Mathematical Models for Studying Growth of Retrophyllum rospigliosii in Agroforestry Systems with Coffee: A Case Study in Northern Peru
Abstract
1. Introduction
2. Materials and Methods
2.1. Study Area
2.2. Sampling and Measurement
- : Sample size;
- : Value of the normal distribution associated with the confidence level;
- : Size of the universe;
- : Probability of success;
- : Probability of failure (1 − p);
- : Maximum acceptable estimation error.
2.3. Estimation of Dasometric Variables
- BA: Basal area in (cm)2;
- D: Diameter in (cm);
- π is the mathematical constant, approximately 3.1416.
- V: Volume (cm3);
- BA: Basal area (cm2);
- TH: Total height (cm);
- : Dimension of the variable considered;
- : Age from time zero in years.
2.4. Data Analysis
2.5. Growth Modeling
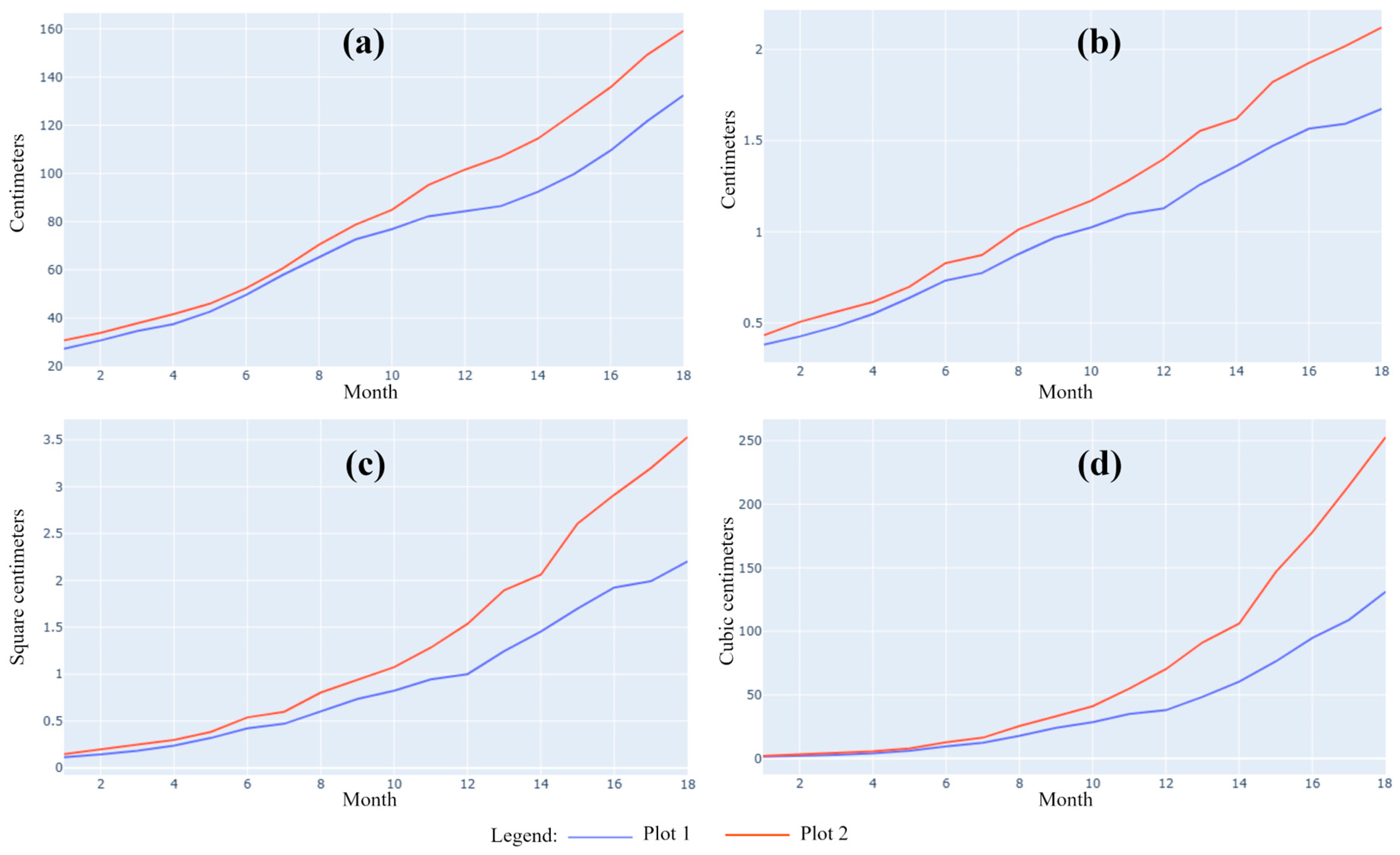
3. Results
3.1. Survival
3.2. Analysis of Structural Variables
3.3. Statistical Analysis of Growth
3.4. Estimated Models
4. Discussion
5. Conclusions
Author Contributions
Funding
Data Availability Statement
Conflicts of Interest
References
- Herbert, J.; Hollingsworth, P.M.; Gardner, M.F.; Mill, R.R.; Thomas, P.I.; Jaffré, T. Conservation Genetics and Phylogenetics of New Caledonian Retrophyllum (Podocarpaceae) Species. N. Z. J. Bot. 2002, 40, 175–188. [Google Scholar] [CrossRef]
- Sinclair, W.T.; Mill, R.R.; Gardner, M.F.; Woltz, P.; Jaffré, T.; Preston, J.; Hollingsworth, M.L.; Ponge, A.; Möller, M. Evolutionary Relationships of the New Caledonian Heterotrophic Conifer, Parasitaxus Usta (Podocarpaceae), Inferred from Chloroplast TrnL-F Intron/Spacer and Nuclear RDNA ITS2 Sequences. Plant Syst. Evol. 2002, 233, 79–104. [Google Scholar] [CrossRef]
- Leslie, A.B.; Beaulieu, J.M.; Rai, H.S.; Crane, P.R.; Donoghue, M.J.; Mathews, S. Hemisphere-Scale Differences in Conifer Evolutionary Dynamics. Proc. Natl. Acad. Sci. USA 2012, 109, 16217–16221. [Google Scholar] [CrossRef] [PubMed]
- Wilf, P.; Donovan, M.P.; Cúneo, N.R.; Gandolfo, M.A. The Fossil Flip-leaves (Retrophyllum, Podocarpaceae) of Southern South America. Am. J. Bot. 2017, 104, 1344–1369. [Google Scholar] [CrossRef]
- Lamprecht, N. Silvicultura En Los Trópicos. Los Ecosistemas Forestales En Los Bosques Tropicales y Sus Especies Arbóreas. Posibilidades Para Un Aprovechamiento Sostenido; GTZ: Eschborn, Germany, 1990. [Google Scholar]
- Veblen, T.T.; Kitzberger, T.; Villalba, R. Nuevos Paradigmas En Ecología y Su Influencia Sobre el Conocimiento de la Dinámica de los Bosques del sur de Argentina y Chile; Editorial de la Universidad Nacional de La Plata: La Plata, Argentina, 2005. [Google Scholar]
- Mahecha Vega, G.E.; Barrero Barrero, D.; Camelo Salamanca, D.; Ovalle Escobar, A.; Rozo Fernández, A. Vegetación del Territorio CAR: 450 Especies de sus Llanuras y Montañas; Corporación Autónoma Regional de Cundinamarca-CAR: Bogotá, Colombia, 2012; ISBN 958-8188-06-7. [Google Scholar]
- Mill, R.R. A Monographic Revision of Retrophyllum (Podocarpaceae). Edinb. J. Bot. 2016, 73, 171–261. [Google Scholar] [CrossRef]
- Villada Arroyave, J.A.; Gallego Salazar, M.I.; Vargas Vacca, A.M.; Quiceno Ramírez, C.A.; Parra, F.; Guerra, G. Lista Anotada de las Especies Forestales Sembradas en el Programa de Restauración Ecológica Participativa ReverdeC; Celsia Colombia S.A. E.S.P.: Celsia, Colombia, 2021. [Google Scholar] [CrossRef]
- Baselly Villanueva, J.R.; Goycochea Casas, G.; Macedo Ladeira Carvalho, A.M.; Roncal Briones, W.R.; Chumbimune Vivanco, S.Y.; Chavesta Custodio, M. CARACTERIZACIÓN Y DIFERENCIAS ANATÓMICAS DE MADERAS DE Retrophyllum Rospigliosii (Pilg.) C.N. Page Y Prumnopitys Harmsiana (Pilg.) de Laub. (PODOCARPACEAE) PROCEDENTES DE LA PROVINCIA DE SAN IGNACIO, PERÚ. Folia Amaz. 2021, 30, 137–148. [Google Scholar] [CrossRef]
- García, N. (Ed.) Libro Rojo de Plantas de Colombia; Primera Edición: Bogotá, Colombia, 2007; Volume 5, ISBN 978-958-8343-13-6. [Google Scholar]
- Gardner, M.; Thomas, P. Retrophyllum Rospigliosii. In The IUCN Red List of Threatened Species 2013; Born Free: Horsham, UK, 2013; E. T34110A2846471 2013. [Google Scholar]
- More, P.; Cuellar, J.; Salazar, E. Propagación Vegetativa de Retrophyllum Rospigliosii (Pilg.) C.N. Page “Ulcumano” En Cámara de Subirrigación En Chanchamayo/Perú. Ecol. Apl. 2021, 20, 15–23. [Google Scholar] [CrossRef]
- Mosquera-Vásquez, M.; Tobón-Marin, C.; Mosquera-Vásquez, M.; Tobón-Marin, C. Efectos de La Restauración de Los Bosques Montanos Tropicales Sobre El Funcionamiento Ecohidrológico de Cuencas Hidrográficas. Bosque 2023, 44, 639–653. [Google Scholar] [CrossRef]
- Mendoza-Páez, J.S.; Giraldo, J.A.; Mazo-Lopera, M.A.; Giraldo-Salazar, J.M.; Osorio-Vélez, L.F. Trends in Planted Native Tree Biomass Established in a Tropical Andes City Water Basins. Restor. Ecol. 2024, 33, e14296. [Google Scholar] [CrossRef]
- Weiskittel, A.R.; Hann, D.W.; Kershaw, J.A.; Vanclay, J.K. Forest Growth and Yield Modeling. In Forest Growth and Yield Modeling; John Wiley & Sons, Ltd.: Hoboken, NJ, USA, 2011. [Google Scholar] [CrossRef]
- Burkhart, H.E.; Tomé, M. Modeling Forest Trees and Stands; Springer: Dordrecht, The Netherlands, 2012; pp. 1–457. ISBN 978-90-481-3170-9. [Google Scholar] [CrossRef]
- Martínez Prera, A.E. Interpretación Dendroecológica y Desarrollo de Modelos de Crecimiento en dos Especies Tropicales: Swietenia Macrophylla y Cedrela Odorata en la Reserva de Biosfera Maya, Petén, Guatemala; CATIE: Turrialba, Costa Rica, 2016. [Google Scholar]
- Nigul, K.; Padari, A.; Kiviste, A.; Noe, S.M.; Korjus, H.; Laarmann, D.; Frelich, L.E.; Jõgiste, K.; Stanturf, J.A.; Paluots, T.; et al. The Possibility of Using the Chapman–Richards and Näslund Functions to Model Height–Diameter Relationships in Hemiboreal Old-Growth Forest in Estonia. Forests 2021, 12, 184. [Google Scholar] [CrossRef]
- Chazdon, R.L. Beyond Deforestation: Restoring Forests and Ecosystem Services on Degraded Lands. Science 2008, 320, 1458–1460. [Google Scholar] [CrossRef]
- Paquette, A.; Messier, C. The Role of Plantations in Managing the World’s Forests in the Anthropocene. Front. Ecol. Environ. 2010, 8, 27–34. [Google Scholar] [CrossRef]
- Vanclay, J. Modelling Forest Growth and Yield Applications to Mixed Tropical Forests; CAB International: Wallingford, UK, 1994; Available online: https://www.scirp.org/reference/referencespapers?referenceid=2529700 (accessed on 17 November 2025).
- Alder, D.; Synnot, T.J. Permanent Sample Plot Techniques for Mixed Tropical Forest. In Teopical Forestry Paper No. 25; Oxford Forestry Institute: Oxford, UK, 1992; Available online: https://www.scirp.org/reference/referencespapers?referenceid=595797 (accessed on 17 November 2025).
- Malhi, Y.; Silman, M.; Salinas, N.; Bush, M.; Meir, P.; Saatchi, S. Introduction: Elevation Gradients in the Tropics: Laboratories for Ecosystem Ecology and Global Change Research. Glob. Change Biol. 2010, 16, 3171–3175. [Google Scholar] [CrossRef]
- Feeley, K.J.; Silman, M.R.; Bush, M.B.; Farfan, W.; Cabrera, K.G.; Malhi, Y.; Meir, P.; Revilla, N.S.; Quisiyupanqui, M.N.R.; Saatchi, S. Upslope Migration of Andean Trees. J. Biogeogr. 2011, 38, 783–791. [Google Scholar] [CrossRef]
- Bruijnzeel, L.A.; Mulligan, M.; Scatena, F.N. Hydrometeorology of Tropical Montane Cloud Forests: Emerging Patterns. Hydrol. Process. 2011, 25, 465–498. [Google Scholar] [CrossRef]
- Spracklen, D.V.; Righelato, R. Tropical Montane Forests Are a Larger than Expected Global Carbon Store. Biogeosciences 2014, 11, 2741–2754. [Google Scholar] [CrossRef]
- Locatelli, B.; Pavageau, C.; Pramova, E.; Di Gregorio, M. Integrating Climate Change Mitigation and Adaptation in Agriculture and Forestry: Opportunities and Trade-Offs. Wiley Interdiscip. Rev. Clim. Change 2015, 6, 585–598. [Google Scholar] [CrossRef]
- Nabuurs, G.J.; Delacote, P.; Ellison, D.; Hanewinkel, M.; Hetemäki, L.; Lindner, M.; Ollikainen, M. By 2050 the Mitigation Effects of EU Forests Could Nearly Double through Climate Smart Forestry. Forests 2017, 8, 484. [Google Scholar] [CrossRef]
- Zuur, A.F.; Ieno, E.N.; Walker, N.; Saveliev, A.A.; Smith, G.M. Mixed Effects Models and Extensions in Ecology with R; Springer: New York, NY, USA, 2009. [Google Scholar] [CrossRef]
- Pretzsch, H. Forest Dynamics, Growth and Yield: From Measurement to Model; Springer: Berlin/Heidelberg, Germany, 2009; ISBN 978-3-540-88306-7. Available online: https://www.scirp.org/reference/referencespapers?referenceid=689285 (accessed on 17 December 2023).
- Sharma, R.P.; Vacek, Z.; Vacek, S. Nonlinear Mixed Effect Height-Diameter Model for Mixed Species Forests in the Central Part of the Czech Republic. J. For. Sci. 2016, 62, 470–484. [Google Scholar] [CrossRef]
- Ministerio del Ambiente (MINAN). Estrategia Nacional de Diversidad Biológica al 2021. Plan de Acción 2014–2018. MINAM: Lima, Peru, 2014. Available online: https://sinia.minam.gob.pe/documentos/estrategia-nacional-diversidad-biologica-2021-plan-accion-2014-2018 (accessed on 18 November 2025).
- Gómez, N.C. Primacia de la Jurísdicción Administrativa del Ministerio del Ambiente Sobre los Recursos Forestales en la Ley 29763 Ley Forestal y de Fauna Silvestre; Universidad Andina Néstor Cáceres Velasquez: Juliaca, Peru, 2016. [Google Scholar]
- Veraldi, R.; Ramirez-Poggi, O.E. LA Estrategia Nacional de Cambio Climático (ENCC); ARACNE: Rome, Italy, 2018; ISBN 978-88-255-0982-3. Available online: https://ricerca.unich.it/handle/11564/687182 (accessed on 18 November 2025).
- Piotto, D.; Montagnini, F.; Ugalde, L.; Kanninen, M. Performance of Forest Plantations in Small and Medium-Sized Farms in the Atlantic Lowlands of Costa Rica. For. Ecol. Manag. 2003, 175, 195–204. [Google Scholar] [CrossRef]
- Alvarez, E.; Duque, A.; Saldarriaga, J.; Cabrera, K.; de las Salas, G.; del Valle, I.; Lema, A.; Moreno, F.; Orrego, S.; Rodríguez, L. Tree Above-Ground Biomass Allometries for Carbon Stocks Estimation in the Natural Forests of Colombia. For. Ecol. Manag. 2012, 267, 297–308. [Google Scholar] [CrossRef]
- Peng, C.; Zhang, L.; Liu, J. Developing and Validating Nonlinear Height-Diameter Models for Major Tree Species of Ontario’s Boreal Forests. North. J. Appl. For. 2001, 18, 87–94. [Google Scholar] [CrossRef]
- Hegde, R.; Manasa, P.A.C.; Salimath, S.K. Forest Mensuration. In Textbook of Forest Science; Springer: Singapore, 2025; pp. 361–388. [Google Scholar] [CrossRef]
- Li, Y.Q.; Deng, X.W.; Huang, Z.H.; Xiang, W.H.; Yan, W.D.; Lei, P.F.; Zhou, X.L.; Peng, C.H. Development and Evaluation of Models for the Relationship between Tree Height and Diameter at Breast Height for Chinese-Fir Plantations in Subtropical China. PLoS ONE 2015, 10, e0125118. [Google Scholar] [CrossRef]
- Aguilar Ramírez, M. Comparación de cuatro modelos matemáticos aplicados al crecimiento forestal. Rev. Mex. Cienc. For. 2021, 16, 87–108. Available online: http://cienciasforestales.inifap.gob.mx/index.php/forestales/article/view/1109 (accessed on 18 November 2025).
- Salas-Eljatib, C.; Mehtätalo, L.; Mehtätalo, M.; Gregoire, T.G.; Soto, D.P.; Vargas-Gaete, R. Growth Equations in Forest Research: Mathematical Basis and Model Similarities. Curr. For. Rep. 2021, 7, 230–244. [Google Scholar] [CrossRef]
- Elli, E.F.; Caron, B.O.; Behling, A.; Eloy, E.; De Souza, V.Q.; Schwerz, F.; Stolzle, J.R. Climatic Factors Defining the Height Growth Curve of Forest Species. IForest 2017, 10, 547. [Google Scholar] [CrossRef]
- Hernández, F.J.; Medrano, B.M.B.; Bernal, E.M.; Luna, J.A.N.; Larreta, B.V. Estimación Del Crecimiento de Dos Especies de Pinus de La Región Centro de Guerrero, México. Rev. Mex. Cienc. For. 2021, 12, 31–57. [Google Scholar] [CrossRef]
- Kiviste, A.; Álvarez González, A.; Rojo Alboreca, A.; Ruiz González, A.D. Funciones de Crecimiento de Aplicación En El Ámbito Forestal. Monogr. INIA 2002, 190. Available online: https://bibliotecadigital.infor.cl/handle/20.500.12220/21328 (accessed on 17 October 2025).
- van Breugel, M.; Hall, J.S.; Craven, D.J.; Gregoire, T.G.; Park, A.; Dent, D.H.; Wishnie, M.H.; Mariscal, E.; Deago, J.; Ibarra, D.; et al. Early Growth and Survival of 49 Tropical Tree Species across Sites Differing in Soil Fertility and Rainfall in Panama. For. Ecol. Manag. 2011, 261, 1580–1589. [Google Scholar] [CrossRef]
- O’Brien, M.J.; Escudero, A. Topography in Tropical Forests Enhances Growth and Survival Differences within and among Species via Water Availability and Biotic Interactions. Funct. Ecol. 2022, 36, 686–698. [Google Scholar] [CrossRef]
- Matlaga, D.; Lammerant, R.; Hogan, J.A.; Uriarte, M.; Rodriguez-Valle, C.; Zimmerman, J.K.; Muscarella, R. Survival, Growth, and Functional Traits of Tropical Wet Forest Tree Seedlings across an Experimental Soil Moisture Gradient in Puerto Rico. Ecol. Evol. 2024, 14, e11095. [Google Scholar] [CrossRef]
- Servicio Nacional de Meteorología e Hidrología del Perú [SENAHMI] SENAMHI (GOB.PE)–Estaciones. Available online: https://www.senamhi.gob.pe/servicios/?p=estaciones (accessed on 2 September 2025).
- Poma Rojas, W.; Alcántara Boñón, G.H. Estudio de Suelos y Capacidad de Uso Mayor del Departamento de Cajamarca; Studocu: Amsterdam, The Netherlands, 2011. [Google Scholar]
- Martino Santur, L.S.; Oblitas Troyes, J.F. Influencia de La Altitud y Tipo de Suelo Sobre El Crecimiento de Retrophyllum Rospigliosii (Pilg.) C.N. Page En Macizos de Diferentes Edades En El Caserío San Pedro, Distrito San José Del Alto, Jaén. Undergraduate Thesis, Universidad Nacional de Jaén||Repositorio Institucional—UNJ, Cajamarca, Peru, 2024. [Google Scholar]
- Grossnickle, S.C.; MacDonald, J.E. Seedling Quality: History, Application, and Plant Attributes. Forests 2018, 9, 283. [Google Scholar] [CrossRef]
- Grossnickle, S.C.; Ivetić, V. Root System Development and Field Establishment: Effect of Seedling Quality. New For. 2022, 53, 1021–1067. [Google Scholar] [CrossRef]
- De la Peña-Domene, M.; Martínez-Garza, C.; Ayestarán-Hernández, L.M.; Howe, H.F. Plant Attributes That Drive Dispersal and Establishment Limitation in Tropical Agricultural Landscapes. Forests 2018, 9, 620. [Google Scholar] [CrossRef]
- Bhadouria, R.; Singh, R.; Srivastava, P.; Raghubanshi, A.S. Understanding the Ecology of Tree-Seedling Growth in Dry Tropical Environment: A Management Perspective. Energy Ecol. Environ. 2016, 1, 296–309. [Google Scholar] [CrossRef]
- Alvarez-Aquino, C.; Williams-Linera, G. Seedling Survival and Growth of Tree Species: Site Condition and Seasonality in Tropical Dry Forest Restoration. Bot. Sci. 2012, 90, 341–351. [Google Scholar] [CrossRef]
- Hernández, F.J.; Aragón, J.C.M.; Larreta, B.V.; Luna, J.A.N. Crecimiento En Diámetro, Altura, Área Basal y Volumen Para Tres Especies de Pino En Chihuahua, México. Rev. Mex. Cienc. For. 2020, 11, 1–22. [Google Scholar] [CrossRef]
- Méndez Arango, F.J. Caracterización Estructural del Bosque de Pino (Pinus Radiata D. Don), Llumchicancha, 3746 Msnm, los Morochucos, Cangallo, Ayacucho, 2019; Universidad Nacional de San Cristóbal de Huamanga: Ayacucho, Peru, 2022. [Google Scholar]
- Shapiro, S.S.; Wilk, M.B. An Analysis of Variance Test for Normality (Complete Samples). Biometrika 1965, 52, 591. [Google Scholar] [CrossRef]
- Levene, H. Robust Tests for Equality of Variances. In Contributions to Probability and Statistics; Olkin, I., Ed.; Stanford University Press: Palo Alto, CA, USA, 1960; pp. 278–292. Available online: https://www.scirp.org/reference/ReferencesPapers?ReferenceID=2363177 (accessed on 3 February 2026).
- McKnight, P.E.; Najab, J. Mann-Whitney U Test. In The Corsini Encyclopedia of Psychology; John Wiley & Sons, Ltd.: Hoboken, NJ, USA, 2009; p. 1. [Google Scholar] [CrossRef]
- Wang, W.; Chen, X.; Zeng, W.; Wang, J.; Meng, J. Development of a Mixed-Effects Individual-Tree Basal Area Increment Model for Oaks (Quercus Spp.) Considering Forest Structural Diversity. Forests 2019, 10, 474. [Google Scholar] [CrossRef]
- Zhu, W.; Liu, Z.; Jia, W.; Li, D. Modelling the Tree Height, Crown Base Height, and Effective Crown Height of Pinus koraiensis Plantations Based on Knot Analysis. Forests 2021, 12, 1778. [Google Scholar] [CrossRef]
- Burnham, K.P.; Anderson, D.R. Model Selection and Multimodel Inference; Springer: New York, NY, USA, 2002. [Google Scholar]
- Ou, Y.; Quiñónez-Barraza, G. Modeling Height–Diameter Relationship Using Artificial Neural Networks for Durango Pine (Pinus durangensis Martínez) Species in Mexico. Forests 2023, 14, 1544. [Google Scholar] [CrossRef]
- Bansal, S.; Germino, M.J. Variation in Ecophysiological Properties among Conifers at an Ecotonal Boundary: Comparison of Establishing Seedlings and Established Adults at Timberline. J. Veg. Sci. 2010, 21, 133–142. [Google Scholar] [CrossRef]
- Körner, C. The Use of ‘Altitude’ in Ecological Research. Trends Ecol. Evol. 2007, 22, 569–574. [Google Scholar] [CrossRef]
- Moser, G.; Hertel, D.; Leuschner, C. Altitudinal Change in LAI and Stand Leaf Biomass in Tropical Montane Forests: A Transect Study in Ecuador and a Pan-Tropical Meta-Analysis. Ecosystems 2007, 10, 924–935. [Google Scholar] [CrossRef]
- Sáenz-Romero, C.; Rehfeldt, G.E.; Soto-Correa, J.C.; Aguilar-Aguilar, S.; Zamarripa-Morales, V.; López-Upton, J. Altitudinal Genetic Variation among Pinus pseudostrobus Populations from Michoacán, México: Two Location Shadehouse Test Results. Rev. Fitotec. Mex. 2012, 35, 111–121. [Google Scholar] [CrossRef]
- Ruiz-Erazo, C.E.; Riascos-Acosta, R.I.; Guerrero-Martínez, E.S.; Marín-Vélez, A.M.; Sierra, C.A.; Ramírez-Correa, J.A.; Ruiz-Erazo, C.E.; Riascos-Acosta, R.I.; Guerrero-Martínez, E.S.; Marín-Vélez, A.M.; et al. Potencial de Captura de Carbono En Plantaciones de Retrophyllum rospigliosii (Pilg.) C. N. Page Con Fines de Restauración En La Región Andina Colombiana. Rev. Chapingo Ser. Cienc. For. Ambiente 2025, 31, 1–17. [Google Scholar] [CrossRef]
- Ramírez, J.A.; Marín, A.; Urrego, J.B.; Castaño, Á.; Ospina, R. Fertilization Effect on the Growth of Retrophyllum rospigliosii of the Andean Zone of Colombia. Madera y Bosques 2021, 27, 1–16. [Google Scholar] [CrossRef]
- Becerra-Montalvo, V.; Zevallos-Pollito, P.A. DETERMINACIÓN DEL TURNO DE CORTA DE Cedrela odorata L., Retrophyllum rospigliosii Pilger y Prumnopitys Harmsiana Pilger A TRAVÉS DEL ESTUDIO DENDROCRONOLÓGICO EN SAN IGNACIO, REGIÓN CAJAMARCA-PERÚ. Rev. Ceprosimad 2013, 2, 33–47. [Google Scholar]
- Gasparri, N.I.; Goya, J.F. Modelos de Crecimiento de Cederla Lilloi En El Sector Norte de Las Yungas Argentinas. Available online: https://www.researchgate.net/publication/259139242_Modelos_de_crecimiento_de_Cederla_lilloi_en_el_sector_norte_de_las_Yungas_argentinas (accessed on 31 August 2025).
- Quintero Méndez, V.; Jerez, M.A.; Flores, M. Modelo de Crecimiento y Rendimiento Para Plantaciones de Teca (Tectona grandis L.) Usando El Enfoque de Espacio de Estados. Cienc. Ing. 2011, 33, 33–41. [Google Scholar]
- Muñoz Flores, H.J.; Coria Avalos, V.M.; García Sánchez, J.J.; Velasco Bautista, E.; Martínez Molina, G. Evaluación de Una Plantación de Pinus Greggii Engelm. Con Dos Espaciamientos. Rev. Mex. Cienc. For. 2012, 3, 57–70. [Google Scholar]
- Therneau, T.M.; Grambsch, P.M. Modeling Survival Data: Extending the Cox Model; Springer: New, York, NY, USA, 2000. [Google Scholar] [CrossRef]
- Harrell, F.E. Regression Modeling Strategies; Springer: Cham, Switzerland, 2015. [Google Scholar] [CrossRef]
- Ramírez, J.A.; Marín, A.; Gómez, A.; del Valle, J.I. Growth and Yield of Retrophyllum rospigliosii Pure Plantations in the Colombian Andes. New For. 2024, 55, 1363–1378. [Google Scholar] [CrossRef]
- Hernández-Cuevas, M.; Santiago-García, W.; De Los Santos-Posadas, H.M.; Martínez-Antúnez, P.; Ruiz-Aquino, F. Modelos de Crecimiento en Altura Dominante e Índices de Sitio Para Pinus Ayacahuite Ehren Models of Dominant Height Growth and Site Indexes for Pinus Ayacahuite Ehren. Agrociencia 2018, 52, 437. [Google Scholar]
- Beteta-Montaño, E.; Santiago-García, W.; Rodríguez-Ortiz, G.; Suárez-Mota, M.E.; Aquino-Ramírez, M.; Nava-Nava, A.; Ruiz-Aquino, F.; Beteta-Montaño, E.; Santiago-García, W.; Rodríguez-Ortiz, G.; et al. Fit and Validation of Models for Growth of Dominant Height and Site Indices for Pinus Oaxacana in Southern Mexico. Bosque 2022, 43, 331–348. [Google Scholar] [CrossRef]
- Kiernan, D. 9.1: Modelos de Crecimiento y Rendimiento-LibreTexts Español. Available online: https://espanol.libretexts.org/Bookshelves/Estadisticas/Estadistica_Aplicada/Libro%3A_Biometria_de_Recursos_Naturales_(Kiernan)/09%3A_Modelado_de_crecimiento%2C_rendimiento_e_%C3%ADndice_de_sitio/9.01%3A_Modelos_de_Crecimiento_y_Rendimiento (accessed on 23 August 2025).
- López Hernández, J.A.; Valles Gándara, A.G. Modelos para la estimación del índice de sitio para Pinus durangensis Martínez en San Dimas, Durango. Cienc. For. México 2019, 34, 185–196. [Google Scholar]
- Brazao Protazio, J.M.; Almeida Souza, M.; Hernández-Díaz, J.C.; Escobar-Flores, J.G.; López-Sánchez, C.A.; Carrillo-Parra, A.; Wehenkel, C. A Dynamical Model Based on the Chapman–Richards Growth Equation for Fitting Growth Curves for Four Pine Species in Northern Mexico. Forests 2022, 13, 1866. [Google Scholar] [CrossRef]
- Shifley, S.R.; Brand, G.J. Chapman-Richards Growth Function Constrained for Maximum Tree Size. For. Sci. 1984, 30, 1066–1070. [Google Scholar] [CrossRef]
- Aguilar Ramirez, J.M.; Anguiano Contreras, J. Algunas Relaciones Alometricas y Su Comportamiento Con El Modelo de Weibull. In Publicacion Tecnica; Campo Experimental Uruapan Mexico: Uruapan, Mexico, 1996. [Google Scholar]
- Návar-Cháidez, J.d.J.; Domínguez-Calleros, P.A. Modelo de Incremento y Rendimietno: Ejemplos y Aplicaciones Para Bosques Templados Mexicanos. Rev. Mex. Cienc. For. 2018, 4, 8–27. [Google Scholar] [CrossRef][Green Version]
- Hurlbert, S.H. Pseudoreplication and the Design of Ecological Field Experiments. Ecol. Monogr. 1984, 54, 187–211. [Google Scholar] [CrossRef]
- Ghasemi, A.; Zahediasl, S. Normality Tests for Statistical Analysis: A Guide for Non-Statisticians. Int. J. Endocrinol. Metab. 2012, 10, 486. [Google Scholar] [CrossRef] [PubMed]
- Bradburn, M.J.; Clark, T.G.; Love, S.B.; Altman, D.G. Survival Analysis Part II: Multivariate Data Analysis–an Introduction to Concepts and Methods. Br. J. Cancer 2003, 89, 431–436. [Google Scholar] [CrossRef] [PubMed]










| Month | Plot 1 | Plot 2 |
|---|---|---|
| 1 | 100.00 | 99.49 |
| 2 | 100.00 | 99.49 |
| 3 | 96.21 | 98.47 |
| 4 | 93.18 | 96.45 |
| 5 | 90.15 | 96.45 |
| 6 | 88.64 | 94.42 |
| 7 | 88.64 | 94.42 |
| 8 | 86.36 | 93.40 |
| 9 | 85.61 | 91.37 |
| 10 | 84.85 | 90.86 |
| 11 | 82.57 | 90.35 |
| 12 | 80.30 | 88.83 |
| 13 | 79.55 | 88.32 |
| 14 | 79.55 | 88.32 |
| 15 | 78.78 | 88.32 |
| 16 | 78.78 | 88.32 |
| 17 | 77.27 | 88.32 |
| 18 | 77.27 | 87.82 |
| Age | Plot 1 | Plot 2 | ||||
|---|---|---|---|---|---|---|
| (Year) | Height | Diameter | Volume | Height | Diameter | Volume |
| 0.5 | 0.99 | 1.46 | 0.00002 | 1.05 | 1.40 | 0.00003 |
| 1 | 0.84 | 1.13 | 0.00004 | 1.02 | 1.40 | 0.00007 |
| 1.5 | 0.88 | 1.11 | 0.00009 | 1.06 | 1.41 | 0.00017 |
| Variable | Plot | Shapiro–Wilk (p) | Levene |
|---|---|---|---|
| Height | Plot 1 | 0.0618 | 0.5870 |
| Plot 2 | 0.0104 | ||
| Diameter | Plot 1 | 0.0013 | 0.0188 |
| Plot 2 | 0.0001 | ||
| Basal area | Plot 1 | 0.0000 | 0.0001 |
| Plot 2 | 0.0000 | ||
| Volume | Plot 1 | 0.0000 | 0.0001 |
| Plot 2 | 0.0000 |
| Variables | Schumacher | Chapman–Richards | Weibull | ||||||
|---|---|---|---|---|---|---|---|---|---|
| R2 | AIC | BIC | R2 | AIC | BIC | R2 | AIC | BIC | |
| Height | 0.98 | 27,978.54 | 27,996.56 | 0.80 | 27,207.97 | 27,232.01 | 0.80 | 27,204.63 | 27,228.66 |
| Diameter | 0.92 | 2609.84 | 2627.87 | 0.75 | 1915.88 | 1939.91 | 0.74 | 1914.40 | 1938.44 |
| Basal area | 0.68 | 7470.03 | 7488.06 | 0.62 | 7382.14 | 7406.17 | 0.62 | 7470.03 | 7488.06 |
| Volume | 0.57 | 33,853.16 | 33,871.19 | 0.54 | 33,827.11 | 33,851.14 | 0.54 | 33,824.79 | 33,848.82 |
| Height–Diameter | 0.98 | 24,951.67 | 24,969.70 | 0.90 | 24,222.14 | 24,246.18 | 0.90 | 24,221.01 | 24,245.04 |
| Basal area–Volume | 0.87 | 3793.06 | 3811.08 | 0.99 | −1846.81 | −1822.78 | 0.99 | 7470.03 | 7488.06 |
| Models | Estimated Models (Height) | R2 | Estimated Models (Diameter) | R2 |
|---|---|---|---|---|
| Schumacher | 0.98 | 0.92 | ||
| Chapman–Richards | 0.80 | 0.75 | ||
| Weibull | 0.80 | 0.74 |
Disclaimer/Publisher’s Note: The statements, opinions and data contained in all publications are solely those of the individual author(s) and contributor(s) and not of MDPI and/or the editor(s). MDPI and/or the editor(s) disclaim responsibility for any injury to people or property resulting from any ideas, methods, instructions or products referred to in the content. |
© 2026 by the authors. Licensee MDPI, Basel, Switzerland. This article is an open access article distributed under the terms and conditions of the Creative Commons Attribution (CC BY) license.
Share and Cite
Oblitas-Troyes, J.F.; Ocaña-Zúñiga, C.L.; Quiñones-Huatangari, L.; Sánchez-Fuentes, T.; Atalaya-Marin, N.; Gómez-Fernández, D.; Taboada-Mitma, V.H.; Tineo, D.; Goñas, M. Mathematical Models for Studying Growth of Retrophyllum rospigliosii in Agroforestry Systems with Coffee: A Case Study in Northern Peru. Forests 2026, 17, 255. https://doi.org/10.3390/f17020255
Oblitas-Troyes JF, Ocaña-Zúñiga CL, Quiñones-Huatangari L, Sánchez-Fuentes T, Atalaya-Marin N, Gómez-Fernández D, Taboada-Mitma VH, Tineo D, Goñas M. Mathematical Models for Studying Growth of Retrophyllum rospigliosii in Agroforestry Systems with Coffee: A Case Study in Northern Peru. Forests. 2026; 17(2):255. https://doi.org/10.3390/f17020255
Chicago/Turabian StyleOblitas-Troyes, Jhon F., Candy Lisbeth Ocaña-Zúñiga, Lenin Quiñones-Huatangari, Teiser Sánchez-Fuentes, Nilton Atalaya-Marin, Darwin Gómez-Fernández, Victor H. Taboada-Mitma, Daniel Tineo, and Malluri Goñas. 2026. "Mathematical Models for Studying Growth of Retrophyllum rospigliosii in Agroforestry Systems with Coffee: A Case Study in Northern Peru" Forests 17, no. 2: 255. https://doi.org/10.3390/f17020255
APA StyleOblitas-Troyes, J. F., Ocaña-Zúñiga, C. L., Quiñones-Huatangari, L., Sánchez-Fuentes, T., Atalaya-Marin, N., Gómez-Fernández, D., Taboada-Mitma, V. H., Tineo, D., & Goñas, M. (2026). Mathematical Models for Studying Growth of Retrophyllum rospigliosii in Agroforestry Systems with Coffee: A Case Study in Northern Peru. Forests, 17(2), 255. https://doi.org/10.3390/f17020255

