C, N, P, and K Ecological Stoichiometry Characteristics of Different Organs of Tree Species in Dolomite and Limestone Karst Areas of Southwestern China
Abstract
1. Introduction
2. Materials and Methods
2.1. Research Sites
2.2. Research Approach
2.2.1. Field Sampling Survey
2.2.2. Sample Collection, Processing, and Measurement
2.3. Data Analysis and Statistics
3. Results
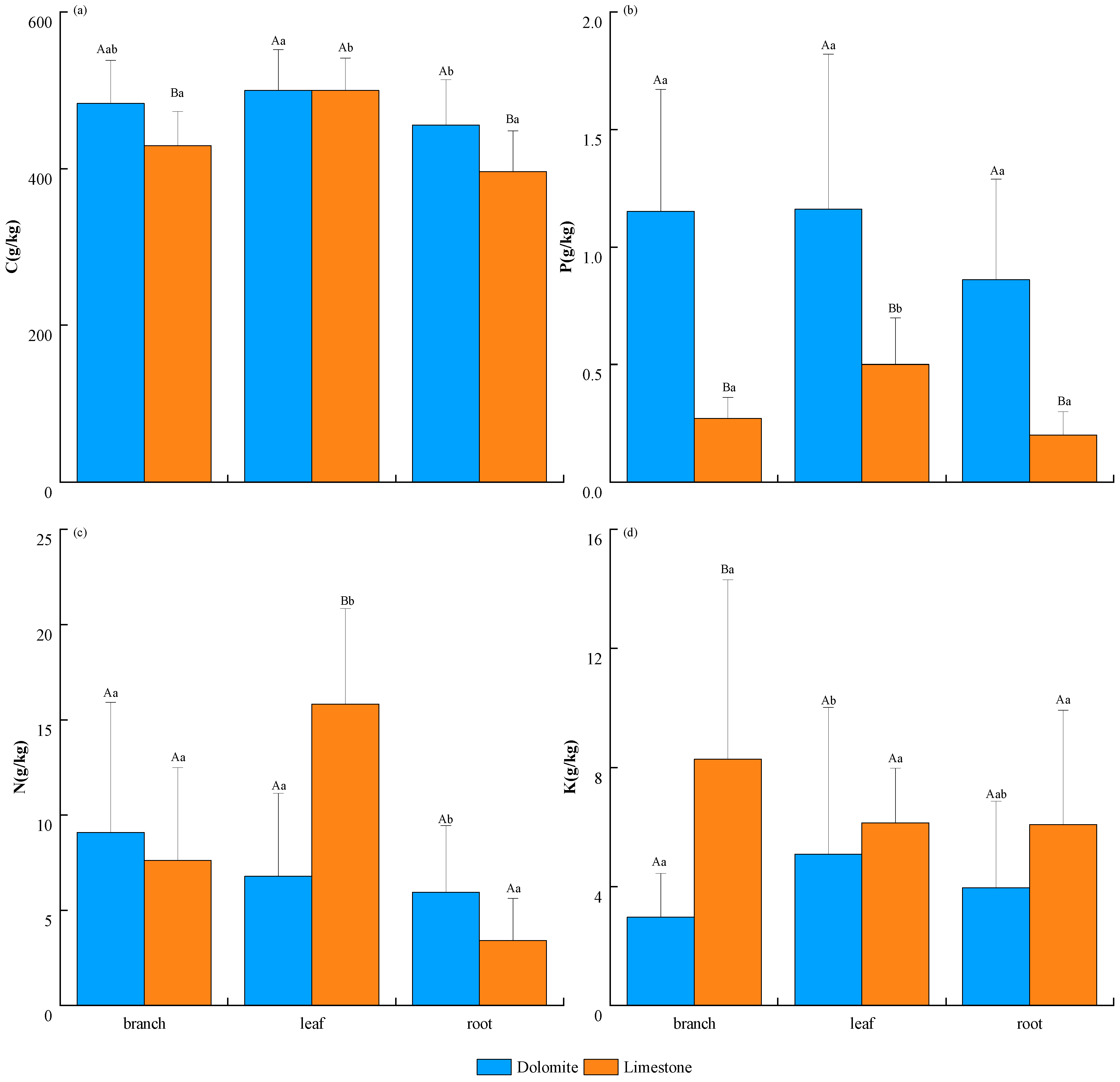
3.1. C, N, P, and K Contents in Various Plant Organs in Karst Regions with Different Lithologies
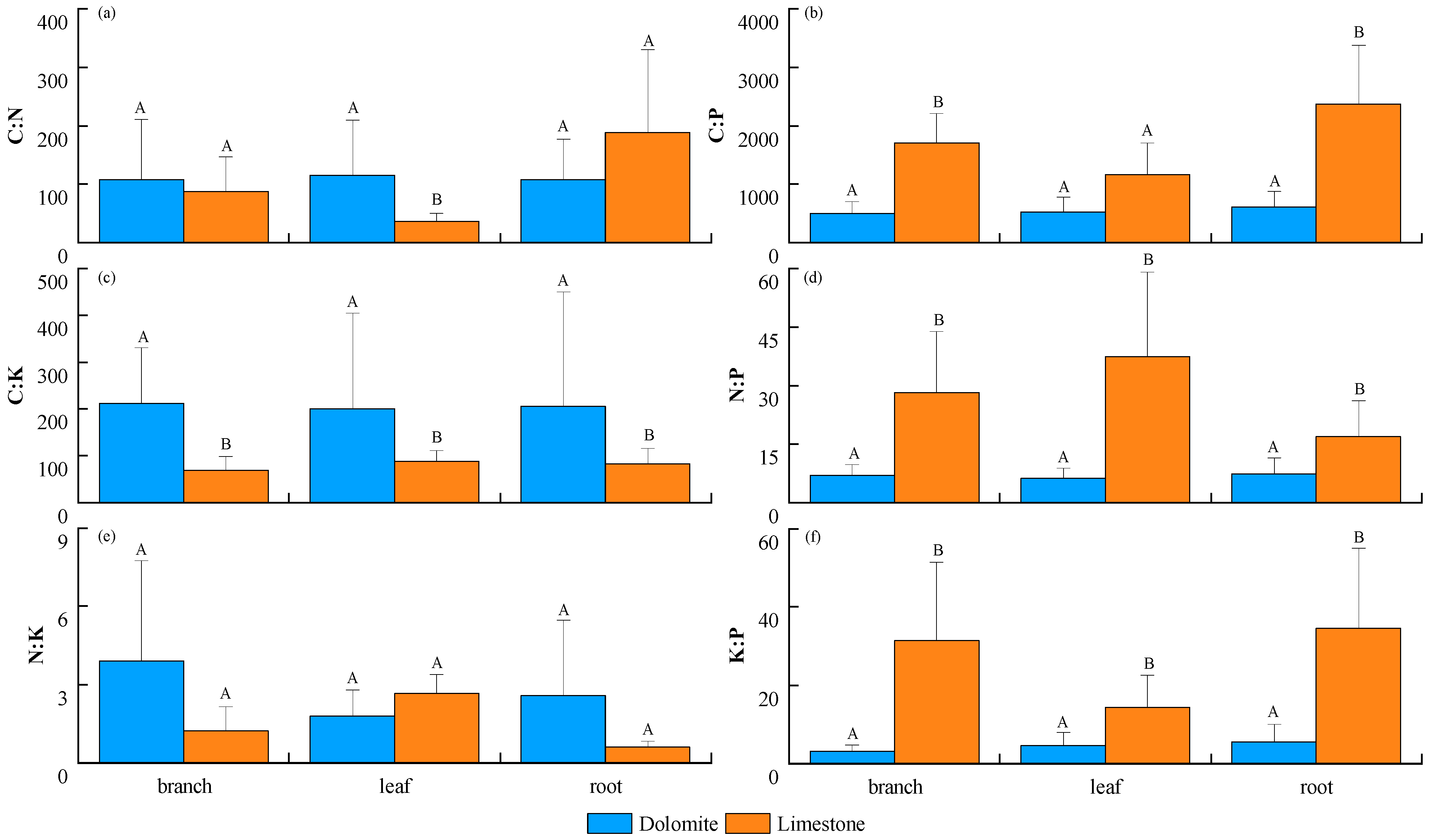
3.2. Ecological Stoichiometric Ratios of Plant Organs Across Karst Regions with Varying Lithologies
3.3. Correlations Among Nutrient Elements and Stoichiometric Ratios in Various Plant Organs
3.4. The Influence of Different Lithological Karst Regions and Plant Organs on the Nutrient Content and Stoichiometric Ratios of Karst Plants
4. Discussion
5. Conclusions
Author Contributions
Funding
Data Availability Statement
Acknowledgments
Conflicts of Interest
References
- Elser, J.J.; Sterner, R.W.; Gorokhova, E.; Fagan, W.F.; Markow, T.A.; Cotner, J.B.; Harrison, J.F.; Hobbie, S.E.; Odell, G.M.; Weider, L.W. Biological stoichiometry from genes to ecosystems. Ecol. Lett. 2000, 3, 540–550. [Google Scholar] [CrossRef]
- Elser, J.J.; Dobberfuhl, D.R.; MacKay, N.A.; Schampe, J.H. Organism size, life history, and N:P stoichiometry. Bioscience 1996, 48, 674. [Google Scholar] [CrossRef]
- Feng, W.; Yang, J.; Xu, L.; Zhang, G. The spatial variations and driving factors of C, N, P stoichiometric characteristics of plant and soil in the terrestrial ecosystem. Sci. Total Environ. 2024, 951, 175543. [Google Scholar] [CrossRef] [PubMed]
- Zhang, L.; Bai, Y.; Han, X. Application of N:P Stoichiometry to Ecology Studies. Acta Bot. Sin. 2003, 45, 1009–1018. [Google Scholar]
- Koerselman, W.; Meuleman, A.F.M. The vegetation N:P ratio: A new tool to detect the nature of nutrient limitation. J. Appl. Ecol. 1996, 33, 1441–1450. [Google Scholar] [CrossRef]
- Matzek, V.; Vitousek, P.M. N:P stoichiometry and protein: RNA ratios in vascular plants: An evaluation of the growth-rate hypothesis. Ecol. Lett. 2009, 12, 765–771. [Google Scholar] [CrossRef]
- Gong, Z.; Sheng, M. Ecological stoichiometry of C, N, P and Si of Karst Masson pine forests: Insights for the forest management in southern China. Sci. Total Environ. 2023, 912, 169490. [Google Scholar] [CrossRef]
- Wu, P.; Cui, Y.; Zhao, W.; Shu, D.; Hou, Y.; Ding, F.; Yang, W. Characteristics of soil stoichiometric in natural restoration process of Maolan karst forest vegetation, southwestern China. J. Beijing For. Univ. 2019, 41, 80–92. [Google Scholar]
- Fu, X.; Meng, S.; Kou, L.; Dai, X.; Wang, H. Multiple responses of fine root resource uptake strategies to gravel content in a subtropical plantation. Can. J. For. Res. 2022, 52, 293–300. [Google Scholar] [CrossRef]
- Su, L.; Du, H.; Zeng, F.; Peng, W.; Rizwan, M.; Núñez-Delgado, A.; Zhou, Y.; Song, T.; Wang, H. Soil and fine roots ecological stoichiometry in different vegetation restoration stages in a karst area, southwest China. J. Environ. Manag. 2019, 252, 109694. [Google Scholar] [CrossRef]
- Wang, L.; Arif, M.; Zheng, J.; Li, C. Patterns and drivers of plant carbon, nitrogen, and phosphorus stoichiometry in a novel riparian ecosystem. Front. Plant Sci. 2024, 15, 1354222. [Google Scholar] [CrossRef] [PubMed]
- Zhao, N.; Yu, G.; He, N.; Xia, F.; Wang, Q.; Wang, R.; Xu, Z.; Jia, Y. Invariant allometric scaling of nitrogen and phosphorus in leaves, stems, and fine roots of woody plants along an altitudinal gradient. J. Plant Res. 2016, 29, 647–657. [Google Scholar] [CrossRef] [PubMed]
- Wu, P.; Zhou, H.; Cui, Y.; Zhao, W.; Hou, Y.; Tan, C.; Yang, G.; Ding, F. Stoichiometric Characteristics of Leaf, Litter and Soil during Vegetation Succession in Maolan National Nature Reserve, Guizhou, China. Sustainability 2022, 14, 16517. [Google Scholar] [CrossRef]
- Niklas, K.J.; Owens, T.; Reich, P.B.; Cobb, E.D.; Chave, J. Nitrogen/phosphorus leaf stoichiometry and the scaling of plant growth. Ecol. Lett. 2005, 8, 636–642. [Google Scholar] [CrossRef]
- Liao, J.; Dou, Y.; An, S. Plant community productivity is associated with multiple ecological stoichiometry in restoration grasslands. Ecol. Eng. 2023, 187, 106845. [Google Scholar] [CrossRef]
- Shen, Y.; Tian, D.; Jiang, L.; Wang, J.; Chen, X.; Li, Y.; Wang, B.; Li, Z.; Fu, Y.; Hou, J.; et al. Different responses and links of N:P ratio among ecosystem components under nutrient addition in a temperate forest. J. Geophys. Res.-Biogeosci. Sect. 2019, 124, 3158–3167. [Google Scholar] [CrossRef]
- Poorter, H.; Niklas, K.J.; Reich, P.B.; Oleksyn, J.; Poot, P.; Mommer, L. Biomass allocation to leaves, stems and roots: Meta-analyses of interspecific variation and environmental control. New Phytol. 2012, 193, 30–50. [Google Scholar] [CrossRef]
- Sterner, R.W.; Elser, J.J. Ecological Stoichiometry: The Biology of Elements from Molecules to the Biosphere; Princeton University Press: Princeton, NJ, USA, 2002; pp. 167–196. [Google Scholar]
- Liu, Y.; Li, P.; Wang, T.; Liu, Q.; Wang, W. Root respiration and belowground carbon allocation respond to drought stress in a perennial grass (Bothriochloa ischaemum). Catena 2020, 188, 104449. [Google Scholar] [CrossRef]
- Xiong, J.; Dong, L.; Lu, J. Variation in plant carbon, nitrogen and phosphorus contents across the drylands of China. Funct. Ecol. 2022, 36, 174–186. [Google Scholar] [CrossRef]
- Reich, P.B.; Oleksyn, J. Global patterns of plant leaf N and P in relation to temperature and latitude. Proc. Natl. Acad. Sci. USA 2004, 101, 11001–11006. [Google Scholar] [CrossRef]
- Xiao, S.Z.; He, J.H.; Ceng, C.; Xiao, H.; Shi, S.N. Soil nutrient and ecological stoichiometry characteristic in dolomite karst area. J. Henan Univ. Sci. Technol. 2020, 41, 76–81. [Google Scholar]
- Liu, L.; Zhong, Q.; Ni, J. Ecosystem C:N:P stoichiometry and storages of a secondary plateau-surface karst forest in Guizhou Province, southwestern China. Acta Ecol. Sin. 2019, 39, 8606–8614. [Google Scholar]
- Hou, M.F.; Jiang, Z.C. Species diversity of karst original forest in different geochemical environments in Maolan. Ecol. Environ. 2006, 15, 572–576. [Google Scholar]
- Jia, S.; Yu, L. Soil properties and correlation analysis on karst rocky desertification areas of limestone and dolomite: A case study in Xingyi City of Guizhou. Guizhou Sci. 2010, 28, 29–33. [Google Scholar]
- Minden, V.; Kleyer, M. Internal and external regulation of plant organ stoichiometry. Plant Biol. 2014, 18, 897–907. [Google Scholar] [CrossRef]
- Pi, F.; Shu, L.; Yu, L.; Yan, L.; Zhou, C.; Wu, Z.; Yuan, C. Study on ecological stoichiometry characteristics and correlation of plants within different organs of 10 dominant tree species in karst region of central Guizhou. Ecol. Environ. Sci. 2017, 26, 628–634. [Google Scholar]
- Zhao, W.; Cui, Y.; Zhou, T.; Hou, Y.; Zhou, H.; Wu, P. Specific leaf area for 68 species of plant functional groups in Maolan National Nature Reserve. Guizhou For. Sci. Technol. 2022, 50, 1–7. [Google Scholar]
- Zhou, H.; Xu, X.; Jiang, X.; Ding, B.; Wu, P.; Ding, F. Plant functional trait responses to dolomite and limestone karst forests in Southwest China. Forests 2022, 13, 2187. [Google Scholar] [CrossRef]
- Wang, M.; Chen, H.; Zhang, W.; Wang, K. Soil nutrients and stoichiometric ratios as affected by land use and lithology at county scale in a karst area, southwest China. Sci. Total Environ. 2018, 619–620, 1299–1307. [Google Scholar] [CrossRef]
- Zhang, T.; Qiu, Z.; Wu, Z.; Chen, Z.; Hu, H.; Zhou, G.; Zhao, H.; Li, Z.; Cai, Z. Stoichiometric characteristics of Carbon, Nitrogen, Phosphorus and Potassium in organs of coniferous-broadleaved mixed forest in Northern Guangdong. For. Res. 2021, 34, 149–157. [Google Scholar]
- Li, W.; Bai, X.; He, B.; Zou, S.; Huang, J. Responses of soil properties and foliar traits of a dominant tree species Pseudotsuga sinensis to rocky desertification in a karst ecosystem. Glob. Ecol. Conserv. 2024, 55, e3260. [Google Scholar] [CrossRef]
- Zeng, Z.; Wang, K.; Liu, X.; Ceng, F.; Song, T.; Peng, W.; Zhang, H.; Du, H. Stoichiometric characteristics of plants, litter and soils in karst plant communities of North-west Guangxi. Chin. J. Plant Ecol. 2015, 39, 682–693. [Google Scholar]
- Cai, G.; Suo, P.; Zhang, L.; Fu, Y.; Li, A. C, N, P stoichiometric characteristics in different organs of three constructive plants in Karst peak-cluster depressions in southern Guizhou, Southwest China. J. Guizhou Norm. Univ. 2021, 39, 36–44. [Google Scholar]
- Elser, J.J.; Fagan, W.F.; Denno, R.F.; Dobberfuhl, D.R. Nutritional constraints in terrestrial and freshwater food webs. Nature 2000, 408, 578. [Google Scholar] [CrossRef]
- Zheng, S.; Shangguan, Z. Spatial patterns of leaf nutrient traits of the plants in the Loess Plateau of China. Trees 2008, 21, 357–370. [Google Scholar] [CrossRef]
- Huang, J.; Wang, X. Leaf nutrient and structural characteristics of 32 evergreen broad-leaved species. J. Eastchina Norm. Univ. 2003, 1, 92–97. [Google Scholar]
- Liu, W.; Su, J.; Li, S.; Zhang, Z.; Li, Z. Stoichiometry study of C, N and P in plant and soil at different successional stages of monsoon evergreen broad-leaved forest in Pu’er, Yunnan Province. Acta Ecol. Sin. 2010, 30, 6581–6590. [Google Scholar]
- Zheng, C.; Wan, L.; Wang, R.; Wang, G.; Dong, L.; Yang, T.; Yang, Q.; Zhou, J. Effects of rock lithology and soil nutrients on nitrogen and phosphorus mobility in trees in non-karst and karst forests of southwest China. Forest Ecol. Manag. 2023, 548, 121392. [Google Scholar] [CrossRef]
- Han, W.; Fang, J.; Guo, D.; Zhang, Y. Leaf nitrogen and phosphorus stoichiometry across 753 terrestrial plant species in China. New Phytol. 2005, 168, 377–385. [Google Scholar] [CrossRef]
- Luo, T.; Huang, F.; Li, J.; Lu, F.; Wen, S.; Ruan, P.; Li, X. Ecological stoichiometry characteristics of plant dominant species leaf and soil at different restoration stages of vegetation in the karst area of the Lijiang River Basin in Guangxi. J. Plant Resour. Environ. 2024, 33, 80–90. [Google Scholar]
- Ren, S.; Yu, G.; Tao, B.; Wang, S. Leaf Nitrogen and Phosphorus stoichiometry across 654 terrestrial plant species in NSTEC. Environ. Sci. 2007, 28, 2665–2673. [Google Scholar]
- Venterink, H.O.; Wassen, M.J.; Verkroost, A.W.M.; de Ruiter, P.C. Species richness-productivity patterns differ between N-, P-, and K-limited wetlands. Ecology 2003, 84, 2191–2199. [Google Scholar] [CrossRef]
- Xu, Y.; Wang, K.; Qi, X.; Yue, Y.; Tong, X. Spatial and temporal vegetation changes under geological settings of dolomite and limestone based on TM images. Acta Ecol. Sin. 2016, 36, 180–189. [Google Scholar]
- Qin, H.; Li, J.; Gao, S.; Li, C.; Li, R.; Shen, X. Characteristics of leaf element contents for eight nutrients across 660 terrestrial plant species in China. Acta Ecol. Sin. 2010, 30, 1247–1257. [Google Scholar]
- Pi, F.; Yuan, C.; Yu, L.; Yan, L.; Wu, L.; Yang, R. Ecological stoichiometry characteristics of plant leaves from the main dominant species of natural secondary forest in the central of Guizhou. Ecol. Environ. Sci. 2016, 25, 801–807. [Google Scholar]
- Liu, Q.; Wang, Z. Nutrient characteristics of typical plant leaves in karst and non-karst regions of southwest China. J. Hunan Ecol. Sci. 2024, 11, 10–17. [Google Scholar]
- Cui, P.; Shen, Z.; Fu, P.; Bai, K.; Jiang, Y.; Cao, K. Comparison of foliar element contents of plants from natural forests with different substrates in southern China. Acta Ecol. Sin. 2020, 40, 9148–9163. [Google Scholar]
- Luo, J.; Yang, S.; Luo, H.; Li, X.; Li, B.; Guo, W.; Wang, L. Stoichiometric characteristics of C, N and P of five Fagaceae species in subtropical evergreen broad-leaved forests. Acta Ecol. Sin. 2024, 44, 5318–5327. [Google Scholar]
- Guo, K.; Liu, Z.; Dong, M. Ecological adaptation of plants and control of rocky-desertification on karst region of southwest China. Chin. J. Plant Ecol. 2011, 35, 991–999. [Google Scholar] [CrossRef]
- Zou, J.; Yu, L.; Li, Y.; Huang, Z. Changes in δ13C value of plant-litter-soil system in soils developed from different lithologies in Karst area. J. Soil Water Conserv. 2020, 34, 186–194. [Google Scholar]




| pH | TN (g/kg) | TP (g/kg) | TK (g/kg) | SOC (g/kg) | |
|---|---|---|---|---|---|
| Shibing | 6.8 ± 1.3 | 2.24 ± 1.25 | 0.81 ± 0.30 | 15.76 ± 5.85 | 34.64 ± 22.38 |
| Liping | 5.7 ± 0.7 | 1.89 ± 0.97 | 0.25 ± 0.11 | 18.77 ± 5.06 | 22.00 ± 13.08 |
| Variables | Organ | Karst Region | Interaction | Variables | Organ | Karst Region | Interaction |
|---|---|---|---|---|---|---|---|
| C | 9.717 ** | 6.675 * | 1.491 | C/P | 10.998 ** | 109.26 ** | 7.985 ** |
| N | 8.365 ** | 1.791 | 7.860 ** | N/P | 5.362 ** | 74.839 ** | 7.095 ** |
| P | 1.911 | 30.826 ** | 0.326 | C/K | 0.005 | 7.164 ** | 0.030 |
| K | 0.165 | 9.341 ** | 1.723 | N/K | 0.651 | 3.201 | 2.358 |
| C/N | 2.819 | 0.089 | 3.472 * | K/P | 6.408 ** | 79.030 ** | 6.309 ** |
Disclaimer/Publisher’s Note: The statements, opinions and data contained in all publications are solely those of the individual author(s) and contributor(s) and not of MDPI and/or the editor(s). MDPI and/or the editor(s) disclaim responsibility for any injury to people or property resulting from any ideas, methods, instructions or products referred to in the content. |
© 2025 by the authors. Licensee MDPI, Basel, Switzerland. This article is an open access article distributed under the terms and conditions of the Creative Commons Attribution (CC BY) license (https://creativecommons.org/licenses/by/4.0/).
Share and Cite
Zhao, W.; Yang, Y.; Wu, P.; Hou, Y.; Jiang, X.; Zhou, H. C, N, P, and K Ecological Stoichiometry Characteristics of Different Organs of Tree Species in Dolomite and Limestone Karst Areas of Southwestern China. Forests 2025, 16, 480. https://doi.org/10.3390/f16030480
Zhao W, Yang Y, Wu P, Hou Y, Jiang X, Zhou H. C, N, P, and K Ecological Stoichiometry Characteristics of Different Organs of Tree Species in Dolomite and Limestone Karst Areas of Southwestern China. Forests. 2025; 16(3):480. https://doi.org/10.3390/f16030480
Chicago/Turabian StyleZhao, Wenjun, Yongyan Yang, Peng Wu, Yiju Hou, Xia Jiang, and Hua Zhou. 2025. "C, N, P, and K Ecological Stoichiometry Characteristics of Different Organs of Tree Species in Dolomite and Limestone Karst Areas of Southwestern China" Forests 16, no. 3: 480. https://doi.org/10.3390/f16030480
APA StyleZhao, W., Yang, Y., Wu, P., Hou, Y., Jiang, X., & Zhou, H. (2025). C, N, P, and K Ecological Stoichiometry Characteristics of Different Organs of Tree Species in Dolomite and Limestone Karst Areas of Southwestern China. Forests, 16(3), 480. https://doi.org/10.3390/f16030480
