Functional Analysis of the Role Played by the MiHSP90 Gene Family in the Shell Thickness of Macadamia Nuts (Macadamia integrifolia)
Abstract
1. Introduction
2. Materials and Methods
2.1. Macadamia Variety and Study Area
2.2. RNA-Seq and Bioinformatics Analysis
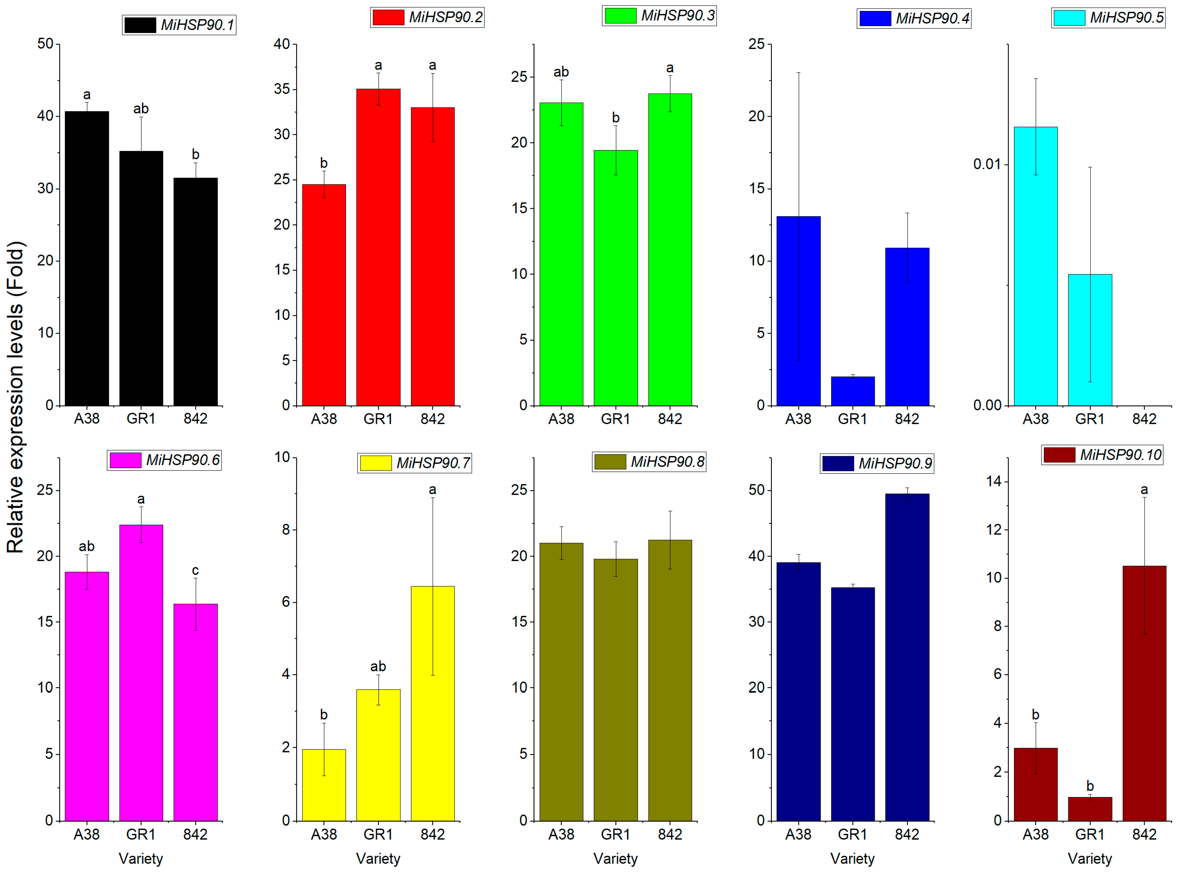
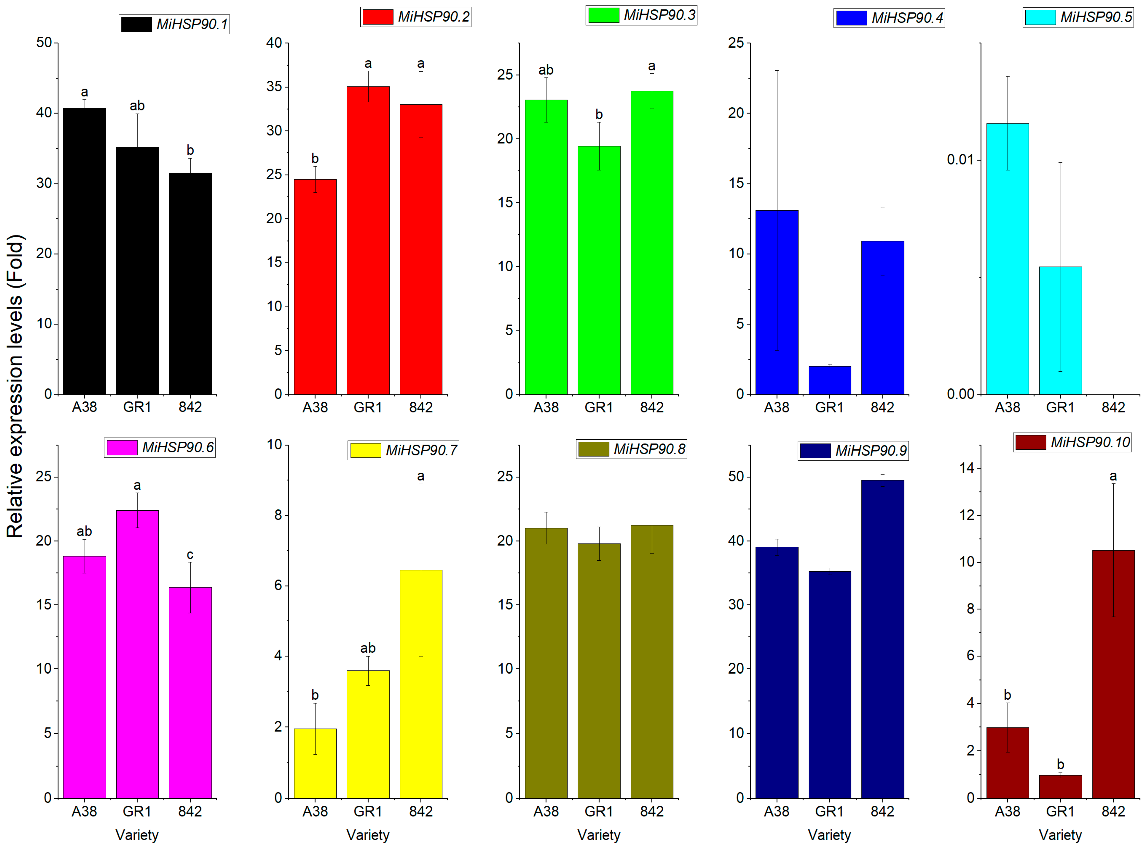
2.3. RT-qPCR Verification
3. Results
3.1. Macadamia Nuts Fruit Development Analysis
3.2. DEGs of the Three Macadamia Varieties
3.3. Characterization of 10 MiHSP90 Protein Members
4. Discussion
5. Conclusions
Supplementary Materials
Author Contributions
Funding
Data Availability Statement
Conflicts of Interest
References
- Gong, L.; Zhang, H.; Ma, J.; Li, Z.; Li, T.; Wu, C.; Li, Y.; Tao, L. Unravel the molecular basis underlying inflorescence color variation in Macadamia based on widely targeted metabolomics. Front. Plant Sci. 2025, 16, 1533187. [Google Scholar] [CrossRef]
- Mojapelo, N.A.; Seroka, N.S.; Khotseng, L. Macadamia Nut Bio-Waste: An Agricultural Waste with Potential to Be Used as Carbon Support Material in Fuel Cell Applications. Coatings 2023, 13, 1545. [Google Scholar] [CrossRef]
- Song, X.; He, W.; Qin, H.; Yang, S.; Wen, S. Fused Deposition Modeling of Poly (lactic acid)/Macadamia Composites-Thermal, Mechanical Properties and Scaffolds. Materials 2020, 13, 258. [Google Scholar] [CrossRef]
- Na, P.T.L.; Tuyen, N.D.K.; Dang, B.T. Sorption of four antibiotics onto pristine biochar derived from macadamia nutshell. Bioresour. Technol. 2024, 394, 130281. [Google Scholar] [CrossRef]
- Wang, H.J.; Al-Kurdhani, J.M.H.; Ma, J.J.; Wang, Y.D. Adsorption of Zn2+ ion by macadamia nut shell biochar modified with carboxymethyl chitosan and potassium ferrate. J. Environ. Chem. Eng. 2023, 11, 110150. [Google Scholar] [CrossRef]
- Moyo, M.; Modise, S.J.; Pakade, V.E. Palladium nanoparticles dispersed on functionalized macadamia nutshell biomass for formic acid-mediated removal of chromium(VI) from aqueous solution. Sci. Total Environ. 2020, 743, 140614. [Google Scholar] [CrossRef] [PubMed]
- Zhang, L.; Li, H.; Wei, X.; Li, Y.; Liu, Z.; Liu, M.; Huang, W.; Wang, H.; Zhao, J. The ZjMYB44-ZjPOD51 module enhances jujube defense response against phytoplasma by upregulating lignin biosynthesis. Hortic. Res. 2025, 12, uhaf083. [Google Scholar] [CrossRef] [PubMed]
- Xiao, D.; Jiang, Y.; Wang, Z.; Li, X.; Li, H.; Tang, S.; Zhang, J.; Xia, M.; Zhang, M.; Deng, X.; et al. Genome-Wide Identification and Expression Analysis of the HSP90 Gene Family in Relation to Developmental and Abiotic Stress in Ginger (Zingiber officinale Roscoe). Plants 2025, 14, 1660. [Google Scholar] [CrossRef] [PubMed]
- Hao, Z.Y.; Feng, Q.; Man, X.Y.; Qi, D.Q.; Qing, Y.S.; Yang, Z.W.; Elbagory, M.; Kasem, E.S.; Yasir, M.; Rong, J.Y. Genome-wide identification and characterization of HSP90 family gene in cotton and their potential role in salt stress tolerance. Front. Plant Sci. 2025, 16, 1574604. [Google Scholar] [CrossRef]
- Guo, Y.T.; Yan, Y.; Zhang, G.L.; Gou, J.Y. Dataset of wheat HSP90.2 chaperome. Data Brief. 2024, 55, 110583. [Google Scholar] [CrossRef]
- Chiosis, G.; Digwal, C.S.; Trepel, J.B.; Neckers, L. Structural and functional complexity of HSP90 in cellular homeostasis and disease. Nat. Rev. Mol. Cell Biol. 2023, 24, 797–815. [Google Scholar] [CrossRef] [PubMed]
- Zhang, X.C.; Millet, Y.A.; Cheng, Z.; Bush, J.; Ausubel, F.M. Jasmonate signalling in Arabidopsis involves SGT1b-HSP70-HSP90 chaperone complexes. Nat. Plants 2015, 1, 15049. [Google Scholar] [CrossRef] [PubMed]
- Zabka, M.; Lesniak, W.; Prus, W.; Kuznicki, J.; Filipek, A. Sgt1 has co-chaperone properties and is up-regulated by heat shock. Biochem. Biophys. Res. Commun. 2008, 370, 179–183. [Google Scholar] [CrossRef] [PubMed]
- Shafqat, W.; Jaskani, M.J.; Maqbool, R.; Chattha, W.S.; Ali, Z.; Naqvi, S.A.; Haider, M.S.; Khan, I.A.; Vincent, C.I. Heat shock protein and aquaporin expression enhance water conserving behavior of citrus under water deficits and high temperature conditions. Environ. Exp. Bot. 2021, 181, 104270. [Google Scholar] [CrossRef]
- Samakovli, D.; Roka, L.; Dimopoulou, A.; Plitsi, P.K.; Zukauskaite, A.; Georgopoulou, P.; Novák, O.; Milioni, D.; Hatzopoulos, P. HSP90 affects root growth in Arabidopsis by regulating the polar distribution of PIN1. New Phytol. 2021, 231, 1814–1831. [Google Scholar] [CrossRef]
- Bao, F.; Huang, X.; Zhu, C.; Zhang, X.; Li, X.; Yang, S. Arabidopsis HSP90 protein modulates RPP4-mediated temperature-dependent cell death and defense responses. New Phytol. 2014, 202, 1320–1334. [Google Scholar] [CrossRef]
- Hubert, D.A.; He, Y.; McNulty, B.C.; Tornero, P.; Dangl, J.L. Specific Arabidopsis HSP90.2 alleles recapitulate RAR1 cochaperone function in plant NB-LRR disease resistance protein regulation. Proc. Natl. Acad. Sci. USA 2009, 106, 9556–9563. [Google Scholar] [CrossRef]
- Wang, H.; Charagh, S.; Dong, N.; Lu, F.; Wang, Y.; Cao, R.; Ma, L.; Wang, S.; Jiao, G.; Xie, L.; et al. Genome-Wide Analysis of Heat Shock Protein Family and Identification of Their Functions in Rice Quality and Yield. Int. J. Mol. Sci. 2024, 25, 11931. [Google Scholar] [CrossRef]
- Zhang, H.; Li, L.H.; Ye, T.Z.; Chen, R.J.; Gao, X.L.; Xu, Z.J. Molecular characterization, expression pattern and function analysis of the OsHSP90 family in rice. Biotechnol. Biotechnol. Equip. 2016, 30, 669–676. [Google Scholar] [CrossRef]
- Tan, Q.; Huan, X.; Pan, Z.; Yang, X.; Wei, Y.; Zhou, C.; Wang, W.; Wang, L. Comparative Transcriptome Analysis Reveals Key Functions of MiMYB Gene Family in Macadamia Nut Pericarp Formation. Int. J. Mol. Sci. 2024, 25, 6840. [Google Scholar] [CrossRef]
- Kim, J.H.; Chan, K.L.; Hart-Cooper, W.M.; Ford, D.; Orcutt, K.; Palumbo, J.D.; Tam, C.C.; Orts, W.J. Valorizing Tree-Nutshell Particles as Delivery Vehicles for a Natural Herbicide. Methods Protoc. 2024, 7, 1. [Google Scholar] [CrossRef] [PubMed]
- Khan, M.S.; Islam, M.M.; Epaarachchi, J.; Shibata, S. Exploring the Prospects of Macadamia Nutshells for Bio-Synthetic Polymer Composites: A Review. Polymers 2023, 15, 4007. [Google Scholar] [CrossRef] [PubMed]
- Maia, L.S.; Balieiro, L.C.S.; Teixeira, E.J.O.; Rodrigues, L.M.; Rosa, D.S.; Mulinari, D.R. Revalorization of Macadamia nutshell residue as a filler in eco-friendly castor polyol-based polyurethane foam. J. Mater. Cycles Waste Manag. 2023, 25, 2295–2311. [Google Scholar] [CrossRef]
- Zhou, Z.J.; Zhao, Z.X.; Zhou, J.J.; Yang, F.; Zhang, J.Z. Boron Supplementation and Phytohormone Application: Effects on Development, Fruit Set, and Yield in Macadamia Cultivar ‘A4’ (Macadamia integrifolia, M. tetraphylla). Plants 2025, 14, 2461. [Google Scholar] [CrossRef]
- Kadota, Y.; Shirasu, K. The HSP90 complex of plants. Biochim. Biophys. Acta BBA Mol. Cell Res. 2012, 1823, 689–697. [Google Scholar] [CrossRef]
- Yan, Y.; Wang, M.L.; Guo, Y.T.; Ding, C.H.; Niu, K.X.; Li, X.M.; Sun, C.; Dong, Z.; Cui, D.; Rasheed, A.; et al. HSP90.2 promotes CO2 assimilation rate, grain weight and yield in wheat. Plant Biotechnol. J. 2023, 21, 1229–1239. [Google Scholar] [CrossRef]
- Noureddine, J.; Mu, B.; Hamidzada, H.; Mok, W.L.; Bonea, D.; Nambara, E.; Zhao, R. Knockout of endoplasmic reticulum-localized molecular chaperone HSP90.7 impairs seedling development and cellular auxin homeostasis in Arabidopsis. Plant J. 2024, 119, 218–236. [Google Scholar] [CrossRef]
- Wei, Y.X.; Zeng, H.Q.; Liu, W.; Cheng, X.; Zhu, B.B.; Guo, J.R.; Shi, H.T. Autophagy-related genes serve as heat shock protein 90 co-chaperones in disease resistance against cassava bacterial blight. Plant J. 2021, 107, 925–937. [Google Scholar] [CrossRef]
- Takahashi, A.; Casais, C.; Ichimura, K.; Shirasu, K. HSP90 interacts with RAR1 and SGT1 and is essential for RPS2-mediated disease resistance in Arabidopsis. Proc. Natl. Acad. Sci. USA 2003, 100, 11777–11782. [Google Scholar] [CrossRef]
- Qian, L.C.; Zhao, J.P.; Du, Y.M.; Zhao, X.J.; Han, M.; Liu, Y.L. Hsp90 Interacts With Tm-22 and Is Essential for Tm-22-Mediated Resistance to Tobacco mosaic virus. Front. Plant Sci. 2018, 9, 411. [Google Scholar] [CrossRef]
- Shigeta, T.; Zaizen, Y.; Sugimoto, Y.; Nakamura, Y.; Matsuo, T.; Okamoto, S. Heat shock protein 90 acts in brassinosteroid signaling through interaction with BES1/BZR1 transcription factor. J. Plant Physiol. 2015, 178, 69–73. [Google Scholar] [CrossRef]
- Liu, M.Y.; Wang, L.F.; Ke, Y.H.; Xian, X.M.; Wang, J.L.; Wang, M.; Zhang, Y. Identification of HbHSP90 gene family and characterization HbHSP90.1 as a candidate gene for stress response in rubber tree. Gene 2022, 827, 146475. [Google Scholar] [CrossRef] [PubMed]
- Meiri, D.; Breiman, A. Arabidopsis ROF1 (FKBP62) modulates thermotolerance by interacting with HSP90.1 and affecting the accumulation of HsfA2-regulated sHSPs. Plant J. 2009, 59, 387–399. [Google Scholar] [CrossRef] [PubMed]
- Wei, Y.X.; Liu, W.; Hu, W.; Yan, Y.; Shi, H.T. The chaperone MeHSP90 recruits MeWRKY20 and MeCatalase1 to regulate drought stress resistance in cassava. New Phytol. 2020, 226, 476–491. [Google Scholar] [CrossRef]
- Wei, Y.; Zhu, B.; Zhang, Y.; Ma, G.; Wu, J.; Tang, L.; Shi, H. CPK1-HSP90 phosphorylation and effector XopC2-HSP90 interaction underpin the antagonism during cassava defense-pathogen infection. New Phytol. 2024, 242, 2734–2745. [Google Scholar] [CrossRef]
- Pattanavongsawat, C.; Malichan, S.; Vannatim, N.; Chaowongdee, S.; Hemniam, N.; Paemanee, A.; Siriwan, W. Enhancing Plant Resistance to Sri Lankan Cassava Mosaic Virus Using Salicylic Acid. Metabolites 2025, 15, 261. [Google Scholar] [CrossRef]
- Purohit, A. Unravelling Genetic Determinants of Shell Thickness in Groundnut: Insights from a Genome-Wide Association Study. Res. Sq. 2025. [Google Scholar] [CrossRef]
- Arab, M.M.; Marrano, A.; Abdollahi-Arpanahi, R.; Leslie, C.A.; Askari, H.; Neale, D.B.; Vahdati, K. Genome-wide patterns of population structure and association mapping of nut-related traits in Persian walnut populations from Iran using the Axiom J. regia 700K SNP array. Sci. Rep. 2019, 9, 6376. [Google Scholar] [CrossRef]
- Valentini, N.; Pavese, V.; Martina, M.; Acquadro, A.; Torello Marinoni, D.; Botta, R.; Portis, E. Genomic investigation of traits associated with nut and kernel in a full-sib population of European hazelnut. Sci. Hortic. 2025, 339, 113871. [Google Scholar] [CrossRef]










| Gene | Forward Primers 5′-3′ | Reverse Primers 5′-3′ |
|---|---|---|
| MiHSP90.1 | GATGATGAGACGGAGGAAG | CCAAGCAGCAAGGAGAAT |
| MiHSP90.2 | CCTTACCACTCAATGTATCAC | ATCCTCCTCAGCAATCTTAC |
| MiHSP90.3 | CTTGGTCTTGCTGCTCTT | GCTCTCCTCGTTGTCTTC |
| MiHSP90.4 | CGCTGGATTGAAGTGGAA | CCTGTATCTGTTATGGTAATGG |
| MiHSP90.5 | GCACAATGACGATGAACAA | ACACCTCCTTAACCTTCTTC |
| MiHSP90.6 | GCTTCGGTTCTTCTCTTCT | TCCTGCTTCATTGCCTTC |
| MiHSP90.7 | GGTCGGATAAGCAGTATGT | GGAGTAAGGTAATCTGTGTTC |
| MiHSP90.8 | GAAGAGGCAGAAGAGGAAG | AGTGGTAAGGTGTCAGAATC |
| MiHSP90.9 | ATGGCGGATGTTCAGATG | CAACGAGATAGGCAGAGTAA |
| MiHSP90.10 | CTGGTGAACTGGAGATACG | ACAAGGAATGCGGAATAGAA |
| MiACTIN | TCTTCATTGCCTGCACTCCAGA | TTCCACCTGAATGCCGTCTAGC |
Disclaimer/Publisher’s Note: The statements, opinions and data contained in all publications are solely those of the individual author(s) and contributor(s) and not of MDPI and/or the editor(s). MDPI and/or the editor(s) disclaim responsibility for any injury to people or property resulting from any ideas, methods, instructions or products referred to in the content. |
© 2025 by the authors. Licensee MDPI, Basel, Switzerland. This article is an open access article distributed under the terms and conditions of the Creative Commons Attribution (CC BY) license (https://creativecommons.org/licenses/by/4.0/).
Share and Cite
Huan, X.; Tan, Q.; Tang, X.; Zhou, C.; Yang, X.; Wei, Y.; Chen, H.; Wang, W.; Wang, L. Functional Analysis of the Role Played by the MiHSP90 Gene Family in the Shell Thickness of Macadamia Nuts (Macadamia integrifolia). Forests 2025, 16, 1775. https://doi.org/10.3390/f16121775
Huan X, Tan Q, Tang X, Zhou C, Yang X, Wei Y, Chen H, Wang W, Wang L. Functional Analysis of the Role Played by the MiHSP90 Gene Family in the Shell Thickness of Macadamia Nuts (Macadamia integrifolia). Forests. 2025; 16(12):1775. https://doi.org/10.3390/f16121775
Chicago/Turabian StyleHuan, Xiuju, Qiujin Tan, Xiuhua Tang, Chunheng Zhou, Xiaozhou Yang, Yuanrong Wei, Haisheng Chen, Wenlin Wang, and Lifeng Wang. 2025. "Functional Analysis of the Role Played by the MiHSP90 Gene Family in the Shell Thickness of Macadamia Nuts (Macadamia integrifolia)" Forests 16, no. 12: 1775. https://doi.org/10.3390/f16121775
APA StyleHuan, X., Tan, Q., Tang, X., Zhou, C., Yang, X., Wei, Y., Chen, H., Wang, W., & Wang, L. (2025). Functional Analysis of the Role Played by the MiHSP90 Gene Family in the Shell Thickness of Macadamia Nuts (Macadamia integrifolia). Forests, 16(12), 1775. https://doi.org/10.3390/f16121775

