Abstract
Monitoring vegetation phenology is crucial for understanding how plants respond to climate change and how the latter affects the role of vegetated ecosystems in biosphere cycles. It has been reported that the growing season has been extended, leading to an increase in global terrestrial productivity, but not much attention has been given to how different climatic variables affect specific tree species’ phenology. This study focuses on the main phenological events (SOS, Start Of Season; EOS, End Of Season; and LOS, Length Of Season) of two deciduous species (Fagus sylvatica L. and Castanea sativa Mill.) and the effects of temperature and precipitation on them. The analysis concerns a 23-year period (2000–2022) of various sites across southern Europe. The dates for each phenological event are estimated based on NDVI timeseries from MODIS satellite sensor. Both species show an elongation of their growing season, with SOS occurring 2.09 and 1.63 days/decade earlier and EOS 2.97 and 3.03 days/decade later for Fagus sylvatica and Castanea sativa, respectively, with this trend appearing more intense at lower altitudes. Temperature seems to be the major driver for these changes for both species, with higher temperatures before each phenological event leading to earlier SOS and delayed EOS. The effects of precipitation are less homogenous, showing different trends between sites and species.
    1. Introduction
Vegetation phenology concerns the periodically recurring events of a plant’s life cycle [] and has been of great significance to humans from as early as the agricultural revolution []. In recent decades, phenology has gained great attention from the scientific community due to its role in various biogeochemical cycles and thus climate change [,,]. The timing of various plant phenology events has been found to be affected by climatic conditions, and shifts of these events, due to climate change, have been recorded in various areas of the globe [,,]. At the same time, these phenological shifts feedback to the climate system [,].
Temperature is considered the most important climatic driver of phenology [,,], with the rise of global temperature [] leading to earlier spring green-up (new leaves), delayed autumn senescence (leaves fall), and consequently to elongation of the growing season [,]. These phenological changes have led to an increase in CO2 sequestration by vegetation in the past decades [], playing a secondary role to terrestrial productivity increase, after CO2 fertilization []. Moreover, as phenology is crucial for species distribution and coexistence, these changes can lead to considerable consequences for biodiversity and community structures [,].
Traditionally, the study of phenology was based on direct visual observations (by scientists and/or volunteers) of the phenological phase of individual trees (plant phenology) on specific dates, providing detailed information even for subtle changes [,]. However, as this technique is time-consuming and labor-intensive, it is limited to small areas (with uneven distribution) and to a few species [,]. On the contrary, remote sensing (RS) of phenology offers unprecedented spatial and temporal scales, allowing the study of the entire earth’s surface (including harsh and isolated environments) with relatively high frequency [,,]. Moreover, as satellite missions provide continuous data for decades, they allow the study of phenological shifts over large time spans [], with AVHRR (Advanced Vey-High Resolution Radiometer) and MODIS (Moderate Resolution Imaging Spectroradiometer) being the most useful sensors, with data records since 1981 and 2000, respectively.
Remote sensing-derived phenology is called Land Surface Phenology (LSP) because it concerns all vegetation types that are included in the pixel of an image and is usually applied in large areas (regional to global scale) using many pixels [,]. However, there have been some attempts in recent years to use RS data to monitor specific tree species using either homogenous and dense areas or high spatial resolution sensors [,,]. LSP usually focuses on the three basic phenological metrics [,], the Start Of the growing Season (SOS), the End Of the growing Season (EOS), and the Length Of the growing Season (LOS). The estimation of SOS and EOS (LOS is the difference between the two) from RS data is based on Vegetation Indices’ (Vis’) timeseries, with NDVI (Normalized Difference Vegetation Index []) and EVI (Enhanced Vegetation Index []) being the most frequently used [,,]. However, the way these metrics are estimated from the RS data varies, with different methods being applied both for the processing of the timeseries (e.g., filtering and smoothing) and the extraction of the SOS and EOS dates [,]. The basic methods for extracting the SOS and EOS dates can be sorted in three categories: (1) threshold-based methods [,], (2) change detection (or derivative-based) methods [,], and (3) modelling and machine learning methods [,].
Many studies have used satellite data records to monitor LSP metrics on a large scale, mainly for the Northern Hemisphere. The majority of these studies record an earlier leaf out at spring (SOS) and a delay of senescence in autumn (EOS) over the past decades, although the shifts of SOS and EOS vary between sites and periods [,,]. While LSP studies provide valuable information concerning large areas up to the entire globe [], they fail to recognize the different responses of individual species to climate change [,]. To date, only a few studies have used satellite data to investigate specific species’ phenology and their responses to climate change [,].
This study focuses on single species responses of phenology to climate variability with the use of RS, which may provide unprecedented amount of data in time and space scales for the extraction of reliable outcomes. In particular, RS-derived (NDVI timeseries from MODIS satellite sensor) phenological metrics (SOS, EOS, and LOS) are used to investigate the responses of two deciduous tree species (Fagus sylvatica L. and Castanea sativa Mill.) to two basic climatic parameters (temperature and precipitation) and the potential spatial variation of the effects. Both species are of great socioeconomic importance and studies suggest that further temperature warming may lead to a restriction of their growth and even threaten their abundance [,,]. Various sites across southern Europe are studied over the course of a 23-year period (2000–2022) for each species, with their latitude and altitude ranging approximately 12° and 1200 m, respectively. Understanding how climate change has affected specific species will allow for better predictions of future climate impacts and will provide important insights for conservation and management of forest ecosystems.
2. Materials and Methods
2.1. Species and Study Sites
Two ecosystem types dominated by the deciduous Fagus sylvatica and Castanea sativa were studied for a 23-year period across Europe. These two species were chosen because they are deciduous (the phenology of which is easier to monitor) with wide expansion in Europe and form homogenous stands allowing the implementation of RS techniques. Moreover, these species have great socioeconomic value (e.g., food, wood, and medicine) and are of large ecological significance. The study sites for each species were determined by using the database of the European Forest Genetic Resources Programme (EUFORGEN, https://www.euforgen.org/, accessed on 15 January 2024). A total of 14 and 11 sites were selected for Fagus sylvatica and Castanea sativa, respectively, as shown in Figure 1 and Table 1. All sites were checked to ensure that they are homogenous and dense for an area expanding over a MODIS 500 m pixel to avoid any “contamination” from image processing. The latitude of Fagus sylvatica sites ranges between 37.92° and 44.38° and altitude between 882 and 1526 m a.s.l., while the latitude for Castanea sativa ranges between 37.09° and 49.18° and altitude between 360 m and 1111 m a.s.l.
 
      
    
    Figure 1.
      The study sites for Fagus sylvatica (F) and Castanea sativa (C). Background map: Google Satellite (Imagery © 2024 TerraMetrics, Map Data © 2024).
  
 
       
    
    Table 1.
    Coordinates, elevation, annual average temperature (Tavg), and total precipitation for the two studied species’ sites. The meteorological data concern the 23-year study period (2000–2022).
  
2.2. Satellite Data
For the purposes of this study, MODIS data from both Terra and Aqua satellites, freely available from NASA’s Terrestrial Ecology Subsetting & Visualization Services (TESViS) web site (https://modis.ornl.gov/globalsubset/, accessed on 5 February 2024), were used. Level 2 (atmospherically, radiometrically, and geographically corrected) MOD09A1 and MYD09A1 (for Terra and Aqua, respectively) products were used for the calculation of NDVI timeseries for each study site. MOD09A1 and MYD09A1 are eight-day composite products, with a spatial resolution of 500 m, containing the surface reflectance for the first seven MODIS bands. TESViS (previously known as ORNL DAAC) provides user-defined subsets (selected area and time period) of selected MODIS data products in an easy-to-use format (csv). Each file contains the values of the corresponding product for all the selected pixels, exempting the user from the use of image processing software. NDVI was calculated using the reflectance data of the first two MODIS bands (Band 1, 620–670 nm and Band 2, 841–876 nm) according to the following formula:
      
        
      
      
      
      
    
        where RNIR and RRED correspond to the reflectance data of MODIS bands 2 and 1, respectively.
For each study site, only one MODIS pixel, comprising the coordinates determined in the previous step, was used. Terra and Aqua data were filtered for the presence of clouds and snow, using the quality flags contained in the products, and were merged in one dataset. From the 1970 images of Terra and Aqua available for the study period, 31.2% and 24.5% on average were excluded for Fagus and Castanea sites, respectively.
2.3. Phenology
The present study focuses on the three basic phenological events, the Start Of Season (SOS, date), End Of Season (EOS, date), and Length Of Season (LOS, number of days). Several methods exist in the relevant literature for the determination of the SOS and EOS in deciduous ecosystems, with each one having their pros and cons. For the purposes of this study, the relative SOS and EOS dates are estimated based on the amplitude threshold method [], as follows. First, the NDVI timeseries were smoothed using the Savitzky–Golay filter, and after that they were transformed to daily NDVI using a linear interpolation technique. From the daily NDVI timeseries for the 23 years of the analysis, an average annual timeseries was produced, from which the minimum and maximum NDVI values for each site were estimated. Based on those values, a specific NDVI threshold was estimated for each site as the value halfway between the two of them. Finaly, using the NDVI threshold of each site, the SOS and EOS dates of each year were calculated from the whole NDVI timeseries. Accordingly, the (relative) LOS was calculated as the number of days between the EOS and SOS.
In certain sites, there were years that the time interval between two consecutive acquisitions during spring or autumn (for SOS and EOS, respectively) was too large, due to intense cloudiness. In such cases, the estimation of the corresponding phenological metric would be precarious, so we chose not to include these years in the analysis. As a result, the number of data (years) in the analysis vary between sites and phenology metrics (SOS, EOS, and LOS). For each species, six years from the entire dataset of 323 and 253 data (sites × years) for Fagus and Castanea, respectively, were excluded.
2.4. Meteorological Data
The meteorological data used in this analysis are from the TerraClimate dataset (http://www.climatologylab.org/terraclimate.html, accessed on 26 February 2024) which provides monthly data for the entire earth’s surface at a spatial resolution of approximately 4 km []. The final meteorological dataset for each site concerned minimum, maximum, and average monthly temperatures as well as total monthly precipitation.
2.5. Statistics
The relationships between phenological and climatic parameters were assessed using single and multiple linear regression analyses for different time combinations, concurrent and lagged, in relation to the corresponding phenological event. Combinations of meteorological parameters from the date of each phenological event back to 24 months for single linear regressions or back to six months for multiple regressions were examined. For SOS, meteorological parameters were examined from May backwards, while for EOS and LOS from November, since May and November are the latest that these events may occur, respectively, for both examined species. All statistical analyses were performed with JASP v.0.18.3 software (JASP Team 2024 Computer Software).
3. Results
3.1. Phenology
In Figure 2 and Table 2, the interannual fluctuation of SOS, EOS, and LOS and their corresponding statistics for the Fagus sylvatica sites are presented. Even though in most cases the regressions of the phenological parameters in time are not significant (at p ≤ 0.05 level), there is a consistent trend between sites for an earlier spring green-up (decreasing SOS and a negative R and slope) and later autumn senescence (increasing EOS and a positive R and slope), resulting in an elongation of the growing period (increasing LOS and a positive R and slope). In Figure 3, the correlations between phenological parameters and their change in time (slopes of the linear regressions in Figure 2 and Table 2) with the sites’ latitude and elevation are shown for Fagus sylvatica. At higher latitude sites, SOS tends to begin later in spring and EOS earlier in autumn, resulting in shorter growing periods, with the latter two trends being statistically significant (Figure 3a). Higher elevation sites appear to have a trend for a shorter growing period due to a significant later spring green-up (R = 0.758, p = 0.001), while no trends appear for the EOS between sites (Figure 3b). Concerning the interannual phenological parameters change, the degree of change of LOS seems unaffected by latitude (Figure 3c) due to the opposite trends of SOS (greater change on higher latitudes) and EOS (greater change on lower latitudes), with none of these trends being significant. On the contrary, LOS change varies with elevation, with lower elevation sites appearing to have higher changes in LOS due to corresponding more intense changes in the EOS (Figure 3d), with both trends being statistically significant.
 
      
    
    Figure 2.
      Interannual fluctuation of SOS, EOS, and LOS for the Fagus sylvatica sites. Lines correspond to the linear regressions of the phenological parameters in time, and their statistics are presented in Table 2.
  
 
       
    
    Table 2.
    Data for the phenological parameters (SOS, EOS, and LOS in Figure 2) and their linear regression statistics in time for the Fagus sylvatica sites. SOS and EOS data correspond to Day of Year (DOY) and LOS to Number of Days (NOD). Slope indicates the change of the corresponding parameter per year (NOD year−1). Red and green colors indicate negative (earlier leaf green-up for SOS) or positive (later senescence for EOS and elongation of LOS) changes, respectively. Color intensity corresponds to parameters’ change intensity. Statistically significant regressions (p < 0.05) are indicated in bold.
  
 
      
    
    Figure 3.
      Correlations between phenological parameters (a,b) and their change in time (c,d) with sites’ latitude (a,c) and elevation (b,d) for Fagus sylvatica.
  
Accordingly, the interannual fluctuation of SOS, EOS, and LOS and their corresponding statistics for the Castanea sativa sites are presented in Figure 4 and Table 3. Similar to Fagus, sites of Castanea show the same trends (not significant in most cases at p ≤ 0.05 level) for earlier spring green-up, later autumn senescence, and elongation of the growing period. Moreover, Castanea also shows the same spatial patterns as Fagus, with sites on higher latitudes and higher altitudes having shorter growing periods. However, none of these patterns are statistically significant. The latitudinal pattern is caused by the earlier EOS of sites on higher latitudes (R = −0.592, p = 0.054), while no trend appears for SOS (Figure 5a). On the other hand, shorter LOS of high-altitude sites is caused by a significant later spring green-up (R = 0.752, p = 0.007), which is partly counteracted by a non-significant trend for a later EOS (Figure 5b). Concerning the interannual change of the phenological parameters, LOS change is more intense at the lower altitude sites due to corresponding more intense changes in EOS (Figure 5d), as was the case also for Fagus, although none of these trends are statistically significant. Finally, no latitudinal patterns are observed for Castanea metrics’ change over the years (Figure 5c).
 
      
    
    Figure 4.
      Interannual fluctuation of SOS, EOS, and LOS for the Castanea sativa sites. Lines correspond to the linear regressions of the phenological parameters in time, and their statistics are presented in Table 3.
  
 
       
    
    Table 3.
    Statistics for the linear regressions of the phenological parameters (SOS, EOS, and LOS in Figure 4) for the Castanea sativa sites. SOS and EOS data correspond to the Day of Year (DOY) and LOS to Number of Days (NOD). Slope indicates the change of the corresponding parameter per year (NOD year−1). Red and green colors indicate negative (earlier leaf green-up for SOS) or positive (later senescence for EOS and elongation of LOS) changes, respectively. Color intensity corresponds to parameters’ change intensity. Statistically significant regressions (p < 0.05) are indicated in bold.
  
 
      
    
    Figure 5.
      Correlations between phenological parameters (a,b) and their change in time (c,d) with sites’ latitude (a,c) and elevation (b,d) for Castanea sativa.
  
3.2. Phenology and Climate
Since the most important meteorological parameters that may affect phenology concern temperature and precipitation, the relationships between phenological and meteorological parameters were examined in the next step. More specifically, for each site and phenological parameter (SOS, EOS, and LOS) the relationships with meteorological parameters (minimum, maximum, average monthly temperature, and total monthly precipitation) were examined for different time combinations, concurrent and lagged in relation to the corresponding phenological event, as described in Materials and Methods.
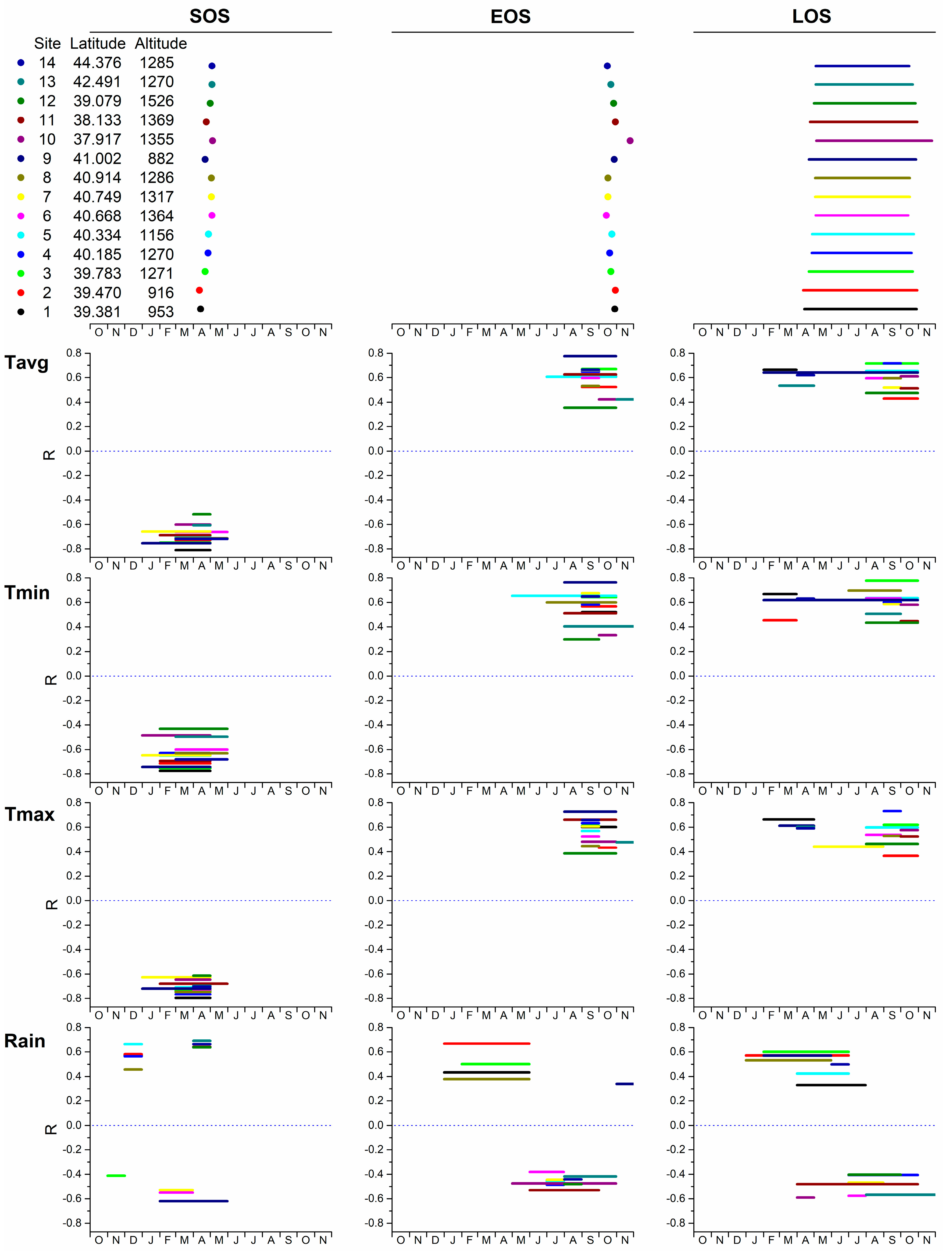
As shown in Figure 6, for Fagus sylvatica similar effects of temperature on the SOS and EOS appear between sites. Increased temperatures during one to four months before these phenological events result in an earlier shift in the SOS (negative correlations—January to May) and later shift in EOS (positive correlations—July to November), with average and maximum temperatures appearing to have the most consistent effects. Since LOS changes are a combined result of SOS and EOS changes, the influencing time period for LOS appears to have higher variations between sites both in the number of months and lag. However, strong effects of several combinations of the previous ten months (positive correlations—February to October) appear for average, minimum, and maximum temperature.
 
      
    
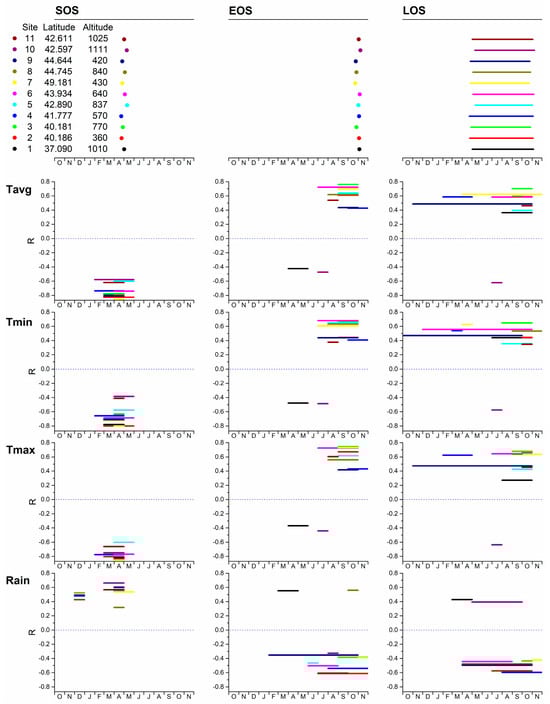
    Figure 6.
      The phenological parameters and their relationships with meteorological parameters (minimum, maximum, average monthly temperature, and total monthly precipitation) for the Fagus sylvatica sites. On the top panels, the dates for the phenological parameters (SOS, EOS, and LOS) are shown as dots with different colors for each site (data from Table 2). On the lower panels, the R values (y-axis) for the time interval with the highest correlation between each phenological and climatic parameter are shown as dashes for each site. The different lengths of dashes correspond to means/sums of meteorological data for different time intervals (x-axis).
  
Precipitation effects are less homogeneous compared to temperature, with all three metrics (SOS, EOS, and LOS) appearing to have both positive and negative correlations with the precipitation of a variable combination of previous time periods, not leading to any solid conclusion. However, in the cases of EOS and LOS it seems like increased precipitation early in the growing season (spring) has a positive effect on both (later EOS and longer LOS) for some sites, while increased precipitation in summer and autumn has a negative effect (earlier EOS and shorter LOS) for the rest of the sites.
Similar patterns appear for temperature influence on all phenology metrics of the Castanea sites (Figure 7), with higher temperatures during the previous one to four months before each event, leading to an earlier spring green-up (negative correlations—February to May) and later autumn senescence (positive correlations—July to October). Accordingly, all sites appear to have an elongated LOS as a result of increased temperature of several combinations of the previous twelve months (positive correlations–November of previous year to October). Concerning precipitation, Castanea appears to have more homogenous results compared to Fagus, with various combinations of previous time periods (different number of months and lag) showing positive effects on SOS (December to May) and negative effects on EOS (mainly July to November) and LOS (March to November). It must be noted that for all meteorological parameters a couple of Castanea sites deviate from the above EOS and LOS patterns.
 
      
    
    Figure 7.
      The phenological parameters and their relationships with meteorological parameters (minimum, maximum, average monthly temperature, and total monthly precipitation) for the Castanea sativa sites. On the top panels, the dates for the phenological parameters (SOS, EOS, and LOS) are shown as dots with different colors for each site (data from Table 3). On the lower panels, the R values (y-axis) for the time interval with the highest correlation between each phenological and climatic parameter are shown as dashes for each site. The different lengths of dashes correspond to means/sums of meteorological data for different time intervals (x-axis).
  
In order to integrate the effects of climate for each species, a stepwise multiple linear regression (MLR) approach, including the two (maximum and minimum) temperature parameters, precipitation, and the sites’ latitude, longitude, and elevation, was followed. For SOS, monthly data of the previous six months (December to May) were examined (total 21 variables), while for the EOS and LOS data of the previous 12 months (December to November) were used (total 39 variables), according to the findings described above. For all phenological parameters and for both species, the results of the multiple regressions with the maximum correlation coefficient showed more variables than the ones presented in Table 4 (maximum 13 variables). However, our purpose was to keep models as simple as possible, choosing not to include variables that did not strongly enhance model efficiency (R2 change < 0.040), or showing indications of collinearity (VIF > 3.5).
 
       
    
    Table 4.
    The most important variables explaining the phenological parameters’ variability, as determined by multiple linear regression analysis. Nomenclature for the temperature variables is given by Aaaa_BBB, where Aaaa denotes the variable (Tmin and Tmax, for minimum and maximum temperature, respectively) and BBB the three first letters of the corresponding month.
  
From the results of the multiple regression analysis (Table 4), it is obvious that altitude and latitude play a crucial role in all three phenological events of Fagus sylvatica, with higher latitude or altitude sites having shorter growing seasons as they start it later (delayed SOS) and end it earlier (advanced EOS). On the contrary, these parameters do not seem to have such an important role for Castanea sativa, as only the effect of latitude on EOS (higher latitude sites have earlier EOS) appear on the MLR analysis. Precipitation appears only on the MLR analysis of Castanea sativa, with higher rainfall of one spring month delaying both SOS (March) and EOS (April).
As shown on Table 4, the two temperature parameters (Tmin and Tmax) have an important effect on the timing of the three phenological events for both species. In most cases, the effects of the various temperature parameters (min or max and specific month) follow the patterns described above (Figure 6 and Figure 7), i.e., higher temperatures lead to earlier SOS, later EOS, and longer LOS. An interesting divergence from this pattern is the opposite (negative) effect of May temperatures on the EOS and LOS of both species, compared to the positive effects of late summer (August) and autumn temperatures, with higher May temperatures causing an earlier EOS and a shorter LOS. For Fagus, a negative effect is also observed by the Tmax of February on EOS. Another interesting result of the MLR analysis is the contrasting effects of the Tmax and Tmin of April on the SOS of Castanea, with the first causing an advancement of leaf green-up and the latter a delay.
To evaluate the possible future climate change effects on phenology, the multiple linear models of Table 4 were run under a 1 °C increase scenario, separately for each temperature-related parameter and the corresponding month, keeping all other parameters constant. Overall, under this change scenario, combined temperature effects may result in earlier SOS shifts by 1.92 and 1.88 days for Fagus and Castanea, respectively (Table 4). However, temperature change trends are different between months and sites (Figure 8), and weaker effects are to be expected in the near future, compared to those of the 1 °C increase scenario. For example, the Tmin of February may increase by 1 °C at Fagus sites if the trend of 0.10 °C per year is preserved in the next ten years (Figure 8). However, the corresponding change for the Tmax of April is much lower. Under the 1 °C climate change scenario, autumn months may result in later EOS shifts by 3.13 and 3.59 days for Fagus and Castanea, respectively, which may be counteracted by earlier shifts by 2.92 and 1.86 days as a result of the winter/spring temperature effect. However, if the temperature change trends shown in Figure 8 are preserved in the near future, weaker effects are to be expected. Interestingly, May temperatures for both species show an average (from all sites) change close to 0 °C (Figure 8) for the study period, which if preserved in the future may reduce their counteracting effect on the EOS shift and even reverse it in certain sites.
 
      
    
    Figure 8.
      Monthly change trends of the meteorological variables (Tmin, Tmax, and precipitation) for each site of the two studied species and their average for all sites of each species (slopes of parameters’ linear regression in time) during the study period (2000–2022). For each species, the most important variables affecting the phenological parameters are indicated in ellipses, and the corresponding phenological parameter is indicated above each ellipse (Table 4).
  
For LOS, all temperature-related variables, except for those of May, show positive effects, resulting in an elongation of LOS by 3.33 and 4.7 days for Fagus and Castanea, respectively, under a 1 °C climate change scenario. The temperature of May has a negative effect, counteracting the elongation of LOS from the other temperature variables by 2.01 and 1.29 days for Fagus and Castanea, respectively. However, these counteracting effects of May temperatures may be minimized in most sites as the average change of May temperatures for the study period is close to zero (Figure 8).
Overall, the performance of the multiple linear regression modeling was high for all metrics, producing statistically significant correlations (Figure 9).
 
      
    
    Figure 9.
      Measured (MODIS derived) vs. predicted phenological parameters (SOS, EOS, and LOS) for the two studied species, as modeled by the multiple linear regression analysis (Table 4).
  
4. Discussion
The phenological metrics (SOS, EOS, and LOS) of two deciduous species (Fagus sylvatica and Castanea sativa) were estimated using RS data (from MODIS sensor) over a 23-year period (2000–2022) for various sites across southern Europe. The change of these metrics over time was analyzed, and the possible effects of climatic parameters (temperature and precipitation) and spatial distribution (latitudinal and altitudinal) on phenology and its change over time, were investigated.
4.1. Phenology
Both the start and the end of the growing season occur later for Castanea compared to Fagus, with the average day of SOS differing by three days (121 ± 6 and 118 ± 8 DOY, for Castanea and Fagus, respectively) and the average day of EOS differing by seven days (306 ± 6 and 299 ± 11 DOY, for Castanea and Fagus, respectively). Concerning the growing season, Castanea sativa (average 184 ± 6 days) has a slightly longer LOS than Fagus sylvatica (average 181 ± 14 days). However, intraspecies variation is high in all phenological metrics (SOS, EOS, and LOS) for both species (Table 2 and Table 3), as noticed in many other studies of various species [,,]. The intraspecies variation of phenology follows some clear spatial patterns, although in some cases these patterns are not statistically significant (Figure 3 and Figure 5 for Fagus sylvatica and Castanea sativa, respectively). For both species, higher altitude sites have shorter growing seasons (shorter LOS) compared to those in lower altitudes, because of a later spring green-up (later SOS). Such differences in phenology between different elevations are well documented [,,,] and have been attributed to differences in climate conditions [,] and adaptive characteristics [,,]. Recent studies have also found an altitudinal pattern of EOS dates, with EOS occurring earlier on higher altitudes [,]. However, in this study only Castanea‘s EOS shows an altitudinal pattern, and furthermore this pattern is in contrast to the above mentioned studies, with higher altitude sites showing a later senescence. This discrepancy could be due to species differences, as it has been found that altitudinal patterns may vary between species []. It should be noted that the above mentioned studies concern large altitudinal ranges, reaching up to 4000 m, with the majority of data being above 1000 m. This could affect the observed patterns as the Castanea sites of this study are below 1111 m. Accordingly, for both species, sites in higher latitudes have shorter growing periods (LOS) compared to those in lower latitudes. This pattern is mainly due to the earlier senescence (earlier EOS) of high latitude sites, which in the case of Fagus is accompanied by a later spring green-up (later SOS). The majority of relevant studies, which concern a mixed composition of LSP, show a pattern of shorter LOS in higher latitudes in the latitudinal gradient between 35° and 55° [,,,], which has been mainly attributed to the climatological temperature regime [,].
Both species show an elongation of their growing season over the course of the 23-year study period (Figure 2 and Figure 4), although in most cases the trend is not statistically significant (Table 2 and Table 3). Fagus sylvatica shows a larger change (average +5.03 days per decade) compared to Castanea sativa (average +4.55 days per decade), with both species showing great variability in the magnitude of change between sites. The elongation of the growing season found in this study follows the general trend found for temperate forest ecosystems [,,,] and agrees with the findings of studies concerning Fagus sylvatica [] and Castanea sativa []. For both species, the observed elongation of the growing season is caused by the combined effect of an advanced spring green-up (earlier SOS) and a delayed autumn senescence (later EOS), with the magnitude of change (of both metrics) varying between sites (Table 2 and Table 3). The change in EOS is higher than that of SOS, for both species, which makes it the main driver of LOS elongation. This finding contradicts the general perception in the literature that considers advanced SOS to be the main factor causing the elongation of LOS [,,,]. However, Jeong et al. [], in an analysis of LSP of the Northern Hemisphere from 1992 to 2008, noticed that after 2000 EOS became the most important factor for LOS change.
Concerning the spatial distribution of these interannual phenological changes, for both species, sites in lower altitudes present a more intense elongation of their growing season (higher changes in LOS), because the change (delay) in EOS is more intense at lower altitudes, while SOS does not show any trend (Figure 3d and Figure 5d). These findings contradict previous findings in the literature that show a faster LOS elongation in higher altitudes (at least until the 1500 m altitude concerning our sites), caused mainly by the more intense advancement of SOS [,]. In general, EOS shifts have been less studied compared to SOS, and their role in phenology patterns has not been widely investigated. In their study, Xia et al. [] found that the change (delay) of EOS increased with altitude, up to 1500 m, which is in contrast to our findings, while Jiang et al. [] found a decreasing intensity of EOS advancement for the same altitudinal gradient, further obscuring the EOS shift pattern across altitudes. As for the change of LOS across latitude, no evident pattern was found for either species, although latitudinal patterns were found for SOS and EOS changes of Fagus (Figure 3c). Specifically, SOS advancement is greater at high latitudes while greater EOS delay is observed at low latitudes; consequently, LOS change does not show a pattern across latitudes. Most relevant studies concern large areas including different vegetation types, which can alter the trend distribution, while elevation and longitude seem to play a confounding role [,]. Moreover, it seems that the latitudinal distribution of phenological changes depends on the range of latitudes used [,] and also varies between the different phenological metrics [,], further complicating the extraction of general patterns. In a study based on ground observations of specific species, Ibáñez et al. [] found a more rapid LOS elongation in northern sites only for one of the three studied species and proposed that spatial variability is driven not by latitude per se, but by other site-specific factors (e.g., soil and microclimate). Overall, it is clear that establishing spatial trends of phenology changes is quite complex, as there is an interrelationship between latitude, longitude, elevation, microclimate, species composition, and other site-specific factors [,].
4.2. Climate Effects
The main driving factor behind the observed changes in phenology of both species during the study period seems to be temperature, with precipitation having a less important and definitely more obscure role, as suggested also by other studies [,]. Higher temperatures lead to an earlier spring green-up (earlier SOS), later senescence (delayed EOS), and thus to longer LOS (Figure 6 and Figure 7 for Fagus sylvatica and Castanea sativa, respectively). The role of temperature as the main driver of plant phenology has been widely recognized [,,], with many studies finding this elongation effect of temperature [,]. Moreover, numerous studies have recorded both the advance of SOS and the delay of EOS due to increased temperature [,,,].
All three temperature variables tested (average, minimum, and maximum) show the aforementioned trends, with Tavg, however, showing the most consistent effects between sites, in terms of lag and duration of the temperature period, as found also in an analysis concerning various species in Europe []. Roughly, the beginning of the growing season is affected by the temperatures of spring, with some winter months also playing a role in Fagus sylvatica‘s SOS (Figure 6), and the end of the season is affected by the temperatures of autumn months, with the effects for Castanea sativa appearing more scattered (Figure 7). The influencing time periods of temperature found in this study agree with those found in previous studies, specifically that February–April and September–November’s mean temperature control the dates of SOS and EOS, respectively [,,,]. As LOS changes are the combination of SOS and EOS changes, the influencing time period for LOS has a higher variation both in number of months and lag.
The dominant role of temperature in phenology is also highlighted from the results of the multiple linear regression analysis (Table 4). For both species and all three phenological metrics, temperature variables are amongst those explaining the date (or number of days for LOS) of each event, with latitude and elevation playing an important role for Fagus, while precipitation occurs only in the SOS and EOS of Castanea sativa. Overall, the findings of the multiple linear regressions corroborate the effects of meteorological parameters and site location on the phenology described above, with some exceptions. In general, increased temperature leads to LOS elongation due to an earlier SOS and later EOS, while sites on a higher latitude and elevation are linked to a shorter LOS, due to a later SOS and earlier EOS.
Increased May temperatures seem to break the temperature effect trend for both species, causing an advance of senescence (earlier EOS) and a shortening of the growing season (Table 4), although it should be noted that EOS and LOS are positively affected by temperatures later in the growing season, specifically of late summer and autumn (Figure 6 and Figure 7). Consequently, May temperatures seem to have a counteracting effect on EOS and LOS, reducing EOS delay and LOS elongation caused by the increased temperatures of autumn months and summer–autumn months, respectively. In the case of Fagus, this opposite trend is also observed for the Tmax of February. These effects of May temperatures on EOS and LOS could be linked to increased water consumption in early stages and higher water demands during summer, which can lead to intense summer droughts []. Regardless of the cause, these effects of May temperatures do not seem to have played a major role during the study period, as the average change of May temperatures at the sites of both species was close to zero (Figure 8). As for the effect of the Tmax of February on Fagus EOS, a possible explanation could be that an earlier spring green-up caused by high temperatures in February could lead to earlier senescence due to specific leaf traits, such as leaf longevity and programmed cell death []. Indeed, a positive intercorrelation between spring and autumn phenology has been found [,,].
An intriguing result of the multiple linear regression concerns the contrasting effects of Tmax and Tmin of April on the SOS of Castanea. While higher Tmax leads to earlier SOS, following the general patterns, higher Tmin seems to delay it. This finding needs to be further investigated.
As mentioned above, the effects of precipitation on phenology found in this study are ambiguous, with differences observed between the two species and between sites of each species as well. In the case of Fagus sylvatica, increased precipitation shows both positive and negative effects on the three phenological events (Figure 6), while Castanea sativa has more homogenous results (Figure 7), with increased precipitation in the previous months delaying SOS and advancing EOS, resulting in shorter growing seasons (LOS). However, even in the case of Castanea, the affecting time period varies substantially between sites, concerning its duration and lag, and a couple of sites show reversed patterns for EOS and LOS (increased precipitation delays EOS and leads to longer LOS). The effect of precipitation on tree phenology has not received much attention, and it has been suggested that it is not the most suited parameter for depicting the role of water [,]. Moreover, it has been proposed that precipitation acts mostly indirectly by altering the effects of temperature on phenology [,]. Especially for EOS and LOS, the role of precipitation in autumn phenology is more obscure, as senescence is affected by many developmental and environmental factors simultaneously [].
Based on the results of the multiple linear regression analysis, a future increase in temperature of 1 °C would lead to an elongation of the growing season by 1.32 and 3.41 days for Fagus sylvatica and Castanea sativa, respectively. However, this projection should be dealt with caution, as the degrees of temperature change vary between months which could alter the outcome. A clear example is the negative effect of May temperatures on the LOS of both species, which counteracts the elongation of LOS due to higher temperatures, but, during the period of this study, May temperatures showed almost no change (average of all sites, Figure 8). Moreover, it has been proposed that using past meteorological effects to predict future events can lead to substantial errors [].
Although our basic findings agree with the relevant literature, further research is needed, in order to generalize them for the whole spatial extent of the two species. The sites used in this study were chosen based on their suitability for the 500 m spatial resolution of the MODIS products used. Even though the studied sites vary in altitude, longitude, and latitude across southern Europe, a more dense and homogenously distributed site network should be used to produce safer general conclusions, especially in the case of Fagus sylvatica for which only a part of its distribution area is covered here. To that purpose, a higher spatial resolution sensor should be used (e.g., Sentinel-2 and Landasat) in order to include additional sites with smaller areas. However, currently Sentinel-2 cannot be used to produce long timeseries since it provides data only after 2016, while the low temporal resolution of Landsat restricts its suitability for phenology detection. Attention should be also given to the method used for the extraction of the metrics as different methods can produce different SOS and EOS dates []. Nevertheless, MODIS offers a great chance for studying the phenology of specific species, as was shown from our analysis, although it requires relatively large areas of homogenous forests. With its dataset expanding for 25 years already, it can be used to monitor phonological changes over time, especially in relation to the ongoing climate change.
From all the above, it is clear that the two species are affected in different ways by climate change, with important differences also noticed between sites of each species. This highlights the importance of the use of RS techniques to study the phenology of specific species and not only of large areas, as is mainly performed until now. By overcoming the limitations of traditional methods, RS can offer an abundance of phenology data that will enrich our understanding of the complex interactions between vegetation and climate. Thus, future research should focus on specific species phenology and its response to climate change, as suggested already by other scientists [,].
5. Conclusions
The present study analyzed the three basic phenological events of two deciduous species at various sites across Europe. From the results of this study, it seems that higher altitude and latitude sites have shorter growing seasons compared to those in lower altitudes and latitudes, respectively. Both species show an elongation of their growing season over the course of the 23-year study period (average 5.03 and 4.55 days/decade for Fagus sylvatica and Castanea sativa, respectively), although in most sites the trend is not statistically significant. The observed elongation of the growing season is caused by the combined effect of an advanced, spring green-up and a delayed autumn senescence, with the latter causing the biggest change. The main driving factor behind the observed changes in phenology of both species during the study period seems to be temperature, with precipitation having a less important and definitely more obscure role. Higher temperatures lead to an earlier spring green-up, later senescence, and thus to longer growing seasons. Based on the results of the multiple linear regression analysis, a future increase in temperature of 1 °C would lead to an elongation of the growing season by 1.32 and 3.41 days for Fagus sylvatica and Castanea sativa, respectively.
As highlighted by the findings of this study, future research should focus on species phenology using RS data, in order to understand how different species and functional groups respond to climate change. Although Land Surface Phenology offers a generic view of how vegetation changes over time, it cannot offer information on the biophysical processes that drive these changes. As each species is uniquely affected by climate change, it is important to understand and analyze the impact of future changes on different species in order to adjust management practices.
Author Contributions
Conceptualization, A.K.; methodology, T.V. and A.K.; formal analysis, O.D., M.M. and A.K.; investigation, O.D. and M.M.; resources, A.K.; writing—original draft preparation, T.V. and A.K.; writing—review and editing, T.V. and A.K.; visualization, O.D., M.M., T.V. and A.K.; supervision, A.K.; project administration, A.K. All authors have read and agreed to the published version of the manuscript.
Funding
This research received no external funding.
Data Availability Statement
Data available on request from the authors.
Acknowledgments
The authors would like to thank all those who work to provide us with useful, free scientific data (NASA’s TESViS group and TerraClimate team).
Conflicts of Interest
The authors declare no conflicts of interest.
References
- Phenology and Seasonality Modeling; Lieth, H., Ed.; Ecological Studies; Springer: Berlin/Heidelberg, Germany, 1974; Volume 8, ISBN 978-3-642-51865-2. [Google Scholar]
- Piao, S.; Liu, Q.; Chen, A.; Janssens, I.A.; Fu, Y.; Dai, J.; Liu, L.; Lian, X.; Shen, M.; Zhu, X. Plant Phenology and Global Climate Change: Current Progresses and Challenges. Glob. Change Biol. 2019, 25, 1922–1940. [Google Scholar] [CrossRef]
- Berra, E.F.; Gaulton, R. Remote Sensing of Temperate and Boreal Forest Phenology: A Review of Progress, Challenges and Opportunities in the Intercomparison of in-Situ and Satellite Phenological Metrics. For. Ecol. Manag. 2021, 480, 118663. [Google Scholar] [CrossRef]
- Bajocco, S.; Raparelli, E.; Teofili, T.; Bascietto, M.; Ricotta, C. Text Mining in Remotely Sensed Phenology Studies: A Review on Research Development, Main Topics, and Emerging Issues. Remote Sens. 2019, 11, 2751. [Google Scholar] [CrossRef]
- Vitasse, Y.; Porté, A.J.; Kremer, A.; Michalet, R.; Delzon, S. Responses of Canopy Duration to Temperature Changes in Four Temperate Tree Species: Relative Contributions of Spring and Autumn Leaf Phenology. Oecologia 2009, 161, 187–198. [Google Scholar] [CrossRef] [PubMed]
- Fu, Y.H.; Zhao, H.; Piao, S.; Peaucelle, M.; Peng, S.; Zhou, G.; Ciais, P.; Huang, M.; Menzel, A.; Peñuelas, J.; et al. Declining Global Warming Effects on the Phenology of Spring Leaf Unfolding. Nature 2015, 526, 104–107. [Google Scholar] [CrossRef]
- Pretzsch, H.; Biber, P.; Schütze, G.; Uhl, E.; Rötzer, T. Forest Stand Growth Dynamics in Central Europe Have Accelerated since 1870. Nat. Commun. 2014, 5, 4967. [Google Scholar] [CrossRef]
- Gill, A.L.; Gallinat, A.S.; Sanders-DeMott, R.; Rigden, A.J.; Short Gianotti, D.J.; Mantooth, J.A.; Templer, P.H. Changes in Autumn Senescence in Northern Hemisphere Deciduous Trees: A Meta-Analysis of Autumn Phenology Studies. Ann. Bot. 2015, 116, 875–888. [Google Scholar] [CrossRef]
- Peñuelas, J.; Rutishauser, T.; Filella, I. Phenology Feedbacks on Climate Change. Science 2009, 324, 887–888. [Google Scholar] [CrossRef]
- Richardson, A.D.; Keenan, T.F.; Migliavacca, M.; Ryu, Y.; Sonnentag, O.; Toomey, M. Climate Change, Phenology, and Phenological Control of Vegetation Feedbacks to the Climate System. Agric. For. Meteorol. 2013, 169, 156–173. [Google Scholar] [CrossRef]
- Chuine, I.; Cour, P. Climatic Determinants of Budburst Seasonality in Four Temperate-Zone Tree Species. New Phytol. 1999, 143, 339–349. [Google Scholar] [CrossRef]
- Vitasse, Y.; François, C.; Delpierre, N.; Dufrêne, E.; Kremer, A.; Chuine, I.; Delzon, S. Assessing the Effects of Climate Change on the Phenology of European Temperate Trees. Agric. For. Meteorol. 2011, 151, 969–980. [Google Scholar] [CrossRef]
- IPCC. Climate Change 2023: Synthesis Report. Contribution of Working Groups I, II and III to the Sixth Assessment Report of IPCC; IPCC: Geneve, Switzerland, 2023. [Google Scholar]
- Gu, H.; Qiao, Y.; Xi, Z.; Rossi, S.; Smith, N.G.; Liu, J.; Chen, L. Warming-Induced Increase in Carbon Uptake Is Linked to Earlier Spring Phenology in Temperate and Boreal Forests. Nat. Commun. 2022, 13, 3698. [Google Scholar] [CrossRef]
- Haverd, V.; Smith, B.; Canadell, J.G.; Cuntz, M.; Mikaloff-Fletcher, S.; Farquhar, G.; Woodgate, W.; Briggs, P.R.; Trudinger, C.M. Higher than Expected CO2 Fertilization Inferred from Leaf to Global Observations. Glob. Change Biol. 2020, 26, 2390–2402. [Google Scholar] [CrossRef]
- Kharouba, H.M.; Ehrlén, J.; Gelman, A.; Bolmgren, K.; Allen, J.M.; Travers, S.E.; Wolkovich, E.M. Global Shifts in the Phenological Synchrony of Species Interactions over Recent Decades. Proc. Natl. Acad. Sci. USA 2018, 115, 5211–5216. [Google Scholar] [CrossRef] [PubMed]
- Fitter, A.H.; Fitter, R.S.R.; Harris, I.T.B.; Williamson, M.H. Relationships Between First Flowering Date and Temperature in the Flora of a Locality in Central England. Funct. Ecol. 1995, 9, 55. [Google Scholar] [CrossRef]
- Gonsamo, A.; Chen, J.M.; Wu, C. Citizen Science: Linking the Recent Rapid Advances of Plant Flowering in Canada with Climate Variability. Sci. Rep. 2013, 3, 2239. [Google Scholar] [CrossRef]
- Liang, L.; Schwartz, M.D.; Fei, S. Validating Satellite Phenology through Intensive Ground Observation and Landscape Scaling in a Mixed Seasonal Forest. Remote Sens. Environ. 2011, 115, 143–157. [Google Scholar] [CrossRef]
- Morellato, L.P.C.; Alberton, B.; Alvarado, S.T.; Borges, B.; Buisson, E.; Camargo, M.G.G.; Cancian, L.F.; Carstensen, D.W.; Escobar, D.F.E.; Leite, P.T.P.; et al. Linking Plant Phenology to Conservation Biology. Biol. Conserv. 2016, 195, 60–72. [Google Scholar] [CrossRef]
- Polgar, C.A.; Primack, R.B. Leaf out Phenology in Temperate Forests. Biodivers. Sci. 2013, 21, 111–116. [Google Scholar] [CrossRef]
- Zeng, L.; Wardlow, B.D.; Xiang, D.; Hu, S.; Li, D. A Review of Vegetation Phenological Metrics Extraction Using Time-Series, Multispectral Satellite Data. Remote Sens. Environ. 2020, 237, 111511. [Google Scholar] [CrossRef]
- De Beurs, K.M.; Henebry, G.M. Land Surface Phenology and Temperature Variation in the International Geosphere–Biosphere Program High-latitude Transects. Glob. Change Biol. 2005, 11, 779–790. [Google Scholar] [CrossRef]
- Friedl, M.; Henebry, G.; Reed, B.; Huete, A.; White, M.; Morisette, J.; Nemani, R.; Zhang, X.; Myneni, R. Land Surface Phenology. In NASA Whitepapers; NASA: Washington, DC, USA, 2006. [Google Scholar]
- Şenel, T.; Kanmaz, O.; Bektas Balcik, F.; Avcı, M.; Dalfes, H.N. Assessing Phenological Shifts of Deciduous Forests in Turkey under Climate Change: An Assessment for Fagus Orientalis with Daily MODIS Data for 19 Years. Forests 2023, 14, 413. [Google Scholar] [CrossRef]
- Uphus, L.; Lüpke, M.; Yuan, Y.; Benjamin, C.; Englmeier, J.; Fricke, U.; Ganuza, C.; Schwindl, M.; Uhler, J.; Menzel, A. Climate Effects on Vertical Forest Phenology of Fagus Sylvatica l., Sensed by Sentinel-2, Time Lapse Camera, and Visual Ground Observations. Remote Sens. 2021, 13, 3982. [Google Scholar] [CrossRef]
- Lukasová, V.; Bucha, T.; Škvareninová, J.; Škvarenina, J. Validation and Application of European Beech Phenological Metrics Derived from MODIS Data along an Altitudinal Gradient. Forests 2019, 10, 60. [Google Scholar] [CrossRef]
- Helman, D. Land Surface Phenology: What Do We Really ‘See’ from Space? Sci. Total Environ. 2018, 618, 665–673. [Google Scholar] [CrossRef]
- Rouse, R.W.H.; Haas, J.A.W.; Deering, D.W. Monitoring Vegetation Systems in the Great Plains with Erts. In Proceedings of the Goddard Space Flight Center 3rd ERTS-1 Symposium, Washington, DC, USA, 10–14 December 1973; pp. 309–317. [Google Scholar]
- Huete, A.; Didan, K.; Miura, T.; Rodriguez, X.; Gao, X.; Ferreira, L. Overview of the Radiometric and Biophysical Performance of the MODIS Vegetation Indices. Remote Sens. Environ. 2002, 83, 195–213. [Google Scholar] [CrossRef]
- Delbart, N.; Beaubien, E.; Kergoat, L.; Le Toan, T. Comparing Land Surface Phenology with Leafing and Flowering Observations from the PlantWatch Citizen Network. Remote Sens. Environ. 2015, 160, 273–280. [Google Scholar] [CrossRef]
- Schwartz, M.D.; Reed, B.C.; White, M.A. Assessing Satellite-derived Start-of-season Measures in the Conterminous USA. Int. J. Climatol. 2002, 22, 1793–1805. [Google Scholar] [CrossRef]
- Klosterman, S.; Melaas, E.; Wang, J.; Martinez, A.; Frederick, S.; O’Keefe, J.; Orwig, D.A.; Wang, Z.; Sun, Q.; Schaaf, C.; et al. Fine-Scale Perspectives on Landscape Phenology from Unmanned Aerial Vehicle (UAV) Photography. Agric. For. Meteorol. 2018, 248, 397–407. [Google Scholar] [CrossRef]
- Fisher, J.I.; Mustard, J.F.; Vadeboncoeur, M.A. Green Leaf Phenology at Landsat Resolution: Scaling from the Field to the Satellite. Remote Sens. Environ. 2006, 100, 265–279. [Google Scholar] [CrossRef]
- Alberton, B.; da Silva Torres, R.; Sanna Freire Silva, T.; Rocha, H.; S. B. Moura, M.; Morellato, L. Leafing Patterns and Drivers across Seasonally Dry Tropical Communities. Remote Sens. 2019, 11, 2267. [Google Scholar] [CrossRef]
- Belda, S.; Pipia, L.; Morcillo-Pallarés, P.; Rivera-Caicedo, J.P.; Amin, E.; De Grave, C.; Verrelst, J. DATimeS: A Machine Learning Time Series GUI Toolbox for Gap-Filling and Vegetation Phenology Trends Detection. Environ. Model. Softw. 2020, 127, 104666. [Google Scholar] [CrossRef]
- Jeong, S.J.; Ho, C.H.; Gim, H.J.; Brown, M.E. Phenology Shifts at Start vs. End of Growing Season in Temperate Vegetation over the Northern Hemisphere for the Period 1982–2008. Glob. Change Biol. 2011, 17, 2385–2399. [Google Scholar] [CrossRef]
- Wang, X.; Piao, S.; Xu, X.; Ciais, P.; Macbean, N.; Myneni, R.B.; Li, L. Has the Advancing Onset of Spring Vegetation Green-up Slowed down or Changed Abruptly over the Last Three Decades? Glob. Ecol. Biogeogr. 2015, 24, 621–631. [Google Scholar] [CrossRef]
- Garonna, I.; De Jong, R.; Stöckli, R.; Schmid, B.; Schenkel, D.; Schimel, D.; Schaepman, M.E. Shifting Relative Importance of Climatic Constraints on Land Surface Phenology. Environ. Res. Lett. 2018, 13, aaa17b. [Google Scholar] [CrossRef]
- Ibáñez, I.; Primack, R.B.; Miller-Rushing, A.J.; Ellwood, E.; Higuchi, H.; Lee, S.D.; Kobori, H.; Silander, J.A. Forecasting Phenology under Global Warming. Philos. Trans. R. Soc. B Biol. Sci. 2010, 365, 3247–3260. [Google Scholar] [CrossRef]
- Martinez del Castillo, E.; Zang, C.S.; Buras, A.; Hacket-Pain, A.; Esper, J.; Serrano-Notivoli, R.; Hartl, C.; Weigel, R.; Klesse, S.; Resco de Dios, V.; et al. Climate-Change-Driven Growth Decline of European Beech Forests. Commun. Biol. 2022, 5, 163. [Google Scholar] [CrossRef]
- Guo, L.; Dai, J.; Ranjitkar, S.; Xu, J.; Luedeling, E. Response of Chestnut Phenology in China to Climate Variation and Change. Agric. For. Meteorol. 2013, 180, 164–172. [Google Scholar] [CrossRef]
- Forzieri, G.; Girardello, M.; Ceccherini, G.; Spinoni, J.; Feyen, L.; Hartmann, H.; Beck, P.S.A.; Camps-Valls, G.; Chirici, G.; Mauri, A.; et al. Emergent Vulnerability to Climate-Driven Disturbances in European Forests. Nat. Commun. 2021, 12, 1081. [Google Scholar] [CrossRef]
- White, M.A.; Nemani, R.R. Real-Time Monitoring and Short-Term Forecasting of Land Surface Phenology. Remote Sens. Environ. 2006, 104, 43–49. [Google Scholar] [CrossRef]
- Abatzoglou, J.T.; Dobrowski, S.Z.; Parks, S.A.; Hegewisch, K.C. TerraClimate, a High-Resolution Global Dataset of Monthly Climate and Climatic Water Balance from 1958–2015. Sci. Data 2018, 5, 1–12. [Google Scholar] [CrossRef]
- Panchen, Z.A.; Primack, R.B.; Gallinat, A.S.; Nordt, B.; Stevens, A.D.; Du, Y.; Fahey, R. Substantial Variation in Leaf Senescence Times among 1360 Temperate Woody Plant Species: Implications for Phenology and Ecosystem Processes. Ann. Bot. 2015, 116, 865–873. [Google Scholar] [CrossRef]
- Čufar, K.; de Luis, M.; Saz, M.A.; Črepinšek, Z.; Kajfež-Bogataj, L. Temporal Shifts in Leaf Phenology of Beech (Fagus Sylvatica) Depend on Elevation. Trees—Struct. Funct. 2012, 26, 1091–1100. [Google Scholar] [CrossRef]
- Hwang, T.; Song, C.; Vose, J.M.; Band, L.E. Topography-Mediated Controls on Local Vegetation Phenology Estimated from MODIS Vegetation Index. Landsc. Ecol. 2011, 26, 541–556. [Google Scholar] [CrossRef]
- Dragoni, D.; Rahman, A.F. Trends in Fall Phenology across the Deciduous Forests of the Eastern USA. Agric. For. Meteorol. 2012, 157, 96–105. [Google Scholar] [CrossRef]
- Vitasse, Y.; Hoch, G.; Randin, C.F.; Lenz, A.; Kollas, C.; Scheepens, J.F.; Körner, C. Elevational Adaptation and Plasticity in Seedling Phenology of Temperate Deciduous Tree Species. Oecologia 2013, 171, 663–678. [Google Scholar] [CrossRef]
- Xia, H.; Qin, Y.; Feng, G.; Meng, Q.; Cui, Y.; Song, H.; Ouyang, Y.; Liu, G. Forest Phenology Dynamics to Climate Change and Topography in a Geographic and Climate Transition Zone: The Qinling Mountains in Central China. Forests 2019, 10, 1007. [Google Scholar] [CrossRef]
- Jiang, S.; Chen, X.; Huang, R.; Wang, T.; Smettem, K. Effect of the Altitudinal Climate Change on Growing Season Length for Deciduous Broadleaved Forest in Southwest China. Sci. Total Environ. 2022, 828, 154306. [Google Scholar] [CrossRef]
- Han, Q.; Luo, G.; Li, C. Remote Sensing-Based Quantification of Spatial Variation in Canopy Phenology of Four Dominant Tree Species in Europe. J. Appl. Remote Sens. 2013, 7, 073485. [Google Scholar] [CrossRef]
- Zhao, J.; Zhang, H.; Zhang, Z.; Guo, X.; Li, X.; Chen, C. Spatial and Temporal Changes in Vegetation Phenology at Middle and High Latitudes of the Northern Hemisphere over the Past Three Decades. Remote Sens. 2015, 7, 10973–10995. [Google Scholar] [CrossRef]
- Schwartz, M.D. Monitoring Global Change with Phenology: The Case of the Spring Green Wave. Int. J. Biometeorol. 1994, 38, 18–22. [Google Scholar] [CrossRef]
- Schwartz, M.D.; Ahas, R.; Aasa, A. Onset of Spring Starting Earlier across the Northern Hemisphere. Glob. Change Biol. 2006, 12, 343–351. [Google Scholar] [CrossRef]
- Fitchett, J.M.; Grab, S.W.; Thompson, D.I. Plant Phenology and Climate Change: Progress in Methodological Approaches and Application. Prog. Phys. Geogr. 2015, 39, 460–482. [Google Scholar] [CrossRef]
- Gonsamo, A.; Chen, J.M. Circumpolar Vegetation Dynamics Product for Global Change Study. Remote Sens. Environ. 2016, 182, 13–26. [Google Scholar] [CrossRef]
- Menzel, A.; Fabian, P. Growing Season Extended in Europe. Nature 1999, 397, 659. [Google Scholar] [CrossRef]
- Skvareninova, J.; Sitko, R.; Vido, J.; Snopková, Z.; Skvarenina, J. Phenological Response of European Beech (Fagus sylvatica L.) to Climate Change in the Western Carpathian Climatic-Geographical Zones. Front. Plant Sci. 2024, 15, 1242695. [Google Scholar] [CrossRef]
- Piao, S.; Tan, J.; Chen, A.; Fu, Y.H.; Ciais, P.; Liu, Q.; Janssens, I.A.; Vicca, S.; Zeng, Z.; Jeong, S.J.; et al. Leaf Onset in the Northern Hemisphere Triggered by Daytime Temperature. Nat. Commun. 2015, 6, 6911. [Google Scholar] [CrossRef]
- Liu, Q.; Fu, Y.H.; Zeng, Z.; Huang, M.; Li, X.; Piao, S. Temperature, Precipitation, and Insolation Effects on Autumn Vegetation Phenology in Temperate China. Glob. Change Biol. 2016, 22, 644–655. [Google Scholar] [CrossRef]
- Ge, Q.; Wang, H.; Rutishauser, T.; Dai, J. Phenological Response to Climate Change in China: A Meta-Analysis. Glob. Change Biol. 2015, 21, 265–274. [Google Scholar] [CrossRef]
- Myneni, R.B.; Keeling, C.D.; Tucker, C.J.; Asrar, G.; Nemani, R.R. Increased Plant Growth in the Northern High Latitudes from 1981 to 1991. Nature 1997, 386, 698–702. [Google Scholar] [CrossRef]
- Guo, J.; Hu, Y. Spatiotemporal Variations in Satellite-Derived Vegetation Phenological Parameters in Northeast China. Remote Sens. 2022, 14, 705. [Google Scholar] [CrossRef]
- Garonna, I.; de Jong, R.; Schaepman, M.E. Variability and Evolution of Global Land Surface Phenology over the Past Three Decades (1982–2012). Glob. Change Biol. 2016, 22, 1456–1468. [Google Scholar] [CrossRef]
- Vitasse, Y.; Signarbieux, C.; Fu, Y.H. Global Warming Leads to More Uniform Spring Phenology across Elevations. Proc. Natl. Acad. Sci. USA 2018, 115, 1004–1008. [Google Scholar] [CrossRef] [PubMed]
- Jaworski, T.; Hilszczański, J. The Effect of Temperature and Humidity Changes on Insects Development Their Impact on Forest Ecosystems in the Expected Climate Change. For. Res. Pap. 2013, 74, 345–355. [Google Scholar] [CrossRef]
- Chuine, I. Why Does Phenology Drive Species Distribution? Philos. Trans. R. Soc. B Biol. Sci. 2010, 365, 3149–3160. [Google Scholar] [CrossRef] [PubMed]
- Peñuelas, J.; Filella, I. Phenology—Responses to a Warming World. Science 2001, 294, 793–795. [Google Scholar] [CrossRef]
- Grossiord, C.; Bachofen, C.; Gisler, J.; Mas, E.; Vitasse, Y.; Didion-Gency, M. Warming May Extend Tree Growing Seasons and Compensate for Reduced Carbon Uptake during Dry Periods. J. Ecol. 2022, 110, 1575–1589. [Google Scholar] [CrossRef]
- Gordo, O.; Sanz, J.J. Impact of Climate Change on Plant Phenology in Mediterranean Ecosystems. Glob. Change Biol. 2010, 16, 1082–1106. [Google Scholar] [CrossRef]
- Xu, L.; Chen, X.Q. Spatial Modeling of the Ulmus Pumila Growing Season in China’s Temperate Zone. Sci. China Earth Sci. 2012, 55, 656–664. [Google Scholar] [CrossRef]
- Chen, X.; Luo, X.; Xu, L. Comparison of Spatial Patterns of Satellite-Derived and Ground-Based Phenology for the Deciduous Broadleaf Forest of China. Remote Sens. Lett. 2013, 4, 532–541. [Google Scholar] [CrossRef]
- Chmielewski, F.M.; Rotzer, T. Response of Tree Phenology to Climate Change across Europe. Agric. For. Meteorol. 2001, 108, 101–112. [Google Scholar] [CrossRef]
- Buermann, W.; Bikash, P.R.; Jung, M.; Burn, D.H.; Reichstein, M. Earlier Springs Decrease Peak Summer Productivity in North American Boreal Forests. Environ. Res. Lett. 2013, 8, 024027. [Google Scholar] [CrossRef]
- Fu, Y.H.; Piao, S.; Zhao, H.; Jeong, S.J.; Wang, X.; Vitasse, Y.; Ciais, P.; Janssens, I.A. Unexpected Role of Winter Precipitation in Determining Heat Requirement for Spring Vegetation Green-up at Northern Middle and High Latitudes. Glob. Change Biol. 2014, 20, 3743–3755. [Google Scholar] [CrossRef]
- Keenan, T.F.; Richardson, A.D. The Timing of Autumn Senescence Is Affected by the Timing of Spring Phenology: Implications for Predictive Models. Glob. Change Biol. 2015, 21, 2634–2641. [Google Scholar] [CrossRef]
- Xian, Z.; Yu, Z.; Agathokleous, E.; Han, W.; You, W.; Zhou, G. Trends and Climate-Sensitivity of Phenology in China’s Natural and Planted Forests. J. Geophys. Res. Biogeosci. 2024, 129, e2023JG007955. [Google Scholar] [CrossRef]
- Xie, Y.; Wang, X.; Silander, J.A. Deciduous Forest Responses to Temperature, Precipitation, and Drought Imply Complex Climate Change Impacts. Proc. Natl. Acad. Sci. USA 2015, 112, 13585–13590. [Google Scholar] [CrossRef]
- Fu, Y.H.; Piao, S.; Op de Beeck, M.; Cong, N.; Zhao, H.; Zhang, Y.; Menzel, A.; Janssens, I.A. Recent Spring Phenology Shifts in Western Central Europe Based on Multiscale Observations. Glob. Ecol. Biogeogr. 2014, 23, 1255–1263. [Google Scholar] [CrossRef]
| Disclaimer/Publisher’s Note: The statements, opinions and data contained in all publications are solely those of the individual author(s) and contributor(s) and not of MDPI and/or the editor(s). MDPI and/or the editor(s) disclaim responsibility for any injury to people or property resulting from any ideas, methods, instructions or products referred to in the content. | 
© 2025 by the authors. Licensee MDPI, Basel, Switzerland. This article is an open access article distributed under the terms and conditions of the Creative Commons Attribution (CC BY) license (https://creativecommons.org/licenses/by/4.0/).
