Determining Ideal Timing of Row Thinning for a Cryptomeria japonica Plantation Using Event History Analysis
Abstract
:1. Introduction
2. Materials and Methods
2.1. Study Site and Thinning Treatments
2.2. Tree-Ring Data Collection and Analysis
2.3. Tree-Ring Data Pre-Processing
2.4. Statistical Analysis
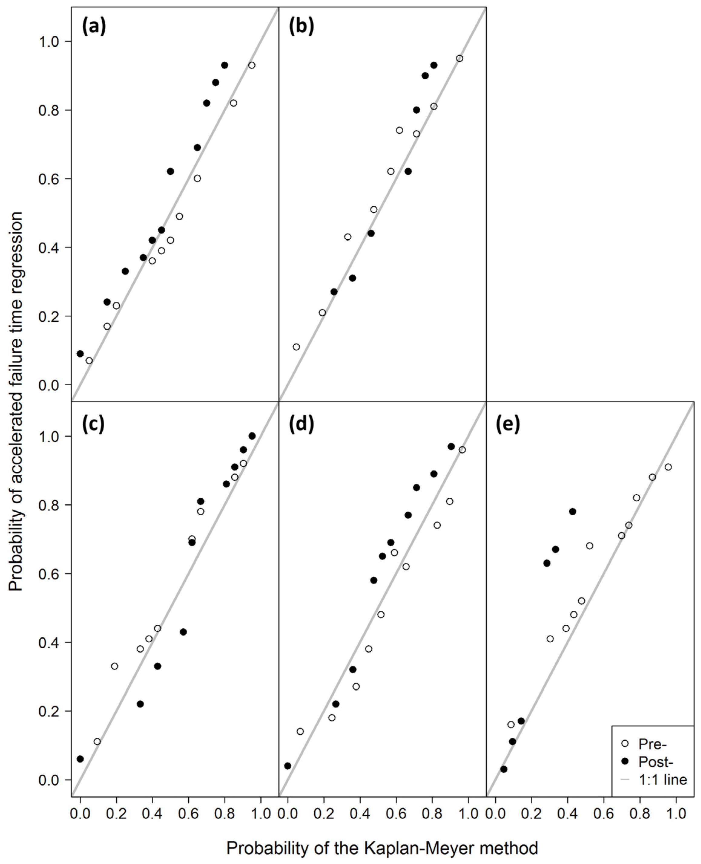
2.5. Model Validation
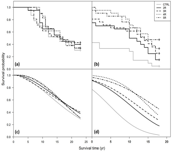
3. Results
3.1. Field Assessment
3.2. Event History Analysis
3.3. Model Validation
4. Discussion
4.1. Temporal Effects of Thinning
4.2. Event History Analysis
4.3. Potential for Future Research
5. Conclusions
Acknowledgments
Author Contributions
Conflicts of Interest
References
- Fajvan, M.A.; Gottschalk, K.W. The effects of silvicultural thinning and Lymantria dispar L. defoliation on wood volume growth of Quercus spp. Am. J. Plant Sci. 2012, 3, 276–282. [Google Scholar] [CrossRef]
- Maleque, M.A.; Ishii, H.T.; Maeto, K.; Taniguchi, S. Management of insect biodiversity by line thinning in Japanese cedar (Cryptomeria japonica D. Don) plantations, central Japan. Eurasian J. For. Res. 2006, 9, 29–36. [Google Scholar]
- Kuboyama, H.; Zheng, Y.; Oka, H. Study about damage probabilities on major forest climatic risks according to age-classes. J. Jpn. For. Soc. 2003, 85, 191–198. (In Japanese) [Google Scholar]
- Chang, S.J. Determination of the optimal rotation age: A theoretical analysis. For. Ecol. Manag. 1984, 8, 137–147. [Google Scholar] [CrossRef]
- Brodie, J.D.; Kao, C. Optimizing thinning in Douglas-fir with three-descriptor dynamic programming to account for accelerated diameter growth. For. Sci. 1979, 25, 665–672. [Google Scholar]
- Solberg, B.; Haight, R.G. Analysis of optimal economic management regimes for Picea abies stands using a stage structured optimal-control model. Scand. J. For. Res. 1991, 6, 559–572. [Google Scholar] [CrossRef]
- Valsta, L.T. An optimization model for Norway spruce management based on individual-tree growth models. Acta For. Fenn. 1992, 232, 1–20. [Google Scholar]
- Pukkala, T.; Miina, J. Tree-selection algorithms for optimizing thinning using a distance-dependent growth model. Can. J. For. Res. 1998, 28, 693–702. [Google Scholar] [CrossRef]
- Vettenranta, J. Distance-dependent models for predicting the development of mixed coniferous forests in Finland. Silva Fenn. 1999, 33, 51–72. [Google Scholar] [CrossRef]
- Kuuluvainen, J.; Tahvonen, O. Testing the forest rotation model: Evidence from panel data. For. Sci. 1999, 45, 539–551. [Google Scholar]
- Cao, T.; Hyytiäinen, K.; Tahvonen, O.; Valsta, L. Effects of initial stand states on optimal thinning regime and rotation of Picea abies stands. Scand. J. For. Res. 2006, 21, 388–398. [Google Scholar] [CrossRef]
- Pelletier, G.; Pitt, D.G. Silvicultural responses of two spruce plantations to midrotation commercial thinning in New Brunswick. Can. J. For. Res. 2008, 38, 851–867. [Google Scholar] [CrossRef]
- Bullard, S.H.; Klemperer, W.D. Thinning Optimization in Mixed-Species Forests. In Proceedings of the 1983 SAF National Convention, Portland, OR, USA, 1984; pp. 525–529.
- Price, C. The Theory and Application of Forest Economics; Blackwell: Oxford, UK, 1989. [Google Scholar]
- Raulier, F.; Pothier, D.; Bernier, P.Y. Predicting the effect of thinning on growth of dense balsam fir stands using a process-based tree growth model. Can. J. For. Res. 2003, 33, 509–520. [Google Scholar] [CrossRef]
- Pukkala, T.; Lähde, E.; Laiho, O. Stand management optimization—the role of simplifications. For. Ecosyst. 2014, 1, 3. [Google Scholar] [CrossRef]
- Szewczyk, M.; Łobos, K. Survival analysis: A case study of micro and small enterprises in Dolnośląskie and Opolskie Voivodship (Poland). Cent. Eur. Rev. Econo. Issues Ekonomická Revue 2012, 15, 207–216. [Google Scholar]
- He, F.; Alfaro, R.I. White pine weevil attack on white spruce: A survival time analysis. Ecol. Appl. 2000, 10, 225–232. [Google Scholar] [CrossRef]
- Onofri, A.; Gresta, F.; Tei, F. A new method for the analysis of germination and emergence data of weed species. Weed Res. 2010, 50, 187–198. [Google Scholar] [CrossRef]
- Beyer, F.; Hertel, D.; Jung, K.; Fende, A.C.; Leuschner, C. Competition effects on fine root survival of Fagus sylvatica and Fraxinus excelsior. For. Ecol. Manag. 2013, 302, 14–22. [Google Scholar] [CrossRef]
- Beckage, B.; Clark, J.S. Seedling survival and growth of three forest tree species: The role of spatial heterogeneity. Ecology 2003, 84, 1849–1861. [Google Scholar] [CrossRef]
- Fritts, H.C. Tree-Rings and Climate; Academic Press: New York, NY, USA, 1976. [Google Scholar]
- Knight, T.A.; Meko, D.M.; Baisan, C.H. A bimillennial-length tree-ring reconstruction of precipitation for the Tavaputs Plateau, northeastern Utah. Quat. Res. 2010, 73, 107–117. [Google Scholar] [CrossRef]
- McEwan, R.W.; Hutchinson, T.F.; Ford, R.D.; McCarthy, B.C. An experimental evaluation of fire history reconstruction using dendrochronology in white oak (Quercus alba). Can. J. For. Res. 2007, 37, 806–816. [Google Scholar] [CrossRef]
- Rentch, J.S.; Schuler, T.M.; Nowacki, G.J.; Beane, N.R.; Ford, W.M. Canopy gap dynamics of second-growth red spruce-northern hardwood stands in West Virginia. For. Ecol. Manag. 2010, 260, 1921–1929. [Google Scholar] [CrossRef]
- Fraver, S.; White, A.S. Identifying growth releases in dendrochronological studies of forest disturbance. Can. J. For. Res. 2005, 35, 1648–1656. [Google Scholar] [CrossRef]
- Lin, F.-C.; Chung, C.-H.; Zeng, J.-L.; Yang, T.-H.; Wang, S.-Y.; Lin, C.-J. Effect of thinning on the ring characteristics of Japanese cedar plantation trees. J. Wood Sci. 2012, 58, 104–112. [Google Scholar] [CrossRef]
- Cheng, C.-H.; Hung, C.-Y.; Chen, C.-P.; Pei, C.-W. Biomass carbon accumulation in aging Japanese cedar plantations in Xitou, central Taiwan. Bot. Stud. 2013, 54, 1–9. [Google Scholar] [CrossRef]
- Mathieu, A.; Counède, P.-H.; Letort, V.; Barthélémy, D.; de Reffye, P. A dynamic model of plant growth with interactions between development and functional mechanisms to study plant structural plasticity related to trophic competition. Ann. Bot. 2009, 103, 1173–1186. [Google Scholar] [CrossRef] [PubMed]
- Grissino-Mayer, H.D. Evaluating crossdating accuracy: A manual and tutorial for the computer program COFECHA. Tree-Ring Res. 2001, 57, 205–221. [Google Scholar]
- Grudd, H.; Briffa, K.R.; Karlén, W.; Bartholin, T.S.; Jones, P.D.; Kromer, B. A 7400-year tree-ring chronology in northern Swedish Lapland: natural climatic variability expressed on annual to millennial timescales. Holocene 2002, 2, 657–665. [Google Scholar] [CrossRef]
- Peltola, H.; Kilpeläinen, A.; Sauvala, K.; Räis#xE4;nen, T.; Ikonen, V.P. Effects of early thinning regime and tree status on the radial growth and wood density of scots pine. Silva Fenn. 2007, 41, 489–505. [Google Scholar] [CrossRef]
- Chang, C.-T.; Wang, H.-C.; Huang, C.-Y. Retrieving multi-scale climatic variations from high dimensional time-series MODIS green vegetation cover in a tropical/subtropical mountainous island. J. Mt. Sci. 2014, 11, 407–420. [Google Scholar] [CrossRef]
- IPCC. Climate Change 2014: Impacts, Adaptation, and Vulnerability. In Part A: Global and Sectoral Aspects, Contribution of Working Group II to the Fifth Assessment Report of the Intergovernmental Panel on Climate Change, Cambridge, UK and New York, NY, USA, 2014; Cambridge University Press: New York, NY, USA, 2014. [Google Scholar]
- LeBlanc, D.C. Relationships between breast-height and whole-stem growth indices for red spruce on Whiteface Mountain, NY. Can. J. For. Res. 1990, 20, 1399–1407. [Google Scholar] [CrossRef]
- Pedersen, B.F. The role of stress in the mortality of midwestern oaks as indicated by growth prior to death. Ecology 1998, 79, 79–93. [Google Scholar] [CrossRef]
- Kaplan, E.L.; Meier, P. Nonparametric estimation from incomplete observations. J. Am. Stat. Assoc. 1958, 53, 457–481. [Google Scholar] [CrossRef]
- Akaike, H. A new look at the statistical model identification. IEEE Trans. Autom. Control 1974, 19, 716–723. [Google Scholar] [CrossRef]
- Rollinson, T.J.D. Thinning control of conifer plantations in Great Britain. Ann. Sci. For. 1987, 44, 25–34. [Google Scholar] [CrossRef]
- Bréda, N.; Granier, A.; Aussenac, G. Effects of thinning on soil and tree water relations, transpiration and growth in an oak forest (Quercus petraea (Matt.) Liebl.). Tree Physiol. 1995, 15, 295–306. [Google Scholar] [CrossRef] [PubMed]
- Thibodeau, L.; Raymond, P.; Camiré, C.; Munson, A.D. Impact of precommercial thinning in balsam fir stands on soil nitrogen dynamics, microbial biomass, decomposition, and foliar nutrition. Can. J. For. Res. 2000, 30, 229–238. [Google Scholar] [CrossRef]
- Han, Q.; Chiba, Y. Leaf photosynthetic responses and related nitrogen changes associated with crown reclosure after thinning in a young Chamaecyparis obtusa stand. J. For. Res. 2009, 14, 349–357. [Google Scholar] [CrossRef]
- Mäkinen, H.; Isomäki, A.; Hongisto, T. Effect of half-systematic and systematic thinning on the increment of Scots pine and Norway spruce in Finland. Forestry 2006, 79, 103–121. [Google Scholar] [CrossRef]
- Varmola, M.; Salminen, H.; Timonen, M. Thinning response and growth trends of seeded Scots pine stands at the arctic timberline. Silva Fenn. 2004, 38, 71–83. [Google Scholar] [CrossRef]
- Kao, C.; Brodie, J.D. Determination of optimal thinning entry interval using dynamic programming. For. Sci. 1979, 25, 672–674. [Google Scholar]
- Emmingham, W.H.; Elwood, N.E. Thinning: An important timber management tool. PNW 1983, 184, 1–8. [Google Scholar]
- Simard, S.; Blenner-Hassett, T.; Cameron, I. Pre-commercial thinning effects on growth, yield and mortality in even-aged paper birch stands in British Columbia. For. Ecol. Manag. 2004, 190, 163–178. [Google Scholar] [CrossRef]
- Reukema, D.L. Guidelines for precommercial thinning of Douglas-fir. PNW 1975, 30, 1–10. [Google Scholar]
- Stephenson, N.L.; Das, A.J.; Condit, R.; Russo, S.E.; Baker, P.J.; Beckman, N.G.; Coomes, D.A.; Lines, E.R.; Morris, W.K.; Rüger, N.; et al. Rate of tree carbon accumulation increases continuously with tree size. Nature 2014, 507, 90–93. [Google Scholar] [CrossRef] [PubMed]
- Valinger, E.; Elfving, B.; Mörling, T. Twelve-year growth response of Scots pine to thinning and nitrogen fertilization. For. Ecol. Manag. 2000, 134, 45–53. [Google Scholar] [CrossRef]
- Vincent, M.; Krause, C.; Koubaa, A. Variation in black spruce (Picea mariana (Mill.) BSP) wood quality after thinning. Ann. Sci. For. 2011, 68, 1115–1125. [Google Scholar] [CrossRef]






| Treatment 1 | Basal Area (cm2) | Height (m) | Sampled Basal Area (cm2) | |||
|---|---|---|---|---|---|---|
| Mean | Sd. | Mean | Sd. | Mean | Sd. | |
| 2R | 735.9 | 435.8 | 18.6 | 3.0 | 712.5 | 274.6 |
| 3R | 815.4 | 509.3 | 18.6 | 3.4 | 782.7 | 401.9 |
| 4R | 763.9 | 542.3 | 18.2 | 4.5 | 754.6 | 290.0 |
| 5R | 792.0 | 427.1 | 18.8 | 4.0 | 773.3 | 263.8 |
| CTRL | 614.2 | 466.5 | 18.2 | 2.8 | 604.9 | 321.2 |
| Treatment 1 | n | Pre-Thinning (Year) | Post-Thinning (Year) | ||||
|---|---|---|---|---|---|---|---|
| Median | Mean | Sd. | Median | Mean | Sd. | ||
| 2R | 20 | 16 | 16.1 | 1.4 | 11 | 9.7 | 1.6 |
| 3R | 21 | 17 | 16.2 | 1.6 | 14 | 12.4 | 1.5 |
| 4R | 21 | 16 | 16.3 | 1.2 | 15 | 13.5 | 1.1 |
| 5R | 21 | 16 | 16.9 | 1.2 | 14 | 13 | 1.3 |
| CTRL | 21 | 16 | 16.6 | 1.5 | 0 | 5.7 | 1.4 |
| se | Z | ||
|---|---|---|---|
| Intercept | 3.09 (8.87) | 0.25 (0.05) | 12.36 * (195.81 *) |
| 2R 1 | 0.21 (6.08) | 0.38 (0.12) | 0.56 (50.80 *) |
| 3R | 0.22 (6.85) | 0.38 (0.15) | 0.58 (46.90 *) |
| 4R | 0.13 (8.51) | 0.37(0.27) | 0.36 (31.83 *) |
| 5R | 0.13 (8.88) | 0.34 (0.28) | 0.39 (31.42 *) |
| Scale | 1 (1) | 1.07 (2.18) | 1.12 * (25.38 *) |
© 2017 by the authors. Licensee MDPI, Basel, Switzerland. This article is an open access article distributed under the terms and conditions of the Creative Commons Attribution (CC BY) license ( http://creativecommons.org/licenses/by/4.0/).
Share and Cite
Chung, C.-H.; Lin, C.-J.; Lin, S.-T.; Huang, C.-y. Determining Ideal Timing of Row Thinning for a Cryptomeria japonica Plantation Using Event History Analysis. Forests 2017, 8, 77. https://doi.org/10.3390/f8030077
Chung C-H, Lin C-J, Lin S-T, Huang C-y. Determining Ideal Timing of Row Thinning for a Cryptomeria japonica Plantation Using Event History Analysis. Forests. 2017; 8(3):77. https://doi.org/10.3390/f8030077
Chicago/Turabian StyleChung, Chih-Hsin, Cheng-Jung Lin, Shu-Tzong Lin, and Cho-ying Huang. 2017. "Determining Ideal Timing of Row Thinning for a Cryptomeria japonica Plantation Using Event History Analysis" Forests 8, no. 3: 77. https://doi.org/10.3390/f8030077
APA StyleChung, C.-H., Lin, C.-J., Lin, S.-T., & Huang, C.-y. (2017). Determining Ideal Timing of Row Thinning for a Cryptomeria japonica Plantation Using Event History Analysis. Forests, 8(3), 77. https://doi.org/10.3390/f8030077

