Abstract
Acid rain has many negative effects on the ecological environment and poses serious abiotic stress onto plants, resulting in substantial ecological and economic impairments annually. Ilex chinensis, a well-known medicinal plant, is sensitive to acid rain, but its response mechanisms are unclear. In this study, we simulated sulfuric acid rain (SAR), mixed acid rain (MIX), and nitric acid rain (NAR) at different pH values to investigate their effects on growth condition, photosynthesis, antioxidants, and nitrogen metabolites. We also explored the metabolic pathways and key genes involved in the response of I. chinensis to acid rain through transcriptome analysis. Physiological analysis showed that I. chinensis suffered the most significant inhibition at pH 3.0, which is manifested in the decrease in height growth rate, specific leaf weight, photosynthetic pigments content, net photosynthetic rate, stomatal conductance, and transpiration rate; the increase in MDA content and SOD activity; and the reduction in glutamine synthetase activity, nitrogen content, and proline content. Transcriptome analysis isolated 314 and 21 shared differentially expressed genes (DEGs) from I. chinensis treated with acid rain at pH 3.0 for 5 d and 15 d, respectively. KEGG enrichment analysis found that different types of acid rain caused changes in multiple metabolic pathways of I. chinensis, and the shared DEGs in 5 d treatment were mainly enriched in ribosomes, oxidative phosphorylation, and glycolysis/glycolysis, etc. The shared DEGs in 115 d treatment were mainly enriched in sulfur metabolism, RNA polymerase, cysteine and methionine metabolism, etc. Further research on gene regulatory networks at the two time points showed that the key pathways of I. chinensis, in response to acid rain stress, include plant–pathogen interaction, MAPK signaling pathway-plant, protein processing in the endoplasmic reticulum, ubiquitin mediated proteolysis, etc., in which 6 hub genes were identified, including TRINITY_DN13584_c0_g1, TRINITY_DN164_c0_g4, TRINITY_DN654_c0_g1, TRINITY_DN13611_c1_g2, TRINITY_DN21290_c0_g2, TRINITY_DN44216_c0_g1. Our findings provide a basis for exploring the regulatory mechanisms of I. chinensis in response to acid rain at the physiological and molecular levels, and for identifying candidate genes with acid tolerance potential.
1. Introduction
The atmospheric deposition of acidic substances, primarily nitric acid and sulfuric acid, is known as acid rain, which is typically defined as precipitation with a pH value below 5.6 [1]. The [SO42−]/[NO3−] ratio can be used to categorize acid rain into three types: sulfuric acid rain (SAR), mixed acid rain (MIX), and nitric acid rain (NAR). China is the third greatest heavy acid deposition area in the world [2]. Although regions affected by acid rain have decreased in recent years, China’s economic and social development is still intensely constrained. In southern China, the most common acid rain is SAR, with a high amount of SO42− [3]. However, due to the rapid increase in the number of motor vehicles, the NOx from exhaust gases leads to an increase in the nitrate concentration of acid rain [4]. The multi-year average precipitation pH value in the Yangtze River Delta region was 4.87 ± 0.28. Also, the [SO42−]/[NO3−] ratio has decreased from 7.5 in the 1990s to about 2.0 recently, indicating that acid rain in the region gradually changed from SAR to MIX [5]. Between 1997 and 2020, the multi-year average pH value of precipitation in urban and suburban areas of Beijing was 5.74 ± 0.67 and 6.53 ± 0.54, respectively, and the [SO42−]/[NO3−] ratio decreased from 3.3 to 0.9, indicating a gradual transition in the type of acid rain pollution from SAR to NAR [6]. Therefore, the current Chinese acid rain presents SAR, MIX, and NAR types [7,8].
Acid rain is harmful to plants, first manifested in the damage to the aboveground parts. Acid rain stress can inhibit the height growth of plants, and the degree of inhibition is highly correlated with pH. For example, a study has shown that acid rain with a pH below 3.0 negatively impacts crops and most herbaceous plants [9]. When simulating acid rain treatment on Camellia sinensis, a proportional relationship was found between the acid rain intensity and its inhibitory effect on seedling height. The threat of acid rain to plants is also reflected in the impairment of photosynthesis and the antioxidant enzyme system. For example, the chlorophyll content of Pinus massoniana and Cunninghamia lanceolata decreased significantly after acid rain stress at pH 4.0 and pH 2.5 [9]. The net photosynthetic rate, stomatal conductance, and transpiration rate of Pleioblattus fortunei were found to decrease with the increase in acid rain concentration, while the intercellular CO2 concentration increased [10]. As the product of membrane lipid peroxidation, Malondialdehyde (MDA) was found to be significantly increased in Elaeocarpus glabripetalus under acid rain at pH 3.0 [11]. Plants enhance their antioxidant defense system in response to oxidative stress induced by reactive oxygen species (ROS) production [12], such as increasing enzymatic and non-enzymatic antioxidant activities to sustain ROS, which was confirmed in a study on the effect of acid rain on Helianthus annuus [13]. Nitrogen metabolism, directly involved in protein synthesis and catabolism, is also disrupted when exposed to acid rain. For example, as the intensity of acid rain increased, the free proline of Lactuca sativa and Brassica chinensis increased first, and then decreased [14].
Plants usually show varying degrees of tolerance to different types of acid rain. The study of Horsfieldia hainanensis found that with the change in rain type from SAR to NAR, the negative impact on leaves was reduced and began to affect the underground root system of the plant [15]. Some simulation experiments showed that SAR had stronger stress on the growth of Arabidopsis thaliana, Liquidambar formosana, and Schima superba seedlings than NAR [16,17].
In response to acid rain stress, plants have developed sophisticated sensory and signaling mechanisms to regulate ion homeostasis. It has been found that acid rain stress can alter the expression of genes related to primary metabolisms, such as nitrogen, sulfur, amino acids, photosynthesis, and reactive oxygen species metabolism in plants. For example, the effects of acid rain on soybeans were investigated by transcriptome sequencing, and it was found that photosynthesis-related genes were suppressed and the expression of genes related to nitrogen metabolism, sulfur metabolism, and reactive oxygen species degradation pathways were up-regulated [18]. In the photosynthesis system of Arabidopsis thaliana, acid rain resulted in the down-regulated expression of some genes related to the photosynthetic electron transport chain as well as PSI and PSII constitutive proteins [19].
Ilex chinensis, a dioecious evergreen tree native to China, not only has medicinal value, but also has strong antibacterial and fungicidal effects. As a traditional medicinal herb, the dried leaves of I. chinensis contain many special metabolites, such as triterpenoids and triterpenoid saponins [20,21], flavonoids [22], and phenolic acids [23]. In addition, I. chinensis has many other economic values, such as extracting tannin and being utilized as an ornamental and honey plant [24]. At present, studies on the resistance of I. chinensis mainly focus on the physiological level, with limited research on the molecular level. It was found that I. chinensis had low resistance to heavy metal (Pb, Cd, Cu, Zn) stress, and that damage symptoms started from the 14th day of enrichment [25]. The experiment of subjecting I. chinensis to NaCl stress showed that its net photosynthetic rate, stomatal conductance, intercellular carbon dioxide concentration, and transpiration rate decreased, and the salt stress tolerance concentration was only 0.3% [26]. At present, the way I. chinensis responds at the physiological and molecular levels when faced with acid rain has not been reported. Therefore, the main objectives of this paper were to analyze the changes in photosynthetic physiology, oxidative stress biomarkers, antioxidant enzyme activities, and nitrogen metabolism in I. chinensis under different types of acid rain. Transcriptome sequencing on samples with the most significant physiological changes were conducted to explore gene expression differences under different types of acid rain treatments, and the key genes and related metabolic regulatory pathways were identified. Our research results elucidate the response mechanisms of I. chinensis to acid rain stress from both physiological and molecular perspectives. Our research results provide a scientific basis and practical reference for stress-resistant breeding and cultivation management of this species.
2. Materials and Methods
2.1. Plant Materials and Growing Conditions
The plant materials for this experiment were wild species of Ilex chinensis collected from Tianmu Mountain in Hangzhou, Zhejiang Province, eastern China. We stored the collected seeds in low-temperature sand and obtained the seedlings of I. chinensis through seedling cultivation. Two-year-old seedlings of I. chinensis with a uniform height of 0.50 m were selected for research. The fresh weight of I. chinensis seedlings is 60–80 g, with a base diameter of 4–5 mm and 3–5 branches. A mixture of peat soil, coconut shells, and perlite in a volume ratio of 2:2:1 was used as the cultivation substrate, and the pH value of the substrate extract was between 6.2 and 6.5. The peat soil, coconut shell, and perlite were purchased from Qingdao Peatman International Import&Export Co, Ltd. (Qingdao, China) Each seedling was potted and placed in the greenhouse of Zhejiang Agriculture and Forestry University Donghu Campus Fruit and Tree Garden Experimental Base. During the experimental period, the total solar radiation was continuously measured as approximately 29.46 kcal/cm2 using the RS-TRA thermal total solar radiation sensor (RenKe, Jinan, China) and CR1000X data collector (Campbell Scientific, Logan, UT, USA) from September to November 2022, and temperatures at the study site ranged from 6 °C to 28 °C.
2.2. Treatment of Simulated Acid Rain
Concerning the relevant experimental literature [27,28,29,30], three types of simulated acid rain treatments were set up: SAR (H2SO4:HNO3 (v/v) = 8:1), NAR (H2SO4:HNO3 (v/v) = 1:8), MIX (H2SO4:HNO3 (v/v) = 1:1), and distilled water was served as CK (pH 7.0). Each type of acid rain had three acidity levels: pH 3.0, pH 4.5, pH 5.6, and 3 biological replicates were set for each treatment. A total of 300 pots of I. chinensis were randomly divided into 10 groups for simulated acid rain full drench spraying every 4 d, and 300 mL of acid rain was sprayed on each pot. Samples treated for 5, 15, 30, and 60 d were collected to measure physiological indexes, and samples treated for 5 d and 15 d were used for transcriptome determination.
2.3. Determination of Height Growth Rate and Specific Leaf Weight
On the 0th and 60th days of acid rain treatment, the height of the main branch of I. chinensis was measured using a flexible tape with an accuracy of 0.1 cm to calculate the relative height growth rate.
The I. chinensis leaves of each treatment were randomly taken for the measurement of specific leaf weight (SLW). Leaf area (LA) was measured by analyzing leaf images scanned using Lamina software. Leaf dry weight (LDW) was determined after drying the leaves in a 60 °C oven until the weight remained constant. SLW (g m−2) = LDW/LA.
2.4. Determination of Photosynthetic Pigments and Photosynthetic Parameters
I. chinensis leaf samples (0.10 g) were extracted in 95% ethanol solution (10 mL) until the leaves turned white, and the OD values were measured at wavelengths of 470, 645, and 663 nm on a Microplate Reader (Spark; Tecan, Männedorf, Switzerland). The equations for chlorophyll and carotenoid content were as follows:
where V is the volume of chlorophyll extract in mL, and W is the fresh weight of leaves in grams.
Chlorophyll a (mg/g) = (12.7OD663nm − 2.69OD645nm) × [V/(1000 × W)],
Chlorophyll b (mg/g) = (22.9OD645nm − 4.63OD663nm) × [V/(1000 × W)],
Carotenoid (mg/g) = (1000OD470nm − 2.05Ca − 114.8Cb)/245,
Utilizing a portable photosynthesis system (Li-6400; LI-COR, Lincoln, NE, USA), the determination was conducted in the leaf chamber set at a constant temperature of 25 °C, with a CO2 concentration of 400 μmol/mol, an air velocity of 500 μmol/s, a relative humidity of 50%, and light intensity set at 800 μmol m−2 s−1. Each treatment had three randomly selected plants, and the net photosynthetic rate, stomatal conductance, and transpiration rate data were recorded after stabilization.
2.5. Determination of MDA and SOD
MDA content was determined by the thiobarbituric acid reaction, and SOD activity was determined by the nitro-blue tetrazolium method. The specific reaction system and calculation formula of each index referred to Wang [31].
2.6. Determination of Nitrogen Metabolism-Related Products and Enzymes
Glutamine synthetase activity and nitrate nitrogen content were determined using the reagent kit from Suzhou Michy Biomedical Technology Company (Suzhou, China). The proline content was determined via the ninhydrin reaction, and the specific reaction system and calculation formula referred to Wang [31].
2.7. Transcriptome Sequencing Analysis
The S3.0, N3.0, and M3.0 samples with the most significant changes in physiological indicators after 5 d and 15 d of acid rain treatment and CK were selected for transcriptome analysis. Total RNA was extracted from I. chinensis leaves by TRIzol reagent (Thermo Fisher Scientific, Waltham, MA, USA), with three replicates per sample, and its purity and quantity were checked via a bioanalyzer (Agilent, Santa Clara, CA, USA). Due to the low alignment rate of I. chinensis to existing genomes, the analysis of transcriptome was conducted without the reference genome. NovaseqTM 6000 (Illumina, San Diego, CA, USA) was used to sequence samples in PE150 mode, and Trinity was used to perform gene de novo assembly on sequencing data to obtain unigenes and transcripts. Using DIAMOND for functional annotation of unigenes, and six databases (NCBI_NR, GO, KEGG, Pfam, SwissProt, and eggNOG) were used to perform the annotation, with an E-value < 0.00001.
The screening of differentially expressed genes (DEGs) followed the criteria of fold change (FC) ≥ 1 and false discovery rate (FDR) < 0.05. The gene names were derived from the annotation information of the SwissProt database. To classify the function of DEGs, GO and KEGG analysis were further conducted.
2.8. Statistics
We used Microsoft Office Excel 2018 to preprocess all data. SPSS 26.0 was used to test the significance of the difference (p < 0.05), and GraphPad Prism 8 software was used to draw the relevant graphs. The DEGs enrichment analysis plots, Venn diagrams, clustering heatmaps, and weighted gene co-expression network analysis (WGCNA) were made by the online drawing tool of the Lianchuan Biological Cloud Platform https://www.omicstudio.cn/index (accessed on 12 January 2024), and the gene co-expression networks were constructed using Cytoscape 3.9.1 software.
3. Results
3.1. Growth Response of I. chinensis Under Acid Rain Stress
Three types of acid rain stress all exerted certain inhibitory effects on the height growth of I. chinensis. The results showed that the inhibitory effect of SAR and MIX treatments on the height growth of I. chinensis was greater than that of NAR treatment. There was no significant difference in the relative growth rates of plant height among the three types of acid rain treatments at different acidity levels (p > 0.05), but they were all significantly lower than CK, with a decrease ranging from 12.96% to 34.12% (Figure 1).
Figure 1.
Effects of three types of acid rain stress on high growth rate of I. chinensis. Different letters indicate significant difference between different treatment groups under the same treatment time (p < 0.05).
Under acid rain stress, the specific leaf weight (SLW) of I. chinensis leaves was characterized by an initial decline, followed by a gradual recovery as treatment time increased. At 5 d of treatment, the SLW of I. chinensis under SAR at pH 3.0 was significantly lower than that of CK, with a decrease of 5.23%. At 15 d, the SLW of I. chinensis treated with three types of acid rain was subjected to the most severe stress at pH 3.0, which were all significantly lower than CK, with reductions of 12.35%, 5.07%, and 8.74%, respectively. At 30 d and 60 d of treatment, there was no significant difference in SLW between CK and most acid rain treatments (p > 0.05) (Table 1). It indicated that acid rain stress had an adverse effect on the SLW of I. chinensis in the early stage, but as the treatment time was prolonged, the defense ability of I. chinensis leaves began to recover.
Table 1.
Effects of three types of acid rain stress on SLW of I. chinensis.
3.2. Photosynthetic Characteristics of I. chinensis Under Acid Rain Stress
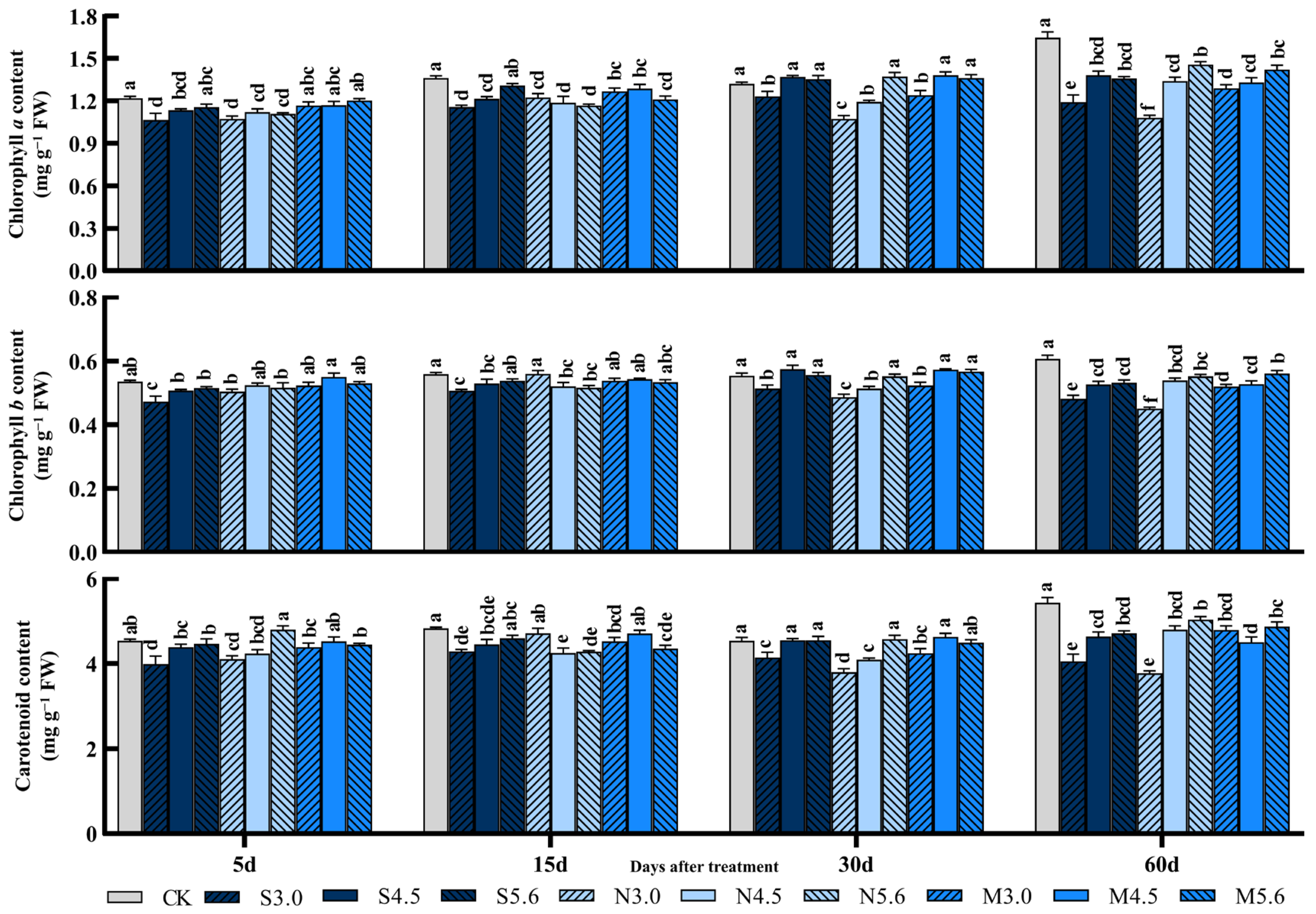
With the increase in acidity and treatment time, the photosynthetic pigment content of I. chinensis in most groups decreased. At pH 3.0, the content of chlorophyll a was significantly inhibited by MIX treatment at 15 d, while SAR and NAR treatments had the greatest effect on the inhibition of chlorophyll a content at 60 d, 27.71% and 21.71% less than CK, respectively. At different time points, NAR with pH 4.5 had a more severe impact on chlorophyll a content than the other two types, with reductions of 8.17%, 12.90%, 9.70%, and 18.59% compared to CK (p < 0.05). The chlorophyll b content of I. chinensis treated with SAR at pH 3.0, decreased by 11.73%, 9.36%, 7.19%, and 20.69% compared to CK, respectively. The three acid rain treatments with pH 4.5 resulted in varying levels of reduction in chlorophyll b content, and the decrease was greater under SAR and NAR treatments than that of MIX treatment. The chlorophyll b content decreased to varying degrees under three treatments at pH 4.5. While at pH 5.6, the chlorophyll b content of each type of acid rain treatment showed no significant difference compared to CK at 5 d and 30 d, but the content significantly decreased compared to CK at 60 d. The carotenoid content of I. chinensis treated with SAR at pH 3.0 was significantly lower than that of CK with a decrease ranging from 8.67% to 25.41%. The carotenoid content in I. chinensis under MIX and NAR showed no significant difference compared to CK at 5 d and 15 d, respectively, but the content was significantly lower than CK at other time points (Figure 2).
Figure 2.
Effects of three types of acid rain stress on photosynthetic pigments in I. chinensis. Different letters indicate significant difference between different treatment groups under the same treatment time (p < 0.05).
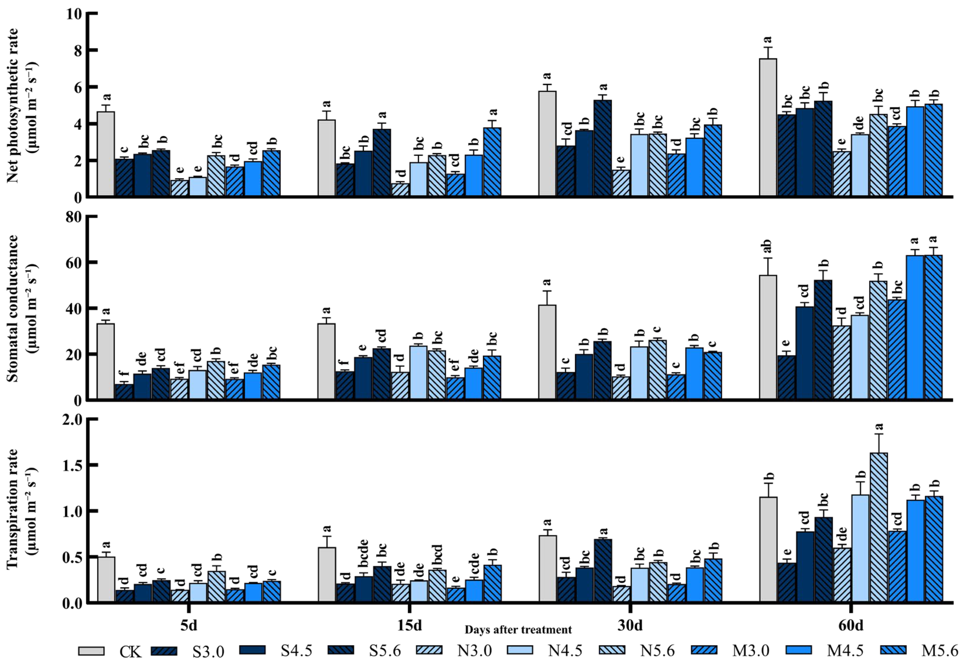
After 5 d of treatment, the net photosynthetic rate of I. chinensis leaves significantly decreased, and the pH 3.0 and pH 4.5 treatments had a greater inhibitory effect on the net photosynthetic rate than the pH 5.6 treatment. At 15 d, the net photosynthetic rate of I. chinensis leaves treated with SAR was not significantly lower at pH 3.0 than at pH 4.5. The lowest rate was observed at pH 3.0 in MIX treatment and NAR treatment, showing that the net photosynthesis rate gradually decreased as the acidity of acid rain decreased. At 30 d, no significant difference was observed in the net photosynthetic rate between SAR treatment with pH 5.6 and CK, while MIX and NAR treatments showed CK > pH 4.5 > pH 3.0. After 5, 15, and 30 d of treatment, the stomatal conductance of I. chinensis leaves treated with each acid type significantly decreased, with the greatest decrease at pH 3.0. The stomatal conductance decreased by 78.91% compared to CK after 5 d of SAR treatment and decreased by 62.27% and 62.98% after 15 d of MIX and NAR treatments, respectively. At 60 d, the stomatal conductance under SAR and NAR treatments showed CK > pH 4.5 > pH 3.0, and the difference between MIX treatment and CK was not significant. The transpiration rate of I. chinensis leaves treated with each acid type at three pH values was significantly reduced after 5 d and 15 d treatments. At 30 d, only the transpiration rate of leaves treated with SAR at pH 5.6 showed no significant difference compared to CK, while the transpiration rates of all other treatments were significantly lower than CK (Figure 3).
Figure 3.
Effects of three types of acid rain stress on photosynthetic parameters of I. chinensis. Different letters indicate significant difference between different treatment groups under the same treatment time (p < 0.05).
3.3. MDA Content and SOD Activity of I. chinensis Under Acid Rain Stress
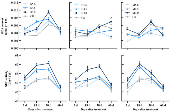
Acid rain stress promoted the accumulation of MDA in I. chinensis leaves, but the degree of impact varied significantly among different types of acid rain. The effect of SAR treatment was greater than that of MIX and NAR treatments. The MDA content of leaves under SAR treatment increased significantly during the first three treatment time points. The inhibitory rate of MDA content in I. chinensis leaves under NAR treatment was higher at pH 3.0 and pH 4.5 than at pH 5.6, but it showed irregular fluctuations at different treatment times. At pH 3.0, the MDA content in MIX-treated leaves only significantly increased at 5 d and 30 d (30.00% and 11.43%, respectively) (Figure 4).
Figure 4.
Effects of three types of acid rain stress on MDA content and SOD activity of I. chinensis. “*” indicates significant difference between acid rain treatment and CK under the same treatment time (p < 0.05).
During the whole experiment, the SOD activity in I. chinensis leaves under each acid type treatment at different acidities increased the most at pH 3.0 but decreased with the extension of treatment time. At pH 4.5 and pH 5.6, most of the I. chinensis treated with SAR and MIX showed a significant increase in SOD activity in the early stages and then began to decrease (Figure 4).
3.4. Effects of Acid Rain on I. chinensis of Enzymes and Products Related to Nitrogen Metabolism
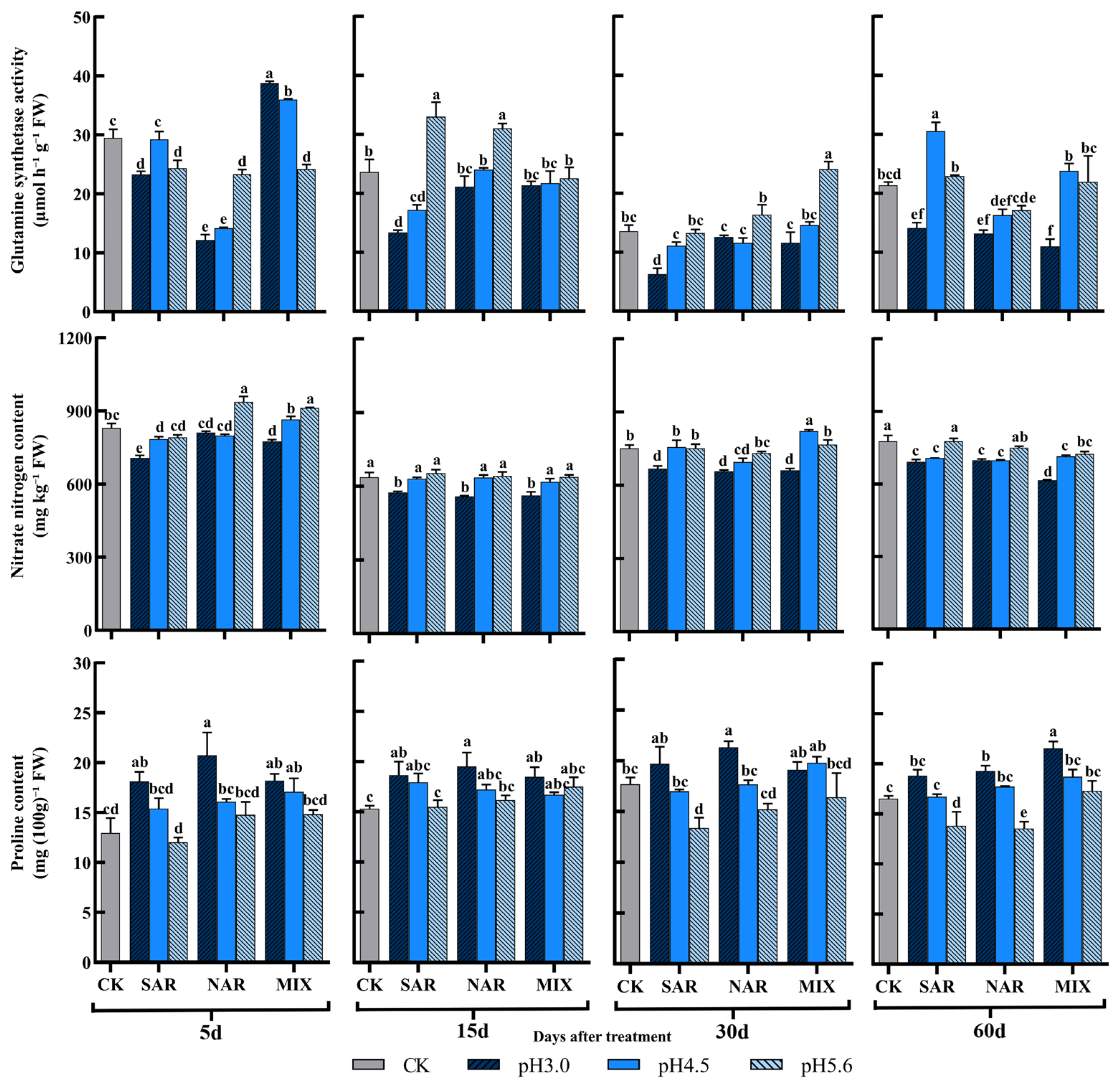
At pH 3.0, the glutamine synthetase activity in I. chinensis leaves after SAR treatment decreased by 21.07%, 43.48%, 53.58%, and 34.05% compared with CK. NAR treatment significantly increased the activity of glutamine synthetase at 5 d and 60 d, which was 0.41 and 0.62 times compared to CK, but the activity was not significantly lower than CK at 15 d and 30 d. The glutamine synthetase activity under the MIX treatment showed a gradually decreasing trend and was significantly lower than CK at 60 d (48.43%). At pH 4.5, all acid rain types had no significant inhibitory effects at 30 d and 60 d, but the activity under SAR and NAR treatments was significantly lower than CK at 5 d and 15 d, respectively. At pH 5.6, compared with CK, the glutamine synthetase activity under all acid rain types decreased significantly at 5 d, but had no substantial inhibitory effect from 15 d (Figure 5).
Figure 5.
Effects of three types of acid rain stress on glutamine synthetase activity, nitrate nitrogen content and proline content of I. chinensis. Different letters indicate significant difference between different treatment groups under the same treatment time (p < 0.05).
During the treatment, the nitrate nitrogen content of each acid type treatment at pH 3.0 was significantly reduced compared with CK. At 15 d, there was no significant difference in nitrate nitrogen content between CK and the three acid rain treatments with pH 4.5 and pH 5.6, but at 60 d, the content was significantly reduced under pH 4.5 treatment compared to CK. In general, the nitrate nitrogen content of I. chinensis leaves treated with pH 4.5 was significantly lower than that treated with pH 5.6 (Figure 5).
At pH 4.5 and pH 5.6, each acid rain type had little effect on the content of proline in I. chinensis leaves, but at pH 3.0, the content remained high after NAR treatment at different time points, increasing by 60.12%, 27.49%, 20.49%, and 16.76%. SAR treatment increased the proline content to 1.40 and 1.22 times that of CK at 5 d and 15 d. The proline content of MIX-treated I. chinensis leaves was significantly increased at 5, 15, and 60 d (Figure 5).
3.5. Illumina Sequencing and Correlation Between Samples
To detect the molecular mechanism of I. chinensis in response to different types of acid rain stress, 24 RNA samples were extracted from I. chinensis leaves for sequencing. Approximately 167.66 GB of raw reads were generated, 1,117,534,124 pieces of raw reads were obtained, and 1,069,011,748 pieces of clean reads were obtained after removing low-quality reads. The proportion of clean reads and bases with a quality value (Q20) ≥ 20 were more than 93.97% and 96.13%, respectively, and the GC contents were more than 44.57% (Table 2), indicating that the sequencing results were of good quality.
Table 2.
Summary of sample sequencing data.
It was shown (Figure 6) that the three biological replicates of each treatment have strong correlation coefficients, thus indicating that the samples collected in this study had high homogeneity.
Figure 6.
Heat map of sample correlation.
3.6. DEGs Identification
80,166 unigenes were functionally annotated in six databases. The unigenes annotated to GO, KEGG, Pfam, Swiss Prot, eggNOG, NR, and TF libraries were 34,863, 13,240, 30,729, 29,101, 38,161, 36,495, and 1586, respectively (Table 3).
Table 3.
Statistics of the annotation results.
A total of 372 (249 up-regulated, 123 down-regulated), 3447 (2175 up-regulated, 1272 down-regulated), 4755 (2199 up-regulated, 2556 down-regulated), 133 (10 up-regulated, 123 down-regulated), 371 (239 up-regulated, 132 down-regulated), and 85 (18 up-regulated, 67 down-regulated) DEGs were isolated from C5_vs_S5, C5_vs_N5, C5_vs_M5, C15_vs_S15, C15_vs_N15, and C15_vs_M15 (Figure 7A). The Venn diagrams show that there are 314 shared DEGs between C5_vs_S5, C5_vs_N5, and C5_vs_M5 (Figure 7B), and 21 shared DEGs between the other three groups (Figure 7C).
Figure 7.
Distribution of DEGs in six comparison groups of I. chinensis under three types of acid rain stress. (A) DEGs up- or down-regulation quantity map. (B) Venn diagram of DEGs treated for 5 d. (C) Venn diagram of DEGs treated for 15 d.
3.7. GO Enrichment Analysis of DEGs
The GO enrichment analysis found that, at 5 d of acid rain stress, the DEGs were significantly enriched in the regulation of plant cell components, such as extracellular exosome, extracellular space, extracellular region, cell membrane, and protein binding, etc. (Figure 8A–D). At 15 d, the DEGs were enriched in different biological pathways. SAR was mainly enriched in calcium-transporting ATPase activity, phenylalanine ammoniac-lyase activity, cinnamic acid biosynthesis process, etc. NAR was mainly enriched in translation, structural constituent of cuticle, calcium ion binding, etc. MIX was mainly enriched in the response to high light intensity, heat, hydrogen peroxide, etc. The shared DEGs of the three comparison groups were mainly enriched in the protein storage vacuole membrane, serine O-acetyltransferase activity, and scopoletin glycosyltransferase activity, etc. (Figure 8E–H).
Figure 8.
GO enrichment analysis of DEGs in response to acid rain stress. (A) S5_vs_C5; (B) M5_vs_C5; (C) N5_vs_C5; (D) the shared DEGs of S5_vs_C5, M5_vs_C5, and N5_vs_C5; (E) S15_vs_C15; (F) M15_vs_C15; (G) N15_vs_C15; (H) the shared DEGs of S15_vs_C15, M15_vs_C15, and N15_vs_C15.
3.8. KEGG Enrichment Analysis of DEGs
To further investigate the metabolic pathways of DEGs, KEGG enrichment analysis was performed on six comparison groups. This included the same metabolic regulatory pathways as well as their respective major regulatory pathways in response to three types of acid rain stress in I. chinensis. At 5 d, SAR was mainly enriched in ribosomes, oxidative phosphorylation, nucleoplasmic transport, isoquinoline alkaloids biosynthesis, and glycolysis/glycolysis, etc. NAR was mainly enriched in ribosomes, glycolysis/glycolysis, oxidative phosphorylation, and citric acid cycle (TCA cycle), etc. MIX was mainly enriched in ribosomes, flavonoid biosynthesis, cysteine and methionine metabolism, and phenylalanine metabolism, etc. The shared DEGs of three comparison groups were mainly enriched in ribosomes, oxidative phosphorylation, and glycolysis/glycolysis, etc. (Figure 9A–D). At 15 d, SAR was mainly concentrated in plant–pathogen interaction, phenylpropanoid biosynthesis, and phenylalanine metabolism, etc. NAR was mainly concentrated in ribosomes, arachidonic acid metabolism, and plant–pathogen interaction, etc. MIX was mainly concentrated in protein processing in the endoplasmic reticulum, plant–pathogen interaction, and flavonoid and flavonol biosynthesis, etc. There were few genes involved in the same metabolic pathway, which were mainly enriched in sulfur metabolism, RNA polymerase, cysteine and methionine metabolism, etc. (Figure 9E–H).
Figure 9.
KEGG enrichment analysis of DEGs in response to acid rain stress. (A) S5_vs_C5; (B) M5_vs_C5; (C) N5_vs_C5; (D) the shared DEGs of S5_vs_C5, M5_vs_C5, and N5_vs_C5; (E) S15_vs_C15; (F) M15_vs_C15; (G) N15_vs_C15; (H) the shared DEGs of S15_vs_C15, M15_vs_C15, and N15_vs_C15.
3.9. Candidate Genes Involved in the Response of I. chinensis to Acid Rain Stress
Based on KEGG enrichment analysis, the shared DEGs involved in the response to three types of acid rain stress were identified. After excluding unknown genes, a total of 46 genes (44 genes for 5 d treatment, 2 genes for 15 d treatment) were identified. At 5 d, TRINITY_DN36363_c0_g1 (Tat), a gene jointly involved in the biosynthesis of isoquinoline alkaloids and the biosynthesis of trotane, piperidine and pyridine alkaloids, and TRINITY_DN39150_c0_g1 (TYDC2), a gene associated with the biosynthesis of isoquinoline alkaloids, were down-regulated under acid rain treatments compared with CK, whereas the other genes were up-regulated. These genes showed a greater expression extent in MIX and NAR stress than in SAR stress. Moreover, 31 related genes, such as TRINITY_DN1923_c0_g2 (RPS13), TRINITY_DN3628_c0_g1 (RPS17), and TRINITY_DN10954_c0_g2 (UBA52) were mainly involved in the ribosomal pathway, while 9 genes such as TRINITY_DN3051_c0_g3 (MT-CO1), TRINITY_DN88018_c0_g1 (MT-CO2), TRINITY_DN13611_c0_g2 (MT-CYB), TRINITY_DN50649_c0_g1 (MT-ND2), TRINITY_DN46185_c0_g5 (MT-ND4), TRINITY_DN13611_c0_g1 (MT-ND5) and TRINITY_DN23740_c0_g2 (PPA1) were involved in oxidative phosphorylation, and only TRINITY_DN6113_c1_g2 (SDR) was involved in the biosynthesis of tropane, piperidine, and pyridine alkaloids (Figure 10A). At 15 d, TRINITY_DN16244_c1_g1 (SAT5) was involved in sulfur metabolism, cysteine and methionine metabolism, TRINITY_DN3006_c0_g1 (SRC2) was involved in purine metabolism and pyrimidine metabolism, both of which were down-regulated (Figure 10B). Through sequence alignment analysis, the genes identified in this study are homologous to the genes in parentheses.
Figure 10.
Expression heatmap of shared DEGs in key KEGG pathways under three types of acid rain stress at 5 d (A) and 15 d (B).
3.10. Screening of Core Genes Involved in Acid Rain Related to I. chinensis by WGCNA
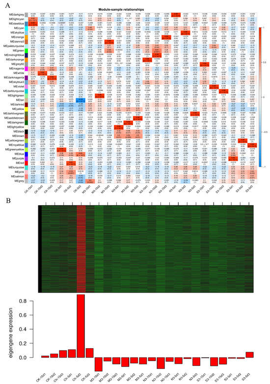
The aforementioned analysis revealed that I. chinensis adapted to acid rain stress through altering the gene expression of related metabolic pathways, including ribosome biogenesis, glycolysis/gluconeogenesis, and oxidative phosphorylation, thereby enhancing their metabolic efficiency and defense mechanisms. However, the gene regulatory network in the common response of I. chinensis to acid rain stress at 5 and 15 days remained unclear, so WGCNA was applied to explore the key genes. Thirty-eight co-expression modules were identified from the hierarchical clustering tree, and they were labeled with different colors (Figure 11).
Figure 11.
Co-expression module cluster tree.
The correlation maps of the sample modules were plotted (Figure 12A), and it was found that the expression patterns of the Red module genes were more regular. The characteristic genes showed obvious negative correlations after acid rain treatment. It could be hypothesized that genes in the Red module might be involved in the important regulation of I. chinensis under acid rain stress. Based on the heat map and column chart of characteristic gene expression in the Red module, the dynamic expression trend of the module genes was analyzed, and it was found that the correlation of the samples changed consistently (Figure 12B).
Figure 12.
(A) Module sample correlation map. (B) Gene expression pattern map of Red module.
GO and KEGG enrichment analysis were conducted to further investigate the molecular mechanism of genes in the Red module. The GO enrichment analysis revealed that the Red module was mainly concentrated in plasma membrane, membrane, protein phosphorylation, protein serine/threonine kinase activity, and ATP binding, etc. (Figure 13A). In the KEGG pathway, the Red module was mainly concentrated in plant–pathogen interaction, MAPK signaling pathway-plant, protein processing in the endoplasmic reticulum, ubiquitin mediated proteolysis, plant hormone signal transduction, cysteine and methionine metabolism, etc. (Figure 13B).
Figure 13.
(A) GO enrichment analysis of Red module; (B) KEGG enrichment analysis of Red module.
The Cytohubba plug-in in Cytoscape 3.9.1 was used to select the top 50 genes in the Red module. After excluding unknown genes, a total of 37 genes were selected as candidate genes and combined with KEGG enrichment analysis to search for hub genes (Figure 14). It was found that in the Red module, TRINITY_DN13584_c0_g1 (CML38) and TRINITY_DN164_c0_g4 (At4g27190) were the key genes in plant–pathogen interaction; TRINITY_DN654_c0_g1 (MT-CO2) and TRINITY_DN13611_c1_g2 (MT-ND5) were the key genes in oxidative phosphorylation; TRINITY_DN21290_c0_g2 (TOGT1) was the key gene in carotenoid biosynthesis; TRINITY_DN44216_c0_g1 (MDH1) was the key gene in pyruvate metabolism and carbon fixation in photosynthetic organisms. These hub genes may play a crucial role in the process of acid rain of I. chinensis and other abiotic stresses.
Figure 14.
Gene regulatory network of Red module. Darker red indicates higher gene connectivity.
4. Discussion
4.1. Physiological Response of I. chinensis Under Different Types of Acid Rain
Acid rain is a global environmental problem, which is prone to cause adverse effects on vegetation ecosystems, such as the inhibition of seed germination, plant growth and development, and crop yield, etc. And long-term high concentrations of acid rain can even lead to plant death. However, little research has been reported on its effect on the stress response of I. chinensis.
The effect of acid rain on plants is initially reflected in morphological changes. Our study found that the height growth rate of I. chinensis was significantly reduced after three types of acid rain treatments, which is consistent with previous research, and indicates that acid rain has a strong suppressive effect on plant height [32]. In addition, this study found that SAR and MIX have a greater inhibitory effect on the height growth rate of I. chinensis, which is inconsistent with the research results of Schima superba, Cyclobalanopsis glauca, and Cinnamomum camphora [33]. We speculate that different plant species may undergo specific adaptive changes when subjected to different types of acid rain, or differences in the utilization efficiency of NO3− between different plants species may affect changes in height. Specific leaf weight (SLW) is an important parameter for evaluating plant adaptation to stress, and different abiotic stresses can cause different changes in the specific leaf weight of plants. Water stress and cadmium stress decreased the SLW of Miscanthus sacchariflorus [34] and wheat [35], respectively, while salt stress (NaCl, Na2SO4, and NaHCO3) increased the SLW of Glycyrrhiza uralensis [36]. However, research on changes in SLW under acid rain stress is limited at present. In this study, three types of acid rain had a significant inhibitory effect on SLW of I. chinensis. We infer that due to the inhibition of photosynthesis in I. chinensis under the influence of acid rain, the products of photosynthesis are reduced, resulting in a decrease in SLW.
The change in photosynthetic pigment content reflects the situation of plant photosynthesis ability and is also one of the important indicators of plant stress resistance [37]. Relevant studies have shown that the photosynthetic pigment content of different plant leaves subjected to acid rain stress has a common response and usually decreases to different degrees [38]. In this study, the photosynthetic pigment content of I. chinensis decreased in most treatment groups, and was most severely inhibited at pH 3.0, which was consistent with previous studies [39]. In addition, the experiment found that SAR and NAR had a greater effect on photosynthetic pigments in I. chinensis than MIX, which may be due to the differences in ion concentration [40].
Leaf photosynthesis parameters, including net photosynthetic rate, transpiration rate and stomatal conductance, etc., can accurately reflect the dynamic changes in plant photosynthesis and the response to external environmental factors. As acid rain concentration rises, the photosynthesis of plants may show opposite or insignificant change, and treatment time also has significant impact on the photosynthetic rate [41,42]. For example, under acid rain stress, stomatal conductance and photosynthetic rate in barley leaves are significantly reduced, leading to the inactivation of photosynthetic reaction center [43]. In this study, the net photosynthetic rate, stomatal conductance, and transpiration rate of I. chinensis showed significant differences, similar to the change trend of photosynthetic pigment, with the most serious inhibitory effects at pH 3.0. In a similar study, when spraying acidic solutions with pH 4.0 and pH 4.5 on Phaseolus vulgaris, its various photosynthetic parameters were also significantly reduced [44]. In this study, after 60 days of NAR treatment at pH 5.6, the transpiration rate of I. chinensis was higher than that of CK. We speculate that due to the low acidity of NAR, I. chinensis had adapted to this treatment after 60 days, and a certain concentration of NO3− required I. chinensis to enhance transpiration to promote its transport within the plant. Therefore, the transpiration rate was higher than that of CK. When under the same environmental conditions, the transpiration rate of leaves is mainly affected by stomatal conductance. Photosynthesis is complex and influenced by chloroplasts, which are sensitive to adverse conditions. Acid rain not only reduces the content of photosynthetic pigments in chloroplasts but also decreases the activity of key enzymes in photosynthesis. For example, after the simulated acid rain treatment of Dimorcarpus longana Lour., the activity of H+-ATPase in chloroplasts decreased, which affected the formation and degradation of ATP [45]. This led to the disruption of the electron transport chain and thus weakened the ability of chloroplasts to utilize light energy. In the study of the effects of simulated acid rain on tomatoes, it was found that acid rain stress significantly reduced the activity of Ribulose-1,5-bisphosphate carboxylase/oxygenase (Rubisco), leading to a decrease in photosynthetic rate [46]. In this experiment, after 60 days of three types of acid rain treatment at pH 5.6 (except for the NAR treatment), there was no significant difference in stomatal conductance and transpiration rate compared with CK, but the net photosynthetic rate was significantly lower than that of CK. This may be due to the conformational changes in ATPase and related photosynthetic enzymes in chloroplasts caused by H+ in acid rain, which result in a decrease in their activity and inactivation, thereby affecting the photosynthetic rate. The research on the changes in photosynthetic enzyme activity of I. chinensis under acid rain stress is limited, and it is worth exploring.
Under adverse conditions, the dynamic equilibrium state of redox is disrupted in plant organs, and membrane lipid peroxidation occurs, damaging the cytoplasmic membrane [47]. MDA, as one of its products, represents the damage degree of the cell membrane structure and the strength of the plant response to adverse conditions. A previous study on Morus alba seedlings found that acid rain at pH 3.5 damaged its leaf surface, promoting an increase in membrane conductivity and an accumulation of MDA [48]. It was demonstrated that acid rain stress caused an increase in MDA content in Wedelia trilobata, Mikania micrantha, and Chromolaena odoratum [49]. It also resulted in the accumulation of MDA in I. chinensis in this study, but the degree of effect was different. The accumulation of MDA after SAR was greater than that of MIX and NAR treatments, indicating that SAR caused more serious membrane damage to I. chinensis. SOD is a representative enzyme of plant antioxidant system, whose activity has a certain relationship with the stress resistance of plants. In this study, SOD activity increased significantly during the early stage of treatment and decreased to different degrees in the later stage, which was consistent with the studies on Salvia japonica and Hosta ventricosa [50,51]. It indicates that acid rain stress can stimulate the enhancement of antioxidant system activity in I. chinensis for resistance and defense, but when the stress exceeds the cellular tolerance, it will affect the synthesis and lead to a decline in its activity.
Nitrate nitrogen is the main nitrogen source in plants; glutamine synthetase catalyzes the conversion of inorganic nitrogen to organic nitrogen; and the free amino acid content represents the nitrogen absorbed and assimilated by plants, so it is of great significance for the research on plant nitrogen nutrition and metabolism. High-intensity acid rain has been confirmed to weaken the activity of glutamine synthetase and increase the content of free amino acids [51]. Similar results were obtained in this study. At pH 3.0, the glutamine synthetase activity in I. chinensis leaves under SAR was maintained at a lower level at different time points, and the nitrate nitrogen content was significantly reduced in each acid-type treatment compared with CK. The free amino acid content in I. chinensis leaves maintained a higher level after NAR treatment. This suggests that acid rain stress may simultaneously inhibit protein synthesis and accelerate its catabolic process, leading to the formation of large amounts of free amino acids to maintain normal nitrogen metabolism. Taken together, these results demonstrate that acid rain affects the physiology of I. chinensis by influencing photosynthetic physiology, antioxidant capacity, and nitrogen metabolism.
Acid rain not only causes damage to plants by directly depositing on their leaves, but also indirectly affects plant roots by acidifying the soil. Damage to the root system can hinder the growth and development of plants, and even lead to plant death. A study found that the total root length and total root surface area of Cunninghamia lanceolata (Lamb.) Hook. decreased when treated with acid rain [52]. After SAR treatment with pH 3.0 and 4.0, the root dry weight of Lycopersicon esculentum Mill. decreased significantly, and the content of soluble phenol, one of the antioxidant substances, increased significantly [53]. The stability of the root membrane in Oryza sativa L. exposed to acid rain has also been found to be compromised [54]. In addition, acid rain can also affect the activity of antioxidant enzymes in plant roots [55], as well as the absorption of nutrients such as water, nitrogen, phosphorus, and potassium [56]. In order to comprehensively reflect the response of I. chinensis to acid rain stress, further research is needed on its root growth, physiological and biochemical changes.
4.2. Transcriptome Response of I. chinensis Under Different Types of Acid Rain
Transcriptome research can reveal the transcriptional response status of plant genes at the overall level, so it is commonly used to analyze DEGs between experimental groups [57]. When faced with stress, plants regulate metabolic and osmotic balance to adapt to stress by altering metabolic pathways, which are reflected through the transcriptome [58]. Compared with GO analysis, KEGG analysis focuses more on displaying intermolecular metabolic pathways and signaling networks. It is of great importance to explore the metabolic pathways of I. chinensis under acid rain stress, so this study analyzed the expression patterns of DEGs and shared DEGs under three types of acid rain treatments in key KEGG regulatory pathways.
When subjected to acid rain stress for 5 days, the shared DEGs of three types of acid rain were mainly enriched in ribosomes, isoquinoline alkaloids biosynthesis, tropane, piperidine and pyridine alkaloids biosynthesis, and oxidative phosphorylation pathways. The ribosome metabolism pathway is a form of protein synthesis, while oxidative phosphorylation belongs to energy metabolism pathway. It was reported that the earliest metabolic responses of plants to abiotic stress include inhibiting protein synthesis and increasing protein folding and processing, and the stress becomes more severe, so energy metabolism will be affected [59,60]. These study results are similar to those of Celosia argentea under cadmium and manganese stress [61]. Isoquinoline alkaloids and tropane, piperidine and pyridine alkaloids have low levels in plants, but they will be instantaneously synthesized in large quantities when encountering environmental stress and biological infestation [62]. The synthesis of secondary metabolites such as alkaloids in Coptis chinensis has also been reported to be enhanced under acid rain [63], which were similar to this study. The related gene TRINITY_DN6113_c1_g2 (SDR) was up-regulated, indicating that I. chinensis resists acid rain stress by regulating its own alkaloid metabolism. At 15 d, the shared DEGs were enriched in sulfur metabolism, cysteine and methionine metabolism, purine metabolism, and pyrimidine metabolism pathways. Sulfur metabolism and cysteine and methionine metabolism play important roles in plant tolerance [64], which has been demonstrated in Arabidopsis thaliana’s response to acid rain stress [65], consistent with this study. But the related gene SAT was up-regulated in Arabidopsis thaliana, while TRINITY_DN16244_c1_g1 (SAT5) was down-regulated in this study. Purine and pyrimidine metabolism are closely involved in physiological processes such as energy metabolism and synthesis of primary secondary products in plants. For example, after being subjected to acid rain for two months, the expression of genes related to adenine metabolism was up-regulated in tea plants [66]. However, in this study, the gene TRINITY_DN3006_c0_g1 (SRC2) was down-regulated, which may be due to differences in acid rain treatment time or pH. In conclusion, acid rain can disrupt the metabolic pathways in I. chinensis, and as treatment time increases, the metabolic pathways gradually become more complex.
With the removal of the KEGG enrichment pathways of shared DEGs, the three acid rain treatments also caused different metabolic reactions. When treated for 5 d, the DEGs in SAR stress were significantly enriched in nuclear cytoplasmic transport, which is related to the transmission of plant stress signals, and glycolysis/gluconeogenesis, which is the main process of carbohydrate metabolism. It is similar to the results of Chenopodium quinoa under salt alkali stress [67], indicating that abiotic stress can induce internal stress signals in plants and activate their own carbohydrate metabolism for defense. At 15 d, the DEGs were significantly concentrated in plant–pathogen interaction, phenylpropanoid biosynthesis, phenylalanine metabolism, and plant MAPK signaling pathways, with most DEGs being down-regulated. The plant–pathogen interaction pathway is related to the accumulation of phytohormones, HR response, and changes in the activity of disease resistant enzymes. Phenylpropanoid biosynthesis and phenylalanine metabolism, the main secondary metabolic pathways in plants, can alleviate stress hazards and generate signaling molecules. MAPK signaling can regulate plant responses to stress such as salt, drought, and extreme temperature. Celosia argentea also adapts to manganese stress through the above pathways [68], which is consistent with this study results, indicating that carbohydrate metabolism and signal transduction are involved in maintaining the physiological activities of I. chinensis under SAR stress.
After 5 days of NAR stress, DEGs were significantly enriched in glycolysis/gluconeogenesis and citrate cycle (TCA cycle) after removing the shared parts, among which the citrate cycle (TCA cycle) was the final metabolic pathway for the metabolism of sugar, lipid and protein. In the response of soybean to acid rain stress, genes related to glycolysis metabolism and the citric acid cycle were significantly concentrated [18], which is similar to this study. Through glycolysis/gluconeogenesis, the intermediate reaction substances are provided for the TCA cycle, thereby alleviating the damage to I. chinensis caused by acid rain stress. At 15 d of stress, ribosome, arachidonic acid metabolism, plant–pathogen interaction, and zeatin biosynthesis pathways were assumed to play important roles, which were also found in the study of the cotton cultivar J-4B treated by cadmium stress [69]. Arachidonic acid metabolism is a kind of lipid metabolism, and lipids are involved in regulating a variety of plant responses to abiotic stress and maintaining physiological homeostasis in plant tissues [70]. Zeatin biosynthesis mainly involves cytokinin metabolism, in which related genes have been reported to be involved in regulating seed size and plant height [71]. So, it can be speculated that the physiological mechanism of I. chinensis in response to NAR stress may be related to lipid metabolism, glucose metabolism, protein synthesis, and signal transduction.
After 5 days of MIX stress, DEGs were significantly enriched in flavonoid biosynthesis and cysteine and methionine metabolism after removing the shared parts. Flavonoids, which are secondary metabolites, can help plants resist oxidative stress damage under abiotic stress [72]. The metabolism of cysteine and methionine is a sulfur related to the metabolic pathway in plants. At 15 d, KEGG pathways mainly include protein processing in endoplasmic reticulum, plant–pathogen interaction, and flavone and flavonol biosynthesis. The protein processing in endoplasmic reticulum involves protein glycosylation, disulfide bond formation, etc. The biosynthesis of flavone and flavonol plays a crucial role in plant growth, and resistance to biotic and abiotic stress [73,74,75]. These pathways of the I. chinensis response to MIX stress are similar to those of Sedum alfredii under heavy metal copper treatment and Populus alba × Populus tremula var. glandulosa under salt stress [76,77]. Therefore, it is inferred that MIX stress mainly enhances the resistance of I. chinensis by promoting the synthesis of metabolites, sulfur metabolism, modification of signal transduction components, and signal transduction pathways.
WGCNA can uncover the expression status of plant genes under stress and narrow down the scope of analysis by constructing gene modules. In this study, the key Red module was screened, and it was analyzed by constructing a gene co-expression network and KEGG enrichment. It was found that TRINITY_DN44216_c0_g1 (homologous to MDH1) may be a key gene involved in response to acid rain stress in I. chinensis. The MDH family in rice was found to exhibit significant expression changes under salt stress, in which the natural variation in OsMDH8.1 may be related to the salt tolerance in rice [78]. After silencing the HcMDH1 in Hibiscus cannabinus L., it was found that its ability to tolerate high salt and drought was weakened [79]. These results all indicate that the genes in MDH family are involved in regulating plant tolerance to abiotic stress, similar to this study. In addition, after sequence alignment analysis, TRINITY_DN13584_c0_g1, TRINITY_DN164_c0_g4, TRINITY_DN654_c0_g1, TRINITY_DN13611_c1_g2, and TRINITY_DN21290_c0_g2 identified in I. chinensis were homologous to CML38, At4g27190, MT-CO2, MT-ND5, TOGT1. They may also play important roles in improving the acid resistance of I. chinensis. However, the function of these genes has not been verified and thoroughly studied, and how they improve the stress resistance of plants still needs further exploration.
5. Conclusions
This study revealed the physiological response of I. chinensis to three types of acid rain stress, SAR, NAR, and MIX. It was found that the I. chinensis physiology is most severely inhibited by three types of acid rain with pH 3.0, affecting photosynthesis in most treatment groups, damaging antioxidant enzyme systems, destroying antioxidant enzyme systems, and interfering with nitrogen metabolites and related enzymes in most treatment groups. Transcriptome analysis was conducted on CK and S3.0, N3.0, M3.0 samples treated for 5 d and 15 d, and it was found that three types of acid rain caused a large number of DEGs in I. chinensis at 5 d. GO enrichment analysis showed that DEGs mainly involved in the regulation of plant cell components at 5 d, and the enrichment shifted to biological processes related to metabolic regulation at 15 d. KEGG pathway analysis showed that there were similarities and differences in the metabolic pathways of I. chinensis in response to the three types of acid rain stress. In addition, WGCNA revealed that the genes in the Red module were significantly associated with the response of I. chinensis to acid rain stress. According to the co-expression network and Cytoscape visualization analysis, six hub genes were selected based on KEGG enrichment.
Author Contributions
Conceptualization, J.J. and B.Z.; data curation, T.Z. and Y.C.; funding acquisition, J.J. and B.Z.; methodology, T.Z.; project administration, J.J. and B.Z.; supervision, D.Y.; writing—original draft, D.Y., T.Z. and Y.C.; writing—review and editing, D.Y. All authors have read and agreed to the published version of the manuscript.
Funding
This work was supported by Zhejiang Province Major Science and Technology Project for Agriculture (Breeding of New Tree Species) and New Variety Breeding (grant/award Number: 2021C02070-5-4).
Data Availability Statement
The original contributions presented in this study are included in the article. Further inquiries can be directed to the corresponding authors.
Conflicts of Interest
The authors declare that they have no conflict of interest.
References
- Li, T.F. Introduction to Environmental Geoscience; China Environmental Science Press: Beijing, China, 1996. [Google Scholar]
- Larssen, T.; Seip, H.M.; Semb, A.; Mulder, J.; Muniz, I.P.; Vogt, R.D.; Lydersen, E.; Angell, V.; Dagang, T.; Eilertsen, O. Acid deposition and its effects in China: An overview. Environ. Sci. Policy 1999, 2, 9–24. [Google Scholar] [CrossRef]
- Sun, X.; Wang, Y.; Li, H.; Yang, X.; Sun, L.; Wang, X.; Wang, T.; Wang, W. Organic acids in cloud water and rainwater at a mountain site in acid rain areas of South China. Environ. Sci. Pollut. Res. Int. 2016, 23, 9529–9539. [Google Scholar] [CrossRef] [PubMed]
- Qu, Y.; An, J.; He, Y.; Zheng, J. An overview of emissions of SO2 and NOx and the long-range transport of oxidized sulfur and nitrogen pollutants in East Asia. J. Environ. Sci. 2016, 44, 13–25. [Google Scholar] [CrossRef] [PubMed]
- Li, Q.Y.; Liu, X.; Zhang, J.C. Changing trends of acid rain types in the Yangtze River Delta region. J. Nanjing For. Univ. (Nat. Sci. Ed.) 2021, 45, 168–174. [Google Scholar]
- Sun, S.; Liu, S.; Li, L.; Zhao, W. Components, acidification characteristics, and sources of atmospheric precipitation in Beijing from 1997 to 2020. Atmos. Environ. 2021, 266, 118707. [Google Scholar] [CrossRef]
- Zhang, L.; Wang, J.; Wang, S.; Wang, C.; Yang, F.; Li, T. Chemical characteristics of long-term acid rain and its impact on lake water chemistry: A case study in Southwest China. J. Environ. Sci. 2024, 138, 121–131. [Google Scholar] [CrossRef]
- Zhang, D.; Xu, R.G.; Zhao, Y.F.; Wang, P.; Lin, L.C.; Chen, J.Y.; Li, Y.; Wang, Z.L.; Wang, Q. Interannual variation characteristics of acid rain from 2006–2021 in China. Environ. Pollut. Control 2023, 45, 849–854. [Google Scholar] [CrossRef]
- Yoshihisa, K. Effects of simulated acid rain on Asian crops and garden plants. Air Pollut. Impacts Plants East Asia 2017, 32, 223–235. [Google Scholar]
- Shu, P.; Gong, X.; Du, Y.; Han, Y.; Jin, S.; Wang, Z.; Qian, P.; Li, X. Effects of Simulated Acid Rain on Photosynthesis in Pinus massoniana and Cunninghamia lanceolata in Terms of Prompt Fluorescence, Delayed Fluorescence, and Modulated Reflection at 820 nm. Plants 2024, 13, 622. [Google Scholar] [CrossRef]
- He, Y.; Zhang, S.; Sun, X.; Wang, T.; Dai, L.; Xie, Y. Response of photosynthetic characteristics of Pleioblastus fortunei to high frequent simulated acid rain. J. Nanjing For. Univ. 2016, 59, 49. [Google Scholar] [CrossRef]
- Liu, M.; Korpelainen, H.; Dong, L.; Yi, L. Physiological responses of Elaeocarpus glabripetalus seedlings exposed to simulated acid rain and cadmium. Ecotoxicol. Environ. Saf. 2019, 175, 118–127. [Google Scholar] [CrossRef] [PubMed]
- Bezerril Fontenele, N.M.; Otoch, M.D.; Gomes-Rochette, N.F.; Sobreira, A.C.; Barreto, A.A.; de Oliveira, F.D.; Costa, J.H.; Borges, S.D.; do Nascimento, R.F.; Fernandes de Melo, D. Effect of lead on physiological and antioxidant responses in two Vigna unguiculata cultivars differing in Pb-accumulation. Chemosphere 2017, 176, 397–404. [Google Scholar] [CrossRef]
- Zhong, J.; Liu, Y.; Chen, X.; Ye, Z.; Li, Y.; Li, W. The impact of acid rain on cadmium phytoremediation in sunflower (Helianthus annuus L.). Environ. Pollut. 2024, 340 Pt 2, 122778. [Google Scholar] [CrossRef] [PubMed]
- Wang, J.; Meng, K.; Chen, X.; Zhang, J.E.; Xiang, H.M.; Zhong, J.W.; Shi, Z.J. Effects of Acid Rain on Yield, Quality and Physiological Characteristics of Lettuce and Brassica chinensis L. Ecol. Environ. Sci. 2023, 32, 1098–1107. [Google Scholar] [CrossRef]
- Huang, J.; Wang, H.; Zhong, Y.; Huang, J.; Fu, X.; Wang, L.; Teng, W. Growth and physiological response of an endangered tree, Horsfieldia hainanensis merr., to simulated sulfuric and nitric acid rain in southern China. Plant Physiol. Biochem. 2019, 144, 118–126. [Google Scholar] [CrossRef]
- Lee, Y.; Park, J.; Im, K.; Kim, K.; Lee, J.; Lee, K.; Park, J.A.; Lee, T.K.; Park, D.S.; Yang, J.S.; et al. Arabidopsis leaf necrosis caused by simulated acid rain is related to the salicylic acid signaling pathway. Plant Physiol. Biochem. 2006, 44, 38–42. [Google Scholar] [CrossRef]
- Chen, J.; Wang, W.H.; Liu, T.W.; Wu, F.H.; Zheng, H.L. Photosynthetic and antioxidant responses of Liquidambar formosana and Schima superba seedlings to sulfuric-rich and nitric-rich simulated acid rain. Plant Physiol. Biochem. 2013, 64, 41–51. [Google Scholar] [CrossRef]
- Yang, L.; Xu, Y.; Zhang, R.; Wang, X.; Yang, C. Comprehensive transcriptome profiling of soybean leaves in response to simulated acid rain. Ecotoxicol. Environ. Saf. 2018, 158, 18–27. [Google Scholar] [CrossRef]
- Liu, T.W.; Niu, L.; Fu, B.; Chen, J.; Wu, F.H.; Chen, J.; Wang, W.H.; Hu, W.J.; He, J.X.; Zheng, H.L. A transcriptomic study reveals differentially expressed genes and pathways respond to simulated acid rain in Arabidopsis thaliana. Genome 2013, 56, 49–60. [Google Scholar] [CrossRef]
- Xia, W.Q.; Li, R.F.; Liu, J.B.; Cui, B.S.; Hou, Q.; Sun, H.; Li, S. Triterpenoids from the leaves of Ilex chinensis. Phytochemistry 2018, 148, 113–121. [Google Scholar] [CrossRef]
- Li, R.F.; Xia, W.Q.; Liu, J.B.; Cui, B.S.; Hou, Q.; Sun, H.; Li, S. New triterpenoid saponins from the leaves of Ilex chinensis. Fitoterapia 2018, 131, 134–140. [Google Scholar] [CrossRef] [PubMed]
- Liao, L.P.; Li, P. Compounds from Leaf of Ilex purpurea Hassk. J. China Pharm. Univ. 2004, 35, 205–206. [Google Scholar]
- Xie, J.B.; Li, P. Studies on Phenolic Acids from Ilex purpurea Hassk. J. China Pharm. Univ. 2002, 33, 78–79. [Google Scholar]
- Yao, X.; Zhang, F.; Corlett, R.T. Utilization of the Hollies (Ilex L. spp.): A Review. Forests 2022, 13, 94. [Google Scholar] [CrossRef]
- Ma, W.; Zhao, B.; Ma, J. Comparison of heavy metal accumulation ability in rainwater by 10 sponge city plant species. Environ. Sci. Pollut. Res. Int. 2019, 26, 26733–26747. [Google Scholar] [CrossRef]
- Li, Q.Y.; Wang, X.B.; Shen, D.F.; Zhang, J.H.; Wang, S.W. Comparison of Photosynthetic Characteristics Between Ilex×altaclerensis ‘Belgica Aurea’ and Ilex Chinensis Under Salt Stress. J. Mt. Agric. Biol. 2021, 40, 36–42. [Google Scholar] [CrossRef]
- Chen, J.S. Effect of Simulated Acid Rain on the Physiology, Growth Characteristics and Microbial Diversity of Sinocalycanthus chinensis Seedling; Shanghai Normal University: Shanghai, China, 2016. [Google Scholar]
- Li, B.F. Simulated Acid Rain on the Shape of Oak and Elaeocarpus decipiens Bald Disc and Optical Response Characteristics; Zhejiang A&F University: Hangzhou, China, 2013. [Google Scholar]
- Tao, X.T. Effects of Nitrogen Deposition and Mixed Acid Rain Stress on Photosynthetic and Water Physiology Characteristics of Typical Subtropical Trees; Zhejiang A&F University: Hangzhou, China, 2013. [Google Scholar]
- Wang, X.K. Principles and Techniques of Plant Physiology and Biochemistry Experiments, 2nd ed.; Higher Education Press: Beijing, China, 2006. [Google Scholar]
- Odiyi, B.; Bamidele, J. Effects of simulated acid rain on growth and yield of cassava Manihot esculenta (Crantz). J. Agric. Sci. 2013, 6, 28563. [Google Scholar] [CrossRef]
- Hu, L. The Effects of Subtropical Woody Plants Under UV-B Radiation Stress and Acid Rainforce; Zhejiang A&F University: Hangzhou, China, 2012. [Google Scholar]
- Li, Q.; Wang, F.; He, M.; Lu, X.M.; Wang, H.Q.; Shi, L. Effects of soil water stress on photosynthetic characteristic of Miscanthus sacchariflorus. Pratacultural Sci. 2013, 30, 1031–1035. [Google Scholar]
- Guo, H. The effect of cadmium stress on the photosynthetic characteristics and rhizosphere soil enzyme activity of wheat. Agric. Technol. 2022, 42, 14–17. [Google Scholar]
- Wu, Q.; Han, Y.N.; Gao, R.; Ma, S.; Zhao, H.Y. The Respondence of Morphology and Structure of Glycyrrhiza uralensis Seedling Under Salt Stress. Seed 2015, 34, 25–31+34. [Google Scholar] [CrossRef]
- Du, E.; Dong, D.; Zeng, X.; Sun, Z.; Jiang, X.; de Vries, W. Direct effect of acid rain on leaf chlorophyll content of terrestrial plants in China. Sci. Total Environ. 2017, 605–606, 764–769. [Google Scholar] [CrossRef] [PubMed]
- Zhou, Q.; Huang, X.; Liu, X. Stress effects of simulant acid rain on three woody plants. Environ. Sci. 2002, 23, 42–46. [Google Scholar]
- Odiyi, B.O.; Eniola, A.O. The Effect of Simulated Acid Rain on Plant Growth Component of Cowpea (Vigna unguiculata) L. Walps. Jordan J. Biol. Sci. 2015, 8, 51–54. [Google Scholar] [CrossRef]
- Pei, C.M. Response Mechanism of Three Plants to Simulated Acid Rain in the Three Gorges Reservoir Area; Beijing Forestry University: Beijing, China, 2019. [Google Scholar]
- Zhao, W.W.; Jiang, H.; Ma, Y.D. Photosynthesis and water use characteristics of Cinnamomum camphora seedlings with simulated acid rain. J. Zhejiang AF Univ. 2013, 30, 179–186. [Google Scholar] [CrossRef]
- Yao, Z.B.; Jiang, H.; Yu, S.Q.; Lu, M.J. Effects of simulated acid rain on water physiological characteristics of Myrica rubra seedlings. Chin. J. Appl. Ecol. 2011, 22, 1967–1974. [Google Scholar]
- Hu, H.; Hua, W.; Shen, A.; Zhou, H.; Sheng, L.; Lou, W.; Zhang, G. Photosynthetic rate and chlorophyll fluorescence of barley exposed to simulated acid rain. Environ. Sci. Pollut. Res. 2021, 28, 42776–42786. [Google Scholar] [CrossRef]
- Copolovici, L.; Adelina, B.A.N.; Ioana, F.A.U.R.; Copolovici, D. The influence of simulated acidic rain on plants volatile organic compounds emission and photosynthetic parameters. AgroLife Sci. J. 2017, 6, 73–76. [Google Scholar]
- Qiu, D.L.; Liu, X.H. Effects of simulated acid rain on chloroplast activity in Dimorcarpus longana Lour. Cv. wulongling leaves. Chin. J. Appl. Ecol. 2002, 13, 1559–1562. [Google Scholar] [PubMed]
- Li, J.X.; Wang, W.P.; Hu, Z.J.; Shi, K. Effects of Simulated Acid Rain Conditions on Plant Photosynthesis and Disease Susceptibility in Tomato and Its Alleviation of Brassinosteroid. Sci. Agric. Sin. 2021, 54, 1728–1738. [Google Scholar] [CrossRef]
- Pan, R.C. Plant Physiology; Higher Education Press: Beijing, China, 2012. [Google Scholar]
- Zhang, Z.; Teng, Z.; Wang, N.; Zhang, M.; Sun, G.; Hu, Y.; Zhang, X. Responses of photosynthesis and antioxidants to simulated acid rain in mulberry seedlings. Physiol. Plant. 2021, 172, 188–200. [Google Scholar] [CrossRef]
- Song, L.Y.; Ke, Z.H.; Sun, L.L.; Peng, C.L. Effect of Simulated Acid Rain on Gas Exchanges of Three Compositae Invasive Plants. Chin. Bull. Bot. 2013, 48, 160–167. [Google Scholar]
- Xu, H.; Xie, C.; Wei, Y.K.; Huang, Y.B.; Lin, X.J. Comparison of tolerance between two salvia plants to stress of simulated acid rain and study of the physiological mechanisms. Asian J. Ecotoxicol. 2017, 12, 206–214. [Google Scholar] [CrossRef]
- Wang, C.C. Study on the Response of Physiological and Ecology Characteristics of Hosta Ventricosa to Combination of Cd and Simulated Acid Rain Stress; Sichuan Agricultural University: Ya’an, China, 2014. [Google Scholar]
- Liu, X.; Ma, S.; Jia, Z.; Ramzan, M.; Meng, M.; Wang, J.; Li, C.; Zhang, Y.; Zhang, J. Complex effects of different types of acid rain on root growth of Quercus acutissima and Cunninghamia lanceolata saplings. Ecol. Process. 2022, 11, 8. [Google Scholar] [CrossRef]
- Shaukat, S.S.; Khan, M.A. Growth and physiological responses of tomato (Lycopersicon Esculentum Mill.) to simulated acid rain. Pak. J. Bot. 2008, 40, 2427–2435. [Google Scholar]
- Ma, Y.J.; Liang, C.J. Regulation of exogenous calcium on plasma membrane compositions and calcium forms of rice roots under simulated acid rain stress. J. Agro-Environ. Sci. 2021, 40, 1159–1166. [Google Scholar] [CrossRef]
- Guo, X.J.; Wang, J.Y.; Ren, X.Q.; Chen, W.Y.; Tao, Q.W.; Deng, Y.; Liang, C.J. Response of antioxidant enzyme activities and isozyme patten in rice roots to acid rain stress. Environ. Chem. 2019, 38, 377–384. [Google Scholar] [CrossRef]
- Zhu, J.L.; Hou, R.Q.; Wang, Y.Q.; Wang, Y.J.; Yang, F.; Zhang, Y.X.; Zheng, Y.L.; Si, H.T. Response mechanism of plant seedling roots and soil to acid rain in Jinyun Mountain, Chongqing. Sci. Soil Water Conserv. 2023, 21, 121–130. [Google Scholar] [CrossRef]
- Wang, Z.; Gerstein, M.; Snyder, M. RNA-Seq: A revolutionary tool for transcriptomics. Nat. Rev. Genet. 2009, 10, 57–63. [Google Scholar] [CrossRef]
- Estravis Barcala, M.; Mattera, M.G.; Soliani, C.; Bellora, N.; Opgenoorth, L.; Heer, K.; Arana, M.V. Molecular bases of responses to abiotic stress in trees. J. Exp. Bot. 2020, 71, 3765–3779. [Google Scholar] [CrossRef]
- Good, A.G.; Zaplachinski, S.T. The effects of drought stress on free amino acid accumulation and protein synthesis in Brassica napus. Physiol. Plant. 1994, 90, 9–14. [Google Scholar] [CrossRef]
- Vincent, D.; Ergül, A.; Bohlman, M.C.; Tattersall, E.A.; Tillett, R.L.; Wheatley, M.D.; Woolsey, R.; Quilici, D.R.; Joets, J.; Schlauch, K.; et al. Proteomic analysis reveals differences between Vitis vinifera L. cv. Chardonnay and cv. Cabernet sauvignon and their responses to water deficit and salinity. J. Exp. Bot. 2007, 58, 1873–1892. [Google Scholar] [CrossRef] [PubMed]
- Yu, G.; Ullah, H.; Wang, X.; Liu, J.; Chen, B.; Jiang, P.; Lin, H.; Sunahara, G.I.; You, S.; Zhang, X.; et al. Integrated transcriptome and metabolome analysis reveals the mechanism of tolerance to manganese and cadmium toxicity in the Mn/Cd hyperaccumulator Celosia argentea Linn. J. Hazard. Mater. 2023, 443 Pt A, 130206. [Google Scholar] [CrossRef]
- Ramakrishna, A.; Ravishankar, G.A. Influence of abiotic stress signals on secondary metabolites in plants. Plant Signal. Behav. 2011, 6, 1720–1731. [Google Scholar] [CrossRef] [PubMed]
- Li, X.; Xu, B.; Sahito, Z.A.; Chen, S.; Liang, Z. Transcriptome analysis reveals cadmium exposure enhanced the isoquinoline alkaloid biosynthesis and disease resistance in Coptis chinensis. Ecotoxicol. Environ. Saf. 2024, 271, 115940. [Google Scholar] [CrossRef] [PubMed]
- Hell, R. Molecular physiology of plant sulfur metabolism. Planta 1997, 202, 138–148. [Google Scholar] [CrossRef]
- Liu, T.; Chen, J.A.; Wang, W.; Simon, M.; Wu, F.; Hu, W.; Chen, J.B.; Zheng, H. A combined proteomic and transcriptomic analysis on sulfur metabolism pathways of Arabidopsis thaliana under simulated acid rain. PLoS ONE 2014, 9, e90120. [Google Scholar] [CrossRef]
- Yi, X.Q. Effects of Simulated Acid Rain on Physiological Characteristics and Related Gene Expression of Tea Plants; Hunan Agricultural University: Changsha, China, 2019. [Google Scholar]
- Bao, Q.H. Physiological Characteristics and Mechanism Analysis of Transcriptome and Metabolome of Quinoa under Salt and Alkali; Inner Mongolia Agricultural University: Hohhot, China, 2023. [Google Scholar]
- Liang, L.; Ze, M.; Yang, J.; Xu, Q.; Du, C.; Hu, X.; Dong, M.; Zou, L.; Qi, T. Physiological and transcriptomic response reveals new insight into manganese tolerance of Celosia argentea Linn. J. Hazard. Mater. 2024, 465, 133079. [Google Scholar] [CrossRef]
- Khan, A.; Jie, Z.; Xiangjun, K.; Ullah, N.; Short, A.W.; Diao, Y.; Zhou, R.; Xiong, Y. Pre-treatment of melatonin rescues cotton seedlings from cadmium toxicity by regulating key physio-biochemical and molecular pathways. J. Hazard. Mater. 2022, 445, 130530. [Google Scholar] [CrossRef]
- Liu, J.; Yang, F.; Mao, S.; Li, S.; Lin, H.; Yan, X.; Lin, J. Advances in the physiological functions of plant lipids in response to stresses. Chin. J. Biotechnol. 2021, 37, 2658–2667. [Google Scholar] [CrossRef]
- Lu, J.; Jiang, Z.; Chen, J.; Xie, M.; Huang, W.; Li, J.; Zhuang, C.; Liu, Z.; Zheng, S. SET DOMAIN GROUP 711-mediated H3K27me3 methylation of cytokinin metabolism genes regulates organ size in rice. Plant Physiol. 2024, 194, 2069–2085. [Google Scholar] [CrossRef]
- Bartwal, A.; Rakesh, B.; Bullet, M.; Lohani, P.; Guru, B.S.; Arora, S. Role of Secondary Metabolites and Brassinosteroids in Plant Defense Against Environmental Stresses. J. Plant Growth Regul. 2013, 32, 216–232. [Google Scholar] [CrossRef]
- Fan, Y.T.; Fan, R.N.; Zhang, H.; Li, B.Z. Biosynthesis and function of flavonol in plants: A review. Chin. Agric. Sci. Bull. 2020, 36, 95–101. [Google Scholar]
- Nakabayashi, R.; Saito, K. Integrated metabolomics for abiotic stress responses in plants. Curr. Opin. Plant Biol. 2015, 24, 10–16. [Google Scholar] [CrossRef] [PubMed]
- Liu, J.; Howell, S.H. Endoplasmic Reticulum Protein Quality Control and Its Relationship to Environmental Stress Responses in Plants. Plant Cell 2010, 22, 2930–2942. [Google Scholar] [CrossRef]
- Ge, J.; Tao, J.; Zhao, J.; Wu, Z.; Zhang, H.; Gao, Y.; Tian, S.; Xie, R.; Xu, S.; Lu, L. Transcriptome analysis reveals candidate genes involved in multiple heavy metal tolerance in hyperaccumulator Sedum alfredii. Ecotoxicol. Environ. Saf. 2022, 241, 113795. [Google Scholar] [CrossRef]
- Zhao, Y.; Jia, K.; Tian, Y.; Han, K.; El-Kassaby, Y.A.; Yang, H.; Si, H.; Sun, Y.; Li, Y. Time-course transcriptomics analysis reveals key responses of populus to salt stress. Ind. Crops Prod. 2023, 194, 116278. [Google Scholar] [CrossRef]
- Zhang, Y.; Wang, Y.; Sun, X.; Yuan, J.; Zhao, Z.; Gao, J.; Wen, X.; Tang, F.; Kang, M.; Abliz, B.; et al. Genome-Wide Identification of MDH Family Genes and Their Association with Salt Tolerance in Rice. Plants 2022, 11, 1498. [Google Scholar] [CrossRef]
- Luo, D.; Li, Z.; Mubeen, S.; Rehman, M.; Cao, S.; Wang, C.; Yue, J.; Pan, J.; Jin, G.; Li, R.; et al. Functional characterization of malate dehydrogenase, HcMDH1, gene in enhancing abiotic stress tolerance in kenaf (Hibiscus cannabinus L.). Chem. Biol. Technol. Agric 2024, 11, 141. [Google Scholar] [CrossRef]
Disclaimer/Publisher’s Note: The statements, opinions and data contained in all publications are solely those of the individual author(s) and contributor(s) and not of MDPI and/or the editor(s). MDPI and/or the editor(s) disclaim responsibility for any injury to people or property resulting from any ideas, methods, instructions or products referred to in the content. |
© 2025 by the authors. Licensee MDPI, Basel, Switzerland. This article is an open access article distributed under the terms and conditions of the Creative Commons Attribution (CC BY) license (https://creativecommons.org/licenses/by/4.0/).













