Response of Non-Structural Carbohydrates and Carbon, Nitrogen, and Phosphorus Stoichiometry in Pinus yunnanensis Seedlings to Drought Re-Watering
Abstract
1. Introduction
2. Materials and Methods
2.1. Study Site and Test Materials
2.2. Test Design
2.3. Indicator Measurements
2.4. Data Processing and Analysis
3. Results
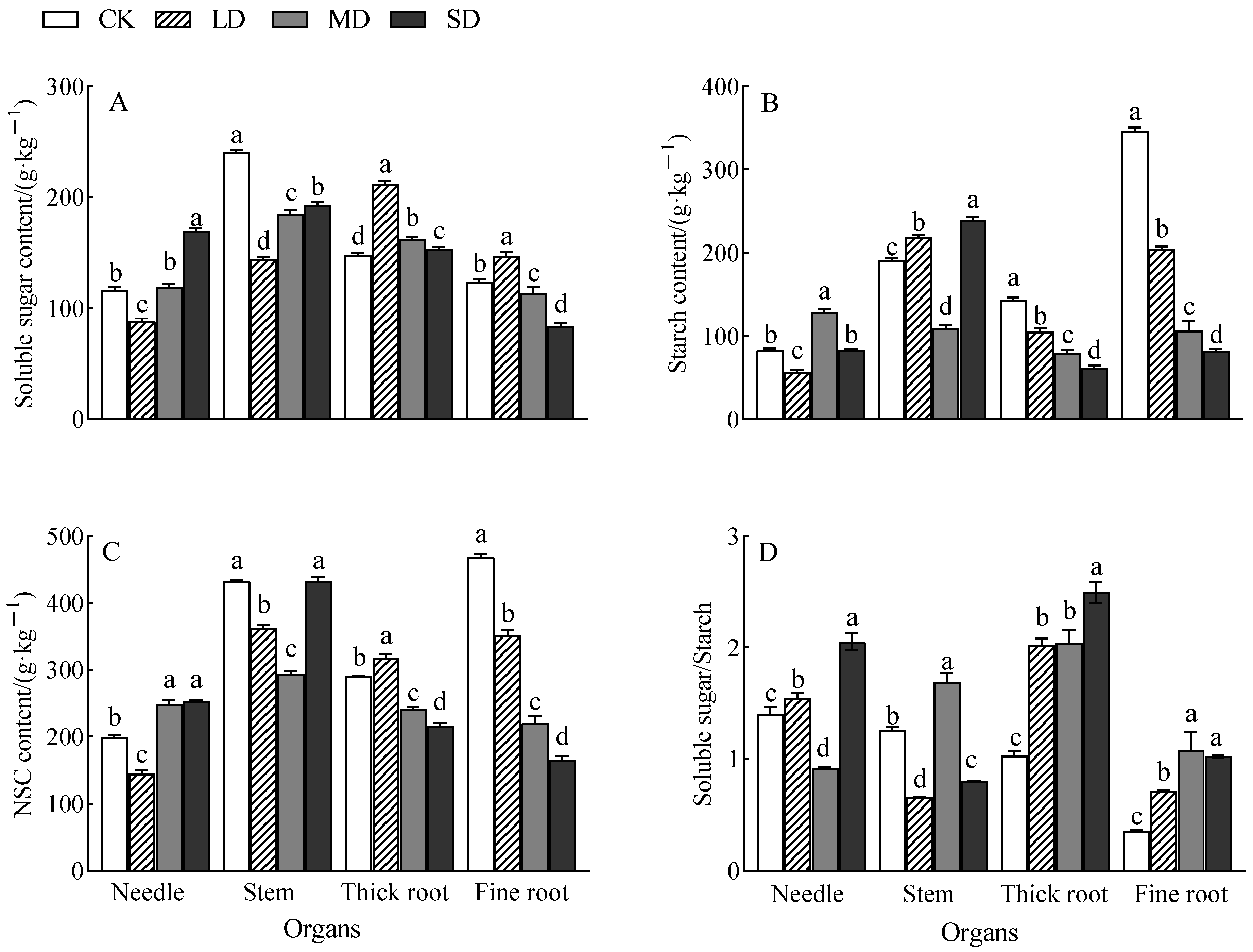
3.1. Effects of Re-Watering on NSC and Its Components in Pinus yunnanensis Seedlings
3.2. Effects of Re-Watering on the C, N, and P Contents and Stoichiometry of P. yunnanensis Seedlings
3.3. Phenotypic Plasticity Index of P. yunnanensis Seedlings After Drought Re-Watering
3.4. Principal Component Analysis of P. yunnanensis Seedling Indexes After Re-Watering
4. Discussion
5. Conclusions
Author Contributions
Funding
Data Availability Statement
Acknowledgments
Conflicts of Interest
References
- Zhang, Z.; Cao, B.; Gao, S.; Xu, K. Grafting improves tomato drought tolerance through enhancing photosynthetic capacity and reducing ROS accumulation. Protoplasma 2019, 256, 1013–1024. [Google Scholar] [CrossRef] [PubMed]
- Rubin, R.L.; van Groenigen, K.J.; Hungate, B.A. Plant growth promoting rhizobacteria are more effective under drought: A meta-analysis. Plant Soil. 2017, 416, 309–323. [Google Scholar] [CrossRef]
- Allen, C.D.; Macalady, A.K.; Chenchouni, H.; Bachelet, D.; McDowell, N.; Vennetier, M.; Kitzberger, T.; Rigling, A.; Breshears, D.D.; Hogg, E.T.; et al. A global overview of drought and heat-induced tree mortality reveals emerging climate change risks for forests. For. Ecol. Manag. 2010, 259, 660–684. [Google Scholar] [CrossRef]
- Adams, H.D.; Zeppel, M.J.; Anderegg, W.R.; Hartmann, H.; Landhäusser, S.M.; Tissue, D.T.; Huxman, T.E.; Hudson, P.J.; Franz, T.E.; Allen, C.D.; et al. A multi-species synthesis of physiological mechanisms in drought-induced tree mortality. Nat. Ecol. Evol. 2017, 1, 1285–1291. [Google Scholar] [CrossRef] [PubMed]
- Kaldenhoff, R.; Fischer, M. Aquaporins in plants. Acta Physiol. 2017, 187, 169–176. [Google Scholar] [CrossRef]
- Chen, J.; Dong, T.F.; Duan, B.L.; Korpelainen, H.; Niinemets, U.; Li, C.Y. Sexual competition and N supply interactively affect the dimorphism and competiveness of opposite sexes in Populus cathayana. Plant Cell Environ. 2015, 38, 1285–1298. [Google Scholar] [CrossRef]
- Guo, X.Y.; Peng, C.H.; Li, T.; He, J.J. The Effects of Drought and Re-Watering on Non-Structural Carbohydrates of Pinus tabulaeformis Seedlings. Biology 2021, 10, 281. [Google Scholar] [CrossRef]
- Liu, M.; Zhao, Y.; Wang, Y.; Korpelainen, H.; Li, C. Stem xylem traits and wood formation affect sex-specific responses to drought and rewatering in Populus cathayana. Tree Physiol. 2022, 42, 1350–1363. [Google Scholar] [CrossRef] [PubMed]
- Zhuang, L.; Chen, Y.N. Physiological responses of three contrasting plant species to ground water level changes in an arid environment. J. Integrat Plant Biol. 2006, 48, 520–526. [Google Scholar] [CrossRef]
- Sun, T.; Mao, Z.J.; Dong, L.L. Further evidence for slow decomposition of very fine roots using two method: Litterbags and intact cores. Plant Soil. 2013, 366, 633–646. [Google Scholar] [CrossRef]
- Kannenberg, S.A.; Phillips, R.P. Non-structural carbohydrate pools not linked to hydraulic strategies or carbon supply in tree saplings during severe drought and subsequent recovery. Tree Phytol. 2019, 40, 259–271. [Google Scholar] [CrossRef] [PubMed]
- Piper, F.I.; Fajardo, A. Foliar habit, tolerance to defoliation and their link to carbon and nitrogen storage. J. Ecol. 2014, 102, 1101–1111. [Google Scholar] [CrossRef]
- Tomasella, M.; Häberle, K.H.; Nardini, A. Post-drought hydraulic recovery is accompanied by non-structural carbohydrate depletion in the stem wood of Norway spruce saplings. Sci. Rep. 2017, 7, 14308. [Google Scholar] [CrossRef]
- Wiley, E.; Huepenbecker, S.; Casper, B.B. The effects of defoliation on carbon allocation:Can carbon limitationreduce growth in favour of storage? Tree Physiol. 2013, 33, 1216–1228. [Google Scholar] [CrossRef]
- Zhang, T.; Cao, Y.; Chen, Y.M. Non-structural carbohydrate dynamics in Robinia pseudoacacia, saplings under three levels of continuous drought stress. Trees 2015, 29, 1837–1849. [Google Scholar] [CrossRef]
- Hartmann, H.; Trumbore, S. Understanding the roles of nonstructural carbohydrates in forest trees-from what we can measure to what we want to know. New Phytol. 2016, 211, 386–403. [Google Scholar] [CrossRef]
- Michael, C.D.; Anna, S.; Mariah, S.C. Nonstructural carbon in woody plants. Annu. Rev. Plant Biol. 2014, 65, 667–687. [Google Scholar]
- Zhang, P. Response of Non-Structural Carbohydrates in Trees to Drought and Its Regulation Mechanism; East China Normal University: Shanghai, China, 2020. [Google Scholar]
- He, W.; Liu, H.; Qi, Y. Patterns in nonstructural carbohydrate contents at the tree organ level in response to drought duration. Glob. Chang. Biol. 2020, 26, 3627–3628. [Google Scholar] [CrossRef] [PubMed]
- Moe, S.J.; Stelzer, R.S.; Forman, M.R. Recent advances in ecological stoichiometry: Insights for population and community ecology. Oikos 2005, 109, 29–39. [Google Scholar] [CrossRef]
- Tian, D.; Reich, B.P.; Chen, Y.H. Global changes alter plant multi-element stoichiometric coupling. New Phytol. 2019, 221, 807–817. [Google Scholar] [CrossRef]
- He, M.Z.; Dijkstra, F.A. Drought effect on plant nitrogen and phosphorus:a meta-analysis. New Phytol. 2014, 204, 924–931. [Google Scholar] [CrossRef] [PubMed]
- Sainju, U.M.; Lenssen, A.W.; Ghimire, R.P. Root biomass, root /shoot ratio, and soil water content under perennial grasses with different nitrogen rates. Field Crops Res. 2017, 210, 183–191. [Google Scholar] [CrossRef]
- Hassan, M.U.; Aamer, M.; Chattha, M.U. The role of potassium in plants under drought stress: Mini review. J. Basic Appl. Sci. 2022, 13, 268–271. [Google Scholar] [CrossRef]
- Sanaullah, M.; Rumpel, C.; Charrier, X. How does drought stress influence the decomposition of plant litter with contrasting quality in a grassland ecosystem? Plant Soil. 2012, 352, 277–288. [Google Scholar] [CrossRef]
- Bertiller, M.B.; Sain, C.L.; Carrera, A.L. Patterns of nitrogen and phosphorus conservation in dominant perennial grasses and shrubs across an aridity gradient in Patagonia, Argentina. J. Arid Environ. 2005, 62, 209–223. [Google Scholar] [CrossRef]
- Mohammad, M.; Sadaf, C.; Daniel, K. Drought: Sensing, signalling, effects and tolerance in higher plants. Physiol. Plantarum. 2021, 172, 1291–1300. [Google Scholar]
- Wang, Z.N.; Yang, H.M. Response of ecological stoichiometry of carbon, nitrogen and phosphorus in plants to abiotic environmental factors. Pratacultural Sci. 2013, 30, 927–934. [Google Scholar]
- Zheng, S.; Shangguan, Z. Spatial patterns of leaf nutrient traits of the plants in the Loess Plateau of China. Trees 2007, 219, 357–370. [Google Scholar] [CrossRef]
- Deng, X.Q.; Huang, B.L.; Wen, Q.Z. Study on the distribution of Pinus yunnanensis forest in Yunnans. J. Yunnan Univ. (Nat. Sc. Ed.) 2013, 35, 843–848. [Google Scholar]
- Yu, C.; Chen, C.; Gong, Q. Preparation of polymer microspheres with a rosin moiety from rosin ester, styrene and divinylbenzene. Polyminte 2012, 61, 1619–1626. [Google Scholar] [CrossRef]
- Shen, J.Y.; Li, Z.S.; Gao, C.J.; Li, S.F.; Huang, X.B.; Lang, X.D.; Su, J.R. Radial growth response of Pinus yunnanensis to rising temperature and drought on the Yunnan Plateau, southwestern China. For. Ecol. Manag. 2020, 474, 118357. [Google Scholar] [CrossRef]
- Zhao, Z.J.; Wang, L.N.; Liu, Y.X. Effects of drought on non-structural carbohydrates and C, N, and P stoichiometric characteristics of Pinus yunnanensis seedlings. J. For. Res. 2024, 35, 94–106. [Google Scholar] [CrossRef]
- Wu, J.W.; Liu, S.; Li, J.Y. Photosynthetic and water consumption characteristics of afforestation tree species under drought stress in rocky desertification area of Guangdong province. Acta Ecol. Sin. 2016, 36, 12. [Google Scholar]
- Wang, X.K.; Huang, J.L. Principles and Techniques of Plant Physiological and Biochemical Experiments, 3rd ed.; Higher Education Press: Beijing, China, 2018. [Google Scholar]
- Bao, S.D. Soil Agrochemical Analysis, 3rd ed.; China Agricultural Press: Beijing, China, 2000. [Google Scholar]
- McDowell, N.G. Mechanisms Linking Drought, Hydraulics, Carbon Metabolism, and Vegetation Mortality. Plant Physiol. 2011, 155, 1051–1059. [Google Scholar] [CrossRef]
- Duan, H.L.; Li, Y.; Xu, Y. Contrasting drought sensitivity and post-drought resilience among three cooccurring tree species in subtropical China. Agric. For. Meteorol. 2019, 272–273, 55–68. [Google Scholar] [CrossRef]
- Hartmann, H.; Ziegler, W.; Trumbore, S. Lethal drought leads to reduction in nonstructural carbohydrates in Norway spruce tree roots but not in the canopy. Funct. Ecol. 2013, 27, 413–427. [Google Scholar] [CrossRef]
- Silva, E.N.; Ferreira-Silva, S.L.; Viégas, R.A. The role of organic and inorganic solutes in the osmotic adjustment of drought-stressed Jatropha curcas plants. Environ. Exp. Bot. 2010, 69, 279–285. [Google Scholar] [CrossRef]
- Zhao, N. Response of Carbon and Carbohydrate Characteristics of Liquidambar Formosana and Schima Superba Seedlings to Drought-Rehydration; Nanchang Institute of Technology: Nanchang, China, 2019. [Google Scholar]
- Chen, R.; Han, L.; Zhao, Y.H. Response of plant element traits to soil arsenic stress and its implications for vegetation restoration in a post-mining area. Ecol. Indic. 2023, 146, 109931. [Google Scholar] [CrossRef]
- Cao, Y.; Chen, Y.M. Coupling of plant and soil C: N: P stoichi-ometry in black locust (Robinia pseudoacacia) plantations on the Loess Plateau, China. Trees 2017, 31, 1559–1570. [Google Scholar] [CrossRef]
- Rouphael, Y.; Cardarelli, M.; Rea, E. Improving melon and cucumber photosynthetic activity, mineral composition, and growth performance under salinity stress by grafting onto Cucurbita hybrid rootstocks. Photosynthetica 2012, 50, 180–188. [Google Scholar] [CrossRef]
- Chen, E.B.; Uo, Y.Z.Y.; Uo, Y.S.L. Research progress on effects of low phosphorus stress on plant growth and physiological characteristics. Hunan For. Sci. Technol. 2020, 47, 132–136+146. [Google Scholar]
- Razzaq, M.; Akramn, A.; Ashraf, M. Interactive effect of drought and nitrogen on growth, some key physiological attributes and oxidative defense system in carrot (Daucus carota L.) plants. Sci. Hortic. 2017, 225, 373–379. [Google Scholar] [CrossRef]
- Yuan, Z.Y.; Chen, H.Y.H.; Reich, P.B. Global-scale latitudinal patterns of plant fine-root nitrogen and phosphorus. Nat. Commun. 2011, 2, 344. [Google Scholar] [CrossRef] [PubMed]
- Bradshaw, A.D. Unravelling phenotypic plasticity why should we bother. New Phytol. 2006, 170, 644–648. [Google Scholar] [CrossRef] [PubMed]
- Wang, W.; Wang, Y.; Hoch, G.; Wang, Z.; Gu, J. Linkage of root morphology to anatomy with increasing nitrogen availability in six temperate tree species. Plant Soil. 2018, 425, 189–200. [Google Scholar] [CrossRef]
- Nicotra, A.B.; Atkin, O.K.; Bonser, S.P. Plant phenotypic plasticity in a changing climate. Trends Plant Sci. 2010, 15, 684–692. [Google Scholar] [CrossRef]




| Factor | Soluble Sugar | Starch | NSC | Soluble Sugar/Starch |
|---|---|---|---|---|
| Organs | 1700.383 ** | 1815.087 ** | 2089.130 ** | 590.947 ** |
| Drought re-watering | 36.640 ** | 870.676 ** | 755.185 ** | 163.356 ** |
| Organs × drought re-watering | 464.096 ** | 707.498 ** | 707.979 ** | 145.729 ** |
| Factor | C | N | P | C/N | C/P | N/P |
|---|---|---|---|---|---|---|
| Organs | 1.822 | 13.559 ** | 6.845 * | 2.921 * | 9.741 ** | 7.811 ** |
| Drought re-watering | 48.516 ** | 60.177 ** | 546.906 ** | 6.040 * | 155.460 ** | 152.568 ** |
| Organs × drought re-watering | 7.765 * | 2.326 * | 17.817 ** | 0.957 | 40.125 ** | 25.892 ** |
Disclaimer/Publisher’s Note: The statements, opinions and data contained in all publications are solely those of the individual author(s) and contributor(s) and not of MDPI and/or the editor(s). MDPI and/or the editor(s) disclaim responsibility for any injury to people or property resulting from any ideas, methods, instructions or products referred to in the content. |
© 2024 by the authors. Licensee MDPI, Basel, Switzerland. This article is an open access article distributed under the terms and conditions of the Creative Commons Attribution (CC BY) license (https://creativecommons.org/licenses/by/4.0/).
Share and Cite
Liu, C.; Wu, J.; Gu, J.; Duan, H. Response of Non-Structural Carbohydrates and Carbon, Nitrogen, and Phosphorus Stoichiometry in Pinus yunnanensis Seedlings to Drought Re-Watering. Forests 2024, 15, 1864. https://doi.org/10.3390/f15111864
Liu C, Wu J, Gu J, Duan H. Response of Non-Structural Carbohydrates and Carbon, Nitrogen, and Phosphorus Stoichiometry in Pinus yunnanensis Seedlings to Drought Re-Watering. Forests. 2024; 15(11):1864. https://doi.org/10.3390/f15111864
Chicago/Turabian StyleLiu, Chengyao, Junwen Wu, Jianyao Gu, and Huaijiao Duan. 2024. "Response of Non-Structural Carbohydrates and Carbon, Nitrogen, and Phosphorus Stoichiometry in Pinus yunnanensis Seedlings to Drought Re-Watering" Forests 15, no. 11: 1864. https://doi.org/10.3390/f15111864
APA StyleLiu, C., Wu, J., Gu, J., & Duan, H. (2024). Response of Non-Structural Carbohydrates and Carbon, Nitrogen, and Phosphorus Stoichiometry in Pinus yunnanensis Seedlings to Drought Re-Watering. Forests, 15(11), 1864. https://doi.org/10.3390/f15111864
