Retention of Atmospheric Particulate Matter and Dissolved Trace Elements by Picea crassifolia Forest in the Qilian Mountains in Northwest China
Abstract
1. Introduction
2. Materials and Methods
2.1. Study Area
2.2. Forest Retention of Airborne Particles
2.3. Needle Sampling for Dissolved Trace Elements Analysis
2.4. Chemical Analysis
2.5. Statistical Analyses
3. Results
3.1. Forest Retention Capacity of Airborne Particles
3.2. Flux of the Particulate Matter in Needle of P. crassifolia
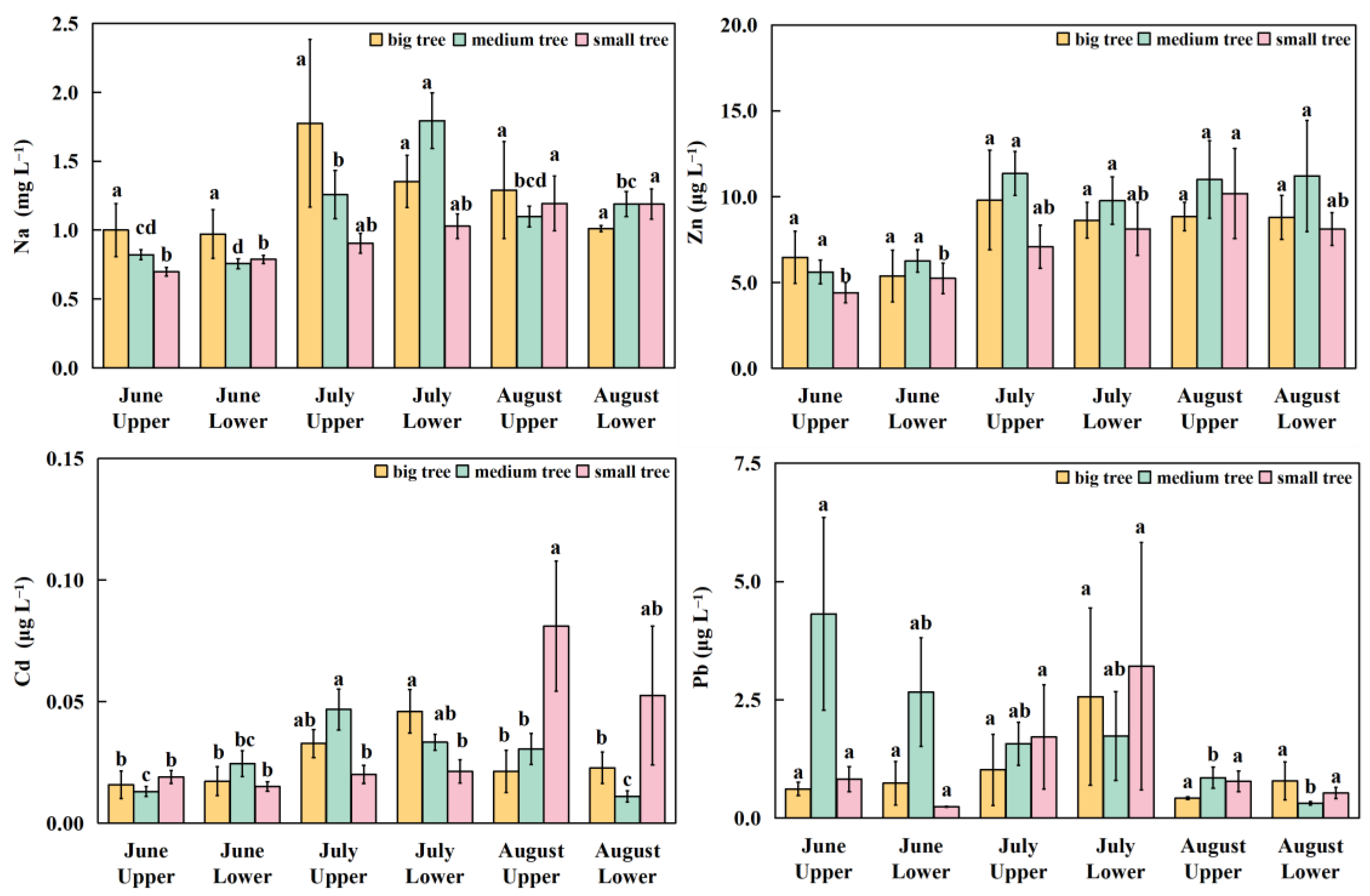
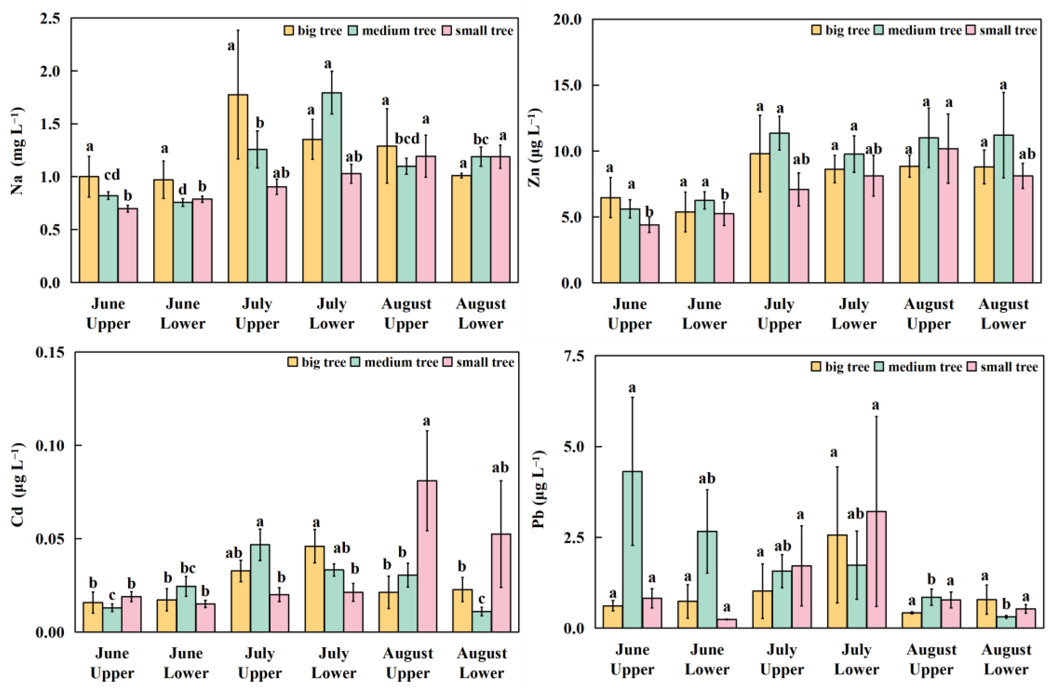
3.3. Dissolved Trace Elements in Particulate Matter
4. Discussion
4.1. Forest Stagnant Air Particles
4.2. Trace Elements in Particulate Matter on Needles
4.3. Novelties, Limitations, and Environmental Implications
5. Conclusions
Supplementary Materials
Author Contributions
Funding
Data Availability Statement
Conflicts of Interest
References
- Chen, X.; Lv, Y.; Zhang, W.; Li, Z. Comparison between dust and haze aerosol properties of the 2015 Spring in Beijing using ground-based sun photometer and lidar. Opt. Optoelectron. Sens. Imaging Technol. 2015, 9674, 151–156. [Google Scholar] [CrossRef]
- Pan, Y.P.; Wang, Y.S. Atmospheric wet and dry deposition of trace elements at 10 sites in Northern China. Atmos. Chem. Phys. 2015, 15, 951–972. [Google Scholar] [CrossRef]
- Araujo, J.A.; Nel, A.E. Particulate matter and atherosclerosis: Role of particle size, composition and oxidative stress. Part. Fibre Toxicol. 2009, 6, 24. [Google Scholar] [CrossRef]
- Liu, C.; Cai, J.; Chen, R.; Sera, F.; Guo, Y.; Tong, S.; Li, S.; Lavigne, E.; Correa, P.M.; Ortega, N.V.; et al. Coarse particulate air pollution and daily mortality: A global study in 205 cities. Am. J. Respir. Crit. Care Med. 2022, 206, 999–1007. [Google Scholar] [CrossRef] [PubMed]
- World Health Organization. Ambient (Outdoor) Air Pollution; World Health Organization: Geneva, Switzerland, 2022; Available online: https://www.who.int/en/news-room/fact-sheets/detail/ambient-(outdoor)-air-quality-and-health (accessed on 24 October 2025).
- Zhao, H.; Du, R.; Guo, L. Seasonal variation of microbial activity in atmospheric particulate matter and its lagging response to environmental factors. Atmos. Environ. 2025, 358, 121359. [Google Scholar] [CrossRef]
- Roy, A.; Mandal, M.; Popek, R. Decoding leaf micro- and macro-morphology: A path to effective particulate matter phytoremediation. Int. J. Phytorem. 2025, 1–18. [Google Scholar] [CrossRef]
- Beckett, K.P.; Freer-Smith, P.H.; Taylor, G. Effective tree species for local air quality management. J. Arboric. 2000, 26, 12–19. [Google Scholar]
- El-Khatib, A.A.; El-Rahman, A.M.; Elsheikh, O.M. Leaf geometric design of urban trees: Potentiality to capture airborne particle pollutants. J. Environ. Stud. 2011, 7, 49–59. [Google Scholar] [CrossRef]
- Hwang, H.J.; Yook, S.J.; Ahn, K.H. Experimental investigation of submicron and ultrafine soot particle removal by tree leaves. Atmos. Environ. 2011, 45, 6987–6994. [Google Scholar] [CrossRef]
- Beckett, K.P.; Freer-Smith, P.H.; Taylor, G. Urban woodlands: Their role in reducing the effects of particulate pollution. Environ. Pollut. 1998, 99, 347–360. [Google Scholar] [CrossRef]
- Freer-Smith, P.H.; El-khatib, A.A.; Taylor, G. Capture of particulate pollution by trees: A comparison of species typical of semi-arid areas (Ficus nitida and Eucalyptus globulus) with European and North American species. Water Air Soil Pollut. 2004, 55, 173–187. [Google Scholar] [CrossRef]
- Nowak, D.J.; Hirabayashi, S.; Bodine, A.; Hoehn, R. Modeled PM2.5 removal by trees in ten US cities and associated health effects. Environ. Pollut. 2013, 178, 395–402. [Google Scholar] [CrossRef]
- Zhang, X.; Du, J.; Huang, T.; Zhang, L.; Gao, H.; Zhao, Y.; Ma, J. Atmospheric removal of PM2.5 by man-made Three Northern Regions Shelter Forest in Northern China estimated using satellite retrieved PM2.5 concentration. Sci. Total Environ. 2017, 593, 713–721. [Google Scholar] [CrossRef]
- Roy, A.; Mandal, M.; Przybysz, A.; Haynes, A.; Robinson, S.A.; Sarkar, A.; Popek, R. Phytoremediating the air down under: Evaluating airborne particulate matter accumulation by 12 plant species in Australia. Ecol. Res. 2025, 40, 314–326. [Google Scholar] [CrossRef]
- Yun, A.; Zhang, J.Q.; Zhang, H.J.; Dong, R.Z. Research progress on the influencing factors and response mechanisms of plant adsorption of atmospheric particulate matter. Chin. J. Appl. Ecol. 2024, 35, 2013–2014. (In Chinese) [Google Scholar] [CrossRef]
- Gottle, A.; Sène, E.H. Forest functions related to protection and environmental conservation. Unasylva 1997, 48, 30–37. [Google Scholar]
- Núñez, D.; Nahuelhual, L.; Oyarzún, C. Forests and water: The value of native temperate forests in supplying water for human consumption. Ecol. Econ. 2006, 58, 606–616. [Google Scholar] [CrossRef]
- Dahlan, T. Forest resource management and forest biodiversity conservation in Peninsular Malaysia. In Proceedings of the National Conference on the Management and Conservation of Forest Biodiversity in Malaysia, Putrajaya, Malaysia, 20–21 March 2007; pp. 1–13. Available online: https://agris.fao.org/search/en/providers/122640/records/647473a979cbb2c2c1b363a9 (accessed on 1 August 2025).
- Zhang, Y.; Yang, F.; Wang, B.; Guo, H.; Lu, S.; Wei, W.; Hu, W.; Chen, L. Study on Forest Ecosystem Service Function in China; China Science Publishing Media Ltd.: Beijing, China, 2010. [Google Scholar]
- Tao, X.; Lu, G.; Zhou, K.; Liu, H.; Dang, Z. Phytodecontamination of atmosphere chemical pollution: A review. Energy Ecol. Environ. 2007, 16, 1546–1550. (In Chinese) [Google Scholar] [CrossRef]
- Zhang, T.; Hong, X.; Sun, L.; Liu, Y. Particle-retaining characteristics of six tree species and their relations with micro-configurations of leaf epidermis. J. Beijing For. Univ. 2017, 39, 70–77. (In Chinese) [Google Scholar] [CrossRef]
- Wang, B.; Wang, X.; Niu, X.; Zhang, W.; Wang, J. Atmospheric particle retaining function of common deciduous tree species leaves in Beijing. Environ. Sci. 2015, 36, 2005–2009. (In Chinese) [Google Scholar] [CrossRef]
- Guo, X.; Zhang, Q.; Tang, L.; Hu, J. Study on the dust catching property of the several evergreen conifers in Huhhot. Chin. Agric. Sci. Bull. 2009, 25, 62–65. (In Chinese) [Google Scholar]
- Setiawan, G.D.; Przybysz, A.; Treesubsuntorn, C.; Popek, R. Effect of simulated rain and rain frequency on particulate matter re-accumulation in roadside climbers Parthenocissus quinquefolia. Environ. Pollut. 2025, 382, 126649. [Google Scholar] [CrossRef]
- Popek, R.; Przybysz, A. Precipitation plays a key role in the processes of accumulation, retention and re-suspension of particulate matter on Betula pendula, Tilia cordata and Quercus robur foliage. Desalin. Water Treat. 2022, 275, 14–23. [Google Scholar] [CrossRef]
- Brunekreef, B.; Holgate, S.T. Air pollution and health. Lancet 2002, 360, 1233–1242. [Google Scholar] [CrossRef] [PubMed]
- Singh, A.; Singh, G. Human health risk assessment in PM10-bound trace elements, seasonal patterns, and source apportionment study in a critically polluted coking coalfield area of India. Integr. Environ. Assess. Manag. 2022, 18, 469–478. [Google Scholar] [CrossRef] [PubMed]
- Peters, A.; Dockery, D.W.; Muller, J.E.; Mittleman, M.A. Increased particulate air pollution and the triggering of myocardial infarction. Circulation 2001, 103, 2810–2815. [Google Scholar] [CrossRef]
- Brook, R.D.; Rajagopalan, S.; Pope, C.A., III; Brook, J.R.; Bhatnagar, A.; Diez-Roux, A.V.; Holguin, F.; Hong, Y.; Luepker, R.V.; Mittleman, M.A.; et al. Particulate matter air pollution and cardiovascular disease: An update to the scientific statement from the American Heart Association. Circulation 2010, 121, 2331–2378. [Google Scholar] [CrossRef]
- Evans, K.A.; Hopke, P.K.; Utell, M.J.; Kane, C.; Thurston, S.W.; Ling, F.S.; Chalupa, D.; Rich, D.Q. Triggering of ST-elevation myocardial infarction by ambient wood smoke and other particulate and gaseous pollutants. J. Expo. Sci. Environ. Epidemiol. 2017, 27, 198–206. [Google Scholar] [CrossRef] [PubMed]
- Santibáñez-Andrade, M.; Sánchez-Pérez, Y.; Chirino, Y.I.; Morales-Bárcenas, R.; Quintana-Belmares, R.; García-Cuellar, C.M. Particulate matter (PM10) destabilizes mitotic spindle through downregulation of SETD2 in A549 lung cancer cells. Chemosphere 2022, 295, 133900. [Google Scholar] [CrossRef]
- Bzdek, B.R.; Pennington, M.R.; Johnston, M.V. Single particle chemical analysis of ambient ultrafine aerosol: A review. J. Aerosol. Sci. 2012, 52, 109–120. [Google Scholar] [CrossRef]
- Sanderson, P.; Delgado-Saborit, J.M.; Harrison, R.M. A review of chemical and physical characterisation of atmospheric metallic nanoparticles. Atmos. Environ. 2014, 94, 353–365. [Google Scholar] [CrossRef]
- Schneider, I.L.; Teixeira, E.C.; Dotto, G.L.; Pinto, D.; Yang, C.; Silva, L.F.O. Geochemical study of submicron particulate matter (PM1) in a metropolitan area. Geosci. Front. 2022, 13, 101130. [Google Scholar] [CrossRef]
- Zang, F.; Chang, Y.; Zhao, X.; Wang, H.; Zhao, C.; Nan, Z.; Wang, S.; Wu, Y. Influence of atmospheric trace elements wet deposition on soils and vegetation of Qilian Mountain forests, China. Ecol. Indic. 2022, 141, 109151. [Google Scholar] [CrossRef]
- Yu, G.; Xu, J.; Kang, S.; Ren, J.; Cui, X. Trajectory analysis of atmospheric transport of particles in Laohugou area, Western Qilian Mountains. Arid. Zone Res. 2020, 37, 671–679. (In Chinese) [Google Scholar] [CrossRef]
- Zhang, Y.; Xu, J.; Yu, G. The changing characteristics of soluble ions in PM2.5 in summer over Laohugou region in the Qilian Mountains. J. Glaciol. Geocryol. 2017, 39, 1022–1028. (In Chinese) [Google Scholar] [CrossRef]
- Dong, Z.; Qin, D.; Kang, S.; Ren, J.; Chen, J.; Cui, X.; Du, Z.; Qin, X. Physicochemical characteristics and sources of atmospheric dust deposition in snow packs on the glaciers of western Qilian Mountains, China. Tellus B 2014, 66, 20956. [Google Scholar] [CrossRef]
- Xu, J.Z.; Mei, F.; Zhang, X.H.; Zhao, W.H.; Zhai, L.X.; Zhong, M.; Hou, S.G. Impact of anthropogenic aerosol transport on cloud condensation nuclei activity during summertime in Qilian Mountain, in the northern Tibetan Plateau. J. Geophys. Res. Atmos. 2024, 129, e2023JD040519. [Google Scholar] [CrossRef]
- Yang, X.; Hao, H.; Zhao, C.; Zang, F.; An, J.; Zhang, M.; Zhang, H. Effects of rainfall and temperature on river runoff during growing season in Tianlaochi catchment in the upper reaches of Heihe River Basin. Res. Soil Water Conserv. 2022, 29, 263–269. (In Chinese) [Google Scholar] [CrossRef]
- Zang, F.; Wang, H.; Zhao, C.; Nan, Z.; Wang, S.; Yang, J.; Li, N. Atmospheric wet deposition of trace elements to forest ecosystem of the Qilian Mountains, northwest China. Catena 2021, 197, 104966. [Google Scholar] [CrossRef]
- Zhang, K.; Wen, Z. Review and challenges of policies of environmental protection and sustainable development in China. J. Environ. Manag. 2008, 88, 1249–1261. [Google Scholar] [CrossRef]
- Wang, S.; Li, C.; Zhou, H. Impact of China’s economic growth and energy consumption structure on atmospheric pollutants: Based on a panel threshold model. J. Clean. Prod. 2019, 236, 117694. (In Chinese) [Google Scholar] [CrossRef]
- Fowler, D.; Skiba, U.; Nemitz, E.; Choubedar, F.; Branford, D.; Donovan, R.; Rowland, P. Measuring aerosol and heavy metal deposition on urban woodland and grass using inventories of 210Pb and metal concentrations in soil. Water Air Soil Pollut. Focus 2004, 4, 483–499. [Google Scholar] [CrossRef]
- Yang, F.; Tan, J.; Zhao, Q.; Du, Z.; He, K.; Ma, Y.; Duan, F.; Chen, G.; Zhao, Q. Characteristics of PM2.5 speciation in representative megacities and across China. Atmos. Chem. Phys. 2011, 11, 5207–5219. [Google Scholar] [CrossRef]
- Adams, K.; Greenbaum, D.S.; Shaikh, R.; van Erp, A.M.; Russell, A.G. Particulate matter components, sources, and health: Systematic approaches to testing effects. J. Air Waste Manag. Assoc. 2015, 6, 544–558. [Google Scholar] [CrossRef]
- Wang, Y.; Zhang, X.; Sun, J.; Zhang, X.; Che, H.; Li, Y. Spatial and temporal variations of the concentrations of PM10, PM2.5 and PM1 in China. Atmos. Chem. Phys. Discuss. 2015, 15, 3585–13598. [Google Scholar] [CrossRef]
- Yi, X.; Peng, Y.; Liao, J.; Liu, Y.; Li, G. A review of the relationship between forest vegetation and atmospheric particulate matter. Plant Sci. J. 2017, 35, 790–796. (In Chinese) [Google Scholar] [CrossRef]
- Fang, Y.; Wang, B.; Niu, X. Atmospheric particles-capturing capability of main afforestation tree species in Central Shaanxi Plain. Chin. J. Ecol. 2015, 34, 1516–1522. [Google Scholar] [CrossRef]
- Kwak, M.J.; Lee, J.; Kim, H.; Park, S.; Lim, Y.; Kim, J.E.; Baek, S.G.; Seo, S.M.; Kim, K.N.; Woo, S.Y. The removal efficiencies of several temperate tree species at adsorbing airborne particulate matter in urban forests and roadsides. Forests 2019, 10, 960. [Google Scholar] [CrossRef]
- Jiang, B.; Sun, C.; Mu, S.; Zhao, Z.; Chen, Y.; Lin, Y.; Qiu, L.; Gao, T. Differences in airborne particulate matter concentration in urban green spaces with different spatial structures in Xi’an, China. Forests 2022, 13, 14. [Google Scholar] [CrossRef]
- Ma, Y.; Jia, Y.; Wang, C.; Du, W.; Liu, W. Spatio-temporal distribution and impact analysis on dust-retention effect of typical road protection forests in Beijing. For. Res. 2018, 31, 110–117. (In Chinese) [Google Scholar] [CrossRef]
- Ruijgrok, W.; Tieben, H.; Eisinga, P. The dry deposition of particles to a forest canopy: A comparison of model and experimental results. Atmos. Environ. 1997, 31, 399–415. [Google Scholar] [CrossRef]
- Prajapati, S.K.; Tripathi, B.D. Seasonal variation of leaf dust accumulation and pigment content in plant species exposed to urban particulates pollution. J. Environ. Qual. 2008, 37, 865–870. [Google Scholar] [CrossRef]
- Wang, L.; Ha, S.; Liu, L.; Gao, S. Effects of weather condition in spring on particulates density on conifers leaves in Beijing. Chin. J. Ecol. 2006, 25, 998–1002. (In Chinese) [Google Scholar] [CrossRef]
- Tallis, M.; Taylor, G.; Sinnett, D.; Freer-Smith, P. Estimating the removal of atmospheric particulate pollution by the urban tree canopy of London, under current and future environments. Landsc. Urban Plann. 2011, 103, 129–138. [Google Scholar] [CrossRef]
- Dzierżanowski, K.; Popek, R.; Gawrońska, H.; Sæbø, A.; Gawroński, S.W. Deposition of particulate matter of different size fractions on leaf surfaces and in waxes of urban forest species. Int. J. Phytorem. 2011, 13, 1037–1046. [Google Scholar] [CrossRef]
- Xie, Y.; Zhao, M.; He, J.; Chen, Z.; Zhao, J. Dust-retaining ability of Picea wilsonii and Pinus tabuliformis forests with different diameter classes. J. Northwest For. Univ. 2020, 35, 17–24. (In Chinese) [Google Scholar]
- Lü, L.; Li, H.; Yang, J. The temporal-spatial variation characteristics and influencing factors of absorbing air par-ticulate matters by plants: A review. Chin. Afr. J. Ecol. 2016, 35, 524–533. [Google Scholar]
- Weerakkody, U.; Dover, J.W.; Mitchell, P.; Reiling, K. Particulate matter pollution capture by leaves of seventeen living wall species with special reference to rail-traffic at a metropolitan station. Urban For. Urban Green. 2017, 27, 173–186. [Google Scholar] [CrossRef]
- Cable, E.; Deng, Y. Trace elements in atmospheric wet precipitation in Detroit metropolitan area: Levels and possible sources. Chemosphere 2018, 210, 1091–1098. [Google Scholar] [CrossRef]
- Wu, Y.; Zhang, J.; Ni, Z.; Liu, S.; Jiang, Z.; Huang, X. Atmospheric deposition of trace elements to Daya Bay, South China Sea: Fluxes and sources. Mar. Pollut. Bull. 2018, 127, 672–683. [Google Scholar] [CrossRef]
- Dai, S.; Ma, K.; Bao, L.; Zhang, T.; Zhang, D. Distribution of particle matters and contamination of heavy metals in the foliar dust of Sophora japonica in parks and their neighboring roads in Beijing. Acta Sci. Circumstantiae 2013, 33, 154–162. (In Chinese) [Google Scholar] [CrossRef]
- Inerb, M.; Phairuang, W.; Paluang, P.; Hata, M.; Furuuchi, M.; Wangpakapattanawong, P. Carbon and Trace element compositions of Total Suspended Particles (TSP) and Nanoparticles (PM0.1) in ambient air of Southern Thailand and Characterization of Their Sources. Atmosphere 2022, 13, 626. [Google Scholar] [CrossRef]
- Alias, N.F.; Khan, M.F.; Sairi, N.A.; Zain, S.M.; Suradi, H.; Rahim, H.A.; Banerjee, T.; Bari, M.A.; Othman, M.; Latif, M.T. Characteristics, emission sources, and risk factors of heavy metals in PM2.5 from southern Malaysia. ACS Earth Space Chem. 2020, 4, 1309–1323. [Google Scholar] [CrossRef]
- Dahari, N.; Muda, K.; Latif, M.T.; Hussein, N. Studies of atmospheric PM2.5 and its inorganic water soluble ions and trace elements around southeast Asia: A Review. Asia-Pac. J. Atmos. Sci. 2021, 57, 361–385. [Google Scholar] [CrossRef]
- Xu, J.; Jia, C.; Yu, H.; Xu, H.; Ji, D.; Wang, C.; Xiao, H.; He, J. Characteristics, sources, and health risks of PM2.5-bound trace elements in representative areas of Northern Zhejiang Province, China. Chemosphere 2021, 272, 129632. [Google Scholar] [CrossRef]
- Phairuang, W.; Inerb, M.; Hata, M.; Furuuchi, M. Characteristics of trace elements bound to ambient nanoparticles (PM0.1) and a health risk assessment in southern Thailand. J. Hazard. Mater. 2022, 425, 127986. [Google Scholar] [CrossRef]
- Tkacheva, N.; Eliseeva, T. Sodium (Na)–Body & Health Importance+ Top 30 Sources. J. Healthy Nutr. Diet. 2022, 1, 43–52. [Google Scholar] [CrossRef]
- Kalia, K.; Flora, S.J.S. Strategies for safe and effective therapeutic measures for chronic arsenic and lead poisoning. J. Occup. Health 2005, 47, 1–21. [Google Scholar] [CrossRef] [PubMed]
- Flora, G.; Gupta, D.; Tiwari, A. Toxicity of lead: A review with recent updates. Interdiscip. Toxicol. 2012, 5, 47–58. [Google Scholar] [CrossRef]
- Suhani, I.; Sahab, S.; Srivastava, V.; Singh, R.P. Impact of cadmium pollution on food safety and human health. Curr. Opin. Toxicol. 2021, 27, 1–7. [Google Scholar] [CrossRef]
- Bi, C.; Zhou, Y.; Chen, Z.; Jia, J.; Bao, X. Heavy metals and lead isotopes in soils, road dust and leafy vegetables and health risks via vegetable consumption in the industrial areas of Shanghai, China. Sci. Total Environ. 2018, 619, 1349–1357. [Google Scholar] [CrossRef] [PubMed]
- Lu, P.; Zhao, X.; Yin, B.; Zhang, N.; Wang, Y.; Yu, H.; Yang, W.; Wang, X. Distribution Characteristics and Source Apportionment of Elements Bonded with PM2.5 and PM10 in Linyi. Environ. Sci. 2020, 41, 2036–2043. [Google Scholar] [CrossRef]
- Huang, J.; Li, F.; Zeng, G.; Zeng, G.; Liu, W.; Huang, X.; Xiao, Z.; Wu, H.; Gu, Y.; Li, X.; et al. Integrating hierarchical bioavailability and population distribution into potential eco-risk assessment of heavy metals in road dust: A case study in Xiandao District, Changsha city, China. Sci. Total Environ. 2016, 541, 969–976. [Google Scholar] [CrossRef]
- Popek, R.; Przybysz, A.; Łukowski, A.; Baranowska, M.; Bułaj, B.; Hauke–Kowalska, M.; Jagiełło, R.; Korzeniewicz, R.; Moniuszkoa, H.; Robakowski, P.; et al. Shields against pollution: Phytoremediation and impact of particulate matter on trees at Wigry National Park, Poland. Int. J. Phytorem. 2025, 27, 448–461. [Google Scholar] [CrossRef] [PubMed]




| Catchment | Sample Tree ID | DBH (cm) | Geographic Coordinates (Latitude, Longitude) | Elevation (m a.s.l.) | Slope Aspect (°) | Slope Inclination (°) |
|---|---|---|---|---|---|---|
| Tianlaochi | TLC-1 | 16.4 | 99°54′22.0″ E, 38°26′30.4″ N | 2813 | 354 | 10 |
| TLC-2 | 16.1 | 99°54′22.2″ E, 38°26′27.1″ N | 2854 | 353 | 10 | |
| TLC-3 | 15.8 | 99°54′17.9″ E, 38°26′30.3″ N | 2825 | 354 | 11 | |
| Sancha | SC-1 | 13.4 | 101°48′27.1″ E, 38°06′08.1″ N | 2834 | 229 | 15 |
| SC-2 | 12.9 | 101°48′29.5″ E, 38°06′10.4″ N | 2846 | 231 | 16 | |
| SC-3 | 13.8 | 101°48′30.0″ E, 38°06′11.1″ N | 2830 | 230 | 16 |
| Catchment | Tree Size Class | Height (m) | DBH (cm) | Geographic Coordinates (Latitude, Longitude) | Elevation (m a.s.l.) | Slope Aspect (°) | Slope Inclination (°) |
|---|---|---|---|---|---|---|---|
| Tianlaochi | Big | 18 | 36.9 | 99°54′21.8″ E, 38°26′31.5″ N | 2810 | 351 | 9 |
| Medium | 16 | 31.2 | 99°54′21.9″ E, 38°26′30.8″ N | 2805 | 350 | 10 | |
| Small | 13 | 20.4 | 99°54′21.7″ E, 38°26′30.9″ N | 2818 | 351 | 12 |
Disclaimer/Publisher’s Note: The statements, opinions and data contained in all publications are solely those of the individual author(s) and contributor(s) and not of MDPI and/or the editor(s). MDPI and/or the editor(s) disclaim responsibility for any injury to people or property resulting from any ideas, methods, instructions or products referred to in the content. |
© 2026 by the authors. Licensee MDPI, Basel, Switzerland. This article is an open access article distributed under the terms and conditions of the Creative Commons Attribution (CC BY) license.
Share and Cite
Zeng, W.; Chen, J.; Zhang, Y.; Lang, W.; Yao, Z.; Zang, F.; Hao, H. Retention of Atmospheric Particulate Matter and Dissolved Trace Elements by Picea crassifolia Forest in the Qilian Mountains in Northwest China. Forests 2026, 17, 140. https://doi.org/10.3390/f17010140
Zeng W, Chen J, Zhang Y, Lang W, Yao Z, Zang F, Hao H. Retention of Atmospheric Particulate Matter and Dissolved Trace Elements by Picea crassifolia Forest in the Qilian Mountains in Northwest China. Forests. 2026; 17(1):140. https://doi.org/10.3390/f17010140
Chicago/Turabian StyleZeng, Wenfang, Jiechang Chen, Yan Zhang, Wenzhe Lang, Zheng Yao, Fei Zang, and Hu Hao. 2026. "Retention of Atmospheric Particulate Matter and Dissolved Trace Elements by Picea crassifolia Forest in the Qilian Mountains in Northwest China" Forests 17, no. 1: 140. https://doi.org/10.3390/f17010140
APA StyleZeng, W., Chen, J., Zhang, Y., Lang, W., Yao, Z., Zang, F., & Hao, H. (2026). Retention of Atmospheric Particulate Matter and Dissolved Trace Elements by Picea crassifolia Forest in the Qilian Mountains in Northwest China. Forests, 17(1), 140. https://doi.org/10.3390/f17010140

