Next Article in Journal
Predicting Timber Board Foot Volume Using Forest Landscape Model and Allometric Equations Integrating Forest Inventory Data
Previous Article in Journal
Tree and Liana Growth in Three Neotropical Dry Forests: Coherent Patterns and Individualistic Responses to Climate Variability
 
 
Font Type:
Arial Georgia Verdana
Font Size:
Aa Aa Aa
Line Spacing:
Column Width:
Background:
Article

Spatiotemporal Variations and Driving Factors of Net Primary Productivity Across Different Climatic Zones in Cambodia and China

1
School of Environmental Science and Engineering, Guilin University of Technology, Guilin 541006, China
2
Institute of Karst Geology, Chinese Academy of Geological Sciences, Guilin 541004, China
3
Pingguo Guangxi, Karst Ecosystem, National Observation and Research Station, Pingguo 531406, China
4
PingguoBaise, Karst Ecosystem, Guangxi Observation and Research Station, Pingguo 531406, China
5
Key Laboratory of Karst Dynamics, Ministry of Natural Resources, Guilin 541004, China
6
International Research Center on Karst Under the Auspices of United Nations Educational, Scientific and Cultural Organization, Guilin 541004, China
7
School of Computer Application, Nanning Branch, Guilin University of Technology, Chongzuo 532100, China
*
Author to whom correspondence should be addressed.
Forests 2025, 16(3), 541; https://doi.org/10.3390/f16030541
Submission received: 3 February 2025 / Revised: 25 February 2025 / Accepted: 17 March 2025 / Published: 19 March 2025
(This article belongs to the Section Forest Ecology and Management)

Abstract

Vegetation plays a crucial role in nature-based carbon neutrality solutions, exhibiting a strong correlation with climatic factors. This study employed a modified CASA (Carnegie–Ames–Stanford Approach) model to estimate Net Primary Productivity (NPP) across Cambodia, as well as Baise, Guilin and Fenyang from China representing diverse climatic zones—from 2000 to 2020. Spatiotemporal NPP patterns and their underlying mechanisms were investigated using Theil–Sen median analysis, the Mann–Kendall test and land use change matrices. The results indicate that: (1) Mean annual NPP from 2000 to 2020 was 753.68 gC·m−2·a−1, 960.58 gC·m−2·a−1, 768.11 gC·m−2·a−1 and 334.20 gC·m−2·a−1 for Cambodia, Baise, Guilin and Fenyang, respectively. While Cambodia showed a non-significant downward trend, the other regions exhibited upward trends. (2) Cambodia’s NPP demonstrated elevated values in the eastern and southwestern regions. Baise and Guilin exhibited higher NPP values at the periphery with lower central values, while Fenyang displayed a northwest–southeast gradient in NPP. (3) Forestland and cultivated land dominated the study areas with a unimodal relationship between elevation and vegetation NPP. (4) Temperature primarily influenced the NPP of Cambodia, Baise and Guilin, and precipitation was the dominant factor in Fenyang. Cambodia (tropical area) and Baise/Guilin (subtropical area), benefiting from favorable hydrothermal conditions, maintained high annual NPP. Fenyang (temperate area), with less favorable conditions, showed a strong positive correlation between precipitation and NPP. Positive correlations existed between NDVI (Normalized Difference Vegetation Index) and annual mean NPP across all study regions. (5) Annual mean NPP in the study area initially increased with elevation but declined beyond a certain altitude. These findings enhance understanding of vegetation carbon cycling across diverse climatic zones, informing accurate regional carbon sink assessments.

1. Introduction

The Net Primary Productivity (NPP) of vegetation refers to the amount of organic matter accumulated by green plants on the earth’s surface through photosynthesis per unit time and unit space minus the remaining part of autotrophic respiration [1], which not only represents the magnitude of vegetation’s productive capacity, but also serves as a key metric for evaluating the terrestrial carbon cycle and ecosystem quality. It plays an important role in regulating the global carbon balance [2,3,4], which is of great significance for investigating the temporal and spatial changes and driving factors of NPP [5,6]. The change in NPP is directly related to the absorption and fixation of carbon dioxide in the atmosphere, which in turn affects the balance of the global carbon cycle. Therefore, a comprehensive understanding of NPP spatiotemporal trends and driving factors is crucial for accurate regional carbon sink assessments.
Globally, the study of NPP has long been a focal point in fields such as ecosystem science, earth system science and climate change. Field measurements have been the preferred method of research [7,8]. However, due to high costs and various constraints, field measurements often fail to fully capture the annual variations in regional NPP, limiting the depth of related studies [9]. As a critical and metric of ecosystem services, NPP reflects the integrated influences of climatic factors, environmental conditions and anthropogenic activities on vegetation. Currently, a range of models exist to estimate NPP with the primary methods being statistical, parametric, and process-based models. Among them, the CASA model is most widely employed [10]. The CASA model is a process-based remote sensing model [11] that integrates ecosystem productivity with soil carbon and nitrogen fluxes. It is driven by gridded datasets of climate radiation, soil properties and remote sensing vegetation indices. Key model inputs are absorbed photosynthetically active radiation (APAR) and light use efficiency [12]. Due to its accessibility to parameters, high accuracy and simplicity, the CASA model has been extensively employed in calculating vegetation NPP [13,14,15,16]. Initially proposed by Monteith, the model was later refined by Potter and Field [17], making it widely applicable for global and regional NPP estimations due to its straightforward structure and the feasibility of acquiring parameters via remote sensing [5,6,7]. Since Ebermayer’s pioneering research on NPP in 1876 [18], scientists around the world have developed various methods for calculating and measuring NPP, making significant advancements in model-based simulations. Ruimy et al. categorized these estimation models into three types: statistical (climate-based), parametric (light-use efficiency) and process-based (also known as mechanistic) models [19]. The latter two are often referred to as remote sensing models [19,20]. The CASA model, being a type of light-use efficiency model, uses APAR and light-use efficiency as its primary parameters to estimate NPP, while also incorporating factors like temperature and moisture that act as constraints on photosynthesis. This makes it particularly suitable for monitoring regional NPP dynamics. Based on the principles of photosynthesis and light-use efficiency, the remote sensing-based CASA model has gained widespread application for tracking temporal and spatial changes in NPP across large regions even at a global scale [21]. Many Chinese scholars have focused on large-scale studies at the global [22] and national [23] levels. For example, Ren et al. [24], employing an improved CASA model within the framework of the Comprehensive Sequential Classification System (CSCS), simulated the NPP of potential natural vegetation across China and examined its spatial-temporal distribution, outlining the model’s response patterns to terrain and climate. Similarly, Pan et al. [25] utilized a modified CASA model to estimate the NPP of terrestrial ecosystems across the drylands of Northwest China during the period 2001–2012. They integrated the microbial respiration equation to calculate the Net Ecosystem Productivity (NEP) over 12 years, providing insights into vegetation carbon sink estimates and their spatial-temporal distribution.
However, current domestic NPP research predominantly focuses on specific regions or ecosystems with limited comparative analyses across diverse climatic zones and geographical settings. Furthermore, domestic studies largely overlook the integration and comparison of international data, particularly from regions with contrasting climatic characteristics and ecosystem types. These limitations not only hamper a thorough grasp of the complexity of the global carbon cycle but also constrain the accuracy of cross-regional carbon sink assessments. This study aims to elucidate the spatiotemporal dynamics of NPP and to identify the principal drivers across varying climatic zones in Cambodia and China from 2000 to 2020. We hypothesize that fluctuations in NPP are significantly influenced by climatic factors, land use transitions and topographical variations. The central research questions addressed are: (1) How do climatic conditions and land use changes affect NPP across different regions? (2) What are the dominant factors influencing the spatiotemporal patterns of NPP in these regions? Therefore, this study selects Cambodia, Baise, Guilin and Fenyang as examples. These regions not only span distinct climatic zones such as tropical, subtropical and temperate zones with typical differences in climatic characteristics, but also display notable disparities in ecosystem structure and the impact of human activity. For example, Cambodia’s tropical monsoon climate and rich tropical rainforests provide an ideal natural experimental scenario for studying NPP fluctuations. Baise, with its subtropical humid climate, is profoundly shaped by topography and precipitation. Guilin, renowned for its iconic karst landscapes and distinctive subtropical climate, serves as a focal point for regional ecological research. Whereas Fenyang, as a representative of temperate arid regions, showcases vegetation and carbon cycling dynamics that starkly contrast with those of southern areas, providing valuable comparative insights. It conducts a comparative analysis of both domestic and international data to investigate the spatial distribution patterns, temporal trends and key drivers influencing NPP variations across diverse climate zones.

2. Materials and Methods

2.1. Overview of the Study Area

Cambodia is located in 10°24′ N–14°42′ N and 102°18′ E–107°36′ E, covering an area of 181,035 km2 (Figure 1). Its terrain comprises a saucer-shaped basin with central and southern plains, bordered by mountains and plateaus to the east, north and west. Extensive forest cover characterizes much of the predominantly plain landscape. The climate is tropical monsoon, with abundant rainfall and consistently warm temperatures averaging 29–30 °C annually. Rainfall is concentrated from May to November (wet season). From December to April, the region experiences a dry period, with an average annual rainfall of 2000 mm [26].
Baise is located between 104°28′ E–107°54 ′E and 22°51′ N–25°07′ N in the western part of Guangxi Zhuang Autonomous Region, China. Covering an area of 36,300 km2. It accounts for approximately 15% of Guangxi’s total landmass. The topography is characterized by higher elevations in the north and south, with a lower central region and a typical mountainous city. The climate is south subtropical monsoon with ample sunshine and rainfall concentrated during the warm season. Summers are long and winters are short, with average annual temperatures ranging from 16.5 to 22.1 °C, annual sunshine of 1906.6 hours, and annual rainfall of 1114.9 mm [27].
Guilin, located in the northeastern of Guangxi Zhuang Autonomous Region from China, lies in 109°36′ E–111°29′ E longitude and 24°15′ N–26°23′ N latitude, covering 27,800 km2 (11.74% of Guangxi). Characterized by a mid-subtropical monsoon climate, Guilin enjoys mild temperatures, abundant rainfall and ample sunshine. The average annual temperature is 19 °C, and annual precipitation totals 1900 mm, which primarily occurs between April and October. Forest cover reaches 66.5%, exhibiting a spatially heterogeneous distribution with higher elevation in the center and lower elevations at the periphery [28].
Fenyang is located at 111°26′ E–112°00′ E and 37°08′ N–37°29′ N, a county-level city affiliated with Shanxi Province, China, encompassing 1179 km2. Its topography slopes downward from the northwest to southeast, with mountainous terrain in the northwest, loess hills in the central and southwestern regions, and plains in the southeast. The climate is temperate continental monsoon, characterized by cold-dry winters and hot–humid summers. The mean annual temperature is 12.6 °C and the average yearly precipitation is 467.2 mm, with 60%–70% occurring during the summer months (June to August) [29].

2.2. Data Sources and Research Methodologies

(1) Meteorological data. Monthly total solar radiation, cumulative precipitation and mean temperature data were obtained from the ERA5 climate reanalysis dataset (https://cds.climate.copernicus.eu/ (accessed on 15 July 2024)), with surface solar radiation of MJ/m2, air temperature of °C and precipitation of mm. The dataset spans the period from 2000 to 2020 with a spatial resolution of 1 km.
(2) Land use data. The multi-temporal land use remote sensing monitoring dataset for China was obtained from the Resource and Environment Science and Data Center of the Chinese Academy of Sciences (https://www.resdc.cn/DOI/doi.aspx?DOIid=54 (accessed on 15 July 2024)), which is mainly divided into six categories: cultivated land, forest land, grassland, water bodies, built-up land and unused land [21]. Cambodia’s land use data were derived from the National Geographic Information Resources Catalog Service System’s global land cover data (https://www.webmap.cn/mapDataAction.do?method=globalLandCover (accessed on 15 July 2024)), using GlobeLand30 data from 2000, 2010 and 2020. The land use datasets in the study area all have a resolution of 30 m. The overall accuracy is 85.72%, with a kappa coefficient of 0.82 and with the help of the ArcGIS10.8 software cropping tool to obtain the land use data of Cambodia. In order to maintain the consistency of the data, the shrubs were categorized as forest land, and the sea area was categorized as water bodies.
(3) DEM data. The 30 m spatial resolution ASTER GDEM was downloaded from NASA (https://lpdaac.usgs.gov/ (accessed on 15 July 2024)) and the Geospatial Data Cloud (http://www.gscloud.cn (accessed on 15 July 2024)).
(4) NDVI data. NDVI (Normalized Difference Vegetation Index) is provided by the European Meteorological Centre (http://modis.gsfc.nasa.gov/ (accessed on 15 July 2024)) with a spatial resolution of 250 m.
(5) Soil data. Based on the China Soil Dataset of the Harmonized World Soil Database (HWSD), the soil information is derived from the 1:1,000,000 scale soil data provided by the Nanjing Soil Research Institute of the Chinese Academy of Sciences during the second national land survey.
(6) NPP validation data. MOD17A3HGF Version 6.0 MODIS NPP data were downloaded from NASA (https://lpdaac.usgs.gov/ (accessed on 15 July 2024)) via Google Earth Engine (https://earthengine.google.com/ (accessed on 15 July 2024)) for the study period (2000–2020). NPP data were analyzed using Python 3.11 in conjunction with the MRT (MODIS Reprojection Tool) plugin [30], involving batch mosaicking, projection and resampling with a spatial resolution of 500 m and a temporal resolution of one year. The original units (kgC·m−2) were converted to gC·m−2 using a scaling factor of 0.0001 after removing invalid values. All data underwent projection transformation, resampling and clipping to a uniform 500 m × 500 m resolution using the WGS_1984_Albers projection.
This study utilizes Google Earth Engine, ArcGIS, ENVI 5.3 and the Vegetation NPP remote sensing estimation software module V1.0 [14,15,16] to estimate NPP using a modified CASA model developed by Zhu et al. [31].

2.3. Improved CASA Modeling for Vegetation NPP Estimation

The model was originally developed for North American vegetation, but its application in other regions suffers from limitations such as lower accuracy and a fixed maximum light-use efficiency for all vegetation types. To address these shortcomings, the improved CASA model improves five aspects. It includes incorporating variable maximum light-use efficiency for different land use/cover types, accounting for the impact of land use/cover classification accuracy on NPP by adjusting NDVImax accordingly, estimating the water stress factor using meteorological data (temperature, precipitation and net solar radiation) in conjunction with existing regional evapotranspiration models, and refining land use/cover classifications for greater detail and utilizing experimental data with higher spatial resolution. In this study, the spatiotemporal pattern of NPP within the study area was calculated by using the CASA model improved by Zhu et al. [14] with the following equations:
NPP(x,t) = APAR(x,t) × ε(x,t)
where NPP(x,t) denotes the net primary productivity of pixel x during month t (gC/m2). APAR(x,t) refers to the absorbed photosynthetically active radiation for pixel x in month t (gC·m−2·month−1). ε(x,t) signifies the effective light use efficiency (gC/MJ) of pixel x in month t, the estimation methods of total solar radiation (APAR) and light energy utilization efficiency (ε) are all referenced [16].
APAR(x,t) = SOL(x,t) × 0.5 × FPAR(x,t)
where SOL(x,t) indicates the total solar radiation (MJ·m−2·month−1) at pixel x during time t, derived using an empirical formula. The value 0.5 represents the fraction of solar radiation within the 0.4–0.7 μm wavelength range utilized by vegetation. FPAR(x,t) denotes the fraction of photosynthetically active radiation absorbed by vegetation, which maintains a linear correlation with NDVI and SR [16]. Instead of the original model’s empirical FPAR calculation, this study adopts the MOD15A2 dataset’s FPAR values, incorporating improvements from Li [32] and Zhao et al. [33].

2.4. Analytical Methods

2.4.1. Trend Analysis and Significance Test

This study applies the Theil–Sen Median trend analysis method to calculate the multi-year trend variations in vegetation NPP and utilizes the Mann–Kendall statistical test to evaluate the significance of these trends across China. By integrating the Theil–Sen Median trend analysis with the Mann–Kendall test, the research examines whether the long-term trends in remote sensing data are statistically significant [34]. The calculation formula for Sen is presented as follows:
K = m e d i a n x j x i j i 1 < i < j < n
In the given formula, K represents the slope, and xi and xj denote the annual mean NPP for year i and year j. When K < 0, it indicates a decreasing trend in NPP over the study period, and when K > 0, it signifies an increasing trend in NPP during the same period [34]. The Mann–Kendall test, a robust non-parametric approach, is commonly employed to evaluate the significance of long-term trend variations over time and is widely applied in meteorological, hydrological and vegetation studies [35,36]. Assuming that x1, x2, …, xn are time series variables, and the statistic S of the test is calculated as:
S = i = 1 n 1 j = i + 1 n f ( x j x i )
f ( x j x i ) = + 1 , x j x i > 0 0 , x j x i = 0 1 , x j x i < 0
The test statistic z is calculated as:
z = S V a r ( S ) ( S > 0 ) 0 ( S = 0 ) S V a r ( S ) ( S < 0 )
In the formula, S represents the normal distribution, and Var(S) denotes the variance. For a given significance level (p < 0.05 and p < 0.01), if |z| > 1.96 or |z| > 2.58, it indicates that the trend is statistically significant at the 0.05 and 0.01 confidence levels, respectively. For the statistical value z, a value greater than 0 suggests an increasing trend, while a value less than 0 indicates a decreasing trend.

2.4.2. Analysis of Interannual Trends

A simple linear regression equation was employed to calculate the annual variation in vegetation NPP [37], its slope was defined as the interannual trend rate (slope) of vegetation NPP with the following equation:
s l o p e = n × 1 n ( i × N P P i ) 1 n i 1 n N P P i n × 1 n i 2 i = 1 n i
In the formula, the slope refers to the rate of change in NPP as determined by the simple linear regression model, with i representing the time variable, ranging from 1 to n. The value of n corresponds to the duration of the study period, which spans 21 years. NPPi denotes the average NPP of the growing season in year i. A larger absolute value of the slope indicates a faster change in NPP [37].

2.4.3. Correlation Between Vegetation NPP and Climatic Factors

Meteorological variables, including temperature and precipitation, play a crucial role in shaping variations in vegetation NPP. By computing the correlation between NPP and temperature or precipitation, the interaction between vegetation productivity and climatic conditions can be explored [38]. The formula for this calculation is as follows:
R x y = i = 1 16 [ ( x i x ¯ ) ( Y i Y ¯ ) ] i = 1 16 ( x i x ¯ ) 2 i = 1 16 ( Y i Y ¯ ) 2
In the given formula, Rxy denotes the correlation coefficient between NPP and either temperature or precipitation. xi represents the NPP value for the year i. yi refers to the annual mean temperature or precipitation for the same year. x ¯ and y ¯ indicate the mean values of variables x and y, respectively. A positive Rxy suggests a direct correlation between vegetation NPP and climate variables, whereas a negative Rxy implies an inverse relationship.

2.4.4. Land Use Transition Matrix

The land use transition matrix serves as an effective tool for analyzing land type shifts, providing quantitative data on transitions between various land categories [39]. It thereby reveals the direction and magnitude of land type evolution within the study area over a specific time period. The formula is as follows:
S = S 11 S 1 n S n 1 S n n
In the formula, S represents the total area of all land use types, and n denotes the number of land use categories in the study area. Sij indicates the area transitioning from land use type i to type j over the study period. The sum of the row data in the transition matrix represents the total area of a specific land use type at the beginning of the study with each value in the row indicating the direction and scale of land use conversion. The sum of the column data reflects the total area of a specific land use type at the end of the study with each value in the column representing the direction and scale of land use transition [40].

3. Results and Analysis

3.1. Interannual Variation Characteristics of NPP

Over the past 21 years, Cambodia’s vegetation NPP has exhibited significant interannual variability (Figure 2). The NPP ranged from 650.79 to 822.63 gC·m−2·a−1, with an annual average of 749.87 gC·m−2·a−1. This aligns with the findings of Gu et al. [41], who reported that Cambodia’s NPP was below 800 gC·m−2·a−1 from 2001 to 2019. In 2016, NPP reached its lowest point with 99.08 gC·m−2·a−1 below the average, while in 2018, it peaked, exceeding the average by 72.76 gC·m−2·a−1. Overall, the trend indicates a non-significant decline. Key inflection points occurred in 2005, 2010, and 2016. Severe flooding in 2005 and 2010 caused notable declines in NPP, while droughts, especially in 2016, led to a significant decrease despite of floods being Cambodia’s predominant environmental challenge.
Baise showed substantial interannual NPP variability, ranging from 867.92 to 1014.70 gC·m−2·a−1, with a multiyear mean of 960.58 gC·m−2·a−1. NPP reached its lowest point in 2005 with 92.66 gC·m−2·a−1 lower than the average value, and NPP reached its peak in 2019, exceeding the average value by 54.12 gC·m−2·a−1, with an overall upward trend. The vegetation NPP of Guilin ranged from 711.90 to 821.70 gC·m−2·a−1, with a multi-year average vegetation NPP of 768.11 gC·m−2·a−1. The lowest value was observed in 2005 with 56.21 gC·m−2·a−1 below the average, while the highest was in 2017, exceeding the average by 53.59 gC·m−2·a−1, also showing a general upward trend. The results were more consistent. In terms of the overall change, the vegetation NPP of Baise and Guilin took 2005 as the change threshold point. Fenyang’s NPP ranged from 226.45 to 419.32 gC·m−2·a−1, averaging 334.20 gC·m−2·a−1. Minimum and maximum values occurred in 2001 (107.76 gC·m−2·a−1 below the mean) and 2016 (85.17 gC·m−2·a−1 above the mean), respectively, exhibiting a significant upward trend. The year 2001 marks a key inflection point, with decreasing NPP before and increasing NPP afterwards.
During the period from 2004 to 2005, the annual average NPP declined in Cambodia, located in the tropical monsoon climate zone, as well as in Baise and Guilin, situated in the subtropical monsoon climate zone. In contrast, Fenyang within the temperate continental monsoon climate zone experienced an increase in annual average NPP during the same period. This phenomenon is closely tied to regional-climatic characteristics, vegetation types and environmental changes. The primary factor was the reduction in 2005 rainfall. Tropical and subtropical regions, typically dominated by highly productive forest ecosystems, are particularly sensitive to changes in water availability. Decreased rainfall directly slowed vegetation growth within these ecosystems. Conversely, the temperate continental monsoon climate zone, characterized by sparse vegetation dominated by drought-tolerant shrubs, exhibited resilience. We utilized interpolation methodologies to approximate absent data points, thereby ensuring the integrity and continuity of our dataset.

3.2. Spatial Variation Characteristics of NPP

Figure 3 illustrates the spatial variation in NPP across Cambodia (Figure 3a), with higher values observed in the eastern and southwestern regions. Notably, areas with elevated NPP are predominantly located in the provinces of Ratanakiri, Mondulkiri and Koh Kong, while regions with lower NPP are concentrated in the central and southern plains. Regions with vegetation NPP below 300 gC·m−2 account for 4.85% of the total area, while areas with NPP between 300 and 600 gC·m−2 and 600−900 gC·m−2 constitute 37.99% and 37.20%, respectively. Regions with NPP between 900 and 1200 gC·m−2 cover 16.85%, and those with 1200–1500 gC·m−2 account for 3.11%.
Baise (Figure 3b) exhibits pronounced spatial heterogeneity in NPP, characterized by elevated levels in the northern and southern regions and reduced levels in the central area. The highest mean NPP values are found in Napo, followed by Xilin and Jingxi, reflecting superior ecological environments in these regions. The lowest mean NPP values are recorded in Pingguo. Regions with vegetation NPP below 300 gC·m−2 constitute only 0.07% of the total area, while areas with 300–600 gC·m−2, 600–900 gC·m−2, 900–1200 gC·m−2 and 1200–1500 gC·m−2 account for 1.21%, 21.69%, 70.50% and 6.53%, respectively.
The NPP of Guilin (Figure 3c) generally exhibited higher values in the western and southeastern regions, while lower values were observed in the central area. Specifically, for each district and county, the highest mean NPP was found in Yangshuo, followed by Pingle and Lipu, and the vegetation NPP in most of the areas ranged from 771.83 to 909.97 gC·m−2a−1, which reflected that the ecological environments of Yangshuo, Pingle and Lipu were much higher than that of other areas. The lowest mean NPP value was in Xiufeng. The areas with vegetation NPP below 300 gC·m−2 accounted for 0.05% of the total area of the province. Areas with NPP values of 300–600 gC·m−2 constituted 4.71% of the province’s total area, while those with values between 600 and 900 gC·m−2 covered 66.91%. Regions with 900–1200 gC·m−2 accounted for 25.28%. Areas within the 1200–1500 gC·m−2 range represented another 25.28%. Meanwhile, regions exceeding 1500 gC·m−2 comprised 3.05% of the province’s total area.
The NPP of Fenyang (Figure 3d) generally exhibited higher values in the northwest and lower values in the southeast. The high-value areas were predominantly located in the northwest, including the mountainous regions. While the southeastern plains, which are also areas of higher population density, corresponded closely with the patterns observed in the digital elevation model (DEM) data [29]. Among them, the areas with vegetation NPP below 100 gC·m−2 accounted for 0.03%, the areas with 100–200 gC·m−2 accounted for 0.26%, the areas with 200–300 gC·m−2 accounted for 5.53%, the areas with 300–400 gC·m−2 accounted for 46.94%, and the areas with 400–500 gC·m−2 areas accounted for 47.25% of the total area.
Moving from south to north, the tropical climate of Cambodia and the subtropical climate of Baise and Guilin in Guangxi provide favorable hydrothermal conditions and high vegetation coverage, resulting in higher NPP at these areas. From 2000 to 2020, the forest cover in the eastern and northwestern regions of Cambodia has declined, resulting in a corresponding decrease in NPP.NPP increased in the eastern, central, southern and northeastern parts of Guilin, and the average annual NPP showed a fluctuating trend of decreasing and then increasing. The average annual NPP value in Baise remained relatively stable, with no obvious upward or downward trend. Thanks to the condition of vegetation cover and the implementation of some environmental restoration and protection efforts, the NPP value can be maintained at a high level and spatially distributed more evenly. In contrast, the temperate continental climate of Fenyang in Shanxi, characterized by low annual rainfall and dry conditions, leads to less favorable hydrothermal conditions and lower vegetation NPP.

3.3. Sen’s Slope Estimation and the Mann–Kendall Test

During the past 21 years, the fitted slope of vegetation NPP in Cambodia (Table 1) ranged from −0.04 to 0.07 gC·m−2, with Z-values between 3.78 and 4.62 (Figure 4). Regions demonstrating an upward trend constituted 68.47% of the total area, notably in the southern provinces of Prey Veng, SvayRieng, Takeo, Kampong Thom, Mondulkiri and Ratanakiri. Areas with negligible change made up 5.59%, concentrated in central provinces such as Siem Reap, Kampong Thom, Kampong Chhnang, Pursat and the southern part of Kandal. Regions showing a declining trend comprised 25.93% of the total area, scattered across the northwest of Oddar Meanchey and Battambang, as well as the southern parts of Koh Kong and Kampong Cham. The observed decrease in NPP was minor, aligning with the findings of Xu et al. [42], which indicated a negligible decline in tropical regions. Cambodia’s tropical monsoon climate, characterized by high temperatures and abundant rainfall, supports robust vegetation productivity. These favorable climatic conditions significantly influence NPP trends.
In Baise(Table 2), the fitted slope of vegetation NPP ranged from –0.03 to 0.03 gC·m−2 with Z-values beteen 3.67 and 4.25. Areas exhibiting an increasing trend accounted for 32.12% of the total area with regions of significant and highly significant growth predominantly distributed in patches across Longlin, Debao, Jingxi, Pingguo, Leye, Tiandong and Xilin. Areas with negligible changes constituted 60.42%, mainly located in Tianlin, Youjiang and Lingyun. Areas exhibiting a declining trend accounted for 7.46% of the total region, distributed sparsely around Napo.
In Guilin(Table 3), the fitted slope of vegetation NPP ranged from −0.06 to 0.03 gC·m−2 with Z-values between 5.19 and 5.16. An increasing trend was observed as 54.12% of the area, with significant or highly significant increases concentrated in Yangshuo, Yanshan, Pingle, Quanzhou and Gongcheng. Areas with negligible changes, comprising 1.12%, are mainly in Diecai, Qixing, Xiangshan and Xiufeng. Decreasing trends, covering 44.76%, are primarily concentrated in Longsheng, Ziyuan and Xing’an.
The fitted slope of the vegetation NPP in Fenyang(Table 4) ranged from −0.01 to 0.01 gC·m−2, and the Z-value tended to be between 1.98 and 3.99. The area with an increasing trend accounted for 59.15%. Regions with highly significant and significant increases were primarily located in the northwest, while areas showing no significant change made up 40.33%, predominantly found in the central part of the region. The area with a decreasing trend accounted for 0.52%, distributed sporadically in the eastern region.
The Sen trend analysis and MK test can detect nonlinear trends, indicating that the NPP growth is not uniform but exhibits patterns of acceleration or deceleration. While the overall trend remains upward, Cambodia’s NPP experienced rapid growth in the early stages of the study period, followed by a slowdown in the later stages, resulting in a decline in the annual average value. Subtropical regions such as Baise and Guilin both show upward trends, whereas Fenyang, a temperate, county-level city with a smaller area, exhibits a significantly increasing NPP trend.

3.4. Driving Factors Analysis for NPP Changes

By selecting temperature, precipitation and NDVI as key factors, a pixel-by-pixel correlation analysis and interannual comparison were conducted to quantitatively identify the relationships and significance of these variables with vegetation NPP in the study area [43].
Figure 5 illustrates that the vegetation NPP of Cambodia exhibits a negative correlation with both annual average temperature and precipitation. NPP is more sensitive to temperature changes, making the primary factor influencing NPP variation in Cambodia. Conversely, in Baise and Guilin, vegetation NPP is positively correlated with both temperature and precipitation, though the correlation with precipitation is weaker. NPP is more responsive to temperature changes, confirming temperature as the dominant factor affecting NPP in these regions. In Fenyang, NPP correlates positively with both temperature and precipitation. However, the stronger correlation with precipitation highlights greater sensitivity and establishes precipitation as the dominant driver. Figure 6 and Figure 7 reveal that from 2000 to 2020, the NDVI in the study area initially declined and then increased, displaying significant spatial heterogeneity. The trends of NPP and NDVI exhibit a degree of coherence, further highlighting the positive influence of vegetation growth on NPP. Both NDVI and annual mean NPP demonstrate a positive correlation with NDVI, showing a higher average partial correlation coefficient with NPP than with temperature or precipitation, indicating that NDVI exerts a stronger influence on NPP than the latter two factors. In temperate areas like Fenyang, where water and heat conditions are poor and rainfall is scarce, precipitation significantly enhances vegetation growth and promotes NPP increase. This aligns with findings that temperature predominantly influences NPP in Cambodia, while precipitation is the primary driver in Fenyang. In Baise and Guilin, NPP demonstrates a weak correlation with temperature and is unaffected by precipitation.

3.5. Impact of Land Use Change on NPP

The transformation of land use type driven by urbanization development is one of the important influencing factors of NPP change, which makes NPP showing drastic change characteristics [44,45]. As shown in Table 5, the land use types in Cambodia are predominantly forest land, cultivated land and wetland, with areas of 89,061.62 km2, 71,000.01 km2 and 7778.10 km2, respectively (approximately 93% of the total area). Forest land and cultivated land are the key land use types driving NPP growth. The next most important land use types are grassland and water body with an area of 5369.79 km2 and 5287.22 km2, respectively, while bare land has the smallest area with only 8.51 km2. Among them, extensive forested land is widely distributed in the northeastern part of Koh Kong, Ratanakiri, Mondulkiri, Kratie, Stung Treng, Preah Vihear, Oddar Meanchey, northeastern Siem Reap and southwestern Pursat Provinces, while arable land is mainly located in the northeast of Kampong Speu, Tea Koh, Poipet and Phetchaburi Provinces. Cultivated land is widespread across most of Kampong Speu, Takeo, Prey Veng, SvayRieng, Kampong Cham, Banteay Meanchey and Battambang provinces, while wetlands are mainly found sporadically in Kampong Speu, Kampong Chhnang, Koh Kong, Kampot, Kratie and Pursat provinces. From 2000 to 2020, the areas with forest land and grassland in Cambodia have been reduced by 14,175.47 km2 and 654.48 km2, respectively. Among them, forestland conversion to cropland and grassland was the primary driver, with cropland mainly transitioning to built-up land, wetlands, and water bodies. Built-up land was increased by 681.66 km2 (primarily from cropland and forestland), while wetlands were expanded by 602.85 km2 (also largely from cropland and forestland). Changes in bare land were minimal. The mean annual NPP values for different land use types were ordered in the following manner: forest land > grassland > cultivated land > wetlands > water bodies > built-up land > bare land. The overall NPP reduction can be largely attributed to the transformation of forestland into cultivated land and grassland.
Table 6 shows that Baise’s land use is dominated by forestland, cultivated land and grassland (20,591.14 km2, 11,819.88 km2 and 3145.70 km2, respectively, representing approximately 98% of the total area). Built-up land and water bodies are secondary (320.88 km2 and 291.35 km2, respectively), with negligible unused land (6.47 km2). Among them, forest land is distributed in the form of a piece in Napo, Xilin, Jingxi, Lingyun and Leye. Cultivated land is predominantly located in the central regions of Longlin, Tianyang and Tiandong, as well as the grassland is scattered in the mountainous areas and hilly terrains. Over the past 21 years, forestland and grassland decreased by 6385.25 km2 and 78.73 km2, respectively. Forestland was primarily converted to cropland and grassland, with cropland largely transitioning to forestland and built-up land. Built-up land was increased by 180.11 km2 (mostly from cropland, water bodies and grassland), and unused land was increased minimally (by 0.08 km2, mainly from cropland and water bodies). The annual average NPP values of various land uses in Baise are forest land > grassland > cultivated land > water bodies > built-up land > unused land. The decrease in overall NPP primarily stemmed from forestland conversion to cultivated land and grassland.
As shown in 2020 (Table 7), Guilin’s land use was predominantly composed of forestland, cultivated land and grassland with areas of 17,782.72 km2, 5374.94 km2 and 3785.01 km2, respectively. These land use types accounted for over 96% of the city’s total area. Built-up land and water bodies followed, covering 449.74 km2 and 260.95 km2, respectively. While unused land occupied the smallest area, merely 2.13 km2, forestland formed contiguous stretches across Longsheng, Ziyuan, Yongfu, Guanyang, Gongcheng, Yangshuo, Xing’an and the northern and southern peripheries of Lingchuan counties. Cultivated land was concentrated in the central regions of Lingui, Qixing, Diecai, Xiangshan, Xiufeng and Quanzhou. Grassland was scattered across mountainous and hilly regions. From 2000 to 2020, the areas of cultivated land, forestland and grassland were decreased by 105.23 km2, 61.43 km2 and 50.60 km2, respectively. Forestland was primarily converted into cultivated land and grassland, while cultivated land was transitioned largely into cultivated land and built-up land. The area of built-up land was expanded by 181.43 km2, mainly at the expense of cropland and forestland. Water bodies were increased by 34.01 km2, with gains originating primarily from cultivated land and forestland. Unused land exhibited the smallest change. The average annual NPP values for different land use types ranked as follows: forestland > cultivated land > grassland > water bodies > built-up land > unused land. The overall reduction in NPP was predominantly driven by the conversion of forestland into cultivated land, grassland, and built-up land.
As shown in Table 8, Fenyang’s land use is dominated by cultivated land, forestland and grassland, with the areas of 48.56 km2, 27.49 km2 and 12.75 km2, respectively. These three land use categories represent nearly 88% of the overall area. Second is built-up land with an area of 130.43 km2, and water area is the smallest with an area of only 0.64 km2. Among them, the arable land is mainly distributed in the central and southern regions, the forestland is mainly distributed in the northern region, and the grassland is mainly distributed in the center. From 2000 to 2020, cropland and grassland was decreased by 52.55 km2 and 16.99 km2, respectively, and forestland was decreased by 1.47 km2, primarily converting to cultivated land and grassland. Cultivated land largely shifted to grassland and built-up land. Built-up land was increased by 72.78 km2 (primarily from cultivated land and grassland), while water bodies were decreased by 1.78 km2 (primarily cultivated land and built-up land). Forestland changes were minimal. The size of the annual average NPP value of each type of land use in Fenyang is cultivated land > forestland > grassland > built-up land > water bodies, which causes the total NPP decrease primarily from the transfer out of forest land to cultivated land and grassland.

3.6. Effect of Different Altitudes on NPP

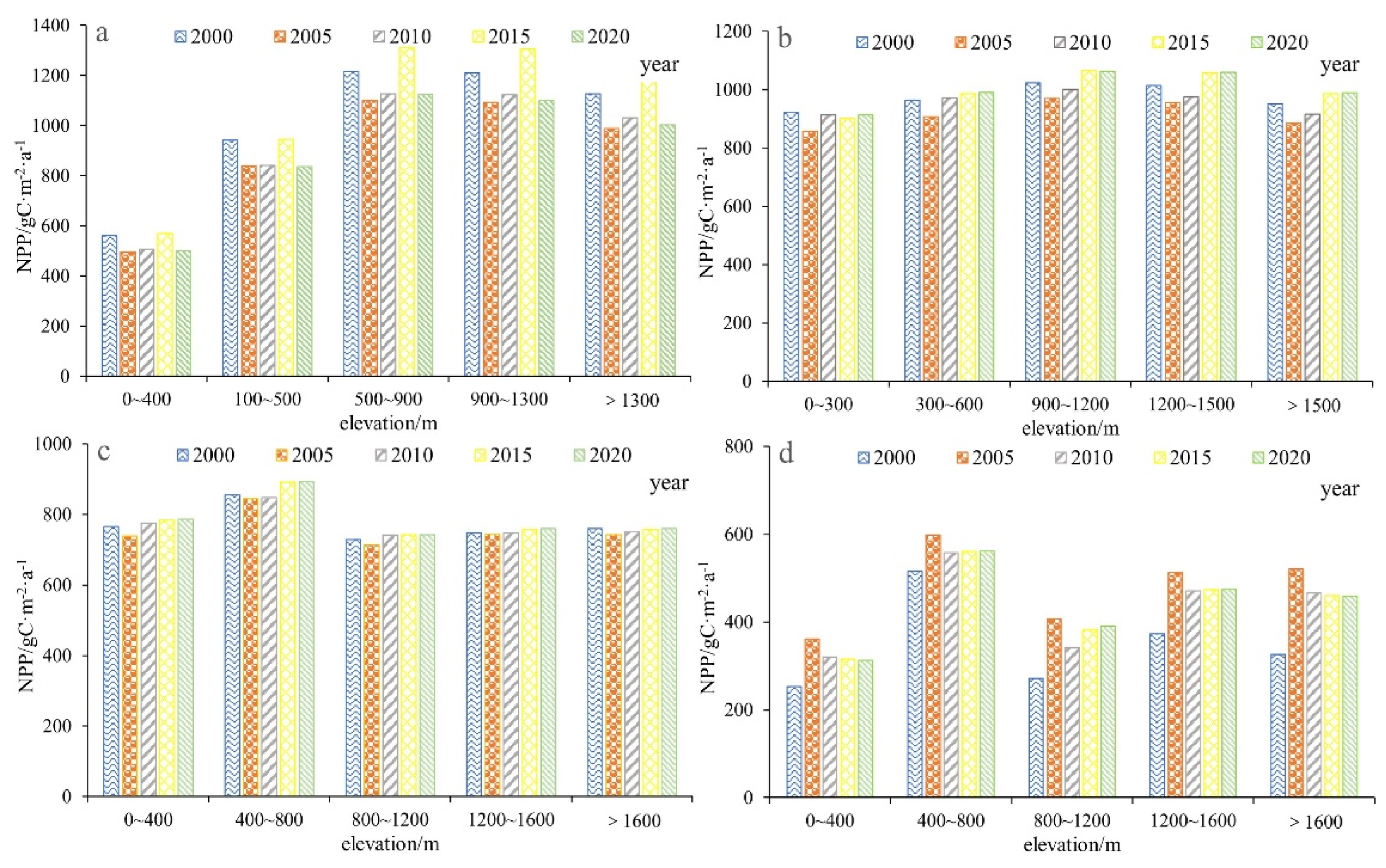
The DEM data from the ASTER GDEM V3 version in our study were categorized using an equal-interval method to analyze vegetation NPP across different elevation ranges over various periods (Figure 8). From 2000 to 2020, the mean NPP of the study area exhibited a unimodal relationship with elevation, initially increasing before subsequently declining. In Cambodia (Figure 8a), the mean NPP peaked at elevations within 500–900 m and was lowest within the 0–400 m range. In Baise (Figure 8b), the mean NPP reached its maximum at 900–1200 m and its minimum was at 0–300 m. In Guilin (Figure 8c), the peak occurred at elevations of 400–800 m, while the lowest values were recorded at 800–1200 m. In Fenyang (Figure 8d), the mean NPP peaked at 400–800 m and was lowest at 0–400 m. The 0–400 m elevation range represents a vulnerable zone for NPP, with increasing NPP at higher elevations until a decline occurring due to decreasing temperatures affecting photosynthesis and growth rates. In mid-elevation regions, the favorable climate and soil fertility enhance vegetation growth, leading to increased NPP. However, further elevation increases lead to reduced temperatures, lower oxygen concentrations and shorter growing seasons, resulting in a secondary NPP decline.

4. Discussion

4.1. Disparities in the Spatiotemporal Evolution of Vegetation NPP

Vegetation, as the dominant component of terrestrial ecosystems, serves as the primary food source for heterotrophs on earth and constitutes one of the key indicators of vegetation productivity. It represents the initial input of carbon into the biosphere and thus, holds significant practical importance for the study of the carbon cycle. Baise has higher NPP value than Guilin, which is in the southern subtropical monsoon climate zone, indicating that it has higher biological productivity. Despite lower rainfall than Guilin, higher temperatures and superior solar irradiance promote photosynthesis, resulting in elevated NPP. In 2000, Pingguo experienced severe rocky desertification. Since the implementation of comprehensive desertification control measures, the area of rocky desertified land has significantly decreased, forested areas have expanded, and ecological restoration has markedly improved, leading to increased vegetation NPP. These findings align with reports from the Guangxi Daily [46]. The observed increase in Pingguo’s NPP is attributable to successful karst desertification remediation efforts. Guilin is in the middle subtropical monsoon climate zone, with abundant rainfall and strong solar radiation, which provide good conditions for vegetation growth, and Guilin’s higher NPP value indicates its rich vegetation growth and high biological productivity. These findings are consistent with Liu et al. [47], who reported similar spatiotemporal characteristics of vegetation NPP in Guangxi. While arid climates exhibit water-limited NPP and tropical climates exhibit temperature-limited NPP, subtropical regions show non-significant temperature and precipitation influences [42]. In arid regions, the positive limiting effect of water is evident, with vegetation showing greater sensitivity to precipitation changes than temperature [48]. The vegetation NPP exhibited a decline prior to 2005, followed by an increase thereafter, primarily driven by a significant reduction in rainfall in Guangxi in 2005, which was 52.02 mm lower than that in 2004. This drought led to reduced vegetation NPP, aligning with the threshold of NPP variation observed across the entire Guangxi region [49]. Fenyang is situated on the Loess Plateau and experiences a temperate continental monsoon climate. The region’s arid conditions limit plant growth and productivity, with lower precipitation and significant temperature variations impacting NPP. Overall, adequate moisture and optimal temperature range are crucial factors driving higher NPP. The study on Fenyang’s NPP aligns with widespread drought in 2001 (Except for parts of South China, Southwest China), which significantly impacted Shanxi [50], consistent with Liang et al.’s findings of a mean NPP of 326.5 gC·m−2·a−1 and an improving trend from 2005 to 2015 in Shanxi Province.
In this study, it was found that NPP in Cambodia, influenced by climatic conditions, topography and human activities, generally exhibited a pattern of higher values in the east and southwest, and lower values in the central region. This distribution is attributed to the predominance of forest land in the east and southwest, and the extensive areas of cultivated land and water bodies in the central region. The vegetation NPP values showed a non-significant downward trend from 2000 to 2020, consistent with the findings of scholars such as Gu et al. [41]. In Baise, NPP was uniformly high due to the dominance of forest land across most of the region, with only a small portion of cultivated land in the central area. In Guilin, NPP displayed a spatial pattern of higher values in the west and southeast, and lower values in the central region, with forest land distributed in patches. Baise has a much larger area of cultivated land than Guilin, and the central region also contains sporadic areas of developed land. In Fenyang, NPP generally decreased from northwest to southeast, with the northwest dominated by forest and grassland, and the southeast dominated by cultivated and developed land. Forest land had the highest NPP values, while developed and unused land had the lowest. Forest and cultivated land were identified as the key land use types driving NPP growth in the study areas. These findings underscore the critical role of regional differences in climate, topography and land use in determining NPP patterns. The prevalence of forest, grassland and cultivated land in these regions highlights the necessity of sustainable land use practices to enhance NPP and, consequently, boost carbon sequestration capabilities. The high NPP values in forest and cultivated lands further emphasize the imperative to prioritize the conservation and sustainable management of these land types to support ecosystem productivity and resilience.
NDVI, as a qualitative and quantitative measure of vegetation coverage and growth vigor, generally shows a positive correlation with NPP, highlighting its influence. The observed initial decline followed by an increase in NDVI across all study areas aligns with Liu et al. [47]. Temperature and precipitation are the main climatic factors affecting the vegetation NPP changes in the study area, but there are differences in the sensitivity of various regions to two factors. Regarding the response of vegetation NPP to climatic factors, the previous study showed that different vegetation types respond differently to the same climatic factors, and there are obvious differences in the response patterns of vegetation to climatic factors in different regions. The vegetation growth in northern China is mainly affected by precipitation, while the response of vegetation to temperature in southern China is more obvious [51,52,53]. This study reveals that temperature affects the NPP of Cambodia, Baise and Guilin, whereas precipitation plays a dominant role in influencing Fenyang’s NPP, aligning with findings from previous studies. In such arid climates, an increase in annual precipitation may enhance NPP and bolster carbon sequestration within the ecosystem [42], thereby sustaining productivity under drought conditions. NPP is concurrently shaped by temperature, precipitation and NDVI, with NDVI having the predominant influence. The strong correlation between NPP and NDVI highlights vegetation’s critical role in ecosystem productivity, mirroring its essential function in the carbon cycle of ecosystems and demonstrating that vegetation’s vigor and health directly influence ecosystems’ carbon absorption and emission capabilities.
The annual mean NPP of Cambodia under a tropical monsoon climate is between Baise and Guilin in the subtropics. The main explanation for this phenomenon lies in the extensive area of cultivated land in the central and southern areas of Cambodia, which usually exhibits lower NPP values compared to the forest land NPP. This land cover characteristic constrains the vegetation productivity in the region, resulting in a relatively low annual mean NPP value. In contrast, Baise and Guilin, located in south and mid-subtropical monsoon climate zones, respectively, benefit from favorable hydrothermal conditions, with Baise exceeding Guilin in mean annual NPP, reflecting the influence of the south subtropical climate. Fenyang, due to its location in the temperate continental climate zone, with poor hydrothermal conditions, has the lowest NPP value of all the four regions. The vast majority of the study area exhibits low fluctuation, indicating relatively stable annual mean NPP. The findings emphasize the significant impact of climatic zone differences on NPP, revealing the combined effects of different climates and land use types on ecosystem productivity.
Cambodia’s NPP is contoured by a tapestry of climatic conditions, topography and human activities, exhibiting heightened values in the eastern and southwestern regions and attenuated central values. This pattern is attributed to the extensive forestation in the country’s eastern and southwestern sectors and the spread of cultivated lands and water bodies in the central zone. In Baise, NPP is typically elevated due to the predominance of forested areas. Baise has a substantially larger expanse of forestland and cultivated land compared to Guilin, correlating with a higher NPP. In contrast, Fenyang’s NPP generally wanes from northwest to southeast, characterized by a predominance of forests and grasslands in the northwest and cultivated lands and built-up areas in the southeast. Forestland holds the highest NPP value, whereas built-up and unused lands exhibit the lowest NPP value. Forestland and cropland are recognized as the principal land use types driving NPP growth within the study area. These insights underscore the crucial influence of regional climatic, topographic, and land use variations on NPP patterns, emphasizing the necessity for sustainable land management practices to enhance carbon sink capacity and ecosystem productivity. There is an intrinsic link between land degradation and NPP. The deterioration of land, exemplified by forest degradation, significantly impacts the functionality and productivity of ecosystems, thereby affecting NPP. Degraded forests experience a decline in productivity due to reduced vegetation cover, diminished biodiversity and degraded soil quality. These alterations lead to a decrease in NPP, a pivotal metric for assessing ecosystem production capacity, which reflects the ability of green plants to fix atmospheric carbon dioxide through photosynthesis and convert it into organic matter. Furthermore, land degradation may alter land use patterns, consequently influencing the distribution and trends of NPP. For instance, the occupation of arable land and grasslands can lead to an increase in forested, built-up, and unused lands, exerting a dual effect on vegetation NPP dynamics.

4.2. The Validation Accuracy of Vegetation NPP Simulation Values

The validation of NPP estimation is generally divided into two approaches. One is the validation of measured values, which is validated by comparing the estimated values with the measured NPP values. The other is the relative method, which is evaluated by comparing the estimation results of the model with other model results or other remote sensing products [12]. Given the difficulty in obtaining measured values of NPP, this study evaluates the accuracy of NPP estimation results by comparing them with estimates from other models and existing research findings.
The simulated NPP values from the CASA model were compared with MODIS NPP products to evaluate the model’s accuracy. Figure 9 presents a comprehensive analysis of the accuracy of the CASA model’s NPP estimates by compared against MODIS NPP products for Cambodia, Baise, Guilin and Fenyang, respectively. Each subplot reveals a strong positive correlation, as evidenced by the high R-squared values and significant p-values (p < 0.001), indicating that the CASA model’s estimates are robust and reliable across these diverse geographical locations. Guilin’s analysis (Figure 9c) reveals the highest R-squared value of 0.904, indicating an exceptional fit between the CASA model’s estimates and the MODIS NPP data. The regression equation y = 0.797x + 151.070 further supports the model’s accuracy, with a minimal deviation from the ideal 1:1 line. Collectively, these findings underscore the CASA model’s reliability in estimating NPP across various climatic and topographical conditions. The consistent high R-squared values and significant p-values across all regions validate the model’s precision and suggest its potential utility in carbon cycle research and ecosystem management.

4.3. The Uncertainties and Limitations of the CASA Model

Discrepancies in estimations from various models are primarily attributable to differences in research periods, data sources, model parameters and data processing methodologies, which underscore the CASA model’s inherent uncertainty in estimating NPP. While the model is a valuable tool for estimating NPP across various regions, it is not without its inherent limitations. One of the primary limitations is the model’s reliance on certain assumptions that may not always align with the complexities of real-world ecosystems. For instance, the model assumes a linear relationship between photosynthetic active radiation and gross primary productivity, which may not hold true under all conditions. Additionally, the model’s parameters, such as the light use efficiency and respiration rates, are often derived from empirical data and may vary across different ecosystems and under changing environmental conditions. Furthermore, the model’s accuracy can be influenced by the quality and resolution of the input data, including remote sensing imagery and meteorological data. The model may also struggle to accurately represent NPP in areas with complex topography or where land use is highly fragmented. In conclusion, while the CASA model provides a robust framework for NPP estimation, it is imperative to consider its assumptions and limitations to interpret the results accurately and to guide future model improvements.

5. Conclusions

The results revealed the following:
(1) The average annual NPP values of Cambodia, Baise, Guilin and Fenyang were 753.68 gC·m−2·a−1, 960.58 gC·m−2·a−1, 768.11 gC·m−2·a−1 and 334.20 gC·m−2·a−1, respectively, from 2000 to 2020. All regions, except Cambodia, showed a non-significant decreasing trend, and all other regions showed an upward trend.
(2) In Cambodia, NPP exhibited a prominent spatial distribution in the eastern and southwestern regions. In contrast, both Baise and Guilin displayed elevated NPP values at the peripheries, with lower values concentrated in the central areas. The highest mean value of NPP in Baise was in Napo, and the lowest was in Pingguo. The highest mean value of NPP in Guilin was in Yangshuo, and the lowest was in Xiufeng. The NPP in Fenyang showed a high spatial distribution pattern in the northwest and low in the southeast in general.
(3) The magnitude of NPP values of various land use types in the study area was forest land > cultivated land > grassland > unused land > water bodies > built-up land. Forests and cultivated land represented the primary land categories influencing NPP growth within the study area. The terrain factor exerted a notable impact on vegetation NPP within the study area, where NPP initially increased with elevation before declining at higher altitudes.
(4) NPP was negatively correlated with temperature and precipitation in Cambodia, as well as positively correlated with temperature and precipitation in Baise and Guilin. Temperature was the main factor affecting the changes in NPP in Cambodia, Baise and Guilin. NPP was positively correlated with temperature and precipitation in Fenyang. The correlation between precipitation and NPP was stronger, and precipitation was the main factor affecting the changes in NPP in Fenyang. NDVI and annual mean NPP were significantly influenced by topographic factors in the study area. NDVI was positively correlated with the annual mean NPP.
(5) Annual mean NPP in the study area initially increased with elevation but declined beyond a certain altitude.
In this study, the improved CASA model was employed to estimate the NPP within the study area. However, integrating single data sources may not comprehensively capture the dynamic changes in vegetation productivity. By fusing multi-source remote sensing data (e.g., Sentinel-1 and Sentinel-2) with ground-based meteorological station data, the spatiotemporal resolution and accuracy of NPP estimation can be enhanced. For instance, employing a multi-sensor fusion framework to obtain long-term NDVI datasets, combined with an improved solar radiation model that inputs NDVI and elevation data to output environmental impact factors, effectively monitoring regional NPP’s long-term trends, thereby optimizing the CASA model. Furthermore, a novel approach coupling the Radial Basis Function neural network model with the CASA model (RBF-CASA) has been proposed to improve NPP estimation accuracy. Moreover, traditional models may inadequately capture the heterogeneity of complex forest ecosystems. By integrating GEDI LiDAR data with remote sensing data from Sentinel-1 and Sentinel-2, and employing machine learning algorithms such as LightGBM, high-resolution aboveground biomass maps can be generated. This approach explores the application of machine learning methods in biomass mapping, thereby enhancing the spatial accuracy of NPP estimation. In addition, current research primarily focuses on NPP estimation in terrestrial ecosystems, oceanic carbon sinks also play a pivotal role in the global carbon cycle. Future studies should comprehensively consider the contributions of marine carbon sinks to fully assess regional carbon neutrality potential.

Author Contributions

Conceptualization, Q.L.; methodology, Q.L. and G.Q.; software, Q.L., C.T. and G.Q.; validation, G.Q., Q.L., C.T. and H.Q.; formal analysis, G.Q. and H.Q.; investigation, G.Q. and H.Q.; resources, Q.L.; data curation, G.Q. and H.Q.; writing—original draft preparation, G.Q.; writing—review and editing, Q.L. and C.T.; visualization, G.Q., Q.L. and H.Q.; supervision, Q.L., C.T., Y.L. and Z.W.; project administration, Q.L.; funding acquisition, Q.L. All authors have read and agreed to the published version of the manuscript.

Funding

This research was funded by the Guangxi Science and Technology Major Special Project (GuikeAA24206020), the Guangxi Key R&D Program (GuikeAB21196065), the Guilin Innovation Platform and Talent Program Project (20230116-3) and the Basic Research Business Expense Project of Institute of Karst Geology, Chinese Academy of Geological Sciences (2023020).

Data Availability Statement

The original contributions presented in the study are included in the article, further inquiries can be directed to the corresponding author.

Acknowledgments

We acknowledge the support of all co-authors for their constructive and helpful comments and organization of this study, and we confirm that they have consented to be acknowledged.

Conflicts of Interest

The authors declare no conflicts of interest.

References

  1. Lieth, H.; Whittaker, R.H. Primary Productivity of the Biosphere; Ecological Studies (ECOLSTUD, Volume 14); Springer: Berlin/Heidelberg, Germany, 1975. [Google Scholar] [CrossRef]
  2. Piao, S.L.; Fang, J.Y.; Chen, A.P. Seasonal dynamics of terrestrial net primary production in response to climate changes in China. J. Integr. Plant Biol. 2003, 45, 269–275. [Google Scholar]
  3. Liu, C.; Dong, X.; Liu, Y. Changes of NPP and their relationship to climate factors based on the transformation of different scales in Gansu, China. Catena 2015, 125, 190–199. [Google Scholar] [CrossRef]
  4. Chen, F.; Li, H.B.; Liu, Y.J. Spatio-temporal differentiation and influencing factors of vegetation net primary productivity using GIS and CASA: A case study in Yuanyang County, Yunnan. J. Biol. 2018, 37, 2148–2158. [Google Scholar]
  5. Li, C.; Wang, R.; Tan, M.L. Spatio-Temporal Changes in Vegetation Net Primary Productivity and Its Responses to Climatic Factors in Jiangsu Province, Eastern China. Sains Malays. 2019, 48, 2317–2324. [Google Scholar] [CrossRef]
  6. Gao, Y.N.; Yu, G.R.; Zhang, L.; Liu, M.; Huang, M.; Wang, Q.F. The Changes of Net Primary Productivity in Chinese Terrestrial Ecosystem: Based on Process and Parameter Models. Prog. Geogr. 2012, 31, 109–117. [Google Scholar]
  7. Li, G.; Ren, H.; Li, Y.; Liu, J. Review and tendency of net primary productivity study. Ecol. Sci 2003, 22, 360–365. [Google Scholar]
  8. Nayak, R.K.; Patel, N.; Dadhwal, V. Estimation and analysis of terrestrial net primary productivity over India by remote-sensing-driven terrestrial biosphere model. Environ. Monit. Assess. 2010, 170, 195–213. [Google Scholar] [CrossRef]
  9. Clark, D.A.; Brown, S.; Kicklighter, D.W.; Chambers, J.Q.; Thomlinson, J.R.; Ni, J. Measuring net primary production in forests: Concepts and field methods. Ecol. Appl. 2001, 11, 356–370. [Google Scholar] [CrossRef]
  10. Su, S.T.; Zeng, Y.; Zhao, D.; Zheng, Z.J.; Wu, X.H. Optimization of net primary productivity estimation model for terrestrial vegetation in China based on CERN data. Acta Ecol. Sin. 2022, 42, 1276–1289. [Google Scholar]
  11. Piao, S.L.; Fang, J.Y.; Guo, Q.H. Application of casa model to the estimation of Chinese terrestrial net primary productivity. Chin. J. Plant Ecol. 2001, 25, 603–608. [Google Scholar]
  12. Tian, Y.C.; Huang, Y.L.; Zhang, Q.; Tao, J.; Zhang, Y.L.; Huang, H.; Zhou, G.Q. Spatiotemporal distribution of net primary productivity and Its driving factors in the Nanliu River basin in the Beibu Gulf. Acta Ecol. Sin. 2019, 39, 8156–8171. [Google Scholar]
  13. Zhang, Y.L.; Qi, W.; Zhou, C.P.; Ding, M.J.; Liu, L.S.; Gao, J.G.; Bai, W.G.; Wang, Z.F.; Zheng, D. Spatial and temporal variability in the net primary production (NPP) of alpine grassland on Tibetan Plateau from 1982 to 2009. Acta Geogr. Sin. 2013, 68, 1197–1211. [Google Scholar]
  14. Zhu, W.Q. Estimation of Net Primary Productivity of Chinese Terrestrial Vegetation Based on Remote Sensing and Its Relationship with Global Climate Change. Ph.D. Thesis, Beijing Normal University, Beijing, China, 2005. [Google Scholar]
  15. Zhu, W.Q.; Pan, Y.Z.; He, H.; Yu, H.; Hu, H.B. Simulation of maximum light use efficiency of typical vegetation in China. Chin. Sci. Bull. 2006, 51, 700–706. [Google Scholar] [CrossRef]
  16. Zhu, W.Q.; Pan, Y.Z.; Zhang, J.S. Estimation of net primary productivity of Chinese terrestrial vegetation based on remote sensing. Chin. J. Plant Ecol. 2007, 31, 413–424. [Google Scholar]
  17. Potter, C.S.; Randerson, J.T.; Field, C.B.; Matson, P.A.; Vitousek, P.M.; Mooney, H.A.; Klooster, S.A. Terrestrial ecosystem production: A process model based on global satellite and surface data. Global Biogeochem. Cycles 1993, 7, 811–841. [Google Scholar] [CrossRef]
  18. Ebermayer, E. Die Gesammtelehre der Waldstreumitrücksicht auf die Chemischestatik des Waldbaues; Springer: Berlin/Heidelberg, Germany, 1876. [Google Scholar]
  19. Ruimy, A.; Saugier, B.; Dedieu, G. Methodology for the estimation of terrestrial net primary production from remotely sensed data. J. Geophys. Res. Atmos. 1994, 99, 5263–5283. [Google Scholar] [CrossRef]
  20. Schuur, E.A.G. Productivity and global climate revisited: The sensitivity of tropical forest growth to precipitation. Ecology 2003, 84, 1165–1170. [Google Scholar] [CrossRef]
  21. Mu, S.J.; Li, J.L.; Yang, H.F.; Gang, C.C.; Chen, Y.Z. Spatio-temporal variation analysis of grassland net primary productivity and its relationship with climate over the past 10 years in Inner Mongolia. Acta Pratacult. Sin. 2013, 22, 6–15. [Google Scholar]
  22. Yu, T.; Sun, R.; Xiao, Z.; Zhang, Q.; Liu, G.; Cui, T.; Wang, J. Estimation of Global Vegetation Productivity from Global Land Surface Satellite Data. Remote Sens. 2018, 10, 327. [Google Scholar] [CrossRef]
  23. Li, D.K.; Wang, Z. The Characteristics of NPP of Terrestrial Vegetation in China Based on MOD17A3 Data. Ecol. Environ. Sci. 2018, 27, 397–405. [Google Scholar]
  24. Ren, Z.C.; Zhu, H.Z.; Shi, H.; Liu, X.N. Spatiotemporal-Distribution Pattern Variation of Net Primary Productivity in Potential Natural Vegetation and Its Response to Climate and Topography in China. Acta Agrestia Sin. 2017, 25, 474–485. [Google Scholar]
  25. Pan, J.H.; Wen, Y. Estimation and spatial-temporal characteristics of carbon sink in the arid region of northwest China. Acta Ecol. Sin. 2015, 35, 7718–7728. [Google Scholar]
  26. Wang, Q. Impact of Climatic Change on Urban Water Supply in Cambodia. Hongshui River 2018, 37, 49–50. [Google Scholar]
  27. Pan, X.; Qu, S.M.; Xu, J.J.; Li, X.D.; Bao, M.X.; Shi, P. Analysis of Precipitation Evolution of Baise City in Recent 70 Years. Water Resour. Power 2021, 39, 10–13. [Google Scholar]
  28. Zhang, K.Q. Study on the sustainability of service function of typical ecosystem in Guilin. Master’s Thesis, Guilin University of Technology, Guilin, China, 2023. [Google Scholar]
  29. Liu, X.R.; Wang, X.L. Fenyang County Annals; Hai Chao Press: Beijing, China, 1998. [Google Scholar]
  30. Ma, B.X.; Jing, J.L.; Xu, Y.; He, H.C.; Liu, B. Spatial-Temporal Changes of NPP and Its Relationship with Climate Change in Karst Areas of Yunnan, Guizhou and Guangxi from 2000 to 2019. Ecol. Environ. Sci. 2021, 30, 2285–2293. [Google Scholar]
  31. Zhu, W.Q.; Pan, Y.Z.; Long, Z.H.; Chen, Y.H.; Li, J.; Hu, H.B. Estimating Net Primary Productivity of Terrestrial Vegetation Based on GIS and RS:A Case Study in Inner Mongolia,China. Natl. Remote Sens. Bull. 2005, 9, 300–307. [Google Scholar]
  32. Li, C.H.; Cao, H.J.; Fan, Y.P.; Han, H.Y.; Sun, H.; Wang, Y.T. Remote sensing estimation and analysis of net primary productivity (NPP) based on corrected CASA model: A case study of Hexi Corridor. Acta Ecol. Sin. 2019, 39, 1616–1626. [Google Scholar]
  33. Zhao, F. Remote Sensing Estimation and Validation of Net Primary Production in the Xilingol Grassland Based on CASA Model. Master’s Thesis, Chinese Academy of Agricultural Sciences, Beijing, China, 2015. [Google Scholar]
  34. Jiang, W.; Yuan, L.; Wang, W.; Cao, R.; Zhang, Y.; Shen, W. Spatio-temporal analysis of vegetation variation in the Yellow River Basin. Ecol. Indic. 2015, 51, 117–126. [Google Scholar] [CrossRef]
  35. Fensholt, R.; Langanke, T.; Rasmussen, K.; Reenberg, A.; Prince, S.D.; Tucker, C.; Scholes, R.J.; Le, Q.B.; Bondeau, A.; Eastman, R.; et al. Greenness in semi-arid areas across the globe 1981–2007—An Earth Observing Satellite based analysis of trends and drivers. Remote Sens. Environ. 2012, 121, 144–158. [Google Scholar] [CrossRef]
  36. Xie, H.; Tong, X.J.; Li, J.; Zhang, J.R.; Liu, P.R.; Yu, P.Y. Changes of NDVI and EVI and their responses to climatic variables in the Yellow River Basin during the growing season of 2000–2018. Acta Ecol. Sin. 2022, 42, 4536–4549. [Google Scholar]
  37. Yin, L.C.; Feng, X.M.; Fu, B.J.; Chen, Y.Z.; Wang, X.F.; Tao, F.L. Irrigation water consumption of irrigated cropland and its dominant factor in China from 1982 to 2015. Adv. Water Resour. 2020, 143, 103661. [Google Scholar] [CrossRef]
  38. Xu, J.H. Quantitative Geography; Higher Education Press: Beijing, China, 2006. [Google Scholar]
  39. Chen, T.; Liu, M.; Hu, Y.M.; Lv, J.J.; Ma, J.; Sun, F.Y.; Gong, J.P. Land use and net primary productivity changes in Shenyang Metropolitan Area. Acta Ecol. Sin. 2015, 35, 8231–8240. [Google Scholar]
  40. Zhu, J.F.; Song, K.P.; Zhang, H. Analysis of land use changes in the Xinshui River Basin over a 30-year period. Resour. Econ. Environ. Prot. 2022, 2, 14–16. [Google Scholar]
  41. Gu, L.; Yue, C.R.; Zhang, G.F.; Zhao, X.; Jin, J. Temporal and Spatial Analysis of Vegetation NPP in the Greater Mekong Subregion Based on Google Earth Engine Platform from 2001 to 2019. J. West China For. Sci. 2021, 50, 132–139. [Google Scholar]
  42. Xu, X.; Luo, Y.; Yang, S.T.; Lu, X.H.; Zhou, Q.W.; Liu, M.; Shi, C.M.; Liao, M.Y. Change trend and sustainability of vegetation net primary productivity of terrestrial ecosystems in different global climatic zones. Acta Ecol. Sin. 2023, 43, 3729–3743. [Google Scholar]
  43. Niu, J.Q.; Wang, Z.Y.; Lin, H.; Zhang, Y.D.; Sun, B.; Liu, Y.C. Temporal and Spatial Evolution Characteristics and Driving Factors of NPP in the Huaihe River Economic Belt. Geogr. Geo-Inf. Sci. 2024, 40, 37–43. [Google Scholar]
  44. Zhao, Y.X.; Ju, Z.S.; Wu, L. Effects of land-use change on net primary productivity. Sci. Surv. Mapp. 2023, 48, 166–175. [Google Scholar]
  45. Jing, Z.; Limin, J.; Ariane, D.; Liu, J.F.; Lian, X.H.; Hannes, T. Greener cities cost more green: Examining the impacts of different urban expansion patterns on NPP. Build. Environ. 2023, 228, 109876. [Google Scholar]
  46. The Green Breakthrough of the Dashi Mountains. Guangxi Daily. Available online: http://gx.cma.gov.cn/qxzx/bgqx/202406/t20240619_6360227_11374.html (accessed on 19 June 2024).
  47. Liu, H.M.; Zhou, T.Y.; Gou, P. 10-Year NDVl Dataset Development in 361 Cities of China (250-m, 1990–2020). J. Global Chang. Data Discov. 2023, 7, 65–74. [Google Scholar]
  48. Shen, M.G.; Piao, S.L.; Cong, N.; Zhang, G.X.; Jassens, I.A. Precipitation impacts on vegetation spring phenology on the Tibetan Plateau. Glob. Change Biol. 2015, 21, 3647–3656. [Google Scholar] [CrossRef]
  49. Li, Y.L.; Pan, X.Z.; Wang, C.K.; Liu, Y.; Zhao, Q.G. Changes of vegetation net primary productivity and its driving factors from 2000 to 2011 in Guangxi, China. Acta Ecol. Sin. 2014, 34, 5220–5228. [Google Scholar]
  50. Liang, S.; Zhang, W.P.; Bi, R.T.; Gao, P.X.; Wang, G.F. Variation characteristics of vegetation net primary productivity and its driving factors in Shanxi Province. Guihaia 2018, 38, 1005–1014. [Google Scholar]
  51. Deng, Y.J.; Wang, J.C.; Xu, J.; Wu, Y.Q.; Chen, J.Y. Spatiotemporal Variation of Vegetation Carbon Sequestration and Its Meteorological Contribution in Guangdong Province. Ecol. Environ. Sci. 2022, 31, 1–8. [Google Scholar]
  52. Li, H.Y.; Zhang, C.G.; Wang, S.Z.; Ma, W.D.; Liu, F.G.; Chen, Q.; Zhou, Q.; Xia, X.S.; Niu, B.C. Response of vegetation dynamics to hydrothermal conditions on the Qinghai-Tibet Plateau in the last 40 years. Acta Ecol. Sin. 2022, 42, 4770–4783. [Google Scholar]
  53. Lei, Q.; Hu, Z.W.; Wang, J.Z.; Zhang, Y.H.; Wu, G.F. Spatiotemporal dynamics of NDVI in China from 1985 to 2015: Ecosystem variation, regional differences, and response to climatic factors. Acta Ecol. Sin. 2023, 43, 6378–6391. [Google Scholar]
Figure 1. Overview map of the study area.
Figure 1. Overview map of the study area.
Forests 16 00541 g001
Figure 2. Interannual variation Characteristics of vegetation NPP over the period 2000–2020.
Figure 2. Interannual variation Characteristics of vegetation NPP over the period 2000–2020.
Forests 16 00541 g002
Figure 3. Spatial patterns of the average annual vegetation NPP during 2000–2020. (Annotation: (a) represents Cambodia, (b) denotes Baise, (c) signifies Guilin and (d) stands for Fenyang).
Figure 3. Spatial patterns of the average annual vegetation NPP during 2000–2020. (Annotation: (a) represents Cambodia, (b) denotes Baise, (c) signifies Guilin and (d) stands for Fenyang).
Forests 16 00541 g003
Figure 4. Spatial distribution of Sen’s slope and Mann–Kendall trend analysis results for vegetation NPP. (Annotation: (a) represents Cambodia, (b) denotes Baise, (c) signifies Guilin and (d) stands for Fenyang).
Figure 4. Spatial distribution of Sen’s slope and Mann–Kendall trend analysis results for vegetation NPP. (Annotation: (a) represents Cambodia, (b) denotes Baise, (c) signifies Guilin and (d) stands for Fenyang).
Forests 16 00541 g004
Figure 5. The correlation among annual average temperature, precipitation and NPP from 2000 to 2020. (Annotation: (a) represents Cambodia, (b) denotes Baise, (c) signifies Guilin and (d) stands for Fenyang).
Figure 5. The correlation among annual average temperature, precipitation and NPP from 2000 to 2020. (Annotation: (a) represents Cambodia, (b) denotes Baise, (c) signifies Guilin and (d) stands for Fenyang).
Forests 16 00541 g005
Figure 6. Interannual variation characteristics of NDVI and NPP from 2000 to 2020.
Figure 6. Interannual variation characteristics of NDVI and NPP from 2000 to 2020.
Forests 16 00541 g006
Figure 7. The correlation coefficients of NDVI, annual average temperature, precipitation and NPP from 2000 to 2020. ( Note: *: 0.01 < p < 0.05; **: 0.001 < p < 0.01; ***: p ≤ 0.001).
Figure 7. The correlation coefficients of NDVI, annual average temperature, precipitation and NPP from 2000 to 2020. ( Note: *: 0.01 < p < 0.05; **: 0.001 < p < 0.01; ***: p ≤ 0.001).
Forests 16 00541 g007
Figure 8. NPP statistical map at different elevations. (Annotation: (a) represents Cambodia, (b) denotes Baise, (c) signifies Guilin and (d) stands for Fenyang).
Figure 8. NPP statistical map at different elevations. (Annotation: (a) represents Cambodia, (b) denotes Baise, (c) signifies Guilin and (d) stands for Fenyang).
Forests 16 00541 g008
Figure 9. Comparison of the precision of NPP estimates from the CASA model and MODIS NPP products. (Annotation: (a) represents Cambodia, (b) denotes Baise, (c) signifies Guilin and (d) stands for Fenyang).
Figure 9. Comparison of the precision of NPP estimates from the CASA model and MODIS NPP products. (Annotation: (a) represents Cambodia, (b) denotes Baise, (c) signifies Guilin and (d) stands for Fenyang).
Forests 16 00541 g009
Table 1. Mann–Kendall trend test and its significance test in Cambodia.
Table 1. Mann–Kendall trend test and its significance test in Cambodia.
βzTrend CategoriesTrend CharacteristicsArea/km2Percentage/%
β > 02.58 < z4Highly significant increase5209.52.88
1.96 < z ≤ 2.583Significant increase7571.004.18
1.65 < z ≤ 1.962Slightly significant increase7922.754.37
z ≤ 1.651Insignificant increase103,245.5057.04
β = 0z0No change10,111.755.59
β < 0z ≤ 1.65−1Insignificant decrease40,458.7522.35
1.65 < z ≤ 1.96−2Slightly significant decrease2029.251.12
1.96 < z ≤ 2.58−3Significant decrease2453.501.35
2.58 < z−4Highly significant de-crease2002.501.11
Table 2. Mann–Kendall trend test and its significance test in Baise.
Table 2. Mann–Kendall trend test and its significance test in Baise.
βzTrend CategoriesTrend CharacteristicsArea/km2Percentage/%
β > 02.58 < z4Highly significant increase2788.25 7.67
1.96 < z ≤ 2.583Significant increase2255.00 6.21
1.65 < z ≤ 1.962Slightly significant increase1576.25 4.34
z ≤ 1.651Insignificant increase5049.5013.90
β = 0z0No change21,955.50 60.42
β < 0z ≤ 1.65−1Insignificant decrease1791.254.93
1.65 < z ≤ 1.96−2Slightly significant decrease317.750.87
1.96 < z ≤ 2.58−3Significant decrease301.250.83
2.58 < z−4Highly significant de-crease300.750.83
Table 3. Mann–Kendall trend test and its significance test in Guilin.
Table 3. Mann–Kendall trend test and its significance test in Guilin.
βzTrend CategoriesTrend CharacteristicsArea/km2Percentage/%
β > 02.58 < z4Highly significant increase5109.50 18.39
1.96 < z ≤ 2.583Significant increase2396.50 8.63
1.65 < z ≤ 1.962Slightly significant increase1129.50 4.07
z ≤ 1.651Insignificant increase639923.03
β = 0z0No change312.50 1.12
β < 0z ≤ 1.65−1Insignificant decrease8707.75 31.35
1.65 < z ≤ 1.96−2Slightly significant decrease1269.50 4.57
1.96 < z ≤ 2.58−3Significant decrease1641.25 5.91
2.58 < z−4Highly significant de-crease814.502.93
Table 4. Mann–Kendall trend test and its significance test in Fenyang.
Table 4. Mann–Kendall trend test and its significance test in Fenyang.
βzTrend CategoriesTrend CharacteristicsArea/km2Percentage/%
β > 02.58 < z4Highly significant increase602.75 51.10
1.96 < z ≤ 2.583Significant increase63.00 5.34
1.65 < z ≤ 1.962Slightly significant increase10.25 0.87
z ≤ 1.651Insignificant increase21.751.84
β = 0z0No change475.75 40.33
β < 0z ≤ 1.65−1Insignificant decrease3.75 0.32
1.65 < z ≤ 1.96−2Slightly significant decrease0.75 0.06
1.96 < z ≤ 2.58−3Significant decrease10.08
2.58 < z−4Highly significant de-crease0.50.04
Table 5. Land use transfer matrix of Cambodia from 2000 to 2020.
Table 5. Land use transfer matrix of Cambodia from 2000 to 2020.
2020Unit: km2
2000 Cultivated LandForestlandGrasslandWetlandsWater BodiesBuilt-Up LandBare LandSum
Cultivated land55,472.65297.48 81.51684.99475.18706.941.9557,720.70
Forestland13,425.1387,592.24 1526.58388.83221.6979.603.02103,237.09
Grassland898.011097.39 3739.77204.1755.8129.020.106024.27
Wetlands556.9722.46 12.556334.72246.771.780.007175.25
Water bodies518.3946.25 8.49163.914282.236.903.445029.61
Built-up land128.875.80 0.891.485.541009.740.001152.32
Sum71,000.0189,061.62 5369.797778.105287.221833.988.51180,339.23
Changes in area13,279.32−14,175.47 −654.48602.85257.62681.66--
Mean NPP value (gC·m−2)487.721105.36651.27285.8255.3423.956.30-
Table 6. Land use transfer matrix of Baise from 2000 to 2020.
Table 6. Land use transfer matrix of Baise from 2000 to 2020.
2020Unit: km2
2000 Cultivated LandForestlandGrasslandWater BodiesBuilt-Up LandUnused LandSum
Cultivated land5275.58173.7721.8832.47135.130.105638.93
Forestland6488.2820,285.5095.4456.2350.700.2326,976.38
Grassland32.06125.963023.6823.9218.810.023224.44
Water bodies4.513.942.76176.660.580.06188.51
Built-up land19.351.901.931.94115.650140.77
Unused land0.110.070.020.130.006.066.38
Sum11,819.8820,591.143145.70291.35320.886.4736,175.41
Changes in area6180.95−6385.25−78.73284.96180.110.08-
Mean NPP value (gC·m−2)918.741000.79977.19730.51707.5715.19-
Table 7. Land use transfer matrix of Guilin from 2000 to 2020.
Table 7. Land use transfer matrix of Guilin from 2000 to 2020.
2020Unit: km2
2000 Cultivated LandForestlandGrasslandWater BodiesBuilt-Up LandUnused LandSum
Cultivated land5067.40126.6633.4924.00122.660.735374.94
Forestland133.0117,470.74105.8619.5952.411.1117,782.72
Grassland36.11112.843591.238.9335.880.023785.01
Water bodies9.996.331.98240.711.910.02260.95
Built-up land23.194.651.851.73418.310.00449.74
Unused land0.000.070.000.000.002.062.13
Sum5269.7217,721.293734.41294.96631.183.9427,655.49
Changes in area−105.23−61.43−50.6034.01181.431.81-
Mean NPP value (gC·m−2)791.58908.28770.37114.02102.767.72-
Table 8. Land use transfer matrix of Fenyang from 2000 to 2020.
Table 8. Land use transfer matrix of Fenyang from 2000 to 2020.
2020Unit: km2
2000 Cultivated LandForestlandGrasslandWater BodiesBuilt-Up LandSum
Cultivated land537.982.566.690.5373.29621.05
Forestland3.21317.801.3600.98323.34
Grassland20.411.50141.040.003.34166.29
Water bodies1.460.000.000.050.902.42
Built-up land5.450.010.220.0551.9157.65
Sum568.50321.87149.300.64130.431170.73
Changes in area−52.55−1.47−16.99−1.7872.78-
Mean NPP value (gC·m−2)375.58361.35251.294.459.23-
Disclaimer/Publisher’s Note: The statements, opinions and data contained in all publications are solely those of the individual author(s) and contributor(s) and not of MDPI and/or the editor(s). MDPI and/or the editor(s) disclaim responsibility for any injury to people or property resulting from any ideas, methods, instructions or products referred to in the content.

Share and Cite

MDPI and ACS Style

Qin, G.; Tu, C.; Qin, H.; Liang, Y.; Wu, Z.; Li, Q. Spatiotemporal Variations and Driving Factors of Net Primary Productivity Across Different Climatic Zones in Cambodia and China. Forests 2025, 16, 541. https://doi.org/10.3390/f16030541

AMA Style

Qin G, Tu C, Qin H, Liang Y, Wu Z, Li Q. Spatiotemporal Variations and Driving Factors of Net Primary Productivity Across Different Climatic Zones in Cambodia and China. Forests. 2025; 16(3):541. https://doi.org/10.3390/f16030541

Chicago/Turabian Style

Qin, Guihao, Chun Tu, Huaxiong Qin, Yueming Liang, Zeyan Wu, and Qiang Li. 2025. "Spatiotemporal Variations and Driving Factors of Net Primary Productivity Across Different Climatic Zones in Cambodia and China" Forests 16, no. 3: 541. https://doi.org/10.3390/f16030541

APA Style

Qin, G., Tu, C., Qin, H., Liang, Y., Wu, Z., & Li, Q. (2025). Spatiotemporal Variations and Driving Factors of Net Primary Productivity Across Different Climatic Zones in Cambodia and China. Forests, 16(3), 541. https://doi.org/10.3390/f16030541

Note that from the first issue of 2016, this journal uses article numbers instead of page numbers. See further details here.

Article Metrics

Back to TopTop