Next Article in Journal
Evaluation of the Attractiveness of Historical Water Reservoir Relicts (Splash Dams) in the Forest Environment of the Low Tatras National Park (Slovakia) in Terms of Ecotourism
Previous Article in Journal
Physiological and Transcriptomic Insights into Waterlogging Responses of Liriodendron Hybrids
 
 
Font Type:
Arial Georgia Verdana
Font Size:
Aa Aa Aa
Line Spacing:
Column Width:
Background:
Article

A New Dimension of the Hericium erinaceus Mycelium Cultivation Technique for the Future Intensification of the Valuable Fungicidal Substances Synthesis in Laboratory Conditions

by
Katarzyna Nawrot-Chorabik
1,*,
Małgorzata Osmenda
2 and
Robert Jankowiak
1
1
Department of Forest Ecosystems Protection, Faculty of Forestry, University of Agriculture in Krakow, 29 Listopada 46, 31-425 Krakow, Poland
2
Olkusz Forest District, The State Forests National Forest Holding, Ponikowska 32, 32-300 Olkusz, Poland
*
Author to whom correspondence should be addressed.
Forests 2026, 17(1), 51; https://doi.org/10.3390/f17010051 (registering DOI)
Submission received: 30 October 2025 / Revised: 14 December 2025 / Accepted: 29 December 2025 / Published: 30 December 2025
(This article belongs to the Section Forest Health)

Abstract

Hericium erinaceus is a fungus that, in addition to its health-promoting properties (including regenerative properties for gastrointestinal membranes and support for neuronal regeneration in neurodegenerative diseases such as Parkinson’s disease), has the ability to synthesize valuable metabolites, such as flavonoids (polyphenols) and terpenoids. These compounds possess strong biocidal properties. These substances provide the growing H. erinaceus mycelium with protection against colonization by other species of rot fungi, such as Trametes versicolor. For these reasons, the biological compounds produced by H. erinaceus can be used to produce ecological fungicides, which will find innovative applications in protecting forest tree seedlings. It should also be emphasized that valuable fungal substances are synthesized primarily by the mycelium of H. erinaceus during the initial stages of its development. Therefore, we undertook to develop an updated and modernized methodology for cultivating H. erinaceus mycelium in the laboratory, with the goal of commercializing the production of this mycelium, which will be used to isolate fungicidal substances metabolized by the fungus cultures. The biocidal substances obtained will be used to produce innovative fungicides in order to protect forest tree seedlings. The studies were conducted using various types of nutrient media, including Potato Dextrose Agar (PDA), Malt Extract Agar (MEA), and wort medium, at various temperatures ranging from 15 °C to 25 °C. Simultaneously, experiments were conducted using solidified media with a pH ranging from 4.0 to 7.0. The research was also expanded to include the growth and execution of experiments using a processed wood substrate, namely, sawdust made from individual structural wood elements. The sawdust was prepared from the bark, sapwood, and heartwood of sessile oak. The PDA medium was more favourable to the mycelium growth of H. erinaceus at 25 °C. It was also found that an acidic pH in the range of 4.0–5.0 significantly influenced the changes in the growth rate of the mycelium species and their phenotype. It was observed that mycelial growth on a substrate of oak sawdust made from sapwood resulted in intensive mycelial growth and a significant reduction in the wood substrate compared to sawdust made from bark, heartwood, and a mixture of all types of sawdust. The reason for the low mycelial growth, low mass reduction and slight reduction in the mass of sawdust made from bark, heartwood, and a mixture of all types of sawdust was the presence of high levels of tannins, which inhibited the fungal growth.

1. Introduction

Hericium erinaceus (Bull.) Pers. is a fungus belonging to the phylum Basidiomycota, family Hericiaceae. It is distinguished by the formation of a characteristic white, fleshy fruiting body covered with basidiomata, i.e., delicate, thorn-like projections [1]. This species is a saprotroph that develops on the wood of weakened or dead deciduous trees, including oaks, maples, and elms. At the same time, H. erinaceus can develop and grow on living trees as a weak parasite [2]. Throughout Europe, H. erinaceus is very rarely found in forests. For this reason, this species has been placed on the red list of strictly protected species in countries such as Austria, Great Britain, Poland, and Slovakia [3,4]. In countries such as Japan and China, H. erinaceus is common in forest environments. This has led to the edible fruiting bodies of H. erinaceus being collected and used in traditional Asian cuisine for years due to their unique flavor. At the same time, H. erinaceus has been recognized as an important health-promoting fungus with the ability to produce bioactive compounds that have beneficial effects on human health. For these reasons, the fruiting bodies are used to prepare various preparations in the form of dietary supplements and alternative medicines used in cases of gastrointestinal diseases (stomach ulcers), nervous system diseases (Parkinson’s disease), and autoimmune diseases (diabetes) [5,6,7].
Recent research findings indicate that it is now possible to isolate compounds from the fruiting bodies and mycelium of H. erinaceus, including polysaccharides, laccase, and hericenones, which possess high bioactive efficacy. Interestingly, determining the interactions between the bioactive molecules synthesized by the fungus phenols, terpenoids, and lactin is still a challenge. It should be emphasized that the full health-promoting properties of the terpenoids and phenols produced by Lion’s Mane Mushroom are not fully understood and are still being researched [7]. However, it was found that biological compounds, i.e., fatty acids and polysaccharides produced by fungi, i.e., H. erinaceus and Lentinula edodes (Berk.) (Pegler), have biocidal properties, including nematicidal and antibacterial properties [8,9]. Therefore, due to the ability of H. erinaceus to synthesize valuable biological compounds with antimicrobial properties, it is desirable to use them in the protection of forest nurseries, which is a novelty [10,11,12,13]. This issue is very important and relevant, especially in relation to the direct threat to forest tree seedlings from the pathogenic fungi of Fusarium spp. and the oomycete pathogens of Phytophthora spp. Both pathogens can cause plant diseases in forest nurseries and in naturally regenerated seedlings [14,15,16,17]. Therefore, it is desirable to develop innovative plant protection products based on biological substances produced by fungi, including those of the genus Hericium (Pers). The basis for undertaking work concerning the use of secondary metabolites produced by H. erinaceus is the increasingly common use of biocidal compounds isolated from fungi in plant protection. A prime example is the use of secondary metabolites with strong fungicidal activity, which were isolated from the saprotrophic fungi Clonostachys sp. Compounds isolated from Clonostachys sp. have been used to protect vegetables and fruits against the fungal pathogen Botrytis cinerea (Pers.), which contributes to their rapid rotting. The compounds produced by Clonostachys sp. inhibit the germination of conidia and the activity of the B. cinerea sclerotia and mycelium, contributing to its control. Also, compounds produced by H. erinaceus, i.e., cerevisterol, may contribute to the inhibition of the growth of fungal pathogens, i.e., Glomerella cingulata (Stonem.) Spauld. & Schrenk [18,19,20,21,22].
However, developing methods for culturing H. erinaceus mycelium strains (vegetative mycelium occurring in the initial stages of growth) and extracting bioactive compounds from them, including those terpenoids, pyrones, flavonoids, and diterpenoids on an industrial scale, remains problematic. This makes it impossible to obtain sufficient quantities of bioactive substances used to develop new biocidal preparations [3,11,12,13,14,23].
The scientific examples cited above suggest the need to introduce a new strategy for cultivating H. erinaceus mycelium to extract biologically active substances from it in laboratory conditions. To achieve this goal, it is beneficial to establish mycelial cultures of the fungus using various solidified substrates and a processed wood substrate in the form of oak sawdust prepared from individual wood layers (bark, sapwood, heartwood, and mixtures of individual wood layers [24]. However, for fungal cultures to be characterized by high-quality mycelium, it is essential to select optimal factors that determine the initiation and stabilization of culture growth.
The first factor that plays a key role in the mycelial growth and survival of the fungus is the culture medium (culture medium). The main purpose of the medium is to meet the nutritional needs of the specific fungal species. Therefore, the composition of the nutritional medium must contain adequate amounts of carbohydrates (disaccharides), macronutrients, micronutrients, and water [25,26]. Therefore, selecting the appropriate medium composition primarily determines the development and appearance of the mycelium. The trophic mode and nutritional characteristics of the fungus, i.e., saprotroph or pathogen, and the specific purpose of establishing mycelial cultures, i.e., the production or the cultivation of new fungal varieties, also determine the use of particular types of solidified media. Among the vast number of known nutrient media used in laboratory cultures, the following solidified media are suitable: Potato Dextrose Agar (PDA), Malt Extract Agar (MEA), and wort medium. PDA is commonly used in laboratory research for culturing mycelial cultures. Its basic composition includes potato extract, dextrose, and agar, a natural gelling agent obtained from marine algae [27]. Another prominent synthetic medium used for fungal cultures is Malt Extract Agar (MEA). This medium has been used in laboratory research, among other things, for the sporulation process, i.e., the production of fungal spores. The distinguishing feature of MEA medium is the use of malt extract, maltose, peptone, and agar [28]. The final medium used for establishing fungal cultures is wort agar medium. The main and basic component of wort medium is wort, i.e., an aqueous solution of substances including fermentable sugars (maltose 40.0%, maltotriose up to 20.0%, and glucose 15.0%), polyphenols, and minerals extracted from highly nutritious barley malt during the brewing process [29,30].
For the growth, intensification, and productivity of mycelial cultures to proceed properly, appropriate physical conditions must be established, including ambient temperature and the pH of the nutrient medium. These assumptions are crucial because different fungi have specific requirements regarding temperature and substrate acidity [31,32]. Establishing and maintaining the optimal temperature range directly influences the proper rate of mycelial growth, gas exchange, assimilation, and transport of nutrients, including simple sugars and biogenic elements, such as nitrogen, and their biosynthesis. Determining the appropriate range of cardinal temperatures for the tested species, i.e., minimum (initial), optimal (best fungal growth), and maximum (fungal growth inhibition), constitutes the basis for the possibility of establishing efficient and high-quality mycelial cultures [33,34].
At the same time, selecting the appropriate pH for the fungal species is crucial for, among other things, the growth potential of fungal cultures, changes in hyphal morphology through cell differentiation, and increased mycelium capacity to synthesize secondary metabolites. Most fungi prefer to grow in a medium with a pH ranging from acidic to neutral. However, selecting a nutrient medium within a specific pH range depends primarily on the fungal species’ ability to dynamically eliminate H+ ions, which are harmful to the growing mycelium, as well as the rate of nutrient assimilation [25,35,36,37].
In addition to establishing traditional mycelial cultures on artificial nutrient substrates prepared under sterile conditions, it can also be expanded to include culturing on a wood substrate in the form of sawdust, e.g., sessile oak (Quercus petraea Matt.) Liebl.
One of the main characteristics of trees belonging to the genus Quercus is the evolution of a thick bark. The basic substances that form the bark’s structure include cellulose, pentosans and lignin. The chemical composition of bark also includes water-soluble substances, such as simple sugars, dyes, and water-insoluble substances, including sterols and fats. A distinctive feature of bark is its higher content of water-soluble minerals and lignin, and lower content of cellulose, compared to wood [38]. Bark covers the top layer of wood, which is composed of organic substances, such as cellulose (approx. 40%), hemicellulose (approx. 25%) and lignin (approx. 20%) [39]. The chemical compounds mentioned above are components of oak sapwood and heartwood. Sapwood consists of well-hydrated cells that form the outermost part of a woody trunk or branch. Due to its conductive function, the cells that make up sapwood are well hydrated. A characteristic feature of sapwood is its light color, resulting from the absence of chemical compound deposits that give it a darker color. The inner, woody part of an oak trunk is called sclerophyll, which strengthens the trunks and branches of trees. Heartwood is formed as a result of the natural aging process of sapwood cells, their death, and impregnation with substances such as gums. Oak heartwood is characterized by its dark color, which is due to the presence of chemical compounds within its cells, including phenolic compounds, flavonoids, tannins, oxycinnamic acids, and catechins. The most important function of phenolic compounds is to protect plant cells from infection and colonization by fungal pathogens. Polyphenols also have an ideal chemical structure for neutralizing oxygen radicals. This ability significantly reduces the risk of damage and death of the cells that form the wood structure. Oak species, in particular, are capable of synthesizing significant amounts of phenolic compounds in their heartwood and leaves to provide the trees with resistance to fungal attack [40].
The individual oak wood components characterized above constitute an excellent nutrient substrate for many species of Basidiomycota [41]. Therefore, this study attempted to establish micellar cultures on oak wood. However, the use of solid oak wood fragments is difficult to implement in practice due to difficulties associated with the sterilization of the solid material, which often contains undesirable cultures of rot fungi, including Daedalea quercina (L.) Pers., Fistulina hepatica (Schaeff.) With., and Laetiporus sulphureus (Bull.) Murrill [33,42,43,44,45]. For this reason, processed wood substrate in the form of sawdust was used in the conducted studies. The structure of sawdust facilitates its sterilization and the uptake of nutrients by fungi. As a result, it is possible to reliably assess the potential growth and intensification of the growth process of fungal cultures on the processed wood substrate [46,47].
The primary objective of the research presented in this paper was to determine the most favorable conditions for growing H. erinaceus mycelium under controlled conditions. The conducted research allowed for a detailed assessment of the type and acidity of the solidified substrate used and the influence of selected ambient temperatures. The research also included the selection of the most suitable wood substrate in the form of oak sawdust, made from sapwood, heartwood, bark, and a mixture of individual sawdust types.
The laboratory studies conducted provide a basis for improving the cultivation technique for H. erinaceus mycelium, which produces valuable biocidal compounds. This methodology may be used to develop more sophisticated techniques for producing biofungicides.

2. Materials and Methods

2.1. Isolation of Research Material

This study used a fruiting body of the H. erinaceus from the fungal collection of the Department of Forest Ecosystem Protection at the University of Agriculture in Krakow (Poland). The fruiting body was grown on beech chips. H. erinaceus was stored in a growth chamber at a temperature of +/−20 °C. Humidity was approximately 50.0%, according to the manufacturer’s recommendations, Mycomed-Medicinal Mushrooms Biosystems, Poland. The mushroom strain originates from Japan (Nagano Prefecture). The fruiting body was cultivated for 4 months.
Samples were collected from the cultivated fruiting body in the form of 10 mm mycelium discs. A total of 20 isolates were obtained and used for mycelium propagation. Each isolate was placed in a Petri dish with PDA+T medium (potato dextrose agar, Biocop, 200 mg/L tetracycline) prepared according to the recommendations of TZF Polfa, Krakow, Poland. Samples were incubated in a Heraeus incubator (model BK600, Burladingen, Germany) in the dark at 22 °C, with approximately 90.0% for 1 week. All isolates reached a diameter ranging from 20.0 to 35.0 mm. Ten isolates were then selected and subjected to genetic analysis using the polymerase chain reaction (PCR) method of the ITS region of rDNA, including ITS4 and ITS5 [48,49]. The extracted DNA sequences were processed using ChromasPro 1.6 software (Technelysium, Vienna, Australia) and verified against the NCBI GenBank database using the BLAST tool (Basic Local Alignment Search Tool, BLAST + 2.17.0) to find the most similar gene sequences (H. erinaceus: Taxonomy ID 91752).

2.2. Preparation of Substrates

We prepared 1.0 L of each of the three media. PDA (potato dextrose agar) was prepared according to the manufacturer’s instructions, Biocorp (Poland). The wort medium consisted of 0.25 L of 9.0% beer wort, 0.75 L of distilled water, and 15.0 g of Lab-Lamco agar (Argenta Bestlab, Poznań, Poland). In the case of the preparation of maltose medium (MEA), 0.8 L of distilled water, 15 g of Lab-Lamco agar (Argenta Bestlab, Poznań, Poland), and 20 g of maltose dissolved in 0.2 L of warm distilled water were used.
Also prepared 2 L modified PDA medium without agar. The PDA medium was poured into 7 flasks of 0.29 L each. Then, to each flask with the medium, 0.030 mg/L to 0.086 mg/L of the selected acid or base solution was added to obtain the appropriate pH. The following chemicals were used to achieve the appropriate degree of acidity of the mediums: acids 1.8% HCl—4.0 pH (0.030 mg/L) and 4.5 pH (0.039 mg/L), 3.6% HCl—5 pH (0.048 mg/L), and bases: 0.5% NaOH—5.5 pH (0.057 mg/L), 1.0% NaOH—6.0 pH (0.066 mg/L), 2.4% NaOH—6.5 pH (0.075 mg/L), and 5.0% NaOH—7.0 pH (0.086 mg/L). The pH was measured using a portable electric pH meter, Mettler Toledo Seven2Go™ Pro DO meter S9, MT30207970-1KIT (Merck KGaA, Darmstadt, Germany). Next, 15.34 g/dm-3 of agar was added to the PDA media with pH 4.0, 4.5, and 5.0, respectively. For the PDA media with pH 5.5, 6.0, 6.5, and 7.0, 19.48 g/L of agar was added, respectively.
All prepared media were then sterilized in a Model MLS-830L-PE autoclave (PHC Europe BV, Breda, The Netherlands) for 30 min. The number of replicates (Petri dishes) for each of the three types of media (PDA, MEA and wort medium) was 12. The number of replicates (Petri dishes) for each of the seven types of media with a different pH (from 4.0 to 7.0) was 10.

2.3. Preparing the Wood Substrate

A fragment of a sessile oak trunk (1.0 m long) was used to prepare the processed food substrate in the form of sawdust. A fragment of an oak trunk came from forests located in the Spała Forest District (Mazovian-Podlasian Forest-Nature Region). The sampled trunk fragment was approximately 20–25 years old. Wood moisture was measured using a Trotec moisture meter (model MB12, Heinsberg, Germany). The moisture content of oak wood was 20.0%. In order to make sawdust, a single wooden disc was taken from the central part of the trunk. In order to make sawdust, a single wooden disc was taken from the central part of the trunk using a Husqvarna chainsaw (Model 365 X-Torq, Warsaw, Poland). The resulting oak disc had a total diameter of 185.0 mm. The radius of the wooden disc was measured using a measuring tape from the clearly visible core. The individual wood components had the following dimensions: heartwood—96.2 mm, sapwood—69.4 mm, and bark—19.4 mm. The disc was then cut in half using a Dedra 2000 circular saw (Dedra Exim, Pruszków, Poland) equipped with a Verto blade (ndiUnimet, Rzeszów, Poland) to facilitate the collection of bark and both types of wood. In the next step, sawdust was obtained from half of the wooden disc by filing away the bark and wood using a precision double-tooth saw from Neo Tools (GTX Group, Warsaw, Poland). The resulting sawdust was divided into three separate batches: bark sawdust, sapwood sawdust, and heartwood sawdust. Each type of sawdust was sieved through a 15 mm sieve. The weight of each type of sawdust was 4.0 g. Additionally, a sawdust mixture was prepared, consisting of sawdust from bark and the two types of wood. The sawdust mixture consisted of 0.42 g of bark sawdust, 1.5 g of sapwood sawdust, and 2.08 g of heartwood sawdust. Each type of sawdust was portioned into individual 0.4 g test samples, which were placed in individual aluminum foil sachets. All test samples were sterilized in a Model MLS-830L-PE autoclave (PHC Europe BV, Breda, The Netherlands) at 105 °C for 20 min.

2.4. Mycelium Growth on Different Media and Ambient Temperatures

Individual 5.0 mm H. erinaceus isolates were excised from the actively growing margin of the colony and placed in the center of individual plates containing PDA, MEA, and wort medium. Each batch of inoculum-laden test media was grouped into three groups. Each of the three test groups contained fungal isolates placed on a different type of medium. The prepared groups with fungal isolates were placed in Heraeus incubators (Model BK600, Burladingen, Germany), with ambient temperatures set at 15 °C, 20 °C, and 25 °C, respectively.
Fungal cultures were placed in incubators for three weeks. The fungal growth of each strain was determined by analyzing the radial growth (two measurements perpendicular to each other per plate). Four replicate plates for each strain were incubated, and the radial growth, calculated in mm, was determined 5, 10, 15, and 20 d after inoculation.
A detailed diagram of the individual stages of the experiment using different substrates and temperatures is shown in Figure 1A. The method of measuring the size of individual fungal cultures is shown in Figure 2.

2.5. Mycelium Growth on Media with Different pH Values

The procedure for collecting fungal isolates and placing them on selected media with pH values of 4.0, 4.5, 5.0, 5.5, 6.0, 6.5, and 7.0 was identical to that used to examine the effect of media type and temperature on the growth and development of H. erinaceus cultures. All test samples were placed in a Heraeus incubator (Model BK600, Burladingen, Germany) maintained at 20 °C. The temperature of 20 °C was used to determine the effect of a specific medium on fungal culture growth without significantly affecting the ambient temperature. Growth characteristics were determined by analyzing radial growth (two culture size measurements per plate) of individual test samples. Fungal culture sizes were determined 7, 14, 21, and 28 days after inoculation. Size measurements of individual fungal samples are presented in mm. A detailed diagram of the individual experiments using media with different pH values is shown in Figure 1B.

2.6. The Influence of Mycelium Development on Reducing the Mass of the Wood Substrate

A circular disk with a diameter of 30.0 mm was cut from individual Petri dishes containing an agar medium prepared from 15 g/L Lab-Lamco agar (Argenta Bestlab, Poznań, Poland) and 1 L of distilled water. The resulting gel disk was removed, leaving a circular hole. Sterile sawdust of each type was placed in each hole. Individual samples of sapwood sawdust, heartwood sawdust, and the resulting mixture of all sawdust types were moistened with 500 µL of distilled water each. All received batches of bark sawdust were moistened with 600 µL of distilled water each. Moisture content of individual test samples of sawdust was measured using a sterile moisture meter (Benetech Polska model GM620, Kalisz, Poland). The moisture content of the oak sawdust was +/−13.0%. The number of replicates of Petri dishes for each of the four types of prepared sawdust was 10.
Then, a single H. erinaceus isolate (a 5.0 mm diameter plug) was placed in individual dishes containing sawdust made from bark, sapwood, heartwood, and a mixture of sawdust made from individual kinds of wood parts. The fungal isolates were gently pressed onto the wood substrate. All test samples were placed in a Heraeus incubator (Model BK600, Burladingen, Germany) at ±20 °C. After the study was completed, all sawdust types, along with the fungal cultures growing on them, were transferred to aluminum bags and placed in an autoclave model MLS-830L-PE (PHC Europe BV, Breda, The Netherlands). All sawdust samples were dried to remove mycelium. The drying process was carried out at 105 °C for 20 min.
After thoroughly drying the test samples, the actual mass of the four types of sawdust was obtained. The resulting sawdust mass was reduced due to the growth of the fungal cultures on the wood substrate. All test sawdust samples were then weighed on a digital analytical balance (Explorer Analytical OHAUS Europe, Nänikon, Switzerland). The mass loss of the wood substrate was determined as the difference in the sawdust mass at the beginning of the test and the resulting sawdust mass at the end of the test. The fungal cultures grew on the sawdust for 30 days. A detailed flowchart of the individual stages of the experiment using a substrate made of oak sawdust is presented in Figure 3.

2.7. Statistical Analysis

To verify the assumption that the type of medium, including PDA, MEA, and wort medium, and the selection of temperature ranging from 15 °C to 25 °C, determined the growth and expansion rate of H. erinaceus cultures, a one-way ANOVA test was performed with a significance level of p < 0.05. The one-way ANOVA test was performed separately for selected media types and selected temperatures.
The validity of the previous statistical analysis was verified by analyzing the resulting 95.0% confidence intervals for the obtained mean values of the fungal cultures. The analyses were presented separately for selected media types and temperatures.
A statistical study of the effect of medium pH and the duration of fungal culture incubation on their growth rate was also conducted, as well as an analysis of the joint effect of specific medium pH and the growth rate of fungal isolates using multivariate ANOVA.
The significance of the effect of specific substrate pH and incubation time on the growth of cultures was examined using a one-way ANOVA. The mean growth of mycelium cultures was also analyzed using a two-way ANOVA. The obtained results were verified by considering the obtained confidence intervals at the 0.95% level.
The significance of the effect of fungal cultures on the mass loss of the wood substrate was then analyzed using the Student’s t-test. A significance level of p = 0.05 was adopted.
All statistical analyses were performed using DELL STATISTICA version 13.1 (Dell Inc., Grove St., Newton, MA, USA).

3. Results

3.1. The Influence of Selected Media and Temperatures on the Growth and Development of Fungal Cultures

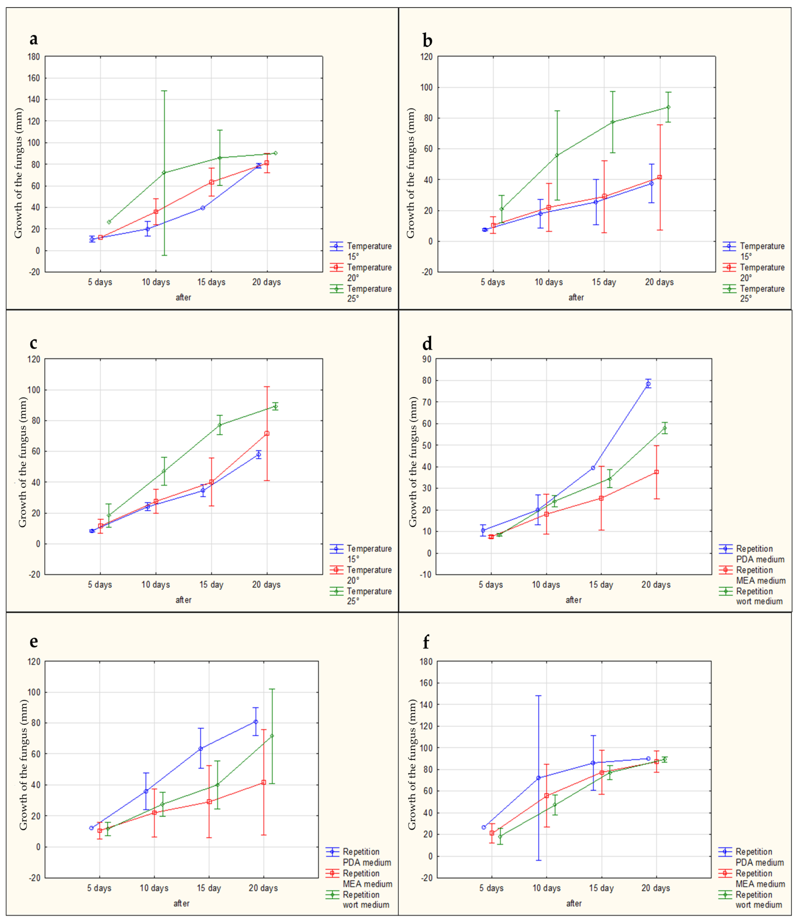
Analyses of the effects of various media and temperatures on the growth and escalation of H. erinaceus cultures showed that our initial assumptions regarding the impact of the above-mentioned culture conditions were unexpected. Therefore, the expansion of H. erinaceus cultures was examined in detail on selected PDA, MEA, and wort medium media and at selected temperatures of 15 °C, 20 °C, and 25 °C. It was found that fungal cultures grown at 15 °C simultaneously on all three types of food media had the smallest colony diameters compared to mycelium cultures grown at 20 °C and 25 °C. The resulting diameters of H. erinaceus cultures grown at 15 °C, regardless of the medium type, were 8.0% and 16.0% smaller than the diameters of cultures grown at 20 °C and 25 °C at the final stage of the experiment (Table 1). At the same time, it was found that fungal cultures that absorbed nutrients from PDA medium developed the largest culture diameters, proportionally to the growth period (number of days). The diameters of mycelium cultures growing on wort medium were 10.0% smaller than those growing on PDA medium. The smallest observed diameter of H. erinaceus cultures was observed when they grew on MEA medium. Mycelium growing on MEA medium had a diameter smaller by 18.16% than mycelial cultures grown on wort medium and by 28.16% compared to the diameter of cultures grown on PDA medium (Table 1). The results of one-way statistical analysis of ANOVA showed that the obtained level of significance for selected substrates and temperatures had a value of less than p = 0.05. Based on the obtained statistical test result, it was found that both the choice of substrate and the appropriate temperature significantly influenced the final diameter of fungal cultures (Table 2 and Table 3). The analysis of the distribution of confidence intervals for individual media also confirmed a significant effect of the use of PDA medium on both the growth rate and the final diameter of the fungal culture, compared to the results obtained for MEA and wort medium (Figure 4a–c). Simultaneously, the analysis of the distribution of confidence intervals for the experimentally determined temperatures confirmed that the temperature of 25 °C had a significant effect on the rapid dynamic growth of mycelium throughout the entire cultivation period. In the case of the growth dynamics of fungal cultures at temperatures of 15 °C and 20 °C, it was observed that the growth rate of mycelium occurred at a comparable rate (Figure 4d–f).
Final observations of the effect of medium type and temperature on the growth of H. erinaceus cultures revealed differences in the morphology of the fungus, i.e., differences in the structure and color of the cultured fungal cultures. It was found that H. erinaceus cultures growing at the lowest ambient temperature of 15 °C developed a delicate hyphal structure characterized by a semi-transparent white color of the fungal colonies (Figure 5a,d,g). In the case of cultures growing at a temperature of 20 °C, a change in the structure of the mycelium was observed, i.e., a compact structure of the cultured mycelium and its intense white color (Figure 5b,e,h). In contrast, H. erinaceus cultures growing at the highest temperature developed the most impressive and very compact mycelium structure resulting from a high density of creamy-white hyphae (Figure 5c,f,i). At the same time, it was observed that the fungal cultures that developed the largest mycelium sizes grew on PDA medium compared to cultures that grew on the other two research media (Figure 5a–i).
The obtained results defining the optimal conditions for the growth of mycelium H. erinaceus will be used in practice to establish initial cultures of the species on a commercial scale.

3.2. The Influence of Media with Different pH on the Growth and Development of Fungal Cultures

Analyses of the effect of media pH showed that the growth rate and final diameter of individual mycelium cultures varied depending on the type of medium used. Fungal isolates growing on media with pH 4.0, 4.5, and 5.0 developed cultures that grew very rapidly (Table 4). The H. erinaceus culture grown on pH 4.0 had 3.0% and 4.0% larger culture diameters than cultures grown on pH 4.5 and 5.0 after 14 days. At the same time, mycelium growing on pH 6.0 developed 3.0% larger culture diameters than cultures grown on pH 5.5 after 14 days (Table 4). However, in the case of cultures growing on media with pH 6.5 and 7.0, it was observed that they developed mycelia of the same size. After 20 and 28 days, inhibition of the expansive growth of H. erinaceus cultures was observed, regardless of the type of medium on which they were grown (Table 4). Multivariate ANOVA also confirmed the significant influence of culture factors, including medium pH, incubation time (number of days), and the correlation between the use of medium pH and the incubation time of fungal cultures (Table 5). The results of the one-way ANOVA for specific pH values showed that the selection of the appropriate medium pH significantly influenced the ability to grow mycelium characterized by large culture sizes (Table 6). Simultaneously, the results of the one-way ANOVA of the influence of the specific cultivation time were also observed. The statistical analysis showed that mycelium cultures developed significantly after 7 and 14 days. No significant statistical values were obtained with further time of fungal culture growing (Table 7). The results of statistical analyses, in which the p value was lower than the test value of 0.05, confirmed the significant influence of the tested culture conditions on the formation of grown and high-quality H. erinaceus cultures (Table 5 and Table 6). The presented interpretation of the obtained results regarding the statistical effects of the type of medium used and the duration of cultivation was confirmed by performing an analysis of the formation of confidence intervals at the 95.0% level. The obtained statistical analyses for the individual confidence intervals showed that the greatest intensity of growth and expansion of mycelium occurred in media with a pH of 4.0, 4.5, 5.0, and 6.0 (Figure 6a–c,e). In the case of other substrates with a pH of 5.5, 6.5 and 7.0 tested in the experiment, a slower growth rate of fungal cultures was observed (Figure 6d,f,g). The statistical analysis of the duration of fungal culture cultivation also confirmed that fungal culture growth was very dynamic for the first 14 days after culture establishment. The growth dynamics of all cultures were independent of the pH of the medium used (Figure 7a,b).
At the end of the experiment (28 days), H. erinaceus mycelia growing on media with different acidity levels reached uniform culture sizes (Figure 8). However, individual H. erinaceus isolates grown on media with different pH levels exhibited diverse morphology. The culture grown on a medium with a pH of 4.0 developed large, compact, white vegetative mycelium. Small, conical clusters of mycelium, likely the beginnings of young fruiting bodies, were found to form on the mycelium surface (Figure 8a). In the remaining cultures grown on media with a pH ranging from 4.5 to 6.5, filamentous, white vegetative mycelium was observed. All established cultures were observed to form small, needle-like clusters of mycelium on the surface of the vegetative mycelium, resembling the surfaces of the hymenophore of the H. erinaceus fruiting body (Figure 8b–f). In the case of the fungal culture grown on a medium with a pH of 7.0, the formation of mycelium was observed, which consisted of a finer network of hyphae. Several small clusters of needle-like structures were also observed on the mycelial surface (Figure 8g).
The obtained results, demonstrating the effect of substrate pH and incubation time on H. erinaceus cultures, will be used in practice to obtain mature fungal colonies quickly. The obtained cultures will then be placed on a wood substrate to initiate mycelium growth and the growth of fruiting bodies.

3.3. The Influence of the Development of Fungal Cultures on the Reduction in the Dry Mass of the Wood Substrate

Analyses of the impact of H. erinaceus growth and colonization of a wood substrate in the form of sawdust, as well as its mass reduction due to its decomposition by fungal cultures, showed that the mass loss of wood substrate made from sapwood differed significantly from that of sawdust produced from other types of wood and bark. The results obtained show that the reduction in dry mass of oak sawdust due to the growth of H. erinaceus cultures placed on its surface varied depending on the type of solid substrate used to produce the sawdust (two types of wood, bark, and a mixture of wood and bark). It was found that sawdust made from sapwood was decomposed to the greatest extent by the direct action of the fungus. The significant reduction in sapwood sawdust was caused by the intensive uptake of nutrients by H. erinaceus cultures. The dry mass loss of sapwood sawdust was 7.25% and 5.0% greater than that of sawdust made from bark and heartwood. Comparison of the dry mass loss of sapwood sawdust with the mass loss of the mixture of all types showed that the mass of sapwood sawdust was reduced to a greater extent (by 5.75%) than the mass loss of the sawdust mixture. Based on the statistical analyses, significant differences were found in the observed mean mass reduction in sapwood sawdust due to the growth of fungal cultures. No significant statistical differences were observed for the other sawdust types tested in the experiment. The obtained results of statistical analysis, in which the p coefficient value was lower than the 0.05 test value, confirmed the significant influence of the choice of substrate in the form of sapwood sawdust for establishing and obtaining grown and high-quality H. erinaceus cultures (Table 8).
Mass reduction studies of sawdust substrates made from different types of wood substrates showed that H. erinaceus cultures outgrow the selected wood substrate to varying degrees. Final observations of fungal culture growth on sawdust revealed differences in mycelial morphology, depending on the type of sawdust on which they were growing (Figure 9a–d). The mycelium growing on sawdust made from bark and heartwood was delicately white in color and had a fine structure. Uniform mycelium growth was observed on the food substrate (Figure 9a,b). The mycelium growing on sapwood sawdust produced the largest culture. This mycelium had an intensely white color and a compact hyphal structure (Figure 9c). In contrast, the mycelium growing on the sawdust mixture was light gray in color and colonized the food substrate to the least extent (Figure 9d). It was observed that all H. erinaceus cultures colonizing all types of sawdust, except for sapwood, caused a brown discoloration at the interface between the wood substrate and the solidified agar medium. The visible discoloration is likely due to the release of tannins from the wood substrate or the production of secondary metabolites by H. erinaceus cultures (Figure 9a,b,d).
The results obtained, demonstrating the impact of H. erinaceus cultures on reducing the dry mass of wood substrate, will enable the practical establishment of commercial H. erinaceus cultures in laboratory conditions using processed sawdust. Using the appropriate type of wood substrate (sapwood sawdust) will enable the rapid growth and expansion of fungal cultures, enabling the isolation of valuable fungicidal substances, including phenols and terpenoids.

4. Discussion

Fungicides, as plant protection products, are widely used for effective control of phytopathogens. Unfortunately, many currently produced fungicides contain synthetic substances, such as triazoles and carboxamides, which, when used in excess, can have a detrimental impact on the environment and human health. Therefore, the development of biodegradable fungicides is desirable [50,51]. This fact has led to many scientific disciplines and specialties, such as forestry, agriculture, and biotechnology, paying special attention to the possibility of using active substances synthesized by fungi to develop innovative biopesticides [52]. In order to isolate and obtain fungicidal substances, it is advisable to use mycelium H. erinaceus, taken from the fruiting bodies of the species grown under commercial conditions. Current methods of cultivating fruit bodies involve growing them on a nutrient substrate consisting of a mixture of sawdust from deciduous trees, such as beech, or shredded corn or rice straw. Commercial cultivation requires a humidity level of about 65.0% [53,54,55,56]. This prevents drying out of both the nutrient substrate and the growing hyphae. However, obtaining a fruiting body is a lengthy process, taking several months, which reduces the likelihood of isolating fungicidal substances from the fruit body. Therefore, the focus has been on developing optimized laboratory techniques for culturing mycelium H. erinaceus.
To isolate bioactive compounds, including secondary metabolites, special attention should be paid to ensuring optimized culture conditions, which directly impact the quantity and quality of the cultivated mycelium. The experiments described in this article enable the modernization of current fungi cultivation techniques in laboratory conditions, which in practice translates into increased mycelium production and the isolation of valuable bioactive substances from it. The conducted research and analysis included multifactorial culture conditions, including various ambient temperature ranges, solidified media pH, and nutrient substrate types (nutrient media and wood substrate), on the achievement of high-quality H. erinaceus cultures within a short incubation period.
Experiments examining the effects of temperature and substrate type demonstrated a significant impact of their selection and use in cultivating mycelium characterized by large surface culture sizes and a compact hyphal structure. Studies using H. erinaceus cultures demonstrated a significant correlation between the effects of substrate type and temperature selection (Table 1, Table 2 and Table 3, Figure 4 and Figure 5). It should be emphasized that determining the fungus’s thermal preferences is crucial for achieving the required culture size. The preferred growth conditions for H. erinaceus at various temperatures observed in the conducted experiments are likely genetically determined and directly related to the location and climatic zone in which the species occurs in its natural environment. This assumption is confirmed by the research on various strains of the health-promoting fungus species Ganoderma chalceum (Cooke) Steyaert. The studies showed that two different strains of G. chalceum, collected from different ecosystems, have different thermal preferences necessary for their intensification of the growth process. The analyses carried out showed that the G. chalceum strain collected from the areas of volcanic hills poor in vegetation had higher thermal preferences (ca. 30 °C) compared to the strain of the same species collected from the habitats of evergreen equatorial forest (ca. 25 °C) [57,58].
However, it should be emphasized that determining the optimal temperature range can be directly correlated with the selection of an appropriate nutrient substrate. The effect of these two factors results in the rapid growth of mycelium cultures in a short period of time. This assumption is confirmed by the results of studies using cultures of the fungi Grifola gargal Singer and Grifola sordulenta (Mont.) Singer. Tests conducted by Postemsky and Curvetto (2014) showed that the selection of the optimal fungal incubation temperature depended on the type of medium used to inoculate the mycelium [59]. The relationships presented above were also observed in experiments conducted by Zervakis et al. (2001) [25], in which it was observed that the growth rate of fungal cultures, i.e., Lentinula edodes (Berk.) Pegler and Pleurotus pulmonarius (Fr.) Quel. in the range of preferred temperatures (from 15 °C to 40 °C) and substrates (PDA medium and cellulose substrate) depend on the selection of the appropriate food substrate used [25].
Selecting the appropriate pH also plays a crucial role in selecting the most favorable nutrient medium for the growth of a specific fungal species. The results of studies using H. erinaceus cultures demonstrated the significant impact of optimal pH on the growth rate of the tested fungus during the initial incubation period of each culture. The experiment showed that H. erinaceus cultures achieved the fastest growth rate at an acidic pH. Interestingly, however, later in the incubation period for all the test samples, the growth sizes of the individual cultures became equal regardless of the medium pH (Table 4, Table 5, Table 6 and Table 7, Figure 6, Figure 7 and Figure 8). These results are likely due to the broad adaptability of the fungal cultures to growth in a variety of media of the specific strain studied. This assumption is supported by studies of strains of Lentinus squarrosulus Mont. growing on media with a range of pH values from 5.0 to 8.0. Observations revealed that two strains of this fungus (labelled as 1 and 2) had different preferences for appropriate nectar acidity. The experiment showed that L. squarrosulus strain 1 grew best in a medium with an acidity ranging from 5.0 to 7.0 pH, in contrast to L. squarrosulus strain 2, whose optimal culture growth rate was observed in a narrower acidity range of 5.0 to 5.5 pH [60]. The assumptions presented above demonstrate that the type of medium, temperature, and pH have a significant impact on maximizing the growth rate of fungal cultures. Therefore, it is desirable to continue further research aimed at optimizing the growth processes of fungal cultures. This is crucial because the selection of optimized culture conditions allows fungal cultures to achieve maximum metabolic expression. Consequently, it is possible to increase the production of a selected biochemical compound, which can be used in the production of modern drugs [61,62].
However, for controlled cultivation, it is also possible to use mechanically processed wood substrate in the form of various types of sawdust. The research results presented in this paper demonstrated a significant effect of growing H. erinaceus cultures on the greatest reduction in sapwood sawdust mass. However, in the case of the other types of sawdust used in the experiment, i.e., those made from bark, heartwood, and a mixture of both types of wood and bark, no significantly lower reduction in wood mass was observed by the fungal cultures (Table 8, Figure 9). The reason for the large reduction in sapwood sawdust mass is the lower saturation of sapwood cells with compounds, such as phenols, which are harmful to fungal organisms [63]. However, the cells of heartwood and bark contain large amounts of compounds from the group of hydrolyzed tannins, including castalagin, vescalagin, and salicarinins A–C. The hydrolysis of the aforementioned tannins leads directly to the formation of gallic acid and ellagic acid. These compounds are characterized by high toxicity towards fungal pathogens. The mechanism of action of gallic acid and ellagic acid involves inhibiting the germination of spores and mycelium growth, as well as damaging the cell membrane structure of the fungal pathogen [64]. At the same time, oak bark contains large amounts of tannins, i.e., ellagitannins and gallotannins, which can slow down enzymatic reactions carried out by fungi [65,66,67]. For this reason, the above-mentioned plant compounds, which primarily act as biocidal agents for fungal organisms, also reduce the colonization rate of heartwood sawdust. Furthermore, the presence of tannins in oak heartwood is directly related to the durability of the wood to damage. This fact suggests that mechanically processed wood substrate is saturated with sufficient amounts of tannins to hinder the growth of fungal hyphae into the wood. As a result, the ability to absorb nutrients from the wood substrate is significantly hindered, and the size of mycelium cultures is smaller compared to cultures growing in sapwood sawdust [68,69].
The presented research results demonstrate that they can be used to determine the best solidified substrate and thermal conditions that favorably influence the escalation of fungal cultures, as well as to determine the colonization potential of individual fractions of oak sawdust as a food substrate. Based on the experiments, optimal culture conditions for the expansion of H. erinaceus cultures were characterized, which synthesize valuable chemical compounds that can become the basis for the elaboration of both environmentally friendly plant protection products and innovative pharmaceuticals.

5. Conclusions

The present study has led to the development of a modernized H. erinaceus culture technique, which will be used in the future to increase the production rate of high-quality mycelium, which has the ability to produce natural biocidal substances.
Fungicidal substances extracted from the mycelium, including polyphenols and flavonoids, will be used to develop environmentally friendly plant protection products.
The results indicate that the selection of an appropriate nutrient substrate and temperature significantly influenced the intensification of the growth of mycelium. The selection of PDA substrate and the highest temperature proved to be the most effective combination in controlled conditions, promoting the growth of cultures. This translates into increased efficiency, isolation, and production of valuable fungicidal compounds from the cultivated mycelium of the species.
It was also found that the selection of nutrient media characterized by a very acidic pH significantly influenced the intensification of the growth process of mycelium with desirable morphological characteristics (a well-grown, compact mycelium structure capable of synthesizing valuable secondary metabolites).
The results of the conducted research constitute the basis for the development of innovative mixtures of laboratory substrates consisting of processed wood substrate, i.e., sawdust made from sapwood of deciduous trees.
The use of substrate in the form of sapwood sawdust is an excellent source of nutrients, which is rapidly utilized by H. erinaceus, guaranteeing the production of large amounts of high-quality mycelium, which will be used to isolate fungicidal substances, secondary metabolites, and health-promoting substances.
The presented research has significant practical value in breeding of H. erinaceus. It was observed that the presented breeding methods allowed for a significant reduction in the time required to obtain mycelium (from several months to several days), in contrast to the common method of cultivating fruiting bodies on a substrate in the form of mixtures of wood chips and cultivated plants.
The conducted research also provides a scientific basis for further research into the properties of yet unknown health-promoting substances produced by H. erinaceus mycelium, which are used to treat and prevent lifestyle diseases such as cancer and diabetes.

Author Contributions

Conceptualization, K.N.-C., M.O. and R.J.; methodology, K.N.-C. and M.O.; software, K.N.-C. and M.O.; validation—R.J.; writing—original draft preparation, K.N.-C.; writing—review and editing, K.N.-C., R.J. and M.O.; visualization, K.N.-C. and M.O.; supervision, K.N.-C. and M.O.; funding acquisition, R.J. All authors have read and agreed to the published version of the manuscript.

Funding

This work was funded by a Subvention of the Ministry of Science and Higher Education in Poland SUB/040013-D019.

Data Availability Statement

The datasets presented in this article are not readily available because the data are contained in large, difficult-to-transmit files, are presented in their original language, and there are certain technical and time constraints. Requests to access the datasets should be directed to Department of Forest Ecosystems Protection, Faculty of Forestry, University of Agriculture in Krakow, 29-Listopada Ave. 46, 31-425 Krakow, Poland.

Acknowledgments

The authors of the work would like to thank the employees of the Department of Forest Ecosystem Protection who participated in research on this topic.

Conflicts of Interest

Author Małgorzata Osmenda was employed by the company The State Forests National Forest Holding. The remaining authors declare that the research was conducted in the absence of any commercial or financial relationships that could be construed as a potential conflict of interest.

References

  1. Ko, H.G.; Park, H.G.; Park, S.H.; Choi, C.W.; Kim, S.H.; Park, W.M. Comparative Study of Mycelial Growth and Basidiomata Formation in Seven Different Species of the Edible Mushroom Genus Hericium. Bioresour. Technol. 2005, 96, 1439–1444. [Google Scholar] [CrossRef] [PubMed]
  2. Pegler, D.N. Useful Fungi of the World: The Monkey Head Fungus. Mycologist 2003, 17, 120–121. [Google Scholar] [CrossRef]
  3. Boddy, L.; Crockatt, M.E.; Ainsworth, A.M. Ecology of Hericium cirrhatum, H. coralloides and H. erinaceus in the UK. Fungal Ecol. 2011, 4, 163–173. [Google Scholar] [CrossRef]
  4. Kunca, V.; Čiliak, M. Dataset on Records of Hericium erinaceus in Slovakia. Data Brief 2017, 12, 156–160. [Google Scholar] [CrossRef]
  5. Wang, Z. Structure of Polysaccharides from the Fruiting Body of Hericium erinaceus Pers. Carbohydr. Polym. 2004, 57, 241–247. [Google Scholar] [CrossRef]
  6. Li, I.-C.; Lee, L.-Y.; Tzeng, T.-T.; Chen, W.-P.; Chen, Y.-P.; Shiao, Y.-J.; Chen, C.-C. Neurohealth Properties of Hericium erinaceus Mycelia Enriched with Erinacines. Behav. Neurol. 2018, 2018, 802634. [Google Scholar] [CrossRef]
  7. Thongbai, B.; Rapior, S.; Hyde, K.D.; Wittstein, K.; Stadler, M. Hericium erinaceus, an Amazing Medicinal Mushroom. Mycol. Prog. 2015, 14, 91. [Google Scholar] [CrossRef]
  8. Aguilar Marcelino, L.; Torres-Acosta, J.F.J.; Sandoval-Castro, C.A.; Sanchez, J.E.; Gonzalez-Cortazar, M.; Mancilla-Montelongo, M.G.; González-Pech, P.G.; Pineda-Alegría, J.A.; Ventura-Cordero, J.; Castañeda-Ramirez, G.S. Research on chemical compounds from edible mushrooms for the control of gastrointestinal nematodes and phytoparasites. Trop. Subtrop. Agroecosystems 2023, 27, 1. [Google Scholar] [CrossRef]
  9. Contato, A.G.; Conte-Junior, C.A. Lion’s Mane Mushroom (Hericium erinaceus): A Neuroprotective Fungus with Antioxidant, Anti-Inflammatory, and Antimicrobial Potential—A Narrative Review. Nutrients 2025, 17, 1307. [Google Scholar] [CrossRef]
  10. Soliman, G.; Elkhateeb, W.; Wen, T.-C.; Daba, G. Mushrooms as Efficient Biocontrol Agents against the Root-Knot Nematode, Meloidogyne Incognita. Egypt. Pharm. J. 2022, 21, 68–74. [Google Scholar] [CrossRef]
  11. Liu, M.; Liu, L.; Song, X.; Zhou, Y.; Peng, Y.; Xie, C.; Gong, W. Isolation and Evaluation of Erinacine A Contents in Mycelia of Hericium erinaceus Strains. Foods 2024, 13, 1649. [Google Scholar] [CrossRef]
  12. Ma, B.-J.; Shen, J.-W.; Yu, H.-Y.; Ruan, Y.; Wu, T.-T.; Zhao, X. Hericenones and Erinacines: Stimulators of Nerve Growth Factor (NGF) Biosynthesis in Hericium erinaceus. Mycology 2010, 1, 92–98. [Google Scholar] [CrossRef]
  13. Diling, C.; Xin, Y.; Chaoqun, Z.; Jian, Y.; Xiaocui, T.; Jun, C.; Ou, S.; Yizhen, X. Extracts from Hericium erinaceus Relieve Inflammatory Bowel Disease by Regulating Immunity and Gut Microbiota. Oncotarget 2017, 8, 85838–85857. [Google Scholar] [CrossRef]
  14. Nawrot-Chorabik, K.; Osmenda, M.; Słowiński, K.; Latowski, D.; Tabor, S.; Woodward, S. Stratification, Scarification and Application of Phytohormones Promote Dormancy Breaking and Germination of Pelleted Scots Pine (Pinus sylvestris L.) Seeds. Forests 2021, 12, 621. [Google Scholar] [CrossRef]
  15. Gordon, T.R.; Swett, C.L.; Wingfield, M.J. Management of Fusarium Diseases Affecting Conifers. Crop Prot. 2015, 73, 28–39. [Google Scholar] [CrossRef]
  16. Jung, T.; Orlikowski, L.; Henricot, B.; Abad-Campos, P.; Aday, A.G.; Aguín Casal, O.; Bakonyi, J.; Cacciola, S.O.; Cech, T.; Chavarriaga, D.; et al. Widespread Phytophthora Infestations in European Nurseries Put Forest, Semi-natural and Horticultural Ecosystems at High Risk of Phytophthora Diseases. For. Pathol. 2016, 46, 134–163. [Google Scholar] [CrossRef]
  17. Jankowiak, R.; Stępniewska, H.; Bilański, P.; Taerum, S.J. Phytophthora Species Cause Sudden and Severe Decline of Naturally Regenerated European Beech (Fagus sylvatica) Seedlings. Plant Pathol. 2023, 72, 774–785. [Google Scholar] [CrossRef]
  18. Lu, Q.-Q.; Tian, J.-M.; Wei, J.; Gao, J.-M. Bioactive Metabolites from the Mycelia of the Basidiomycete Hericium erinaceum. Nat. Prod. Res. 2014, 28, 1288–1292. [Google Scholar] [CrossRef]
  19. Reyes-Estebanez, M.; Mendoza-de Gives, P. The Genus Clonostachys (Bionectria) as a Potential Tool Against Agricultural Pest and Other Biotechnological Applications: A Review. Microbiol. Res. 2025, 16, 86. [Google Scholar] [CrossRef]
  20. Zhang, L.; Yang, J.; Niu, Q.; Zhao, X.; Ye, F.; Liang, L.; Zhang, K.-Q. Investigation on the Infection Mechanism of the Fungus Clonostachys rosea against Nematodes Using the Green Fluorescent Protein. Appl. Microbiol. Biotechnol. 2008, 78, 983–990. [Google Scholar] [CrossRef]
  21. Williamson, B.; Tudzynski, B.; Tudzynski, P.; Van Kan, J.A.L. Botrytis Cinerea: The Cause of Grey Mould Disease. Mol. Plant Pathol. 2007, 8, 561–580. [Google Scholar] [CrossRef]
  22. Wald, P.; Pitkkänen, S.; Boddy, L. Interspecific Interactions between the Rare Tooth Fungi Creolophus cirrhatus, Hericium erinaceus and H. coralloides and Other Wood Decay Species in Agar and Wood. Mycol. Res. 2004, 108, 1447–1457. [Google Scholar] [CrossRef] [PubMed]
  23. Xie, G.; Tang, L.; Xie, Y.; Xie, L. Secondary Metabolites from Hericium erinaceus and Their Anti-Inflammatory Activities. Molecules 2022, 27, 2157. [Google Scholar] [CrossRef] [PubMed]
  24. Papagianni, M. Fungal Morphology and Metabolite Production in Submerged Mycelial Processes. Biotechnol. Adv. 2004, 22, 189–259. [Google Scholar] [CrossRef]
  25. Zervakis, G.; Philippoussis, A.; Ioannidou, S.; Diamantopoulou, P. Mycelium Growth Kinetics and Optimal Temperature Conditions for the Cultivation of Edible Mushroom Species on Lignocellulosic Substrates. Folia Microbiol. 2001, 46, 231–234. [Google Scholar] [CrossRef] [PubMed]
  26. Braun, S. Mycelial Morphology and Metabolite Production. Trends Biotechnol. 1991, 9, 63–68. [Google Scholar] [CrossRef]
  27. Armisén, R.; Gaiatas, F. Agar. In Handbook of Hydrocolloids; Elsevier: Amsterdam, The Netherlands, 2009; pp. 82–107. [Google Scholar]
  28. Black, W.D. A Comparison of Several Media Types and Basic Techniques Used to Assess Outdoor Airborne Fungi in Melbourne, Australia. PLoS ONE 2020, 15, e0238901. [Google Scholar] [CrossRef]
  29. Boulton, C.; Quain, D. Brewing Yeast and Fermentation; John Wiley & Sons: Hoboken, NJ, USA, 2013; ISBN 978-1-118-68534-1. [Google Scholar]
  30. Klose, C.; Mauch, A.; Wunderlich, S.; Thiele, F.; Zarnkow, M.; Jacob, F.; Arendt, E.K. Brewing with 100% Oat Malt. J. Inst. Brew. 2011, 117, 411–421. [Google Scholar] [CrossRef]
  31. Tanner, R.S. Cultivation of Bacteria and Fungi. In Manual of Environmental Microbiology; Hurst, C.J., Crawford, R.L., Garland, J.L., Lipson, D.A., Mills, A.L., Stetzenbach, L.D., Eds.; Wiley: Hoboken, NJ, USA, 2007; pp. 69–78. [Google Scholar]
  32. De Araújo, Á.A.; Roussos, S. A Technique for Mycelial Development of Ectomycorrhizal Fungi on Agar Media. Appl. Biochem. Biotechnol. 2002, 98, 311–318. [Google Scholar] [CrossRef]
  33. Brischke, C.; Von Boch-Galhau, N.; Bollmus, S. Impact of Different Sterilization Techniques and Mass Loss Measurements on the Durability of Wood against Wood-Destroying Fungi. Eur. J. Wood Wood Prod. 2022, 80, 35–44. [Google Scholar] [CrossRef]
  34. Aminah, M.H.S.; Sam, S.T.; Zakaria, Z. Influence of pH and Temperature on in vitro Mycelial Growth Performance of Wild Edible Schizophyllum commune of Northern Malaysia. AIP Conf. Proc. 2020, 2291, 020100. [Google Scholar] [CrossRef]
  35. Prusky, D.; McEvoy, J.L.; Leverentz, B.; Conway, W.S. Local Modulation of Host pH by Colletotrichum Species as a Mechanism to Increase Virulence. Mol. Plant-Microbe Interact. 2001, 14, 1105–1113. [Google Scholar] [CrossRef] [PubMed]
  36. Gbolagade, J.S.; Fasidi, I.O.; Ajayi, E.J.; Sobowale, A.A. Effect of Physico-Chemical Factors and Semi-Synthetic Media on Vegetative Growth of Lentinus subnudus (Berk.), an Edible Mushroom from Nigeria. Food Chem. 2006, 99, 742–747. [Google Scholar] [CrossRef]
  37. Elisashvili, V. Submerged Cultivation of Medicinal Mushrooms: Bioprocesses and Products (Review). Int. J. Med. Mushrooms 2012, 14, 211–239. [Google Scholar] [CrossRef] [PubMed]
  38. Costa, R.; Lourenço, A.; Oliveira, V.; Pereira, H. Chemical Characterization of Cork, Phloem and Wood from Different Quercus suber Provenances and Trees. Heliyon 2019, 5, e02910. [Google Scholar] [CrossRef]
  39. Zhang, B.; Cai, J.; Duan, C.-Q.; Reeves, M.; He, F. A Review of Polyphenolics in Oak Woods. Int. J. Mol. Sci. 2015, 16, 6978–7014. [Google Scholar] [CrossRef]
  40. Likhanov, A.F.; Sereda, O.V.; Gryb, V.M.; Melnyk, V.I.; Osadchuk, L.S.; Yuskevych, T. Biochemical Markers of Vital Biodestruction in Common Oak (Quercus robur). Biosyst. Divers. 2019, 27, 314–321. [Google Scholar] [CrossRef]
  41. Behnke-Borowczyk, J.; Kwaśna, H.; Kokot, K.; Hałuszczak, M.; Łakomy, P. Abundance and Diversity of Fungi in Oak Wood. Dendrobiology 2019, 80, 143–160. [Google Scholar] [CrossRef]
  42. Wittner, N.; Vasilakou, K.; Broos, W.; Vlaeminck, S.E.; Nimmegeers, P.; Cornet, I. Investigating the Technical and Economic Potential of Solid-State Fungal Pretreatment at Nonsterile Conditions for Sugar Production from Poplar Wood. Ind. Eng. Chem. Res. 2023, 62, 18292–18302. [Google Scholar] [CrossRef]
  43. Komonen, A.; Götmark, F.; Mutanen, M.; Nordén, B. Insects Associated with Fruit Bodies of the Wood-Decaying Fungus Oak Mazegill (Daedalea quercina) in Mixed Oak Forests in Southern Sweden. Ent. Tidskr. 2012, 133, 173–181. [Google Scholar]
  44. Marčiulynas, A.; Menkis, A. The Release and Spread of Basidiospores of Red-Listed Wood-Decay Fungus fistulina Hepatica in Oak Stands. Diversity 2023, 15, 1110. [Google Scholar] [CrossRef]
  45. Marković, M.; Rajković, S.; Tabaković-Tošić, M.; Milosavljević, M. Effects of Epyxilous Fungus Laetiporus sulphureus (Bull. Ex Fr.) Murrill on the Deccomposition of Oak Wood. Sustain. For. Collect. 2017, 21–30. [Google Scholar] [CrossRef]
  46. Nawrot-Chorabik, K.; Osmenda, M.; Bartnik, C. Interspecies Interactions in Dual Cultures of Selected Fungi Species and Their Influence on the Decomposition of Scots Pine and Norway Spruce Wood Substrates. Drew. Pr. Nauk. Doniesienia Komun. Wood Res. Pap. Rep. Announc. 2024, 67, 1–19. [Google Scholar] [CrossRef]
  47. Osmenda, M.; Nawrot-Chorabik, K. Interspecific Interactions in Dual Cultures of Selected Fungal Species Inhabiting Scots Pine Trees. Sylwan 2024, 168, 127–145. [Google Scholar] [CrossRef]
  48. Mullis, K.; Faloona, F.; Scharf, S.; Saiki, R.; Horn, G.; Erlich, H. Specific Enzymatic Amplification of DNA in vitro: The Polymerase Chain Reaction. Cold Spring Harb. Symp. Quant. Biol. 1986, 51, 263–273. [Google Scholar] [CrossRef]
  49. White, T. Amplification and Direct Sequencing of Fungal Ribosomal RNA Genes for Phylogenetics. In PCR Protocols: A Guide to Methods and Applications; Innis, M.A., Gelfand, D.H., Sninsky, J.J., White, T.J., Eds.; Academic Press: New York, NY, USA, 1990; pp. 315–322. [Google Scholar]
  50. Bowyer, P.; Denning, D.W. Environmental Fungicides and Triazole Resistance in Aspergillus. Pest Manag. Sci. 2014, 70, 173–178. [Google Scholar] [CrossRef]
  51. Yan, W.; Wang, X.; Li, K.; Li, T.-X.; Wang, J.-J.; Yao, K.-C.; Cao, L.-L.; Zhao, S.-S.; Ye, Y.-H. Design, Synthesis, and Antifungal Activity of Carboxamide Derivatives Possessing 1,2,3-Triazole as Potential Succinate Dehydrogenase Inhibitors. Pestic. Biochem. Physiol. 2019, 156, 160–169. [Google Scholar] [CrossRef]
  52. Ruiu, L. Microbial Biopesticides in Agroecosystems. Agronomy 2018, 8, 235. [Google Scholar] [CrossRef]
  53. Chutimanukul, P.; Phatthanamas, W.; Thepsilvisut, O.; Chantarachot, T.; Thongtip, A.; Chutimanukul, P. Commercial Scale Production of Yamabushitake Mushroom (Hericium erinaceus (Bull.) Pers. 1797) Using Rubber and Bamboo Sawdust Substrates in Tropical Regions. Sci. Rep. 2023, 13, 13316. [Google Scholar] [CrossRef]
  54. Jozífek, M.; Praus, L.; Matějka, J.; Jablonský, I.; Koudela, M. Selenium Uptake by Hericium erinaceus Basidiocarps on Various Substrates and Their Effect on Growth and Yield. Agriculture 2025, 15, 460. [Google Scholar] [CrossRef]
  55. Wong, K.-H.; Kanagasabapathy, G.; Naidu, M.; David, P.; Sabaratnam, V. Hericium erinaceus (Bull.: Fr.) Pers., a Medicinal Mushroom, Activates Peripheral Nerve Regeneration. Chin. J. Integr. Med. 2016, 22, 759–767. [Google Scholar] [CrossRef] [PubMed]
  56. Doğan, N.; Doğan, C.; AtiLa, F. Parts from life-cycle of H. erinaceus: Response surface methodology approach to optimize extraction conditions and determination of its antioxidant, antidiabetic and antimicrobial effect. J. Microbiol. Biotechnol. Food Sci. 2021, 10, e3703. [Google Scholar] [CrossRef]
  57. Krupodorova, T.; Barshteyn, V.; Sekan, A. Review of the Basic Cultivation Conditions Influence on the Growth of Basidiomycetes. Curr. Res. Environ. Appl. Mycol. 2021, 11, 494–531. [Google Scholar] [CrossRef]
  58. Peksen, A.; Kibar, B.; Yakupoglu, G. Favourable Culture Conditions for Mycelial Growth of Hydnum repandum, a Medicinal Mushroom. Afr. J. Tradit. Complement. Altern. Med. 2013, 10, 431. [Google Scholar] [CrossRef]
  59. Postemsky, P.; Curvetto, N. Enhancement of Wheat Grain Antioxidant Activity by Solid State Fermentation with Grifola spp. J. Med. Food 2014, 17, 543–549. [Google Scholar] [CrossRef]
  60. Kalaw, S. Optimization of Mycelial Culture Conditions and Fructification of Lentinus Species Using Rice Straw and Sawdust Based Substrates. Stud. Fungi 2021, 6, 519–530. [Google Scholar] [CrossRef]
  61. Geris, R.; Teles De Jesus, V.E.; Ferreira Da Silva, A.; Malta, M. Exploring Culture Media Diversity to Produce Fungal Secondary Metabolites and Cyborg Cells. Chem. Biodivers. 2024, 21, e202302066. [Google Scholar] [CrossRef]
  62. VanderMolen, K.M.; Raja, H.A.; El-Elimat, T.; Oberlies, N.H. Evaluation of Culture Media for the Production of Secondary Metabolites in a Natural Products Screening Program. AMB Express 2013, 3, 71. [Google Scholar] [CrossRef]
  63. Merela, M.; Katarina, K. Density and Mechanical Properties of Oak Sapwood Versus Heartwood. Drv. Ind. 2013, 64, 323–334. [Google Scholar] [CrossRef]
  64. Favre, M.; Landolt, D. The Influence of Gallic Acid on the Reduction of Rust on Painted Steel Surfaces. Corros. Sci. 1993, 34, 1481–1494. [Google Scholar] [CrossRef]
  65. Ștefănescu, R.; Ciurea, C.N.; Mare, A.D.; Man, A.; Nisca, A.; Nicolescu, A.; Mocan, A.; Babotă, M.; Coman, N.-A.; Tanase, C. Quercus robur Older Bark—A Source of Polyphenolic Extracts with Biological Activities. Appl. Sci. 2022, 12, 11738. [Google Scholar] [CrossRef]
  66. Okuda, T.; Ito, H. Tannins of Constant Structure in Medicinal and Food Plants—Hydrolyzable Tannins and Polyphenols Related to Tannins. Molecules 2011, 16, 2191–2217. [Google Scholar] [CrossRef]
  67. Dai, X.; Liu, Y.; Zhuang, J.; Yao, S.; Liu, L.; Jiang, X.; Zhou, K.; Wang, Y.; Xie, D.; Bennetzen, J.L.; et al. Discovery and Characterization of Tannase Genes in Plants: Roles in Hydrolysis of Tannins. New Phytol. 2020, 226, 1104–1116. [Google Scholar] [CrossRef]
  68. Baar, J.; Paschová, Z.; Hofmann, T.; Kolář, T.; Koch, G.; Saake, B.; Rademacher, P. Natural Durability of Subfossil Oak: Wood Chemical Composition Changes through the Ages. Holzforschung 2019, 74, 47–59. [Google Scholar] [CrossRef]
  69. Karami, L.; Fromm, J.; Koch, G.; Schmidt, O.; Schmitt, U. Oak Wood Inhabiting Fungi and Their Effect on Lignin Studied by UV Microspectrophotometry. Maderas Cienc. Tecnol. 2014, 16, 149–158. [Google Scholar] [CrossRef]
Figure 1. Next stages of experiments. The sequence of steps is marked with green arrows. (A): (a) Filling a Petri dish with PDA (potato dextrose agar); MEA (Malt Extract Agar), and wort (wort agar medium), and waiting approximately 2 h for the medium to fully solidify; (b) Placing individual isolates with a diameter of 5.0 mm in the center of the dish with the respective type of medium; (c) Closing and securing the dish with fungal isolates and placing the grouped test samples in incubators with the selected ambient temperature. (B): (d) Filling a Petri dish with prepared media with a pH of 4.0 to 7.0 and waiting approximately 2 h for the medium to fully solidify; (e) Placing individual isolates with a diameter of 5.0 mm in the center of the dish with the respective type of medium; (f) Closing and securing the dish with fungal cultures and placing the test samples in an incubator with the selected ambient temperature 20 °C.
Figure 1. Next stages of experiments. The sequence of steps is marked with green arrows. (A): (a) Filling a Petri dish with PDA (potato dextrose agar); MEA (Malt Extract Agar), and wort (wort agar medium), and waiting approximately 2 h for the medium to fully solidify; (b) Placing individual isolates with a diameter of 5.0 mm in the center of the dish with the respective type of medium; (c) Closing and securing the dish with fungal isolates and placing the grouped test samples in incubators with the selected ambient temperature. (B): (d) Filling a Petri dish with prepared media with a pH of 4.0 to 7.0 and waiting approximately 2 h for the medium to fully solidify; (e) Placing individual isolates with a diameter of 5.0 mm in the center of the dish with the respective type of medium; (f) Closing and securing the dish with fungal cultures and placing the test samples in an incubator with the selected ambient temperature 20 °C.
Forests 17 00051 g001
Figure 2. Method of measuring the diameter of a culture growing on PDA medium at 20 °C after 5 days. Explanations: Red arrows indicate the directions of culture measurement, white arrows indicate the elements in the laboratory dish. Measurements are recorded in mm.
Figure 2. Method of measuring the diameter of a culture growing on PDA medium at 20 °C after 5 days. Explanations: Red arrows indicate the directions of culture measurement, white arrows indicate the elements in the laboratory dish. Measurements are recorded in mm.
Forests 17 00051 g002
Figure 3. Stages of experimenting on a substrate made of sawdust from bark, sapwood, heartwood, and a mixture of all types. The sequence of steps is marked with green arrows. (A): (a) Solidify the agar medium in a Petri dish and wait approximately 2 h for the medium to fully solidify; (b) Cut and remove a 30.0 mm diameter gel disc from the agar medium; (c,d) Place individual types of sawdust in the hole left by the removed gel disc and moisten the sawdust obtained from the bark with 600 µL of distilled water and the remaining types of sawdust with 500 µL of distilled water and measuring sawdust moisture; (e) Place a single 5.0 mm fungal isolate on the sawdust; (f) close and secure the plates with fungal cultures, placing the plates with fungal cultures in an incubator at 20 °C; (g) Transfer the sawdust with the grown mycelium from the plates to aluminum bags; (h) Drying in an autoclave the sawdust made of bark, sapwood, heartwood, and their mixture in a dryer for 20 min at 105 °C to remove any remaining fungal cultures; (i) Weighing the reduced mass of all types of sawdust on a laboratory scale.
Figure 3. Stages of experimenting on a substrate made of sawdust from bark, sapwood, heartwood, and a mixture of all types. The sequence of steps is marked with green arrows. (A): (a) Solidify the agar medium in a Petri dish and wait approximately 2 h for the medium to fully solidify; (b) Cut and remove a 30.0 mm diameter gel disc from the agar medium; (c,d) Place individual types of sawdust in the hole left by the removed gel disc and moisten the sawdust obtained from the bark with 600 µL of distilled water and the remaining types of sawdust with 500 µL of distilled water and measuring sawdust moisture; (e) Place a single 5.0 mm fungal isolate on the sawdust; (f) close and secure the plates with fungal cultures, placing the plates with fungal cultures in an incubator at 20 °C; (g) Transfer the sawdust with the grown mycelium from the plates to aluminum bags; (h) Drying in an autoclave the sawdust made of bark, sapwood, heartwood, and their mixture in a dryer for 20 min at 105 °C to remove any remaining fungal cultures; (i) Weighing the reduced mass of all types of sawdust on a laboratory scale.
Forests 17 00051 g003
Figure 4. Diagram of 95% confidence intervals for individual H. erinaceus culture sizes grown at different temperatures and on different types of solidified media. Explanation: (a) Fungal growth on PDA medium; (b) Fungal growth on MEA medium; (c) Fungal growth on wort medium; (d) Fungal growth at 15 °C; (e) Fungal growth at 20 °C; (f) Fungal growth at 25 °C.
Figure 4. Diagram of 95% confidence intervals for individual H. erinaceus culture sizes grown at different temperatures and on different types of solidified media. Explanation: (a) Fungal growth on PDA medium; (b) Fungal growth on MEA medium; (c) Fungal growth on wort medium; (d) Fungal growth at 15 °C; (e) Fungal growth at 20 °C; (f) Fungal growth at 25 °C.
Forests 17 00051 g004
Figure 5. Growth and expansion of H. erinaceus cultures on selected media and temperatures after 20 days. Explanation: (a) PDA medium and temperature of 15 °C; (b) PDA medium and temperature of 20 °C; (c) PDA medium and temperature of 25 °C; (d) MEA medium and temperature of 15 °C; (e) MEA medium and temperature of 20 °C; (f) MEA medium and temperature of 25 °C; (g) wort medium and temperature of 15 °C; (h) wort medium and temperature of 20 °C; (i) wort medium and temperature of 25 °C.
Figure 5. Growth and expansion of H. erinaceus cultures on selected media and temperatures after 20 days. Explanation: (a) PDA medium and temperature of 15 °C; (b) PDA medium and temperature of 20 °C; (c) PDA medium and temperature of 25 °C; (d) MEA medium and temperature of 15 °C; (e) MEA medium and temperature of 20 °C; (f) MEA medium and temperature of 25 °C; (g) wort medium and temperature of 15 °C; (h) wort medium and temperature of 20 °C; (i) wort medium and temperature of 25 °C.
Forests 17 00051 g005
Figure 6. Diagram of 95% confidence intervals for the size of individual H. erinaceus cultures growing on media with different pH values. Explanation: (a) pH 4.0 medium; (b) pH 4.5 medium; (c) pH 5.0 medium; (d) pH 5.5 medium; (e) pH 6.0 medium; (f) pH 6.5 medium; (g) pH 7.0 medium.
Figure 6. Diagram of 95% confidence intervals for the size of individual H. erinaceus cultures growing on media with different pH values. Explanation: (a) pH 4.0 medium; (b) pH 4.5 medium; (c) pH 5.0 medium; (d) pH 5.5 medium; (e) pH 6.0 medium; (f) pH 6.5 medium; (g) pH 7.0 medium.
Forests 17 00051 g006
Figure 7. Diagram of 95% confidence intervals for the obtained values of individual H. erinaceus cultures growing and developing over a specified period of time. Explanation: (a) after 7 days; (b) after 14 days.
Figure 7. Diagram of 95% confidence intervals for the obtained values of individual H. erinaceus cultures growing and developing over a specified period of time. Explanation: (a) after 7 days; (b) after 14 days.
Forests 17 00051 g007
Figure 8. Growth and expansion of H. erinaceus cultures on PDA medium with different pH values after 28 days. Explanation: (a) pH 4.0 medium; (b) pH 4.5 medium; (c) pH 5.0 medium; (d) pH 5.5 medium; (e) pH 6.0 medium; (f) pH 6.5 medium; (g) pH 7.0 medium.
Figure 8. Growth and expansion of H. erinaceus cultures on PDA medium with different pH values after 28 days. Explanation: (a) pH 4.0 medium; (b) pH 4.5 medium; (c) pH 5.0 medium; (d) pH 5.5 medium; (e) pH 6.0 medium; (f) pH 6.5 medium; (g) pH 7.0 medium.
Forests 17 00051 g008
Figure 9. Colonization of oak sawdust by H. erinaceus culture after 30 days. Explanation: (a) Sawdust made from bark; (b) Sawdust made from heartwood; (c) Sawdust made from sapwood; (d) Sawdust made from a mixture of sapwood, heartwood, and bark.
Figure 9. Colonization of oak sawdust by H. erinaceus culture after 30 days. Explanation: (a) Sawdust made from bark; (b) Sawdust made from heartwood; (c) Sawdust made from sapwood; (d) Sawdust made from a mixture of sapwood, heartwood, and bark.
Forests 17 00051 g009
Table 1. Average size of individual fungal cultures growing on various solidified media and temperatures over a selected period of time.
Table 1. Average size of individual fungal cultures growing on various solidified media and temperatures over a selected period of time.
Development Time of Fungus Cultures (Days)
Type of Substrate/Temperature5 Days10 Days15 Days20 Days
Average Size of The Grown Fungus Culture (mm)
PDA 15 °C10.520.039.578.5
PDA 20 °C12.036.063.581.0
PDA 25 °C26.071.086.090.0
MEA 15 °C7.518.025.537.5
MEA 20 °C10.522.029.041.5
MEA 25 °C18.548.072.586.0
wort medium 15 °C8.524.034.558
wort medium 20 °C11.527.540.071.5
wort medium 25 °C18.547.579.090.0
Table 2. One-way ANOVA analysis of the growth and expansion of fungal cultures growing on selected solidified media. * The significance level was p < 0.05, statistically significant results, SS—sum of squares, MS—Mean Square, F—F value, p—probability value.
Table 2. One-way ANOVA analysis of the growth and expansion of fungal cultures growing on selected solidified media. * The significance level was p < 0.05, statistically significant results, SS—sum of squares, MS—Mean Square, F—F value, p—probability value.
SubstrateSSMSSSMSFp
PDA medium29,569.692688.153274.500011.43750235.02980.000000 *
MEA medium22,475.992043.2721642.10058.6464334.840520.000000 *
wort medium29,259.352659.941659.312520.60352129.10130.000000 *
Table 3. One-way ANOVA of growth and expansion of fungal cultures growing at selected temperatures. * The significance level was p < 0.05, statistically significant results, SS—sum of squares, MS—Mean Square, F—F value, p—probability value.
Table 3. One-way ANOVA of growth and expansion of fungal cultures growing at selected temperatures. * The significance level was p < 0.05, statistically significant results, SS—sum of squares, MS—Mean Square, F—F value, p—probability value.
TemperatureSSMSSSMSFp
15 °C19,806.671800.606649.620018.0450099.784210.000000 *
20 °C18,645.501695.045117.48048.8116734.726240.000000 *
25 °C25,577.942325.267754.812531.4505273.934130.000000 *
Table 4. Average size of individual fungal cultures growing on solidified media with different pH values in a selected period of time.
Table 4. Average size of individual fungal cultures growing on solidified media with different pH values in a selected period of time.
Development Time of Fungus Cultures (Days)
Fungus Culture Growth Temperature: 20 °C
Type of Medium/pH7 Days14 Days21 Days28 Days
Average Size of the Grown Fungus Culture (mm)
PDA 4.031.589.090.090.0
PDA 4.531.586.590.090.0
PDA 5.038.086.090.090.0
PDA 5.524.081.090.090.0
PDA 6.024.583.590.090.0
PDA 6.526.575.090.090.0
PDA 7.026.575.090.090.0
Table 5. Multivariate ANOVA analysis performed for the growth and expansion of fungal cultures grown on media with different pH values over a specific period of time. * The significance level was p < 0.05, SS—sum of squares, MS—Mean Square, F—F value, p—probability value.
Table 5. Multivariate ANOVA analysis performed for the growth and expansion of fungal cultures grown on media with different pH values over a specific period of time. * The significance level was p < 0.05, SS—sum of squares, MS—Mean Square, F—F value, p—probability value.
Factors StudiedSSMSFp
Constant term670,729.7670,729.775,115.190.000000 *
pH3277.3546.261.170.000000 *
after Days61,045.220,348.42278.820.000000 *
pH/after Days6641.9369.041.320.000000 *
Statistical error821.58.9--
Table 6. One-way ANOVA of the growth and expansion of fungal cultures growing on selected media with different pH values. * The significance level was p < 0.05, statistically significant results, SS—sum of squares, MS—Mean Square, F—F value, p—probability value.
Table 6. One-way ANOVA of the growth and expansion of fungal cultures growing on selected media with different pH values. * The significance level was p < 0.05, statistically significant results, SS—sum of squares, MS—Mean Square, F—F value, p—probability value.
Tested pHSSMSSSMSFp
4.010,152.753384.25040.000003.3333331015.2750.000000 *
4.59894.0003298.00046.000003.833333860.34780.000000 *
5.07744.0002581.333120.000010.00000258.13330.000000 *
5.511,601.003867.000122.500010.20833378.80820.000000 *
6.012,146.004048.66756.000004.666667867.57140.000000 *
6.5843.7500281.2500224.000014.0000020.089290.000011 *
7.013,583.444527.813213.000013.31250340.11740.000000 *
Table 7. One-way ANOVA analysis of the incubation time of fungal cultures. * The significance level was p < 0.05, statistically significant results, SS—sum of squares, MS—Mean Square, F—F value, p—probability value.
Table 7. One-way ANOVA analysis of the incubation time of fungal cultures. * The significance level was p < 0.05, statistically significant results, SS—sum of squares, MS—Mean Square, F—F value, p—probability value.
Development of Fungus Culture During DaysSSMSSSMSFp
79171.1751528.529502.500021.8478369.962530.000000 *
14747.9667124.6611319.000013.869578.9881050.000041 *
210.000.000.000.00--
280.000.000.000.00--
Table 8. Mean values of dry mass loss of oak sawdust caused by the expansion of fungal cultures and statistical analysis using Student’s t-test to compare the mean values of differences in mass loss of wood substrate. * The significance level was p < 0.05, probability value—p.
Table 8. Mean values of dry mass loss of oak sawdust caused by the expansion of fungal cultures and statistical analysis using Student’s t-test to compare the mean values of differences in mass loss of wood substrate. * The significance level was p < 0.05, probability value—p.
Fungus SpeciesSubstrateMean (g)Confidence Intervalp
H. erinaceusBark0.3310.3250.3360.158843
Sapwood0.3020.2890.3150.000378 *
Heartwood0.3220.3130.3310.162911
A mixture of sawdust made from bark, sapwood, and heartwood0.3250.3150.3350.325823
Disclaimer/Publisher’s Note: The statements, opinions and data contained in all publications are solely those of the individual author(s) and contributor(s) and not of MDPI and/or the editor(s). MDPI and/or the editor(s) disclaim responsibility for any injury to people or property resulting from any ideas, methods, instructions or products referred to in the content.

Share and Cite

MDPI and ACS Style

Nawrot-Chorabik, K.; Osmenda, M.; Jankowiak, R. A New Dimension of the Hericium erinaceus Mycelium Cultivation Technique for the Future Intensification of the Valuable Fungicidal Substances Synthesis in Laboratory Conditions. Forests 2026, 17, 51. https://doi.org/10.3390/f17010051

AMA Style

Nawrot-Chorabik K, Osmenda M, Jankowiak R. A New Dimension of the Hericium erinaceus Mycelium Cultivation Technique for the Future Intensification of the Valuable Fungicidal Substances Synthesis in Laboratory Conditions. Forests. 2026; 17(1):51. https://doi.org/10.3390/f17010051

Chicago/Turabian Style

Nawrot-Chorabik, Katarzyna, Małgorzata Osmenda, and Robert Jankowiak. 2026. "A New Dimension of the Hericium erinaceus Mycelium Cultivation Technique for the Future Intensification of the Valuable Fungicidal Substances Synthesis in Laboratory Conditions" Forests 17, no. 1: 51. https://doi.org/10.3390/f17010051

APA Style

Nawrot-Chorabik, K., Osmenda, M., & Jankowiak, R. (2026). A New Dimension of the Hericium erinaceus Mycelium Cultivation Technique for the Future Intensification of the Valuable Fungicidal Substances Synthesis in Laboratory Conditions. Forests, 17(1), 51. https://doi.org/10.3390/f17010051

Note that from the first issue of 2016, this journal uses article numbers instead of page numbers. See further details here.

Article Metrics

Back to TopTop