content in the air and soil environment. Higher soil moisture and cooler air can be found near the water surface. It was calculated by Euclidean distance to water body that masked from the satellite imagery. | Continuous (km) | Analysis of Euclidean distance and masked water surface from Landsat imagery |
| Land cover types | Pre-fire land cover types may indicate the potential for forest recovery due to post-fire seed availability and soil condition. The pre-fire land cover types of Larch forest and non-Larch forest were evaluated to compare the recovery rate between these cover types. | Categorical with value of 1 (Larch forest) and 0 (other vegetation) | Classification of pre-fire land covers type based on forest z-score (IFZ) from Landsat images [23] | |
© 2017 by the authors. Licensee MDPI, Basel, Switzerland. This article is an open access article distributed under the terms and conditions of the Creative Commons Attribution (CC BY) license ( http://creativecommons.org/licenses/by/4.0/).
Share and Cite
Chu, T.; Guo, X.; Takeda, K. Effects of Burn Severity and Environmental Conditions on Post-Fire Regeneration in Siberian Larch Forest. Forests 2017, 8, 76. https://doi.org/10.3390/f8030076
Chu T, Guo X, Takeda K. Effects of Burn Severity and Environmental Conditions on Post-Fire Regeneration in Siberian Larch Forest. Forests. 2017; 8(3):76. https://doi.org/10.3390/f8030076
Chicago/Turabian StyleChu, Thuan, Xulin Guo, and Kazuo Takeda. 2017. "Effects of Burn Severity and Environmental Conditions on Post-Fire Regeneration in Siberian Larch Forest" Forests 8, no. 3: 76. https://doi.org/10.3390/f8030076
APA StyleChu, T., Guo, X., & Takeda, K. (2017). Effects of Burn Severity and Environmental Conditions on Post-Fire Regeneration in Siberian Larch Forest. Forests, 8(3), 76. https://doi.org/10.3390/f8030076
