An Integrated Framework for NDVI and LAI Forecasting with Climate Factors: A Case Study in Oujiang River Basin, Southeast China
Abstract
1. Introduction
2. Materials and Methods
2.1. Data Sources and Data Processing
| Name | Period | Spatial Resolution | Temporal Resolution | Methods | ||
|---|---|---|---|---|---|---|
| The Normalized Difference Vegetation Index (NDVI) | MODIS NDVI | February 2000–July 2023 | 250 m | 16 days | MVC (Maximum Viscosity Composition) [40] | |
| GIMMS NDVI | July 1981–December 2015 | 1/12° | 15 days | Nearest Neighbor Allocation Resampling | ||
| The Leaf Area Index (LAI) | May 2000–December 2021 | 250 m | 1-month | |||
| The meteorological data | Precipitation | January 1901–December 2021 | 1 km | 1-month | Nearest Neighbor Allocation Resampling [41] | |
| Temperature | 1-month | |||||
| Digital Elevation Model | 2009 | 30 m | ||||
| The land use data | 1980, 1990, 2000, 2010 and 2020 | 1 km | 10 years | Intersection | ||
2.2. Research Method
2.2.1. Trend and Changing Point
2.2.2. Driving Factor Zoning
2.2.3. Cluster
3. Results
3.1. Trend Changes and Spatial and Temporal Distribution of Vegetation NDVI, LAI, and Climate Variables
3.1.1. Characteristics of Temporal Variations in NDVI, LAI, and Climate Variables
3.1.2. NDVI and LAI Spatial Variation Characteristics
3.1.3. Time-Series Correlation Between NDVI and Climate Variables
3.1.4. Spatial Distribution of Driving Factor of NDVI
3.2. Machine Learning-Based Analysis of the Drivers of Vegetation NDVI Change
3.2.1. Relating NDVI to Temperature and Precipitation Using Different Input Variables
3.2.2. Comparing Results of Different Methods for Identifying Regional NDVI–Climate Relationships
3.2.3. Correlation Analysis Vs. Clustering Models for Climate-Based Zoning
3.3. NDVI and Climatic Variable-Based Inversion Methods for LAI
4. Discussions
5. Conclusions
- (1)
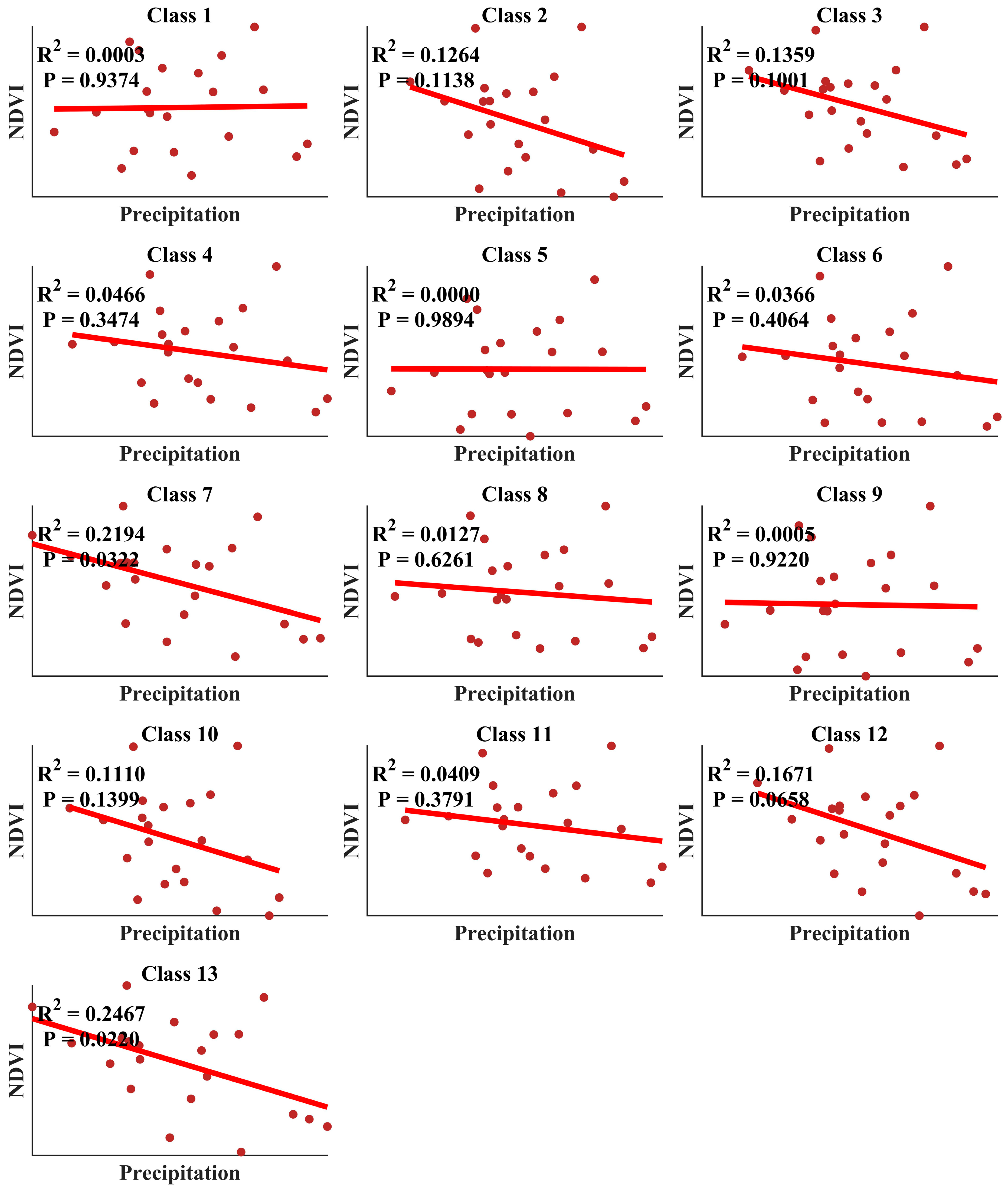
- Temperature emerges as the primary driver of the NDVI, particularly in spring and winter, while precipitation exhibits a weaker influence. This is consistent with findings from similar studies in other humid subtropical regions, where temperature has been shown to significantly influence seasonal vegetation growth [62].
- (2)
- Analysis of the drivers for each grid revealed that temperature-driven effects dominate in low-elevation zones, while precipitation-driven effects are concentrated in areas with a high slope (>30°) and high elevation (>1100 m), highlighting spatial variability in climatic drivers. However, treating the entire watershed as a whole or analyzing each grid individually will lead to non-negligible uncertainties.
- (3)
- The machine learning classification method can categorize grids into a certain number of classes, maximizing the potential for establishing NDVI-meteorological data relationships. This classification approach helps reduce modeling uncertainty and enhances the spatial consistency of climate–vegetation analysis. For all classes, the NDVI and LAI demonstrate a significant logarithmic relationship, with R2 values exceeding 0.90 across most clustering categories. The LAI prediction model, based on temperature–NDVI and NDVI–LAI relationships, performs effectively for medium-to-high LAI values.
Author Contributions
Funding
Data Availability Statement
Conflicts of Interest
References
- Fang, H.; Sha, M.; Xie, Y.; Lin, W.; Qiu, D.; Tu, J.; Tan, X.; Li, X.; Sha, Z. Shifted global vegetation phenology in response to climate changes and its feedback on vegetation carbon uptake. Remote Sens. 2023, 15, 2288. [Google Scholar] [CrossRef]
- Lednev, S. Approaches to the study of vegetation dynamics in arid Eurasia biomes: A review. E3S Web Conf. 2023, 392, 02006. [Google Scholar] [CrossRef]
- Xiao, X.; Guan, Q.; Zhang, Z.; Liu, H.; Du, Q.; Yuan, T. Investigating the underlying drivers of vegetation dynamics in cold-arid mountainous. Catena 2024, 237, 107831. [Google Scholar] [CrossRef]
- Chao, W.; Peng, H.; Xiaoman, L.; Jingfang, Y.; Qian, Z.; Na, L. Spatial and Temporal Variation of Vegetation Cover in Areas of Important Ecosystem Protection and Restoration Projects in China. Lett. Ecol. 2023, 43, 8903–8916. [Google Scholar] [CrossRef]
- Intergovernmental Panel on Climate Change. Climate Change 2021—The Physical Science Basis: Working Group I Contribution to the Sixth Assessment Report of the Intergovernmental Panel on Climate Change; Cambridge University Press: Cambridge, UK, 2023. [Google Scholar] [CrossRef]
- Zhu, Z.; Piao, S.; Myneni, R.B.; Huang, M.; Zeng, Z.; Canadell, J.G.; Ciais, P.; Sitch, S.; Friedlingstein, P.; Arneth, A.; et al. Greening of the Earth and its drivers. Nat. Clim. Change 2016, 6, 791–795. [Google Scholar] [CrossRef]
- Forkel, M.; Carvalhais, N.; Verbesselt, J.; Mahecha, M.D.; Neigh, C.S.R.; Reichstein, M. Trend Change Detection in NDVI Time Series: Effects of Inter-Annual Variability and Methodology. Remote Sens. 2013, 5, 2113–2144. [Google Scholar] [CrossRef]
- Jeong, S.-J.; Ho, C.-H.; Gim, H.-J.; Brown, M.E. Phenology shifts at start vs. end of growing season in temperate vegetation over the Northern Hemisphere for the period 1982–2008. Glob. Change Biol. 2011, 17, 2385–2399. [Google Scholar] [CrossRef]
- Piao, S.; Ciais, P.; Huang, Y.; Shen, Z.; Peng, S.; Li, J.; Zhou, L.; Liu, H.; Ma, Y.; Ding, Y.; et al. The impacts of climate change on water resources and agriculture in China. Nature 2010, 467, 43–51. [Google Scholar] [CrossRef]
- Feng, W.; Yuan, J.; Gao, F.; Weng, B.; Hu, W.; Lei, Y.; Huang, X.; Yang, L.; Shen, J.; Xu, D.; et al. Piezopotential-driven simulated electrocatalytic nanosystem of ultrasmall MoC quantum dots encapsulated in ultrathin N-doped graphene vesicles for superhigh H2 production from pure water. Nano Energy 2020, 75, 104990. [Google Scholar] [CrossRef]
- Liu, Y.; Liu, R.; Chen, J.M. Retrospective retrieval of long-term consistent global leaf area index (1981–2011) from combined AVHRR and MODIS data. J. Geophys. Res. Biogeosci. 2012, 117, G04003. [Google Scholar] [CrossRef]
- Chen, C.; Park, T.; Wang, X.; Piao, S.; Xu, B.; Chaturvedi, R.; Fuchs, R.; Brovkin, V.; Ciais, P.; Fensholt, R.; et al. China and India lead in greening of the world through land-use management. Nat. Sustain. 2019, 2, 122–129. [Google Scholar] [CrossRef] [PubMed]
- Islam, A.R.M.T.; Akter, M.Y.; Fattah, M.A.; Mallick, J.; Parvin, I.; Islam, H.M.T.; Shahid, S.; Kabir, Z.; Kamruzzaman, M. Modulation of coupling climatic extremes and their climate signals in a subtropical monsoon country. Theor. Appl. Climatol. 2024, 155, 4827–4849. [Google Scholar] [CrossRef]
- Ettinger, A.K.; Buonaiuto, D.M.; Chamberlain, C.J.; Morales-Castilla, I.; Wolkovich, E.M. Spatial and temporal shifts in photoperiod with climate change. New Phytol. 2021, 230, 462–474. [Google Scholar] [CrossRef] [PubMed]
- Xue, Y.; Bai, X.; Zhao, C.; Tan, Q.; Li, Y.; Luo, G.; Wu, L.; Chen, F.; Li, C.; Ran, C.; et al. Spring photosynthetic phenology of Chinese vegetation in response to climate change and its impact on net primary productivity. Agric. For. Meteorol. 2023, 342, 109734. [Google Scholar] [CrossRef]
- Shen, M.; Tang, Y.; Chen, J.; Zhu, X.; Zheng, Y. Influences of temperature and precipitation before the growing season on spring phenology in grasslands of the central and eastern Qinghai–Tibetan Plateau. Agric. For. Meteorol. 2011, 151, 1711–1722. [Google Scholar] [CrossRef]
- Li, S.; Jiao, J.; Wang, C. Research on Polarized Multi-Spectral System and Fusion Algorithm for Remote Sensing of Vegetation Status at Night. Remote Sens. 2021, 13, 3510. [Google Scholar] [CrossRef]
- Xuan, F.; Liu, H.; Xue, J.; Li, Y.; Liu, J.; Huang, X.; Tan, Z.; Abd Elbasit, M.A.; Gu, X.; Su, W. The novel triangular spectral indices for characterizing winter wheat drought. Int. J. Appl. Earth Obs. Geoinf. 2024, 134, 104151. [Google Scholar] [CrossRef]
- Mohanasundaram, S.; Baghel, T.; Thakur, V.; Udmale, P.; Shrestha, S. Reconstructing NDVI and land surface temperature for cloud cover pixels of Landsat-8 images for assessing vegetation health index in the Northeast region of Thailand. Environ. Monit. Assess. 2022, 195, 211. [Google Scholar] [CrossRef]
- Taiwo, B.E.; Kafy, A.A.; Samuel, A.A.; Rahaman, Z.A.; Ayowole, O.E.; Shahrier, M.; Duti, B.M.; Rahman, M.T.; Peter, O.T.; Abosede, O.O. Monitoring and predicting the influences of land use/land cover change on cropland characteristics and drought severity using remote sensing techniques. Environ. Sustain. Indic. 2023, 18, 100248. [Google Scholar] [CrossRef]
- Yamauchi, D.H.; Garcia Garces, H.; Teixeira, M.d.M.; Rodrigues, G.F.B.; Ullmann, L.S.; Garcia Garces, A.; Hebeler-Barbosa, F.; Bagagli, E. Soil Mycobiome Is Shaped by Vegetation and Microhabitats: A Regional-Scale Study in Southeastern Brazil. J. Fungi 2021, 7, 587. [Google Scholar] [CrossRef]
- Castellaneta, M.; Rita, A.; Camarero, J.J.; Colangelo, M.; Ripullone, F. Declines in canopy greenness and tree growth are caused by combined climate extremes during drought-induced dieback. Sci. Total Environ. 2022, 813, 152666. [Google Scholar] [CrossRef] [PubMed]
- Shu, M.; Xu, T.; Cai, W.; Wen, S.; Jiao, H.; Wu, Y. Unveiling Illumination Variations During a Lunar Eclipse: Multi-Wavelength Spaceborne Observations of the January 21, 2019 Event. Remote Sens. 2024, 16, 4181. [Google Scholar] [CrossRef]
- Ghebrezgabher, M.G.; Yang, T.; Yang, X.; Eyassu Sereke, T. Assessment of NDVI variations in responses to climate change in the Horn of Africa. Egypt. J. Remote Sens. Space Sci. 2020, 23, 249–261. [Google Scholar] [CrossRef]
- Xin, J.; Yang, J.; Wang, L.; Jin, C.; Xiao, X.; Xia, J. Seasonal differences in the dominant factors of surface urban heat islands along the urban-rural gradient. Front. Environ. Sci. 2022, 10, 974811. [Google Scholar] [CrossRef]
- Rahman, A.; Zhang, X.; Houser, P.; Sauer, T.; Maggioni, V. Global Assimilation of Remotely Sensed Leaf Area Index: The Impact of Updating More State Variables Within a Land Surface Model. Front. Water 2022, 3, 789352. [Google Scholar] [CrossRef]
- Yan, G.; Hu, R.; Luo, J.; Weiss, M.; Jiang, H.; Mu, X.; Xie, D.; Zhang, W. Review of indirect optical measurements of leaf area index: Recent advances, challenges, and perspectives. Agric. For. Meteorol. 2019, 265, 390–411. [Google Scholar] [CrossRef]
- Carlson, T.N.; Ripley, D.A. On the relation between NDVI, fractional vegetation cover, and leaf area index. Remote Sens. Environ. 1997, 62, 241–252. [Google Scholar] [CrossRef]
- Zheng, Y.; Han, J.; Huang, Y.; Fassnacht, S.R.; Xie, S.; Lv, E.; Chen, M. Vegetation response to climate conditions based on NDVI simulations using stepwise cluster analysis for the Three-River Headwaters region of China. Ecol. Indic. 2018, 92, 18–29. [Google Scholar] [CrossRef]
- Raynolds, M.K.; Comiso, J.C.; Walker, D.A.; Verbyla, D. Relationship between satellite-derived land surface temperatures, Arctic vegetation types, and NDVI. Remote Sens. Environ. 2008, 112, 1884–1894. [Google Scholar] [CrossRef]
- Yang, Z.; Shen, Y.; Li, J.; Jiang, H.; Zhao, L. A clustering method for inter-annual NDVI time series. Remote Sens. Lett. 2021, 12, 819–826. [Google Scholar] [CrossRef]
- Sanz, E.; Sotoca, J.J.M.; Saa-Requejo, A.; Díaz-Ambrona, C.H.; Ruiz-Ramos, M.; Rodríguez, A.; Tarquis, A.M. Clustering Arid Rangelands Based on NDVI Annual Patterns and Their Persistence. Remote Sens. 2022, 14, 4949. [Google Scholar] [CrossRef]
- Upadhyay, P.; Ghosh, S.K.; Kumar, A. Moist deciduous forest identification using temporal MODIS data—A comparative study using fuzzy-based classifiers. Ecol. Inform. 2013, 18, 117–130. [Google Scholar] [CrossRef]
- Kamel, D. Deriving High-Spatiotemporal-Resolution Leaf Area Index for Agroecosystems in the U.S. Corn Belt Using Planet Labs CubeSat and STAIR Fusion Data; NASA EOSDIS Land Processes Distributed Active Archive Center: Sioux Falls, SD, USA, 2015. [Google Scholar]
- Tucker, C.J.; Pinzon, J.E.; Brown, M.E.; Slayback, D.A.; Pak, E.W.; Mahoney, R.; Vermote, E.F.; El Saleous, N. An extended AVHRR 8-km NDVI dataset compatible with MODIS and SPOT vegetation NDVI data. Int. J. Remote Sens. 2005, 26, 4485–4498. [Google Scholar] [CrossRef]
- Pinzon, J.E.; Pak, E.W.; Tucker, C.J.; Bhatt, U.S.; Frost, G.V.; Macander, M.J. Global Vegetation Greenness (NDVI) from AVHRR GIMMS-3G+, 1981–2022; ORNL Distributed Active Archive Center: Oak Ridge, TN, USA, 2023. [Google Scholar] [CrossRef]
- Ma, H.; Liang, S. Development of the GLASS 250-m leaf area index product (version 6) from MODIS data using the bidirectional LSTM deep learning model. Remote Sens. Environ. 2022, 273, 112985. [Google Scholar] [CrossRef]
- Peng, S.; Ding, Y.; Liu, W.; Li, Z. 1 km monthly temperature and precipitation dataset for China from 1901 to 2017. Earth Syst. Sci. Data 2019, 11, 1931–1946. [Google Scholar] [CrossRef]
- Li, X.; Lu, H.; Yu, L.; Yang, K. Comparison of the Spatial Characteristics of Four Remotely Sensed Leaf Area Index Products over China: Direct Validation and Relative Uncertainties. Remote Sens. 2018, 10, 148. [Google Scholar] [CrossRef]
- Shi, L.; Fan, H.; Yang, L.; Jiang, Y.; Sun, Z.; Zhang, Y. NDVI-based spatial and temporal vegetation trends and their response to precipitation and temperature changes in the Mu Us Desert from 2000 to 2019. Water Sci. Technol. 2023, 88, 430–442. [Google Scholar] [CrossRef]
- Tao, J.; Zhiyong, L.; Liu, D.; Qiaoqian, L. NDVI response characteristics of different vegetation cover types in China to temperature and precipitation. J. Ecol. Environ. 2020, 29, 23–34. [Google Scholar] [CrossRef]
- Hussien, K.; Kebede, A.; Mekuriaw, A.; Beza, S.A.; Erena, S.H. Spatiotemporal trends of NDVI and its response to climate variability in the Abbay River Basin, Ethiopia. Heliyon 2023, 9, e14113. [Google Scholar] [CrossRef]
- Yue, S.; Wang, C.Y. Applicability of prewhitening to eliminate the influence of serial correlation on the Mann–Kendall test. Water Resour. Res. 2002, 38, 41–47. [Google Scholar] [CrossRef]
- Zhang, H.; Li, L.; Zhao, X.; Chen, F.; Wei, J.; Feng, Z.; Hou, T.; Chen, Y.; Yue, W.; Shang, H.; et al. Changes in vegetation NDVI and its response to climate change and human activities in the Ferghana Basin from 1982 to 2015. Remote Sens. 2024, 16, 1296. [Google Scholar] [CrossRef]
- Serinaldi, F.; Kilsby, C.G. The importance of prewhitening in change point analysis under persistence. Stoch. Environ. Res. Risk Assess. 2016, 30, 763–777. [Google Scholar] [CrossRef]
- Burn, D.H.; Hag Elnur, M.A. Detection of hydrologic trends and variability. J. Hydrol. 2002, 255, 107–122. [Google Scholar] [CrossRef]
- Smith, A.A.; Welch, C.; Stadnyk, T.A. Assessing the seasonality and uncertainty in evapotranspiration partitioning using a tracer-aided model. J. Hydrol. 2018, 560, 595–613. [Google Scholar] [CrossRef]
- Jingcai, W.; Jiaxiang, G.; Jiao, X.; Fan, L. Characteristics and correlation analysis of multi-timescale evolution of climate elements in the upper and middle Huaihe River Basin in the past 55 years. Geogr. Sci. 2017, 37, 611–619. [Google Scholar] [CrossRef]
- Yang, Y.; Ren, D.; Yang, Y.; Tian, F.; Hu, Y.; Han, S. Advances in clarification of the driving forces of water shortage in the Haihe River Catchment. Chin. J. Eco-Agric. 2018, 26, 1443–1453. [Google Scholar] [CrossRef]
- Zhao, A.; Anbing, Z.; Feng, L.; Dongli, W.; Yu, C.D. Spatial and temporal variations of ecological water use efficiency in the Haihe River Basin and its correlation analysis with climate factors. Lett. Ecol. 2019, 39, 1452–1462. [Google Scholar] [CrossRef]
- Wang, Q.; Zhang, T.; Yi, G.; Chen, T.; Bie, X.; He, Y. Spatial and temporal changes of vegetation NPP and its drivers in the Hengduan Mountains, 2004–2014. Lett. Ecol. 2017, 37, 3084–3095. [Google Scholar] [CrossRef]
- Melser, R.; Coops, N.C.; Derksen, C. Characterizing satellite-derived freeze/thaw regimes through spatial and temporal clustering for the identification of growing season constraints on vegetation productivity. Remote Sens. Environ. 2024, 309, 114210. [Google Scholar] [CrossRef]
- Bengio, Y.; Simard, P.; Frasconi, P. Learning long-term dependencies with gradient descent is difficult. IEEE Trans. Neural Netw. 1994, 5, 157–166. [Google Scholar] [CrossRef]
- Arbelaitz, O.; Gurrutxaga, I.; Muguerza, J.; Pérez, J.; Perona, I. An extensive comparative study of cluster validity indices. Pattern Recognit. 2013, 46, 243–256. [Google Scholar] [CrossRef]
- Dunkl, I.; Ließ, M. On the benefits of clustering approaches in digital soil mapping: An application example concerning soil texture regionalization. Soil 2022, 8, 541–558. [Google Scholar] [CrossRef]
- Khalesi, F.; Ahmed, I.; Daponte, P.; Picariello, F.; De Vito, L.; Tudosa, I. The Uncertainty Assessment by the Monte Carlo Analysis of NDVI Measurements Based on Multispectral UAV Imagery. Sensors 2024, 24, 2696. [Google Scholar] [CrossRef]
- Chen, Y.; Ma, L.; Liu, T.; Huang, X.; Sun, G. The Synergistic Effect between Precipitation and Temperature for the NDVI in Northern China from 2000 to 2018. Appl. Sci. 2023, 13, 8425. [Google Scholar] [CrossRef]
- Yang, L.; Guan, Q.; Lin, J.; Tian, J.; Tan, Z.; Li, H. Evolution of NDVI secular trends and responses to climate change: A perspective from nonlinearity and nonstationarity characteristics. Remote Sens. Environ. 2021, 254, 112247. [Google Scholar] [CrossRef]
- Bajocco, S.; Ginaldi, F.; Savian, F.; Morelli, D.; Scaglione, M.; Fanchini, D.; Raparelli, E.; Bregaglio, S.U.M. On the Use of NDVI to Estimate LAI in Field Crops: Implementing a Conversion Equation Library. Remote Sens. 2022, 14, 3554. [Google Scholar] [CrossRef]
- Ukasha, M.; Ramirez, J.A.; Niemann, J.D. Temporal Variations of NDVI and LAI and Interactions With Hydroclimatic Variables in a Large and Agro-Ecologically Diverse Region. J. Geophys. Res. Biogeosci. 2022, 127, e2021JG006395. [Google Scholar] [CrossRef]
- Ma, T.; Duan, Z.; Li, R.; Song, X. Enhancing SWAT with remotely sensed LAI for improved modelling of ecohydrological process in subtropics. J. Hydrol. 2019, 570, 802–815. [Google Scholar] [CrossRef]
- Cui, L.; Wang, L.; Qu, S.; Singh, R.P.; Lai, Z.; Yao, R. Spatiotemporal extremes of temperature and precipitation during 1960–2015 in the Yangtze River Basin (China) and impacts on vegetation dynamics. Theor. Appl. Climatol. 2019, 136, 675–692. [Google Scholar] [CrossRef]




















| Driving Factor(s) | |||
|---|---|---|---|
| Strong co-driving | |||
| Weak co-driving | |||
| Temperature | |||
| Precipitation | |||
| Not detectable |
| Driving Factor | Annual | Previous Annual | Spring | Summer | Autumn | Winter |
|---|---|---|---|---|---|---|
| Strong co-driving | 0.51 | 0.37 | 0.16 | 1.16 | 0.18 | 0.11 |
| Weak co-driving | 15.93 | 19.83 | 9.77 | 9.38 | 8.77 | 35.03 |
| Temperature | 27.45 | 14.63 | 13.40 | 4.15 | 6.05 | 18.98 |
| Precipitation | 2.64 | 1.68 | 0.63 | 3.05 | 0.48 | 0.98 |
| Not detectable | 53.47 | 63.49 | 76.04 | 82.26 | 84.51 | 44.89 |
| Class | R2 | RMSE | Class | R2 | RMSE |
|---|---|---|---|---|---|
| Class 1 | 0.374 | 0.390 | Class 8 | 0.317 | 0.366 |
| Class 2 | 0.345 | 0.634 | Class 9 | 0.345 | 0.434 |
| Class 3 | 0.373 | 0.565 | Class 10 | 0.318 | 0.379 |
| Class 4 | 0.360 | 0.457 | Class 11 | 0.338 | 0.372 |
| Class 5 | 0.370 | 0.302 | Class 12 | 0.370 | 0.438 |
| Class 6 | 0.373 | 0.306 | Class 13 | 0.266 | 0.328 |
| Class 7 | 0.289 | 0.402 | - | - | - |
Disclaimer/Publisher’s Note: The statements, opinions and data contained in all publications are solely those of the individual author(s) and contributor(s) and not of MDPI and/or the editor(s). MDPI and/or the editor(s) disclaim responsibility for any injury to people or property resulting from any ideas, methods, instructions or products referred to in the content. |
© 2025 by the authors. Licensee MDPI, Basel, Switzerland. This article is an open access article distributed under the terms and conditions of the Creative Commons Attribution (CC BY) license (https://creativecommons.org/licenses/by/4.0/).
Share and Cite
Bai, Z.; Wu, Q.; Zhou, M.; Tian, Y.; Sun, J.; Jiang, F.; Xu, Y.-P. An Integrated Framework for NDVI and LAI Forecasting with Climate Factors: A Case Study in Oujiang River Basin, Southeast China. Forests 2025, 16, 1075. https://doi.org/10.3390/f16071075
Bai Z, Wu Q, Zhou M, Tian Y, Sun J, Jiang F, Xu Y-P. An Integrated Framework for NDVI and LAI Forecasting with Climate Factors: A Case Study in Oujiang River Basin, Southeast China. Forests. 2025; 16(7):1075. https://doi.org/10.3390/f16071075
Chicago/Turabian StyleBai, Zhixu, Qianwen Wu, Minjie Zhou, Ye Tian, Jiongwei Sun, Fangqing Jiang, and Yue-Ping Xu. 2025. "An Integrated Framework for NDVI and LAI Forecasting with Climate Factors: A Case Study in Oujiang River Basin, Southeast China" Forests 16, no. 7: 1075. https://doi.org/10.3390/f16071075
APA StyleBai, Z., Wu, Q., Zhou, M., Tian, Y., Sun, J., Jiang, F., & Xu, Y.-P. (2025). An Integrated Framework for NDVI and LAI Forecasting with Climate Factors: A Case Study in Oujiang River Basin, Southeast China. Forests, 16(7), 1075. https://doi.org/10.3390/f16071075

