You are currently viewing a new version of our website. To view the old version click .
Forests
  • Article
  • Open Access

10 March 2025

The Complex Co-Occurrence Network Under N Deposition Resulting in the Change of Soil Bacterial Structure and the Decrease of Bacterial Abundance in Subtropical Quercus aquifolioides Forest

,
,
,
,
and
1
College of Ecology and Environment, Southwest Forestry University, Kunming 650224, China
2
Kunming General Survey of Natural Resources Center China Geological Survey, Kunming 650100, China
3
College of Soil and Water Conservation, Southwest Forestry University, Kunming 650224, China
*
Author to whom correspondence should be addressed.
This article belongs to the Special Issue Advances in Forest Carbon Sequestration and Emission Reduction Potential

Abstract

Atmospheric nitrogen deposition has a profound impact on soil nitrogen (N) cycling within terrestrial ecosystems, altering the microbial community structure and composition. To investigate how nitrogen deposition impacts microbial communities across different seasons, this study focused on a mature subtropical Quercus aquifolioides forest. Four nitrogen treatments were applied, and high-throughput sequencing was utilized to analyze soil microbial composition and structure changes during dry and wet seasons. Additionally, the study explored the interactions between soil nutrients, microbial communities, and nitrogen treatments. Following four years of nitrogen supplementation, the results revealed that: (1) Soil chemistry and enzyme activity shifted significantly due to the combined effects of nitrogen addition and seasonal variations. A marked reduction in soil pH indicated substantial acidification, although the wet season’s increased soil moisture mitigated these effects. (2) Fungal richness and diversity were more sensitive to nitrogen addition than bacterial diversity. (3) During the wet season, nitrogen deposition caused notable shifts in soil microbial community composition, with a notable elevation in the relative proportion of the fungal genus Sebacina (↑112.68%) under MN treatment. (4) Nitrogen addition affected the co-occurrence network complexity of soil bacteria and fungi in a season-dependent manner. During the dry season, bacterial network complexity decreased significantly while fungal network complexity increased. In contrast, the wet season showed an elevation in bacterial network complexity and a reduction in fungal network complexity. (5) The fungal community structure remained stable across seasons and nitrogen treatments, whereas the bacterial community structure showed significant differences after nitrogen addition. Environmental factors influencing bacterial and fungal community structures varied depending on water conditions. These findings provide insights into forest soil management and microbial remediation strategies in response to future atmospheric nitrogen deposition.

1. Introduction

Nitrogen (N) in the atmosphere participates in the cycle between the atmosphere and the surface in the form of reactive nitrogen. Over time, frequent and unsustainable human activities, such as fossil fuel consumption, agricultural expansion, and the improper use of pesticides and fertilizers, have led to a rapid increase in atmospheric reactive nitrogen [1]. The current levels of reactive nitrogen may now surpass all natural terrestrial nitrogen sources combined [2]. By 2050, the global rate of atmospheric nitrogen deposition is projected to reach 195 T·g·y−1 [1]. China has been a hotspot for nitrogen deposition [3], and has become the third-largest nitrogen deposition area globally after Europe and North America [4]. Atmospheric nitrogen deposition provides essential nutrients for ecosystems and can stimulate primary productivity without exceeding the ecological critical capacity [5]. However, excessive nitrogen deposition can lead to serious ecological problems, including reduced plant diversity, soil acidification, nitrate leaching, and a decline in soil microbial diversity [6,7].
Soil microorganisms are essential drivers of nutrient cycling, as they decompose and mineralize soil organic matter (SOM), releasing nutrients in forms that can be utilized by plants and other soil organisms. This process plays a critical role in maintaining plant–soil biogeochemical cycles [8,9]. A growing body of research has explored how nitrogen deposition affects the structure and composition of soil microbial communities. Ma et al. [2] conducted a 14-year nitrogen addition experiment in a grassland ecosystem near California, USA, and found that nitrogen deposition changed the soil microbial community and increased their association with labile carbon (C). The relative proportion of microorganisms involved in degradation decreased, and nitrogen deposition reduced the complexity of the soil microbial network. Boeraeve et al. [10] observed in wetland ecosystems that fungi are more sensitive to nitrogen deposition than bacteria, with fungal biomass, richness, and diversity significantly declining, while bacterial biomass, richness, and diversity remained largely unchanged. Yang et al. [11] noted that soil moisture could enhance nitrogen’s positive impact on fungi, even turning nitrogen’s negative effects on bacteria into positive ones. The influence of nitrogen input on soil microbial ecosystems can vary depending on nitrogen levels, ecosystem type, vegetation, and climate conditions, making the impacts inconsistent across different ecosystems [1,12,13]. Given that changes in soil nutrients influence microbial cycling processes, which in turn shape the physical and chemical properties (such as pH, SOC, etc.) and affect the microbial community structure of the soil [14], quantifying the composition of soil nutrients and microbial communities is essential. Understanding the relationships between these structures is crucial for predicting the influence of nitrogen input on soil microbial ecosystems.
High-throughput sequencing (HTS), also known as next-generation sequencing (NGS), is a fast and efficient DNA and RNA sequencing method [15]. HTS offers several benefits, including its capacity for high-throughput analysis, precision, and sensitivity. It allows simultaneous measurement of the species present in a sample and the abundance of each species [16], revealing microbial community structure and composition in the natural environment more effectively [17]. Quercus aquifolioides forests, unique to southwest China, exhibit strong resistance to disturbance and robust tillering ability. The average diameter at breast height was 10.03 cm, with an average tree height of only 3 m. This characteristic is attributed to its growth at specific altitudes (2208–2490 m) and a mid-subtropical climate, with constant exposure to strong winds, low temperatures, and poor soil conditions, leading to the formation of a unique mountaintop forest.
This study focuses on Quercus aquifolioides forest and uses HTS to analyze shifts in soil microbial community composition and structure under various nitrogen input treatments across both dry and rainy seasons. It also examines soil nutrient levels, microbial community composition, and the structural response to nitrogen treatments, as well as their interrelationships. Previous studies have shown that nitrogen addition leads to a significant decrease in fungal diversity without significant effects on bacteria [10] and that nitrogen addition reduces the complexity of microbial networks [2], so we hypothesized that (1) nitrogen addition would negatively affect soil microbial community diversity, and (2) nitrogen addition would reduce the complexity of the soil microbial network, with a smaller reduction in complexity during the wet season due to seasonal variations. This research seeks to clarify how nitrogen deposition affects microbial communities in subtropical forest ecosystems, providing a scientific foundation for sustainable forest management practices amid global environmental alterations.

2. Materials and Methods

2.1. Study Area Overview

The research was performed at the Yuxi Forest Ecosystem National Positioning Observation and Research Station, located in Yunnan Province, China (101°16′06″~101°16′12″ E, 23°46′18″~23°54′34″ N) (Figure 1). The study area is located on a low-latitude plateau, with elevations ranging from 1260 to 2614.4 m and a relative height difference of 1284.4 m. The area experiences an annual rainfall of approximately 1050 mm and an average temperature of 15 °C, with extreme temperatures reaching a maximum of 33.0 °C and a minimum of −2.2 °C. It receives approximately 2380 h of sunlight per year and has a mid-subtropical plateau monsoon climate, with clearly defined dry seasons from November to April and wet seasons from May to October. The region has rich forest plant diversity and a forest coverage exceeding 86%. The forest vegetation exhibits clear vertical distribution patterns with increasing altitude, including subtropical evergreen broad-leaved forests, mid-mountain coniferous and broad-leaved mixed forests, coniferous forests, and alpine dwarf forests. Common species include Pinus yunnanensis, Pinus armandii, Keteleeria evelyniana, Cycas revoluta, and Alsophila spinulosa. The predominant soil types are Argi-udic Ferrosols and Hapli-udic Argosols, as classified by the United States Department of Agriculture (USDA).
Figure 1. Overview of the study area. The yellow area is Yuxi City, the pink area is Xinping County, the location of the red five-pointed star is the study area, and the picture in the lower right corner is the sample layout map. CK: control; LN: low nitrogen; MN: medium nitrogen; HN: high nitrogen.

2.2. Experimental Manipulation

In this study, a representative Quercus aquifolioides forest was selected for sampling. Three 20 m × 20 m plots were established (Table 1), and within each plot, four 3 m × 3 m subplots were randomly set up for nitrogen addition treatments (four nitrogen treatments, each with three replicates, totaling 12 subplots). The distance between each subplot was at least 10 m. Based on the annual wet nitrogen deposition (2.64–9.5 g·N·m−2·a−1), dry nitrogen deposition (0.6–5.46 g·N·m−2·a−1) and the annual increase of nitrogen deposition in China (0.05 g·N·m−2·a−1), four nitrogen addition levels were designed: control (CK) (0 g·N·m−2·a−1), low nitrogen (LN) (10 g·N·m−2·a−1), medium nitrogen (MN) (20 g·N·m−2·a−1), and high nitrogen (HN) (25 g·N·m−2·a−1), using urea (CO(NH2)2) as nitrogen source, respectively. Starting in January 2019, nitrogen was applied monthly in 12 equal doses throughout the year. For each experimental treatment, the designated quantity of CO(NH2)2 was combined with 1000 mL of water and administered utilizing a knapsack sprayer. The control group was treated with an equivalent volume of water devoid of nitrogen (Note: Nitrogen application was suspended from January to June 2020, in June 2021, and from January to February 2022 due to interruptions caused by the COVID-19 pandemic).
Table 1. Basic characteristics of the plot.

2.3. Sample Collection and Preparation

Following four years of consistent nitrogen treatment, soil samples from the 0–20 cm soil layer were gathered in March and July 2023, aligning with the prevailing local climatic conditions. During the sampling process, surface litter was carefully removed, and soil cores were obtained utilizing a soil drill, following the five-point sampling method. Impurities such as tree roots and stones were removed during collection. The soil samples from the three replicate plots of each nitrogen treatment were thoroughly mixed and transferred to sterile, sealed bags for transportation to the laboratory. After sieving, one portion of each sample was stored at −80 °C for later DNA extraction and HTS. Another segment was stored at 4 °C for the determination of soil nitrate nitrogen and ammonium nitrogen, while the remaining soil sample was air-dried to analyze soil enzyme activity and chemical characteristics.

2.4. Determination of Chemical Characteristics and Enzyme Activity

Soil chemical characteristics were determined following the protocols outlined by Bao [18]. Soil organic carbon (SOC) was quantified through the potassium dichromate-sulfuric acid oxidation method with external heating. Inductively coupled plasma optical emission spectrometry was employed to measure total phosphorus (TP), total potassium (TK), and available phosphorus (AP). Total nitrogen (TN) was determined by the semi-micro Kjeldahl method, and soil pH was measured in a 1:5 soil-to-water suspension utilizing a pH meter. Ammonium nitrogen (NH4+-N) content was determined by indophenol blue colorimetry, and nitrate nitrogen (NO3-N) was assessed by ultraviolet spectrophotometry.
Enzyme activities in the soil were analyzed using ELISA kits from Beijing Box Biotechnology Co., Ltd. (Beijing Box Biotechnology Co., Ltd., Beijing, China). Specifically, the activities of acid phosphatase (ACP), Urease (UE), sucrase (SC), and catalase (CAT) were quantified by measuring absorbance at specific wavelengths with a microplate reader. The activities were determined based on standard curves and presented as units per gram of soil (U/g). One unit is defined as the enzyme activity necessary to produce 1 µg of NH3-N, 1 nmol of phenol, 1 mg of reducing sugar, or to catalyze the decomposition of 1 nmol of H2O2 per gram of soil per day.

2.5. DNA Isolation and Illumina Sequencing

Microbial DNA from soil samples was isolated utilizing the E.Z.N.A.™ Mag-Bind Soil DNA Kit (Thermo Fisher Scientific, Shanghai, China), and DNA concentrations were determined using the Qubit®® 4.0 DNA Detection Kit (Thermo Fisher Scientific, Shanghai, China) to ensure an adequate amount for subsequent PCR amplification. For bacterial community analysis, the V3-V4 region of the 16S rRNA gene was targeted, with amplification carried out with primers 341F (CCTACGGGNGGCWGCAG) and 805R (GACTACHVGGGTATCTAATCC). In fungal analysis, the ITS region was targeted with primers ITS1F (CTTGGTCATTTAGAGGAAGTAA) and ITS2R (GCTGCGTTCTTCATCGATGC). The bacterial and fungal DNA underwent two cycles of PCR amplification. The initial round involved a reaction mixture including 2× Hieff®® Robust PCR Master Mix, Bar-PCR primer F, Primer R, PCR product (10~20 ng), and H2O. The cycling conditions were an initial denaturation at 94 °C, followed by 5 cycles of 94 °C, 45 °C, and 65 °C, then 20 cycles of 94 °C, 55 °C, and 72 °C, with a final extension at 72 °C. In the second round of PCR amplification, Illumina bridge PCR-compatible primers were employed under similar conditions as the first round, but with an initial denaturation step at 95 °C. PCR products were confirmed by 2% agarose gel electrophoresis, and the library concentrations were quantified with a Qubit 3.0 fluorometer. After quality control, samples were pooled and sequenced on the Illumina MiSeq platform by Shanghai Sangon Biotechnology Co., Ltd. (Shanghai Sangon Biotechnology Engineering Co., Ltd., Shanghai, China).

2.6. Microbial Data Analysis and Co-Occurrence Network Construction

Following quality control, sequencing data were processed using Usearch (version 11.0.667) software [19] to cluster non-redundant sequences, with the exclusion of singletons. Sequences with ≥97% similarity were clustered, and chimeras were removed. A similarity assessment was performed by comparing 0.1% of the sequences [20]. FastQC (version 0.12.0) and Trimmomatic (version 0.39) were used to preprocess the sequences, trim adapter sequences, and remove low-quality reads. Bacterial community composition was identified using the SILVA database (version 132), while fungal community composition was determined using the UNITE database (version 8.0). Microbial diversity and richness were determined utilizing Mothur (version 1.43.0) [21]. The α-diversity of microbial communities, which reflects species composition and distribution within the community, was evaluated utilizing the Chao index for species richness and the Shannon index for diversity [22]. To assess the relative proportion of bacterial and fungal populations, a co-occurrence network was constructed for OTUs with a relative proportion exceeding 0.1%, excluding OTUs that had zero abundance in two-thirds of the samples. The optimal similarity threshold for network construction was determined using random matrix theory (RMT), followed by calculating pairwise similarity matrices using Spearman correlation. These analyses were conducted on the Molecular Ecological Network (MENs) Analysis Platform (iNAP, https://inap.denglab.org.cn/, accessed on 18 October 2024) [23]. Gephi (version 0.10.1) software was used to export and process nodes and edges and to draw co-occurrence network diagrams for bacterial and fungal populations.

2.7. Data Processing

The analysis of soil chemical characteristics and enzymatic functions was conducted utilizing Microsoft Excel 2016 software, while one-way ANOVA and multiple comparisons (LSD method) were performed with SPSS (version 26.0). Histograms illustrating soil chemical characteristics, enzyme functions, and microbial relative proportions were created with Origin (version 2021). Microbial β-diversity and species composition among samples were visualized via principal coordinate analysis (PCoA) utilizing the vegan package in R (version 4.3.3), where shorter distances between samples indicate more similar community structures. Additionally, R (version 4.3.3) was used for correlation analysis among environmental factors and microbial communities. The soil microbial α-diversity display map was completed on the CNSknowall platform (https://cnsknowall.com/, accessed on 25 September 2024). Redundancy analysis (RDA) was carried out utilizing the Lianchuan Bioinformatics platform (version 3.6). Key environmental factors impacting microbial community structures were identified through bioinformatic analyses on OmicStudio tools (https://www.omicstudio.cn/home, accessed on 25 June 2024). Data in the Figures are presented as mean ± standard error.

3. Results

3.1. Soil Chemical Properties

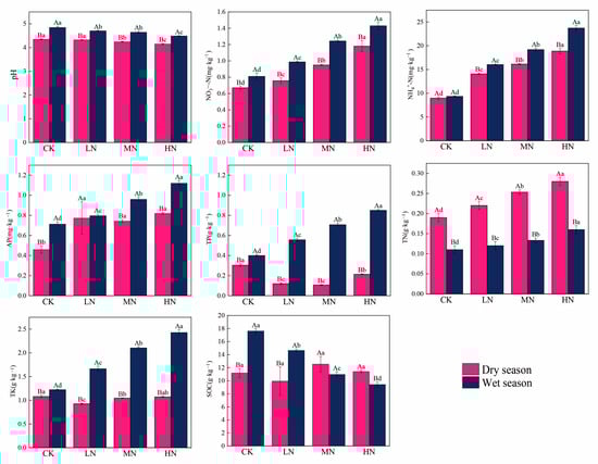
Variance analysis indicated that different nitrogen addition treatments had significant effects on soil chemical characteristics, with notable seasonal differences, as shown in Figure 2 (p < 0.05). During the dry season, compared with CK, soil pH of all nitrogen treatments was significantly decreased (CK > LN > MN > HN), and the contents of NO3-N, NH4+-N, TN, and AP were significantly increased (CK < LN < MN < HN). Meanwhile, TK (CK > HN > MN > LN) and TP (CK > HN > LN > MN) significantly decreased across nitrogen treatments. SOC content showed no significant difference among nitrogen treatments. During the wet season, compared with CK, the soil pH and SOC contents of all nitrogen treatments were significantly decreased (CK > LN > MN > HN), and the contents of NO3-N, NH4+-N, TN, AP, TP, and TK were significantly increased (CK < LN < MN < HN).
Figure 2. Soil chemical properties under different nitrogen addition treatments in dry and wet seasons. Uppercase letters indicate significant differences between the same nitrogen treatments across seasons, while lowercase letters indicate significant differences between nitrogen treatments within the same season (p < 0.05). pH: acidity and alkalinity; NO3-N: nitrate nitrogen (mg·kg−1); NH4+-N: ammonium nitrogen (mg·kg−1); TN: total nitrogen (g·kg−1); SOC: organic carbon (g·kg−1); TK: total potassium (g·kg−1); AP: available phosphorus (mg·kg−1); TP: total phosphorus (g·kg−1).

3.2. Soil Enzyme Activity

As illustrated in Figure 3, variance analysis of soil enzyme activities revealed significant differences among nitrogen treatments and between seasons (p < 0.05). CAT, UE, and ACP during the dry season were higher than in the wet season (Dry > Wet), while SC activity during the dry season was lower than in the wet season (Dry < Wet). In the dry season, CAT activity elevated under LN and HN treatments but decreased significantly under MN treatment compared to CK. SC activity was significantly higher under LN treatment but decreased under MN and HN treatments. ACP activity increased significantly across all nitrogen treatments (CK < HN < MN < LN), whereas UE activity decreased (CK > HN > LN > MN). During the wet season, CAT and ACP activities increased significantly under HN treatment compared to CK. SC activity was significantly reduced under nitrogen treatments (CK > HN > LN > MN), while UE activity increased significantly (HN > MN > LN > CK).
Figure 3. Soil enzyme activity under different nitrogen addition treatments in dry and wet seasons. Uppercase letters above the bars indicate significant differences between the same nitrogen treatments across seasons, while lowercase letters indicate significant differences between nitrogen treatments within the same season (p < 0.05). CAT: catalase (U/g); SC: sucrase (U/g); UE: urease (U/g); ACP: acid phosphatase (U/g).

3.3. Soil Microbial Community Structure

3.3.1. Soil Microbial α-Diversity

The α-diversity index was employed to assess soil microbial diversity and richness (Figure 4). The analysis showed no significant differences in bacterial OTU counts, Shannon index, or Chao index between nitrogen treatments or seasons. Similarly, no significant differences were observed in fungal OTU counts, Shannon index, or Chao index between seasons. However, for fungal populations, the Shannon index elevated significantly in the dry season with MN treatment, while during the wet season, it significantly increased under LN treatment. Fungal OTUs were significantly reduced under HN treatment. Overall, seasonal changes had no significant effect on bacterial or fungal α-diversity, but fungal α-diversity responded more sensitively to nitrogen addition than bacterial α-diversity.
Figure 4. Microbial α-diversity in different nitrogen addition treatments during the dry and wet seasons. The “*” in paired tests (Student’s t-test) above the bars indicates significant differences (p < 0.05). The absence of a mark indicates no significant difference. The p value in the multi-group test (analysis of variance) below the graph column indicates the statistical significance of the comparison between groups. A smaller p value denotes a more significant difference between groups, with p < 0.05 being significant and p < 0.01 being highly significant. Higher Shannon values indicate greater community diversity, while higher Chao1 values represent greater species richness.

3.3.2. Soil Microbial β-Diversity

Principal coordinate analysis (PCoA) was utilized to examine the β-diversity of soil bacterial and fungal populations under different seasonal conditions and nitrogen addition treatments (Figure 5). Based on Bray–Curtis distances, the two dimensions of the bacterial community PCoA explained 67.2% and 11.7% of the variation, totaling 78.9%. In the fungal community analysis, the two PCoA dimensions accounted for 64.6% and 28.5%, totaling 93.1%. These findings indicated no notable differences in bacterial or fungal community structure between seasons (p > 0.05). However, the bacterial community structure varied significantly among nitrogen addition treatments, whereas the fungal community structure did not show significant changes between nitrogen addition treatments (p < 0.05). Overall, nitrogen addition had a more pronounced effect on bacterial community structure than seasonal changes, while neither nitrogen addition nor seasonal variations significantly impacted the fungal community structure.
Figure 5. Principal coordinate analysis of soil microorganisms. (A) PCoA of bacteria in dry and wet seasons, p = 0.132; (B) PCoA of fungi in dry and wet seasons, p = 0.163; (C) PCoA of bacteria in different nitrogen addition treatments, p = 0.002 **; (D) PCoA of fungi in different nitrogen addition treatments, p = 0.703. The horizontal and vertical axes represent selected principal coordinates, and the percentage reflects the variance explained by each axis. The scales of the axes are relative distances with no direct practical meaning. Points of different colors represent different groups, and the closer the points, the more similar the species composition of the samples.

3.4. Soil Microbial Community Composition

3.4.1. Relative Proportion of Soil Microbial Phyla

The relative proportion of soil microbial community composition at the phylum level was illustrated using a Circos plot (Figure 6). The results indicated that nitrogen addition caused changes in the microbial composition, while seasonal differences were less pronounced. Overall, 24 bacterial and 16 fungal phyla were determined in the dry season, and 26 bacterial and 17 fungal phyla during the wet season. The Figure illustrates the top 9 bacterial phyla (A), the fungi show the top 7 phyla in relative proportion (B), and the rest are classified as other; the bacteria during the wet season show the top 10 phyla in relative proportion (C), the fungi display the top 6 relative proportion phyla (D), and the rest are classified as other.
Figure 6. Relative abundance diagram of soil microbial phylum. (A) Relative abundance of bacterial phylum levels in the dry season; (B) relative abundance of fungal phylum levels in the dry season; (C) relative abundance of bacterial phylum levels in the wet season; (D) relative abundance of fungal phylum levels in the wet season.
In both seasons, the predominant bacterial phyla identified were Acidobacteria, Proteobacteria, and Actinobacteria (relative proportion: Acidobacteria (44.62%~46.13%) > Proteobacteria (27.75%~29.43%) > Actinobacteria (6.01%~6.54%)). Nitrogen addition decreased Acidobacteria while increasing Proteobacteria and Actinobacteria across seasons.
For fungi, the dominant phyla were Basidiomycota, Ascomycota, and Mortierellomycota (relative proportion: Basidiomycota (55.40%~55.95%) > Ascomycota (23.93%~25.54%) > Mortierellomycota (15.48%~16.17%)). Nitrogen addition had varying effects: Basidiomycota decreased during the dry season but elevated during the wet season, while Ascomycota and Mortierellomycota showed the opposite trend.

3.4.2. Relative Proportion of Soil Microorganisms at the Genus Level

The relative proportion histogram of soil microbial community composition was plotted at the genus level (Figure 7). Nitrogen addition resulted in shifts in microbial composition at this level. In total, 364 bacterial and 562 fungal genera were identified in the dry-season samples, while 407 bacterial and 645 fungal genera were found in the wet-season samples. The figure displays only genera with a relative proportion above 1%, with the rest grouped as “other”.
Figure 7. Relative abundance diagram of soil microbial genera. (A) Relative abundance of the bacterial genus in the dry season; (B) relative abundance of the fungal genus in the dry season; (C) relative abundance of the bacterial genus in the wet season; (D) relative abundance of the fungal genus in the wet season. Only genera with relative abundance >1% are shown in the figure, and the rest are classified as “other”.
During both seasons, the top three bacterial genera, Gp1, Gp2, and Gp3 (all from Acidobacteria), represented 27.07%–40.16% of the bacterial community in the dry season and 33.62%–40.68% during the wet season. For most bacterial genera, no significant differences in relative proportion were observed between nitrogen treatments or between seasons.
The top three genera were Russula, Mortierella, and Sebacina, accounting for 40.33%–54.30% of the total. During the wet season, the dominant genera were Sebacina, Russula, and Podila, accounting for 28.08% to 52.87% of the total. The dominant fungal genera varied between seasons. In the dry season, the relative proportion of Russula, the dominant genus, significantly decreased with nitrogen addition (CK > LN > MN > HN). Conversely, during the wet season, Sebacina, the dominant genus, showed a significant increase under MN treatment compared to CK (↑112.68%).

3.5. Soil Microbial Co-Occurrence Network

Using the OTUs (relative proportion > 0.1%) of each nitrogen addition treatment as the data source, bacterial co-occurrence network diagrams were constructed in both seasons (Figure 8). The overall count of nodes and connections in the dry and wet season co-occurrence networks showed significant differences (Dry < Wet). In the dry season, LN and MN treatments reduced the count of nodes and edges compared to CK, while HN treatment increased them. In contrast, nitrogen addition during the wet season led to an elevation in the number of nodes and edges across all treatments. Cooperation dominated bacterial relationships under all nitrogen treatments. In the dry season, low-concentration nitrogen additions (LN and MN) promoted bacterial cooperation, while high-concentration nitrogen additions inhibited it. In contrast, nitrogen addition during the wet season inhibited bacterial cooperation. Significant differences were found in modularity, mean degree, mean path length, and network density between the dry and wet season bacterial co-occurrence networks.
Figure 8. Soil bacterial co-occurrence network-based OTU profile in dry and wet seasons (A). Characterization of bacterial co-occurrence network properties (B). Node size indicates the connection size of the module, red connecting lines indicate cooperative relationships between species, and green connecting lines indicate competitive relationships.
For fungal co-occurrence networks, OTUs with a relative proportion >0.1% were used to construct the networks for both seasons (Figure 9). The number of nodes and connected edges differed significantly between the two seasons. During the dry season, the total count of nodes and connected edges increased under all nitrogen addition treatments versus CK, while during the wet season, these values decreased under all treatments. Cooperation dominated the relationships between fungi across all nitrogen treatments. Nitrogen addition in the dry season inhibited fungal cooperation, whereas it promoted cooperation during the wet season. Differences in modularity, mean degree, mean path length, and network density were observed between the dry and wet season fungal co-occurrence networks.
Figure 9. Soil fungal co-occurrence network-based OTU profile (A) in dry and wet seasons. Characterization of bacterial co-occurrence network (B). The node size indicates the connection size of the module, the red connecting line indicates the cooperative relationship between species, and the green connecting line indicates the competitive relationship.

3.6. Relationship Between Soil Microbial Community and Soil Environmental Factors

A Mantel test was conducted to investigate the association between microbial composition and soil conditions (Figure 10). During the dry season, the bacterial community structure was significantly correlated with soil CAT activity and bacterial Shannon index. The fungal community structure was significantly correlated with AP content, UE activity, and fungal Shannon index (Figure 10A). During the wet season, most chemical characteristics and enzymatic functions were associated with microbial community structure (pH, NH4+-N, NO3-N, TN, AP, TP, TK, SOC, UE, BChao, BShannon, FShannon, BOTUs, FOTUs), Specifically, bacterial community structure was linked to the bacterial Chao index and fungal OTUs. In contrast, fungal community structure was significantly correlated with the fungal Shannon index (Figure 10B).
Figure 10. Relationship between microbial community structure and soil environmental factors in dry (A) and wet (B) seasons. The Pearson correlation coefficients between different chemical properties, enzyme activities, and microbial community traits are shown in the right triangle graph, and the Mantel test-related results are shown in the right line graph. pH: acidity and alkalinity; NO3-N: nitrate nitrogen (mg·kg−1); NH4+-N: ammonium nitrogen (mg·kg−1); TN: total nitrogen (g·kg−1); SOC: organic carbon (g·kg−1); TK: total potassium (g·kg−1); AP: available phosphorus (mg·kg−1); TP: total phosphorus (g·kg−1). CAT: catalase (U/g); SC: sucrase (U/g); UE: urease (U/g); ACP: acid phosphatase (U/g). Bchao: bacterial chao1 index; Bshannon: bacterial Shannon index; Fchao: fungal chao1 index; Fshannon: fungal Shannon index; BOTUs: bacterial OUT number; FOTUs: fungal OUT number.
RDA analysis was performed to identify the key environmental conditions influencing microbial community structure (Figure 11). During the dry season, the first two RDA axes accounted for 72.88% and 26.93% of the variation in microbial communities, cumulatively accounting for 99.81%. Soil NO3-N content emerged as the primary environmental factor influencing microbial community structure (p < 0.1). During the wet season, the first two axes accounted for 80.54% and 19.42% of the variation in microbial community structure, respectively, totaling 99.96%, with soil UE activity emerging as the most significant factor (p < 0.05).
Figure 11. Main environmental factors controlling the microbial community structure in dry (A,B) and wet (C,D) seasons determined by RDA analysis. Abbreviations for soil chemical properties and enzyme activities are explained in the legends of Figure 2 and Figure 3. BPC1, BPC2: bacterial community; FPC, FPC2: fungal community. *: p < 0.05.

4. Discussion

4.1. Effect of Nitrogen Deposition on Soil Chemical Characteristics and Enzyme Activity

Increasing nitrogen addition significantly decreased soil pH during both seasons, while levels of NO3-N, NH4+-N, TN, and AP significantly increased. The patterns for TP and TK were opposite between seasons, showing a significant decrease in the dry season and a significant increase during the wet season. SOC content did not change significantly during the dry season but decreased significantly in the wet season. These findings suggest that nitrogen deposition significantly alters soil nutrient content, consistent with previous studies [1,24,25]. The observed decrease in soil pH is likely due to nitrogen addition enhancing soil microbial nitrification, which releases H⁺, causing acidification [26]. During the wet season, elevated soil moisture causes hydrolysis, which consumes H⁺, thus slowing soil acidification. As a result, soil pH is significantly higher during the wet season versus the dry season, with a lower degree of acidification. Changes in SOC depend on the balance between organic matter input and its consumption, primarily driven by microbial decomposition [27]. Some studies suggest that nitrogen addition can slow the decomposition of soil organic matter [28]. In this study, nitrogen addition had no significant effect on SOC content during the dry season but caused a marked decrease during the wet season. Related studies have used the Century model to find that the reduction in SOC may be related to rainwater erosion during the wet season [29]. The decrease in SOC in the wet season in this study may be due to higher soil moisture during the wet season, which contributes to SOC erosion from rain and enhances microbial growth and activity due to favorable moisture and temperature conditions. Increased microbial activity intensifies the demand for carbon-rich organic matter, leading to a reduction in SOC [30]. The significant increase in the contents of NO3-N, NH4+-N, and TN in the soil indicates that nitrogen application effectively enhances the availability of nitrogen sources, improves soil structure and microbial activity, and further promotes nitrogen cycle and utilization to alleviate nitrogen limitation in forest soils [31].
Soil enzyme activity reflects nutrient requirements and limitations of soil microbial metabolic processes [32]. This study revealed that soil enzyme activity is affected by the complex interaction between season and nitrogen addition level, suggesting that environmental factors play a critical role in soil microorganisms and their metabolic activities. Nitrogen addition significantly altered soil enzyme activity and the response varied between seasons, consistent with previous studies [33,34], likely due to an imbalance in soil nutrient element ratios following nitrogen addition, leading to either stimulation or inhibition of enzyme activities. This result is also supported by the research results of Dong et al., who showed that nitrogen addition significantly reduced the enzyme N:P ratio, significantly increased AP activity, and reduced NAG enzyme activity [35]. In this study, the activities of CAT, UE, and ACP were significantly higher in the dry season versus the wet season, which could be linked to lower soil water content and the physiological adaptations of microorganisms during dry conditions. The enhanced CAT activity may be related to its role in mitigating oxidative stress under drought conditions, aiding microorganisms in scavenging excess reactive oxygen species [36]. Nitrogen addition boosted CAT activity in both seasons because the improved nutrient availability after nitrogen addition promoted CAT synthesis. The increased UE and ACP activities in the dry season may be associated with water stress on microorganisms. Plants under limited water availability often regulate nitrogen metabolism by enhancing UE activity to improve nitrogen utilization [31]. Similarly, increased ACP activity helps improve phosphorus availability in the soil, providing essential nutrients for plants [37]. SC activity in the dry season was lower than during the wet season, possibly due to the reduced availability of soluble organic matter and the adverse environmental conditions affecting microbial activity. The increased SC activity during the wet season may enhance soil carbon cycling efficiency, thus increasing the nutrient supply [38]. Generally, higher SOC content promotes microbial activity, enhancing SC activity. In this study, nitrogen addition inhibited SC activity, likely due to reduced SOC content (Figure 2). Overall, these findings underscore the complex influence of nitrogen deposition on soil enzyme function and highlight the critical role of seasonal factors in shaping these responses.

4.2. Impact of Nitrogen Deposition on Microbial Community Structure and Composition

Ecosystem functions are directly related to changes in soil microbial community richness, diversity, and composition [39]. In this study, varying levels of nitrogen addition across both seasons had no significant impact on the richness and diversity of the soil bacterial community. However, fungal diversity increased under MN treatment in the dry season and LN treatment in the wet season. No substantial seasonal differences in bacterial or fungal richness and diversity were observed (Figure 4). These findings contradict hypothesis (1) of this study. Previous research has generally reported that nitrogen deposition decreases microbial community diversity and richness [25,40,41], but the results of this study diverge from these conclusions. This discrepancy may be attributed to the resilience of alpine oak forests, which exhibit strong resistance to environmental disturbances, including high altitude and windy conditions. As a mature forest with diverse vegetation, the alpine oak ecosystem appears to withstand nitrogen addition without significant changes to bacterial diversity and richness. However, nitrogen addition did significantly affect fungal community diversity at certain concentrations. This outcome may reflect the selective effects of different nitrogen levels on microbial communities, suggesting that fungi, under specific nitrogen concentrations, may be more capable of adapting to and utilizing soil nutrients [42,43], thus promoting their diversity.
In this study, nitrogen addition changed the microbial community structure. For the dominant bacterial phyla (Acidobacteria, Proteobacteria, and Actinobacteria), nitrogen addition in both seasons decreased the relative proportion of Acidobacteria while boosting the levels of Proteobacteria and Actinobacteria (Figure 6). This shift is likely due to the differing nitrogen utilization strategies among these microbial groups [25,44]. For the dominant fungal phyla (Basidiomycota, Ascomycota, and Mortierellomycota), their responses to seasonal changes and nitrogen addition were inconsistent. After nitrogen addition in the dry season, the relative proportion of Basidiomycota reduced, while Ascomycota and Mortierellomycota also showed declines. In contrast, the opposite pattern was observed during the wet season. This variation may be related to soil nutrient content. For example, Ascomycota is more adapted to nutrient-poor soils, while Basidiomycota dominates in nutrient-rich environments [45,46]. The wet season, with higher soil nutrient content, favored the growth of Basidiomycota, leading to its increased relative proportion and a corresponding decrease in Ascomycota. For the dominant bacterial genera, this study observed that fungal genera were more sensitive than bacterial genera (Figure 7). Nitrogen addition did not cause significant changes in dominant bacterial genera between seasons. The predominant bacterial genera in both seasons, Gp1, Gp2, and Gp3, all belonged to Acidobacteria, showed a decrease in relative proportion with nitrogen addition, mirroring the overall response of Acidobacteria to nitrogen treatment. This aligns with the general observation that Acidobacteria is the predominant bacterial phylum in the study area [47]. The dominant genus of fungi changes significantly between seasons. Russula, the dominant genus in the dry season and an important group within Basidiomycota, showed a decrease in relative proportion following nitrogen addition, mirroring the response of Basidiomycota. During the wet season, Sebacina was the dominant genus, known for its role in decomposing organic matter and enhancing the availability of water and minerals, such as phosphorus and nitrogen, for plants [48]. The rise in soil moisture levels during the wet season probably contributed to the increased relative proportion of Sebacina. Furthermore, the research findings indicated that variations in seasons and nitrogen supplementation had minimal impact on the soil fungal community structure. In contrast, nitrogen addition significantly influenced the bacterial community structure, whereas seasonal changes did not induce a notable response in the bacterial community (Figure 5). Previous research on Yunnan pine forests has suggested that tree species diversity positively influences soil microbial community structure through root exudates, nutrient availability, and water uptake, allowing diverse fungal taxa to coexist in forest ecosystems [49]. However, the alpine oak forest in this study is a mature forest located in a windy mountaintop region, with sparse understory vegetation and low species richness. Consequently, neither seasonal changes nor nitrogen addition significantly affected plant species richness, which may explain why the fungal community structure remained insensitive to these factors. The consistent composition of the fungal community across various nitrogen addition treatments suggests a certain resistance to changes in nitrogen concentration. This resilience may be attributed to the role fungi play in ecosystems, where they contribute to nutrient cycling by decomposing organic matter and forming mycorrhizal relationships with plants. The stability of fungal community structure might also be due to their long growth cycles and ecological adaptability, allowing them to maintain relatively constant community dynamics in changing environments [43]. Additionally, fungi may adopt a slower, more gradual adaptation strategy in response to nitrogen addition, further contributing to their community stability [50].

4.3. The Link Between Soil Microbial Communities and Environmental Conditions

The stability of an ecosystem is influenced not only by the composition of its microbial community members but also by the interactions between coexisting members [51]. Soil microbial co-occurrence networks offer a way to visualize ecological interactions within microbial communities [52], where network hubs and modular hubs play a crucial role in shaping these communities [53]. This study analyzed the microbial community co-occurrence network by examining the connections between OTUs, revealing that both nitrogen addition and seasonal changes significantly affected the complexity of these networks. For the bacterial co-occurrence network, nitrogen addition during the wet season resulted in higher complexity and modularity versus the dry season. This heightened network complexity may be attributed to the enhanced growth and metabolic activity of bacteria under the favorable environmental conditions of the wet season. Factors such as higher temperature and humidity during this period likely promoted stronger interactions between bacterial species, contributing to a more intricate network structure. This finding aligns with hypothesis (2), suggesting that increased network complexity contributes to the stability and functional diversity of bacterial communities, thereby enhancing ecosystem resilience. In contrast, fungal co-occurrence networks exhibited lower complexity and modularity after nitrogen addition during the wet season. This decline could be linked to the fungal response mechanism to nitrogen. Excessive nitrogen during the wet season could increase competition within the fungal community, inhibiting the growth of certain species and reducing network complexity. Additionally, the environmental conditions during the wet season, such as higher moisture levels, may be unfavorable for the survival of some aerobic fungi, further influencing the structure of the co-occurrence network.
Many studies have demonstrated that environmental factors are linked to the composition of soil microbial communities [54], and nitrogen addition can directly or indirectly affect the composition and structure of soil microbial communities by changing various soil nutrients [25]. In this study, the Mantel test and redundancy analysis (RDA) were utilized to explore the relationship between microbial community structure and soil environmental factors. The results revealed that environmental conditions during both seasons significantly impacted microbial communities. During the dry season, bacterial community structure was significantly correlated with soil CAT activity and the bacterial Shannon index, indicating a close relationship between bacterial diversity and metabolic activity. As a key enzyme, CAT may participate in redox reactions in the soil, affecting bacterial survival and community structure. Additionally, fungal community structure was significantly correlated with AP content, UE activity, and the fungal Shannon index, highlighting the essential role of soil nutrients and enzyme functions in shaping fungal populations. Further analysis revealed that during the wet season, several chemical characteristics and enzyme functions (such as pH, NO3-N, NH4+-N, etc.) were associated with microbial community structure. These results suggest that the formation of microbial communities is strongly influenced by the soil’s physical and chemical conditions, which fluctuate with seasonal changes. Increased moisture during the wet season likely enhances nutrient availability, leading to a reorganization of microbial communities. RDA analysis results further revealed the dominant role of environmental factors in microbial community structure. During the dry season, NO3-N content was identified as the main regulatory factor, while during the wet season, UE activity played a key role. This change may be related to changes in soil moisture content [55]. Under humid conditions, UE’s ability to decompose organic matter may be significantly enhanced, thereby promoting the flourishing of microorganisms [56]. Overall, this study highlights the complex interactions between microbial community dynamics and soil environmental conditions, especially the profound impact of seasonal changes on microbial ecosystems (Figure 12). However, when exploring the relationship between microbial communities and soil environment under nitrogen deposition, the necessity of long-term ecological research still needs to be considered. Carrying out long-term monitoring studies will help to more comprehensively understand the interaction mechanism between microbial community dynamics and soil environment under nitrogen deposition and provide a scientific basis for sustainable soil management and ecological restoration.
Figure 12. The link between soil microbial communities and environmental conditions. The color of the line indicates the significance, blue: p < 0.01, red: 0.01 < p < 0.05. The virtual and real line indicates the strength of the relationship. The more obvious the line, the stronger the correlation.

5. Conclusions

The results of this study demonstrate that continuous nitrogen addition significantly affects soil chemical properties and enzyme activities in subtropical alpine oak forests, with soil acidification worsening. However, increased soil moisture due to seasonal changes can mitigate the acidification trend. While seasonal changes and nitrogen addition did not impact the abundance and diversity of soil bacteria. However, specific levels of nitrogen addition were found to enhance the abundance and diversity of soil fungi. The effect of nitrogen addition on the complexity of bacterial and fungal co-occurrence networks varied by season. Fungal and bacterial network complexities exhibited contrasting responses to nitrogen addition between both seasons. Seasonal changes, along with nitrogen input, had a notable effect on the structure of bacterial and fungal populations. Particularly, the presence of nitrogen had a pronounced influence on the abundance of fungal genera during the wet season. Although nitrogen addition had minimal influence on the overall structure of fungal populations, it significantly modified the structure of bacterial communities. Seasonal changes in soil moisture conditions further led to significant differences in bacterial and fungal community structures between the dry and wet seasons. The environmental factors driving these changes differed considerably between seasons. These findings offer an important ecological foundation for understanding soil microbial communities and act as a valuable reference for forest soil management and microbial remediation strategies in the context of future atmospheric nitrogen deposition. The study highlights the importance of considering microbial diversity and soil health while accounting for seasonal environmental changes in forest ecosystems and the importance of considering seasonal variations in environmental factors when assessing microbial diversity and soil health in the future.

Author Contributions

The tasks of investigation, methodology, formal analysis, and visualization were conducted by W.C., who also contributed to the original drafting and the subsequent review and editing. Z.H. was responsible for conceptualization, visualization, methodology, data curation, and the initial writing. D.Z. handled investigation, methodology, and data curation tasks. J.X. focused on investigation, validation, and software development. K.W. oversaw resources, supervision, and project administration. Meanwhile, Y.S. managed project administration, supervision, funding acquisition, and the review and editing of the writing. All authors have read and agreed to the published version of the manuscript.

Funding

This research was funded by Yunnan Fundamental Research Projects (202401AT070262), Agricultural Joint Special Project of Yunnan Province (202301BD070001-059), First-Class Discipline in Soil and Water Conservation and Desertification Prevention in Yunnan Province (SBK20240044), the Natural Ecology Monitoring Network Project Operation Project of Yuxi Forest Ecological Station in Yunnan Province (2024-YN-13), and the Long-term Scientific Research Base of Yuxi Forest Ecosystem National in Yunnan Province (2020132550).

Data Availability Statement

All data that support the findings of this study are included within the article.

Acknowledgments

The authors thank the following people for their help with this research: Chenggong Song, Xiao-dong Li, and Qian Wang provided field assistance; Xiaohua Zhang helped with the illustrations for this article.

Conflicts of Interest

The authors declare that the research was conducted in the absence of any commercial or financial relationships that could be construed as a potential conflict of interest.

References

  1. Sha, M.; Xu, J.; Zheng, Z.; Fa, K. Enhanced atmospheric nitrogen deposition triggered little change in soil microbial diversity and structure in a desert ecosystem. Glob. Ecol. Conserv. 2021, 31, e01879. [Google Scholar] [CrossRef]
  2. Ma, X.; Wang, T.; Shi, Z.; Chiariello, N.R.; Docherty, K.; Field, C.B.; Gutknecht, J.; Gao, Q.; Gu, Y.; Guo, X. Long-term nitrogen deposition enhances microbial capacities in soil carbon stabilization but reduces network complexity. Microbiome 2022, 10, 112. [Google Scholar]
  3. Chen, S.; Chen, B.; Wang, S.; Sun, L.; Shi, H.; Liu, Z.; Wang, Q.; Li, H.; Zhu, T.; Li, D. Spatiotemporal variations of atmospheric nitrogen deposition in China during 2008–2020. Atmos. Environ. 2023, 315, 120120. [Google Scholar] [CrossRef]
  4. Wen, Z.; Xu, W.; Li, Q.; Han, M.; Tang, A.; Zhang, Y.; Luo, X.; Shen, J.; Wang, W.; Li, K. Changes of nitrogen deposition in China from 1980 to 2018. Environ. Int. 2020, 144, 106022. [Google Scholar] [CrossRef]
  5. Huang, L.; Zhang, G.; Bai, J.; Xia, Z.; Wang, W.; Jia, J.; Wang, X.; Liu, X.; Cui, B. Desalinization via freshwater restoration highly improved microbial diversity, co-occurrence patterns and functions in coastal wetland soils. Sci. Total Environ. 2021, 765, 142769. [Google Scholar] [CrossRef]
  6. Xie, D.-N.; Yang, D.-X.; Duan, L. Response of Forest Ecosystems to Decreasing Atmospheric Nitrogen Deposition. Huan Jing Ke Xue Huanjing Kexue 2023, 44, 2681–2693. [Google Scholar]
  7. Zhang, P.; Lü, X.-T.; Li, M.-H.; Wu, T.; Jin, G. N limitation increases along a temperate forest succession: Evidences from leaf stoichiometry and nutrient resorption. J. Plant Ecol. 2022, 15, 1021–1035. [Google Scholar] [CrossRef]
  8. Bhattacharyya, S.S.; Ros, G.H.; Furtak, K.; Iqbal, H.M.; Parra-Saldívar, R. Soil carbon sequestration—An interplay between soil microbial community and soil organic matter dynamics. Sci. Total Environ. 2022, 815, 152928. [Google Scholar] [CrossRef]
  9. Nair, P.R.; Kumar, B.M.; Nair, V.D.; Nair, P.R.; Kumar, B.M.; Nair, V.D. Soil organic matter (SOM) and nutrient cycling. In An Introduction to Agroforestry: Four Decades of Scientific Developments; Springer: Cham, Switzerland, 2021; pp. 383–411. [Google Scholar]
  10. Boeraeve, M.; Kohout, P.; Ceulemans, T.; Cajthaml, T.; Tedersoo, L.; Jacquemyn, H. Changes in the root microbiome of four plant species with different mycorrhizal types across a nitrogen deposition gradient in ombrotrophic bogs. Soil Biol. Biochem. 2022, 169, 108673. [Google Scholar] [CrossRef]
  11. Yang, A.; Song, B.; Zhang, W.; Zhang, T.; Li, X.; Wang, H.; Zhu, D.; Zhao, J.; Fu, S. Chronic enhanced nitrogen deposition and elevated precipitation jointly benefit soil microbial community in a temperate forest. Soil Biol. Biochem. 2024, 193, 109397. [Google Scholar] [CrossRef]
  12. Ding, Z.; Gong, L.; Zhu, H.; Tang, J.; Li, X.; Zhang, H. Changes in soil microbial communities under mixed organic and inorganic nitrogen addition in temperate forests. Forests 2022, 14, 21. [Google Scholar] [CrossRef]
  13. Taylor, A.F.; Freitag, T.E.; Robinson, L.; White, D.; Hedley, P.; Britton, A.J. Nitrogen deposition and temperature structure fungal communities associated with alpine moss-sedge heath in the UK. Fungal Ecol. 2022, 60, 101191. [Google Scholar] [CrossRef]
  14. Yin, X.; Peñuelas, J.; Xu, X.; Sardans, J.; Fang, Y.; Wiesmeier, M.; Chen, Y.; Chen, X.; Wang, W. Effects of addition of nitrogen-enriched biochar on bacteria and fungi community structure and C, N, P, and Fe stoichiometry in subtropical paddy soils. Eur. J. Soil Biol. 2021, 106, 103351. [Google Scholar] [CrossRef]
  15. Lee, J.-Y. The Principles and Applications of High-Throughput Sequencing Technologies. Dev. Reprod. 2023, 27, 9. [Google Scholar] [CrossRef]
  16. Zhang, Y.; Wang, P.; Long, Z.; Ding, L.; Zhang, W.; Tang, H.; Liu, J. Research progress of soil microorganism application based on high-throughput sequencing technology. In Proceedings of the IOP Conference Series: Earth and Environmental Science, Wenzhou, China, 11–13 November 2021; p. 042059. [Google Scholar]
  17. Straub, D.; Blackwell, N.; Langarica-Fuentes, A.; Peltzer, A.; Nahnsen, S.; Kleindienst, S. Interpretations of environmental microbial community studies are biased by the selected 16S rRNA (gene) amplicon sequencing pipeline. Front. Microbiol. 2020, 11, 550420. [Google Scholar] [CrossRef]
  18. Bao, S.D. Soil and Agricultural Chemistry Analysis; China Agricultural Press: Beijing, China, 2000. [Google Scholar]
  19. Edgar, R.C. UPARSE: Highly accurate OTU sequences from microbial amplicon reads. Nat. Methods 2013, 10, 996–998. [Google Scholar] [CrossRef]
  20. Edgar, R.C.; Haas, B.J.; Clemente, J.C.; Quince, C.; Knight, R. UCHIME improves sensitivity and speed of chimera detection. Bioinformatics 2011, 27, 2194–2200. [Google Scholar] [CrossRef]
  21. Shannon, C.E. A mathematical theory of communication. ACM SIGMOBILE Mob. Comput. Commun. Rev. 2001, 5, 3–55. [Google Scholar] [CrossRef]
  22. Yang, G.S.; Zhang, Z.S.; Zhao, Y.; Shi, Y.F.; Hu, R. Litter decomposition and its effects on soil microbial community in Shapotou area, China. Ying Yong Sheng Tai Xue Bao J. Appl. Ecol. 2022, 33, 1810–1818. [Google Scholar] [CrossRef]
  23. Feng, K.; Peng, X.; Zhang, Z.; Gu, S.; He, Q.; Shen, W.; Wang, Z.; Wang, D.; Hu, Q.; Li, Y. iNAP: An integrated network analysis pipeline for microbiome studies. iMeta 2022, 1, e13. [Google Scholar] [CrossRef]
  24. Jiang, M.; Tian, Y.; Guo, R.; Li, S.; Guo, J.; Zhang, T. Effects of warming and nitrogen addition on soil fungal and bacterial community structures in a temperate meadow. Front. Microbiol. 2023, 14, 1231442. [Google Scholar] [CrossRef] [PubMed]
  25. Wang, J.; Shi, X.; Zheng, C.; Suter, H.; Huang, Z. Different responses of soil bacterial and fungal communities to nitrogen deposition in a subtropical forest. Sci. Total Environ. 2021, 755, 142449. [Google Scholar] [CrossRef] [PubMed]
  26. Wang, J.; Tu, X.; Zhang, H.; Cui, J.; Ni, K.; Chen, J.; Cheng, Y.; Zhang, J.; Chang, S.X. Effects of ammonium-based nitrogen addition on soil nitrification and nitrogen gas emissions depend on fertilizer-induced changes in pH in a tea plantation soil. Sci. Total Environ. 2020, 747, 141340. [Google Scholar] [CrossRef] [PubMed]
  27. Guo, J.; Wang, Y.; Li, J. Effects of nitrogen addition on plant-soil carbon dynamics in terrestrial ecosystems of China. Acta Ecol. Sin. 2022, 42, 4823–4833. [Google Scholar]
  28. He, Y.; Xing, Y.; Yan, G.; Liu, G.; Liu, T.; Wang, Q. Long-Term Nitrogen Addition Could Modify Degradation of Soil Organic Matter through Changes in Soil Enzymatic Activity in a Natural Secondary Forest. Forests 2023, 14, 2049. [Google Scholar] [CrossRef]
  29. Polyakov, V.; Lal, R. Modeling soil organic matter dynamics as affected by soil water erosion. Environ. Int. 2004, 30, 547–556. [Google Scholar] [CrossRef]
  30. Amulothu, D.; Kumar, J.; Pal, A.; Mondal, K.; Rai, S.; Maurya, C.; Yadav, R.; Singh, B.V. Microbial Responses to Carbon Sequestration Soil Amendment and Productivity. Int. J. Environ. Clim. Chang. 2023, 13, 3587–3597. [Google Scholar] [CrossRef]
  31. He, W.; Zhang, M.; Jin, G.; Sui, X.; Zhang, T.; Song, F. Effects of nitrogen deposition on nitrogen-mineralizing enzyme activity and soil microbial community structure in a Korean pine plantation. Microb. Ecol. 2021, 81, 410–424. [Google Scholar] [CrossRef]
  32. Abay, P.; Gong, L.; Luo, Y.; Zhu, H.; Ding, Z. Soil extracellular enzyme stoichiometry reveals the nutrient limitations in soil microbial metabolism under different carbon input manipulations. Sci. Total Environ. 2024, 913, 169793. [Google Scholar] [CrossRef]
  33. Chen, Y.; Han, M.; Yuan, X.; Cao, G.; Zhu, B. Seasonal changes in soil properties, microbial biomass and enzyme activities across the soil profile in two alpine ecosystems. Soil Ecol. Lett. 2021, 3, 383–394. [Google Scholar] [CrossRef]
  34. Ma, S.; Chen, G.; Tang, W.; Xing, A.; Chen, X.; Xiao, W.; Zhou, L.; Zhu, J.; Li, Y.; Zhu, B. Inconsistent responses of soil microbial community structure and enzyme activity to nitrogen and phosphorus additions in two tropical forests. Plant Soil 2021, 460, 453–468. [Google Scholar] [CrossRef]
  35. Dong, C.; Wang, W.; Liu, H.; Xu, X.; Zeng, H. Temperate grassland shifted from nitrogen to phosphorus limitation induced by degradation and nitrogen deposition: Evidence from soil extracellular enzyme stoichiometry. Ecol. Indic. 2019, 101, 453–464. [Google Scholar] [CrossRef]
  36. Takio, N.; Yadav, M.; Yadav, H.S. Catalase-mediated remediation of environmental pollutants and potential application–A review. Biocatal. Biotransform. 2021, 39, 389–407. [Google Scholar] [CrossRef]
  37. Nair, A.; Sarma, S. The impact of carbon and nitrogen catabolite repression in microorganisms. Microbiol. Res. 2021, 251, 126831. [Google Scholar] [CrossRef]
  38. Xiao, L.; Zhang, Y.; Li, W.; Wang, N.; Cui, X.; Xia, X. High-Quality Litter and Exogenous Cellulase Enhance Soil Nutrient Cycling and Enzymatic Activities. Agriculture 2024, 14, 2162. [Google Scholar] [CrossRef]
  39. Shi, X.; Wang, J.; Müller, C.; Hu, H.-W.; He, J.-Z.; Wang, J.; Huang, Z. Dissimilatory nitrate reduction to ammonium dominates soil nitrate retention capacity in subtropical forests. Biol. Fertil. Soils 2020, 56, 785–797. [Google Scholar] [CrossRef]
  40. Li, T.; Cui, L.; Liu, L.; Wang, H.; Dong, J.; Wang, F.; Song, X.; Che, R.; Li, C.; Tang, L. Characteristics of nitrogen deposition research within grassland ecosystems globally and its insight from grassland microbial community changes in China. Front. Plant Sci. 2022, 13, 947279. [Google Scholar] [CrossRef]
  41. Zhang, R.-T.; Liu, Y.-N.; Zhong, H.-X.; Chen, X.-W.; Sui, X. Effects of simulated nitrogen deposition on the soil microbial community diversity of a Deyeuxia angustifolia wetland in the Sanjiang Plain, Northeastern China. Ann. Microbiol. 2022, 72, 11. [Google Scholar] [CrossRef]
  42. Philippot, L.; Chenu, C.; Kappler, A.; Rillig, M.C.; Fierer, N. The interplay between microbial communities and soil properties. Nat. Rev. Microbiol. 2024, 22, 226–239. [Google Scholar] [CrossRef]
  43. Treseder, K.K.; Lennon, J.T. Fungal traits that drive ecosystem dynamics on land. Microbiol. Mol. Biol. Rev. 2015, 79, 243–262. [Google Scholar] [CrossRef]
  44. Nie, Y.; Wang, M.; Zhang, W.; Ni, Z.; Hashidoko, Y.; Shen, W. Ammonium nitrogen content is a dominant predictor of bacterial community composition in an acidic forest soil with exogenous nitrogen enrichment. Sci. Total Environ. 2018, 624, 407–415. [Google Scholar] [CrossRef] [PubMed]
  45. Bayranvand, M.; Akbarinia, M.; Salehi Jouzani, G.; Gharechahi, J.; Kooch, Y.; Baldrian, P. Composition of soil bacterial and fungal communities in relation to vegetation composition and soil characteristics along an altitudinal gradient. FEMS Microbiol. Ecol. 2021, 97, fiaa201. [Google Scholar] [CrossRef] [PubMed]
  46. Yang, H.; Cheng, L.; Che, L.; Su, Y.; Li, Y. Nutrients addition decreases soil fungal diversity and alters fungal guilds and co-occurrence networks in a semi-arid grassland in northern China. Sci. Total Environ. 2024, 926, 172100. [Google Scholar] [CrossRef] [PubMed]
  47. Chen, W.; Hou, Z.; Zhang, D.; Chen, L.; Wang, K.; Song, Y. Increased Soil Moisture in the Wet Season Alleviates the Negative Effects of Nitrogen Deposition on Soil Microbial Communities in Subtropical Evergreen Broad-Leaved Forest. Forests 2024, 15, 1473. [Google Scholar] [CrossRef]
  48. Looney, B.P.; Meidl, P.; Piatek, M.J.; Miettinen, O.; Martin, F.M.; Matheny, P.B.; Labbé, J.L. Russulaceae: A new genomic dataset to study ecosystem function and evolutionary diversification of ectomycorrhizal fungi with their tree associates. New Phytol. 2018, 218, 54–65. [Google Scholar] [CrossRef]
  49. Li, S.; Huang, X.; Shen, J.; Xu, F.; Su, J. Effects of plant diversity and soil properties on soil fungal community structure with secondary succession in the Pinus yunnanensis forest. Geoderma 2020, 379, 114646. [Google Scholar] [CrossRef]
  50. Bardgett, R.D.; Caruso, T. Soil microbial community responses to climate extremes: Resistance, resilience and transitions to alternative states. Philos. Trans. R. Soc. B 2020, 375, 20190112. [Google Scholar] [CrossRef]
  51. Gao, C.; Xu, L.; Montoya, L.; Madera, M.; Hollingsworth, J.; Chen, L.; Purdom, E.; Singan, V.; Vogel, J.; Hutmacher, R.B. Co-occurrence networks reveal more complexity than community composition in resistance and resilience of microbial communities. Nat. Commun. 2022, 13, 3867. [Google Scholar] [CrossRef]
  52. Zhang, M.; Zhang, X.; Zhang, L.; Zeng, L.; Liu, Y.; Wang, X.; He, P.; Li, S.; Liang, G.; Zhou, W. The stronger impact of inorganic nitrogen fertilization on soil bacterial community than organic fertilization in short-term condition. Geoderma 2021, 382, 114752. [Google Scholar] [CrossRef]
  53. Guseva, K.; Darcy, S.; Simon, E.; Alteio, L.V.; Montesinos-Navarro, A.; Kaiser, C. From diversity to complexity: Microbial networks in soils. Soil Biol. Biochem. 2022, 169, 108604. [Google Scholar] [CrossRef]
  54. Hou, Z.; Zhang, X.; Chen, W.; Liang, Z.; Wang, K.; Zhang, Y.; Song, Y. Differential Responses of Bacterial and Fungal Community Structure in Soil to Nitrogen Deposition in Two Planted Forests in Southwest China in Relation to pH. Forests 2024, 15, 1112. [Google Scholar] [CrossRef]
  55. Tuo, Y.; Wang, Z.; Zheng, Y.; Shi, X.; Liu, X.; Ding, M.; Yang, Q. Effect of water and fertilizer regulation on the soil microbial biomass carbon and nitrogen, enzyme activity, and saponin content of Panax notoginseng. Agric. Water Manag. 2023, 278, 108145. [Google Scholar] [CrossRef]
  56. Sun, D.; Li, K.; Bi, Q.; Zhu, J.; Zhang, Q.; Jin, C.; Lu, L.; Lin, X. Effects of organic amendment on soil aggregation and microbial community composition during drying-rewetting alternation. Sci. Total Environ. 2017, 574, 735–743. [Google Scholar] [CrossRef] [PubMed]
Disclaimer/Publisher’s Note: The statements, opinions and data contained in all publications are solely those of the individual author(s) and contributor(s) and not of MDPI and/or the editor(s). MDPI and/or the editor(s) disclaim responsibility for any injury to people or property resulting from any ideas, methods, instructions or products referred to in the content.

Article Metrics

Citations

Article Access Statistics

Multiple requests from the same IP address are counted as one view.