Stoichiometric Characteristics and Influencing Factors of Different Components of Karst Forest Plants at the Microtopography and Microhabitat Scale in Maolan National Nature Reserve, Guizhou, China
Abstract
1. Introduction
2. Materials and Methods
2.1. Study Area
2.2. Study Methods
2.2.1. Plot Setting
2.2.2. Microtopography Division
- Slope position: upslope, midslope, downslope, and depression.
- Slope degree: ≤5°, 5–15°, 15–25°, 25–35°, and ≥35°.
- Slope aspect: shady slope (337.5–22.5°, 22.5–67.5°), semi-shady slope (67.5–112.5°, 292.5–337.5°), flat land, semi-sunny slope (112.5–157.5°, 247.5–292.5°), and sunny slope (157.5–247.5°).
2.2.3. Microhabitat Division
- Stone surface: A microhabitat in which bedrock is exposed directly to the surface. The main characteristic is that the bedrock is completely exposed, or the bare rock ratio is greater than 50%. Alternatively, a shallow, small stone gully, small stone trough, shallow stone pit, narrow stone crack, or other irregular bare rock is formed, with grooves no deeper than 30 cm. The rock surface is usually soil-free or covered only by a small area (less than 1 m2) and not more than 20 cm thick. The ventilation condition of the stone surface is good, but the water dispersion is fast, the water and fertilizer retention ability is weak, temporary drought occurs easily, and the habitat conditions are extremely harsh.
- Stone gully refers to a rock dissolution ditch or erosion ditch. The main characteristics are that the proportion of bare rock is greater than 50%, the grooves are deeper than 30 cm, and the soil-covered area is less than 1 m2. Alternatively, the depth is less than 30 cm, but the thickness of the soil layer is greater than 20 cm, or the bare rock ratio is less than 50%, but the area is dominated by soil, and the grooves are deeper than 30 cm. Generally, the soil layer in a stone gully is thick, and the water and fertilizer retention ability is good, so it is not easily affected by short-term drought. The habitat conditions are superior.
- Soil surface refers to the microhabitat where the soil is covered evenly, and the soil level development is complete. It is mainly characterized as a continuous soil-covered area greater than 1 m2 or with a bare rock ratio less than 50%, with a depth of no more than 30 cm. The soil layer on the surface is thick, and the ability to retain water and fertilizer is usually closely related to the soil area and the thickness of the soil layer. The ventilation condition is good, and the water loss is slow, so the soil condition is optimal, but it may still be affected by short-term drought.
2.2.4. Sampling
- Leaves: New leaves were collected from May to June every year, and mature leaves were collected from October to November. The branches with good growth in the east, south, west, north, upper, middle, and lower parts of the canopy of each sample plant were cut through the combination of high branch shearing and tree climbing. Intact leaves with complete extension, no disease, and no petiole on the tree branches were picked. After they were fully mixed, 30–50 samples were retained through the quartering method, numbered, packaged in self-sealing bags, and placed in a portable refrigerator for later use.
- Branches: After the branches were pruned, excess leaves and the end parts of the branches were removed to reduce water evaporation and nutrient consumption. After full mixing and uniformity, a sample of no less than 100 g was retained through the quartering method, packaged with the number of the self-sealing bag, and placed in the portable refrigerator for use.
- Trunk: A growth cone with an inner diameter of 5 mm was used to drill a growth core directly to the pulp center at the DBH at each sample site. The growth core was numbered in a Ziploc bag and placed in a portable freezer for use.
- Litter: Litter collection frames (composed of a 1 mm aperture nylon net and 1 m × 1 m × 0.25 m square steel frame or PVC pipe, with the bottom of the frame being about 15 cm from the ground) were arranged in advance within the canopy of various plants. Fifteen to twenty pieces of fresh litter leaves from each plant were sorted and numbered in a self-sealing bag and then placed in a portable refrigerator for use.
- Soil: Litter in the range of 0–20 cm around the roots of each sample plant was removed, and the surface soil of 0–20 cm was collected. The sample weight was no less than 500 g. After impurities were removed, the soil bags were numbered and packaged and placed in a portable refrigerator for use.
2.2.5. Determination of Plant Structural and Functional Traits
- Plant structural traits: First, five samples of each plant leaf were selected from the refrigerated box, and their fresh weight (LFW, g) was measured using an electronic balance with a precision of 1/10,000; then, the leaf thickness (LT, mm) was measured using a digital vernier caliper to evenly select three points along the main vein of the leaf. Subsequently, the leaves were immersed in clear water in a dark environment for 24 h, and the surface water was removed quickly with absorbent paper. The saturated fresh weight (LSFW, g) of the leaves was weighed using an electronic balance. Then, the leaf area (LA, cm2) of each leaf was measured using a portable leaf area meter (LI-3100; LI-Cor Inc., Lincoln, NE, USA). Finally, the leaves were dried in an oven at 65 °C for 72 h until a constant weight was achieved, and the dry weight (LDW, g) of the leaves was weighed again using an electronic balance. The calculation formulas for the specific leaf area (SLA), leaf dry matter content (LDMC), leaf water content (LWC), and leaf tissue density (LTD) were as follows:
- Plant functional traits: Under sunny weather conditions, from 9:00 am to 11:00 am every day, the leaves of the pre-selected sample plants located in the lower canopy that were fully unfolded, healthy and mature, and exposed to sunlight were selected as the test objects. The net photosynthetic rate (Pn), transpiration rate (Tr), stomatal conductance (Gs), and intercellular CO2 concentration (Ci) were measured in vivo using a Li-6400 portable photosynthetic apparatus (LI-Cor Inc., Lincoln, NE, USA). The air flow rate was 500 cm3·min−1, the air temperature was 26 ± 2 °C, the relative air humidity was 50%–70%, the CO2 concentration was 400 ± 10 μmol·mol−1, and the light intensity was 1200 μmol·m−2·s−1. Each plant was measured every 1 h on the whole point, 3 pieces were selected each time, and the measurement of each piece was repeated 3 times. The method of in vitro determination was used for some tall plants. The isolated branches or compound leaves were quickly inserted into water, the phloem within 3 cm of the incision was removed through ring stripping, the other excess leaves were removed, and the photosynthetic parameters were determined immediately.
2.2.6. Sample Processing and Determination
2.2.7. Data Processing and Analysis
3. Results
3.1. Nutrient Contents of Different Components of Karst Forest Plants
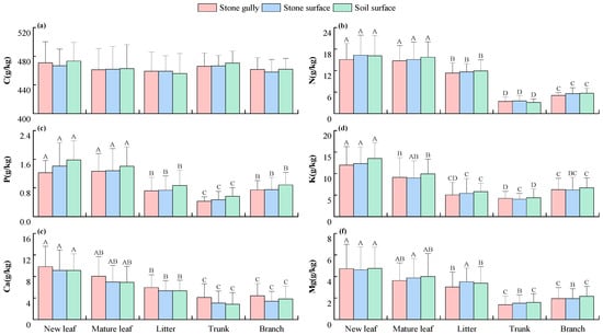
3.1.1. Nutrient Contents of Various Components of Karst Forest Plants in Different Microhabitats
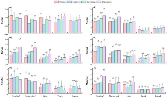
3.1.2. Nutrient Contents of Various Components of Karst Forest Plants at Different Slope Positions
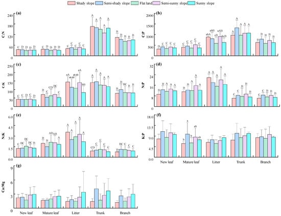
3.1.3. Nutrient Contents of Various Components of Karst Forest Plants in Different Slope Aspects
3.1.4. Nutrient Contents of Various Components of Karst Forest Plants on Different Slope Degrees
3.2. Stoichiometric Characteristics of Different Components of Karst Forest Plants
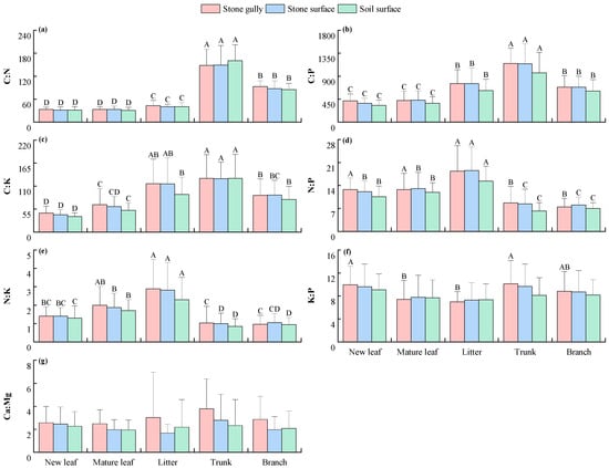
3.2.1. Stoichiometric Characteristics Content of Various Components of Karst Forest Plants in Different Microhabitats
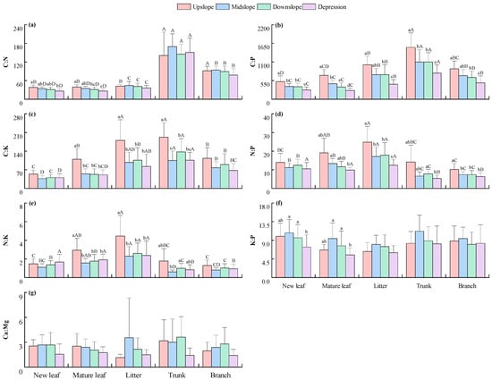
3.2.2. Stoichiometric Characteristics of Various Components of Karst Forest Plants at Different Slope Positions
3.2.3. Stoichiometric Characteristics of Various Components of Karst Forest Plants on Different Slope Aspects
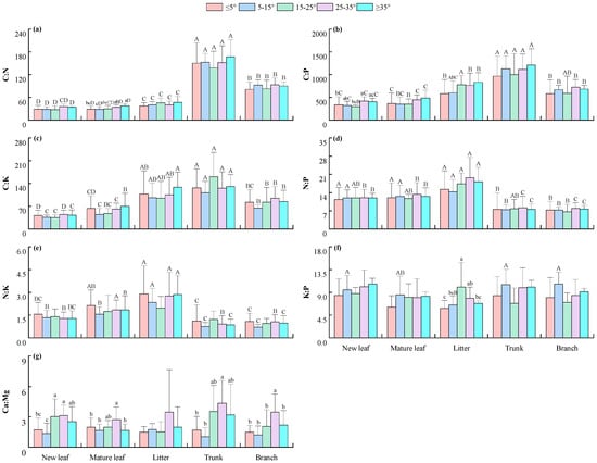
3.2.4. Stoichiometric Characteristics of Various Components of Karst Forest Plants on Different Slope Degrees
3.3. Correlation Between Nutrient Contents of Different Components and Stoichiometric Characteristics of Karst Forest Plants
3.4. Effects of Ecological Factors on Stoichiometric Characteristics of Different Components of Karst Forest Plants
3.4.1. Redundancy Analysis
3.4.2. Variance Decomposition Analysis
4. Discussion
4.1. Nutrient Contents of Different Components of Karst Forest Plants at Microtopographic and Microhabitat Levels
4.2. Stoichiometric Characteristics of Different Components of Karst Forest Plants at Microtopographic and Microhabitat Levels
4.3. Correlation Analysis Between Nutrient Contents and Stoichiometric Characteristics of Different Components of Karst Forest Plants
4.4. Influencing Factors of Stoichiometric Characteristics of Different Components of Karst Forest Plants
4.5. Mechanisms of Karst Forest Plants’ Adaptation to Microtopography and Microhabitat Changes
5. Conclusions and Prospects
Supplementary Materials
Author Contributions
Funding
Data Availability Statement
Acknowledgments
Conflicts of Interest
References
- Hessen, D.O.; Elser, J.J.; Sterner, R.W.; Urabe, J. Ecological stoichiometry: An elementary approach using basic principles. Limnol. Ocean. 2013, 58, 2219–2236. [Google Scholar] [CrossRef]
- Reich, P.B.; Tjoelker, M.G.; Machado, J.L.; Oleksyn, J. Universal scaling of respiratory metabolism, size and nitrogen in plants. Nature 2006, 439, 457–461. [Google Scholar] [CrossRef] [PubMed]
- Wei, X.M.; Zhu, Z.K.; Liu, Y.; Luo, Y.; Deng, Y.W.; Xu, X.L.; Liu, S.L.; Richter, A.; Shibistova, O.; Guggenberger, G.; et al. C:N:P stoichiometry regulates soil organic carbon mineralization and concomitant shifts in microbial community composition in paddy soil. Biol. Fert. Soils 2020, 56, 1093–1107. [Google Scholar] [CrossRef]
- Sterner, R.W.; Elser, J.J. Ecological Stoichiometry: The Biology of Elements from Molecules to the Biosphere; Princeton University Press: Princeton, NJ, USA, 2002; pp. 167–196. [Google Scholar]
- Sun, L.W.; Chen, J.W.; Deng, Q. Research progress of terrestrial plants N/P ecological stoichiometry under global change. J. Trop. Subtrop. Bot. 2019, 27, 534–540. [Google Scholar] [CrossRef]
- Tian, D.; Yan, Z.B.; Fang, J.Y. Plant stoichiometry: A research frontier in ecology. Chin. J. Nat. 2018, 40, 235–241. [Google Scholar] [CrossRef]
- Lin, T.; Fang, X.; Lai, Y.R.; Zheng, H.Z.; Zhu, J.M. Shifts in leaf and branch elemental compositions of Pinus massoniana (Lamb.) following three-year rainfall exclusion. Forests 2020, 11, 113. [Google Scholar] [CrossRef]
- Yu, J.S.; Song, Z.P.; Hou, J.H. Effects of nitrogen addition on N-P allocation strategies in different organs of Pinus tabulaeformis in its natural forest. Acta Ecol. Sin. 2022, 42, 732–741. [Google Scholar] [CrossRef]
- Wang, Y.Q.; Song, M.L.; Bao, G.S.; Ying, Y.L.; Wang, H.S. Variation of C, N and P stoichiometry in plant and soil after removal Stellera chamaejasme in Stellera chamaejasme patches. Acta Ecol. Sin. 2021, 41, 6280–6288. [Google Scholar] [CrossRef]
- Yang, J.J.; Zhang, X.R.; Ma, L.S.; Chen, Y.N.; Dang, T.H.; An, S.S. Ecological stoichiometric relationships between components of Robinia pseudoacacia forest in Loess Plateau. Acta Pedol. Sin. 2014, 51, 133–142. [Google Scholar] [CrossRef]
- Huang, J.; Deng, Y.S.; Wei, H.; Lin, L.W.; Huang, H.M.; Fu, Z.Y. Characteristics of soil microbial biomass carbon, nitrogen and phosphorus, and nutrients in different vegetation types in karst Peak-cluster depression. Chin. J. Soil Sci. 2022, 53, 605–612. [Google Scholar] [CrossRef]
- Zhu, S.Q. Ecological Research on Karst Forest (I); Guizhou Science and Technology Press: Guiyang, China, 1993; pp. 52–62. [Google Scholar]
- Liu, F.; Wang, S.J.; Luo, H.B.; Liu, Y.S.; Liu, H.Y. Micro-habitats in karst forest ecosystem and variability of soils. Acta Pedol. Sin. 2008, 45, 1055–1062. [Google Scholar]
- Qin, S.T.; Long, C.L.; Wu, B.L. Effects of topographic sites on the community structure and species diversity of karst forest in Maolan, Guizhou Province of southwestern China. J. Beijing For. Univ. 2018, 40, 18–26. [Google Scholar]
- Peng, S.T.; Wang, Q.X.; Wang, J.; Xu, Q.; Tao, H.R.; Wu, Y.F.; Huang, L.J. Exploring the plant community assembly of the wetland in Fuzhou section of the Minjiang River based on functional traits and phylogeny. Acta Ecol. Sin. 2024, 44, 6783–6794. [Google Scholar] [CrossRef]
- Jiashalaiti, A.; Lu, Y.; Zhang, B.; Zhang, Z.H.; Li, L. Seasonal variation of C, N, and P ecological stoichiometric characteristics of 8 plant species in the oasis-desert transitional zone on the southern margin of the Tarim Basin. Acta Ecol. Sin. 2024, 44, 1–12. [Google Scholar] [CrossRef]
- Li, X.X.; Du, T.Y.; Wei, Y.W.; Zhou, Y.B. Characteristics of ecological stoichiometry in broad-leaved and Korean pine mixed forest and its response to latitude gradient in Northeast China. Acta Ecol. Sin. 2018, 38, 3952–3960. [Google Scholar]
- Zang, M.H.; Wang, C.K.; Liang, Y.X.; Liu, Y.X.; Shangguan, H.Y.; Quan, X.K. Stoichiometric characteristics of leaf, branch and root in Larix gmelinii in response to climate warming based on latitudinal transplantation. Chin. J. Plant Ecol. 2024, 48, 469–482. [Google Scholar] [CrossRef]
- Du, J.Y.; Cai, G.J.; Zhang, H.Y.; Li, A.D. Response of plant leaf C, N, P stoichiometry characteristics to climatic environment and soil nutrients in karst areas of Guizho. Ecol. Environ. Sci. 2023, 32, 2154–2165. [Google Scholar] [CrossRef]
- Xiao, Z.B. Element Stoichiometry of Seven Common Woody Plants and Its Association with Habitat Conditions in the Karst Forests of Maolan. Master’s Thesis, Guizhou Normal University, Guiyang, China, 2023. [Google Scholar]
- Wu, P.; Cui, Y.C.; Zhao, W.J.; Hou, Y.J.; Zhu, J.; Ding, F.J.; Yang, W.B. Leaf Stoichiometric Characteristics of 68 Typical Plant Species in Maolan National Nature Reserve, Guizhou, China. Acta Ecol. Sin. 2020, 40, 5063–5080. [Google Scholar]
- Wu, P.; Cui, Y.C.; Zhao, W.J.; Shu, D.Y.; Hou, Y.J.; Ding, F.J.; Yang, W.B. Characteristics of soil stoichiometric in natural restoration process of Maolan karst forest vegetation, southwestern China. J. Beijing For. Univ. 2019, 41, 80–92. [Google Scholar] [CrossRef]
- Zhu, S.Q. Ecological Research on Karst Forest (II); Guizhou Science and Technology Press: Guiyang, China, 1997; p. 167. [Google Scholar]
- Wen, P.Y.; Jin, G.Z. Effects of topography on species diversity in a typical mixed broadleaved-Korean Pine forest. Acta Ecol. Sin. 2019, 39, 945–956. [Google Scholar] [CrossRef]
- LY/T 1210-1275-1999; State Forestry Administration. Forest Industry Standard of the People’s Republic of China—Forest Soil Analysis Method. Standards Press of China: Beijing, China, 1999.
- Yang, Y.C.; Da, L.J. A brief review of studies on differentiation of vegetation pattern along a topographic gradient in hilly regions. J. Plant Ecol. 2006, 30, 504–513. [Google Scholar]
- Nagamatsu, D.; Hirabuki, Y.; Mochida, Y. Influence of micro-landforms on forest structure, tree death and recruitment in a Japanese temperate mixed forest. Ecol. Res. 2003, 18, 533–547. [Google Scholar] [CrossRef]
- Enoki, T. Microtopography and distribution of canopy trees in a subtropical evergreen broad-leaved forest in the northern part of Okinawa Island, Japan. Ecol. Res. 2003, 18, 103–113. [Google Scholar] [CrossRef]
- Luo, Y.; Lian, C.; Gong, L.; Mo, C. Leaf stoichiometry of halophyte shrubs and its relationship with soil factors in the Xinjiang desert. Forests 2022, 13, 2121. [Google Scholar] [CrossRef]
- Li, Y.; Fu, F.; Li, J.; Chen, W.; Ding, H.; Xiao, S. Stoichiometric characteristics of Abies georgei var. smithii plants in southeast Tibet. Sustainability 2023, 15, 8458. [Google Scholar]
- Dong, X.; Zhang, J.; Xin, Z.; Huang, Y.; Han, C.; Li, Y.; Lu, Q. Ecological stoichiometric characteristics in organs of Ammopiptanthus mongolicus in different habitats. Plants 2023, 12, 414. [Google Scholar] [CrossRef] [PubMed]
- Zou, Z.; Zeng, F.; Zeng, Z.; Du, H.; Tang, H.; Zhang, H. The variation in the stoichiometric characteristics of the leaves and roots of karst shrubs. Forests 2021, 12, 852. [Google Scholar] [CrossRef]
- Zhang, C.; Zeng, F.; Zeng, Z.; Du, H.; Zhang, L.; Su, L.; Lu, M.; Zhang, H. Carbon, nitrogen and phosphorus stoichiometry and its influencing factors in karst primary forest. Forests 2022, 13, 1990. [Google Scholar] [CrossRef]
- Xiang, Y.; Pan, P.; Ouyang, X.; Zang, H.; Rao, J. The chemical stoichiometry characteristics of plant-soil carbon and nitrogen in subtropical Pinus massoniana natural forests. Sci. Rep. 2024, 14, 5031. [Google Scholar] [CrossRef] [PubMed]
- Wang, Z.F.; Zheng, F.L. Ecological stoichiometry of plant leaves, litter and soils in a secondary forest on China’s Loess Plateau. Peerj 2020, 08, e10084. [Google Scholar] [CrossRef]
- Hu, X.Y.; Duan, A.G.; Zhang, J.G.; Du, H.L.; Zhang, X.Q.; Guo, W.F.; Sun, J.J. Stoichiometry of carbon, nitrogen, and phosphorus of Chinese fir plantations in Daqing Mountain, Guangxi. Acta Ecol. Sin. 2020, 40, 1207–1218. [Google Scholar] [CrossRef]
- Zhang, Y.J.; Wang, K.Q.; Song, Y.L.; Su, M.B.; Li, X.L.; Li, X.F. C, N and P stoichiometric characteristics of leaf, litter and soil for subalpine forests in central Yunnan, China. Acta Ecol. Sin. 2020, 40, 7648–7658. [Google Scholar] [CrossRef]
- Takashima, T.; Hikosaka, K.; Hirose, T. Photosynthesis or persistence: Nitrogen allocation in leaves of evergreen and deciduous Quercus species. Plant Cell Environ. 2004, 27, 1047–1054. [Google Scholar] [CrossRef]
- Wu, J.; Jiao, L.; Qin, H.; Che, X.; Zhu, X. Spatial characteristics of nutrient allocation for Picea crassifolia in soil and plants on the eastern margin of the Qinghai-Tibet Plateau. Bmc Plant Biol. 2023, 23, 199. [Google Scholar] [CrossRef] [PubMed]
- Huang, G.; Yu, L.L.; Liu, X.Y.; Chen, M.; Xue, Y.G. Characteristics of carbon, nitrogen and phosphorus stoichiometry of leaf, litter and soil in the karst Tiankeng forest. J. Trop. Subtrop. Bot. 2024, 32, 367–377. [Google Scholar] [CrossRef]
- Li, Y.J.; Zheng, J.M.; Wang, G.Z.; Zhou, J.X.; Liu, Y.G.; Ha, W.X. Study of functional traits of natural secondary forests and their influencing factors in different succession stages in karst areas: A case study of Dahei Mountain, Yunnan Province. Acta Geosci. Sin. 2021, 42, 397–406. [Google Scholar] [CrossRef]
- Zhang, Y.Y.; Wang, X.F.; Wang, Y.H.; Yuan, X.Z.; Li, Y.B.; Wang, K.H. Ecological stoichiometry and interrelation of Cynodon dactylon and soil in the three gorges hydro-fluctuation zone under different slopes. Acta Ecol. Sin. 2023, 43, 4798–4811. [Google Scholar] [CrossRef]
- Chen, H.X.; Liu, X.R.; Sun, T.Y.; Wang, R.L.; Zhang, S.X. Variation in leaf C:N:P stoichiometry of Quercus species along the altitudinal gradient gradient in Taibai Mountain, China. Acta Ecol. Sin. 2021, 41, 4503–4512. [Google Scholar]
- Elser, J.J.; Acharya, K.; Kyle, M.; Cotner, J.; Makino, W.; Markow, T.; Watts, T.; Hobbie, S.; Fagan, W.; Schade, J.; et al. Growth rate-stoichiometry couplings in diverse biota. Ecol. Lett. 2003, 06, 936–943. [Google Scholar] [CrossRef]
- Schreeg, L.A.; Santiago, L.S.; Wright, S.J.; Turner, B.L. Stem, root, and older leaf N:P ratios are more responsive indicators of soil nutrient availability than new foliage. Ecology 2014, 95, 2062–2068. [Google Scholar] [CrossRef]
- Koerselman, W.; Meuleman, A.F.M. The vegetation N:P ratio: A new tool to detect the nature of nutrient limitation. J. Appl. Ecol. 1996, 33, 1441–1450. [Google Scholar] [CrossRef]
- Chen, H.; Xiang, Y.; Yao, Z.; Zhang, Q.; Li, H.; Cheng, M. Stability of C:N:P stoichiometry in the plant-soil continuum along age classes in natural Pinus tabuliformis carr. forests of the Eastern Loess Plateau, China. Forests 2023, 14, 44. [Google Scholar] [CrossRef]
- Zhao, M.; Dai, Q.; Zhu, L.; Ding, P.; Hu, Z.; Zhou, H. Influence of vegetation types on the C, N, and P stoichiometric characteristics of litter and soil and soil enzyme activity in karst ecosystems. Forests 2023, 14, 771. [Google Scholar] [CrossRef]
- Jiang, Y.L. Characteristics of Elements Contents in Tree from Nonggang Karst Forest and Their Associations with Habitats. Master’s Thesis, Guangxi Normal University, Guilin, China, 2016. [Google Scholar]
- Luo, X.Q.; Zhang, G.L.; Du, X.L.; Wang, S.J.; Yang, H.Y.; Huang, T.Z. Characteristics of element contents and ecological stoichiometry in leaves of common calcicole species in maolan karst forest. Ecol. Environ. Sci. 2014, 23, 1121–1129. [Google Scholar]
- Xu, X.Y.; Qin, Y.Y.; Cao, J.J. Variation characteristics of Potentilla bifurca leaf stochiometry along the elevation gradient on the northeastern Qinghai-Tibetan Plateau. Acta Ecol. Sin. 2019, 39, 9044–9051. [Google Scholar] [CrossRef]
- Qi, D.H.; Wen, Z.M.; Wang, H.X.; Guo, R.; Yang, S.S. Stoichiometry traits of carbon, nitrogen, and phosphorus in plants of different functional groups and their responses to micro-topographical variations in the hilly and gully region of the Loess Plateau, China. Acta Ecol. Sin. 2016, 36, 6420–6430. [Google Scholar] [CrossRef]
- Yang, Y.; Xu, X.; Xu, Y.; Ni, J. Adaptation strategies of three dominant plants in the trough-valley karst region of northern Guizhou province, southwestern China, evidence from associated plant functional traits and ecostoichiometry. Earth Environ. 2020, 48, 413–423. [Google Scholar] [CrossRef]
- Li, Q.Y.; Ge, H.B.; Hu, S.M.; Wang, H.Y. Effects of sodium and calcium salt stresses on strawberry photosynthesis. Acta Bot. Boreali-Occident. Sin. 2006, 26, 1713–1717. [Google Scholar]
- Wang, H.; Chu, T.D. The progress of study on magnesium nutrition in plants. Chin. Bull. Bot. 1999, 16, 245–250. [Google Scholar]
- Xu, X.Y.; Qin, Y.Y.; Cao, J.J.; Li, M.T.; Gong, Y.F.; Zhang, X.F. Elevational variations of leaf stochiometry in Leontopodium leontopodioides on the Qinghai-Tibetan Plateau, China. Chin. J. Appl. Ecol. 2018, 29, 3934–3940. [Google Scholar] [CrossRef]
- Zhang, X.F.; Liu, X.D.; Jing, W.M.; Cao, J.J. Characteristics of Leontopodium leontopodioides leaf stochiometry with altitude and their relationship with soil nutrients in Qilian Mountains, Northwest China. Chin. J. Appl. Ecol. 2019, 30, 4012–4020. [Google Scholar] [CrossRef]
- Xiong, L.; Long, C.L.; Liao, Q.L.; Xue, F. Leaf functional traits and their interrelationships with woody plants in karst forest of Maolan. Chin. J. Appl. Envrion. Biol. 2022, 28, 152–159. [Google Scholar] [CrossRef]
- Dang, J.J.; Zhao, C.Z.; Li, Y.; Hou, Z.J.; Dong, X.G. Relationship between leaf traits of Melica przewalskyi and slope aspects in alpine grassland of Qilian Mountains, China. Chin. J. Plant Ecol. 2015, 39, 23–31. [Google Scholar] [CrossRef]
- Wu, P.; Zhou, H.; Cui, Y.; Zhao, W.J.; Hou, Y.J.; Zhu, J.; Ding, F.J. Stoichiometric characteristics of leaf nutrients in karst plant species during natural restoration in Maolan National Nature Reserve, Guizhou, China. J. Sustain. For. 2021, 42, 95–119. [Google Scholar] [CrossRef]
- Li, Y.; He, W.; Wu, J.; Zhao, P.; Chen, T.; Zhu, L.; Ouyang, L.; Ni, G.; Hölscher, D. Leaf stoichiometry is synergistically-driven by climate, site, soil characteristics and phylogeny in karst areas, Southwest China. Biogeochemistry 2021, 155, 283–301. [Google Scholar] [CrossRef]
- Ning, Z.; Nianpeng, H.; Qiufeng, W.; Xinyu, Z.; Ruili, W.; Zhiwei, X.; Guirui, Y.; Chen, H.Y.H. The altitudinal patterns of leaf C:N:P stoichiometry are regulated by plant growth form, climate and soil on Changbai Mountain, China. PLoS ONE 2014, 9, e95196. [Google Scholar]
- Han, W.X.; Fang, J.Y.; Reich, P.B.; Woodward, F.I.; Wang, Z.H. Biogeography and variability of eleven mineral elements in plant leaves across gradients of climate, soil and plant functional type in China. Ecol. Lett. 2011, 14, 788–796. [Google Scholar] [CrossRef]
- Sardans, J.; Janssens, I.A.; Ciais, P.; Obersteiner, M.; Peñuelas, J. Recent advances and future research in ecological stoichiometry. Perspect. Plant Ecol. Evol. Syst. 2021, 50, 125611. [Google Scholar]
- Tian, D.; Yan, Z.; Ma, S.; Ding, Y.; Luo, Y.; Chen, Y.; Du, E.; Han, W.; Kovacs, E.D.; Shen, H.; et al. Family-level leaf nitrogen and phosphorus stoichiometry of global terrestrial plants. Sci. China Life Sci. 2019, 62, 1047–1057. [Google Scholar] [CrossRef] [PubMed]
- Vallicrosa, H.; Sardans, J.; Maspons, J.; Zuccarini, P.; Fernandez-Martinez, M.; Bauters, M.; Goll, D.S.; Ciais, P.; Obersteiner, M.; Janssens, I.A.; et al. Global maps and factors driving forest foliar elemental composition: The importance of evolutionary history. New Phytol 2022, 233, 169–181. [Google Scholar] [CrossRef] [PubMed]
- Zhang, S.B.; Zhang, J.L.; Slik, J.W.F.; Cao, K.F. Leaf element concentrations of terrestrial plants across China are influenced by taxonomy and the environment. Glob. Ecol. Biogeogr. 2012, 21, 809–818. [Google Scholar] [CrossRef]
- Feng, W.; Yang, J.; Xu, L.; Zhang, G. The spatial variations and driving factors of C, N, P stoichiometric characteristics of plant and soil in the terrestrial ecosystem. Sci. Total Envrion. 2024, 951, 175543. [Google Scholar] [CrossRef] [PubMed]
- Wang, S.T.; Xu, Y.Z.; Yang, T.; Wei, X.Z.; Jiang, M.X. Impacts of microhabitats on leaf functional traits of the wild population of Sinojackia huangmeiensis. Biodivers. Sci. 2020, 28, 277–288. [Google Scholar] [CrossRef]
- Pang, W.X.; Song, T.Q.; Zeng, F.P.; Wang, K.L.; Fu, W.; Liu, L.; Du, H.; Lu, S.Y.; Ying, Q.C. The coupling relationships between vegetation, soil, and topography factors in karst mixed evergreen and deciduous broadleaf forest. Acta Ecol. Sin. 2010, 30, 3472–3481. [Google Scholar]











Disclaimer/Publisher’s Note: The statements, opinions and data contained in all publications are solely those of the individual author(s) and contributor(s) and not of MDPI and/or the editor(s). MDPI and/or the editor(s) disclaim responsibility for any injury to people or property resulting from any ideas, methods, instructions or products referred to in the content. |
© 2025 by the authors. Licensee MDPI, Basel, Switzerland. This article is an open access article distributed under the terms and conditions of the Creative Commons Attribution (CC BY) license (https://creativecommons.org/licenses/by/4.0/).
Share and Cite
Wu, P.; Zhou, H.; Zhao, W.; Yang, G.; Cui, Y.; Hou, Y.; Tan, C.; Zhou, T.; Ding, F. Stoichiometric Characteristics and Influencing Factors of Different Components of Karst Forest Plants at the Microtopography and Microhabitat Scale in Maolan National Nature Reserve, Guizhou, China. Forests 2025, 16, 317. https://doi.org/10.3390/f16020317
Wu P, Zhou H, Zhao W, Yang G, Cui Y, Hou Y, Tan C, Zhou T, Ding F. Stoichiometric Characteristics and Influencing Factors of Different Components of Karst Forest Plants at the Microtopography and Microhabitat Scale in Maolan National Nature Reserve, Guizhou, China. Forests. 2025; 16(2):317. https://doi.org/10.3390/f16020317
Chicago/Turabian StyleWu, Peng, Hua Zhou, Wenjun Zhao, Guangneng Yang, Yingchun Cui, Yiju Hou, Chengjiang Tan, Ting Zhou, and Fangjun Ding. 2025. "Stoichiometric Characteristics and Influencing Factors of Different Components of Karst Forest Plants at the Microtopography and Microhabitat Scale in Maolan National Nature Reserve, Guizhou, China" Forests 16, no. 2: 317. https://doi.org/10.3390/f16020317
APA StyleWu, P., Zhou, H., Zhao, W., Yang, G., Cui, Y., Hou, Y., Tan, C., Zhou, T., & Ding, F. (2025). Stoichiometric Characteristics and Influencing Factors of Different Components of Karst Forest Plants at the Microtopography and Microhabitat Scale in Maolan National Nature Reserve, Guizhou, China. Forests, 16(2), 317. https://doi.org/10.3390/f16020317

