Trees, Deadwood and Tree-Related Microhabitats Explain Patterns of Alpha and Beta Saproxylic Beetle Diversity in Silver Fir-Beech Forests in Central Italy
Abstract
1. Introduction
2. Materials and Methods
2.1. Study Area
2.2. Sampling Scheme
2.3. Living Trees, Deadwood and Tree-Related Microhabitats
2.4. Beetles Sampling
2.5. Statistical Analysis
2.5.1. Rarefaction Curves
2.5.2. Indices of Alpha and Beta Diversity
- −
- We calculated alpha diversity for each sampling site as richness (Hill number = 0) from species presences/absence (1/0) data, and as Shannon index (q = 1) and Simpson index (q = 2) from abundance data.
- −
- We calculated beta diversity as turnover among sampling sites employing distance indices equivalent for the 3 Hill numbers (q): Jaccard dissimilarity index (q = 0) was calculated from presence/absence (1/0) data [44] and corresponds to richness; Horn index (q = 1) was calculated from abundance data and corresponds to Shannon diversity; rare and common species influence this index based on their abundance; Morisita index (q = 2) was calculated from abundance data and corresponds to Simpson diversity; it is more sensitive to common species [45].
2.5.3. Models for Alpha and Beta Diversity
3. Results
3.1. Forest Structure and Tree-Related Microhabitats
3.2. Beetle Communities
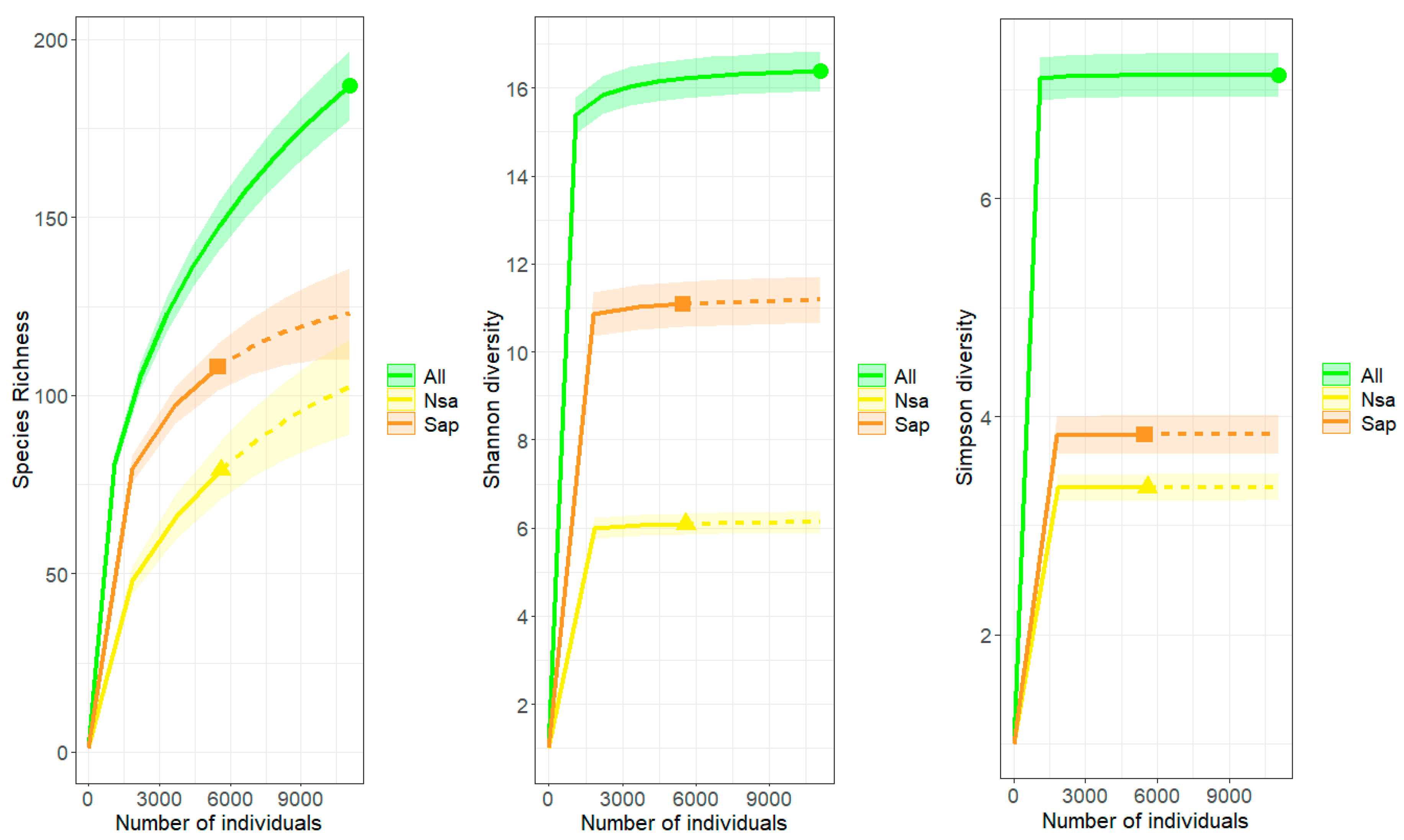
3.3. Beetle Diversity
3.4. Models for Alpha and Beta Diversity
4. Discussion
4.1. Forest Structure in Vallombrosa
4.2. Beetle Communities in Vallombrosa
4.3. Effect of Forest Structure on Beetle Alpha and Beta Diversity
4.3.1. Effect of Tree Composition and Vertical Structure
4.3.2. Effect of Deadwood Dynamics
4.3.3. Effect of Tree-Related Microhabitats (TreMs)
4.4. Conservation and Management Implications
5. Conclusions
Author Contributions
Funding
Data Availability Statement
Acknowledgments
Conflicts of Interest
Appendix A
| Tree-Related Microhabitats | ||
|---|---|---|
| Form | Head | Definition |
| CV1- Woodpecker cavities | CV11 | Cavity entrance about ø = 4 cm |
| CV12 | Cavity entrance about ø = 5–6 cm | |
| CV13 | Cavity entrance width is about ø > 10 cm | |
| CV14 | Cavity entrance width is about ø ≥ 10 cm | |
| CV15 | At least three in the trunk connected woodpecker breeding cavities | |
| CV2- Trunk and mould cavities | CV21 | Mould containing trunk cavity with ground contact about ø ≥ 10 cm |
| CV22 | Mould containing trunk cavity with ground contact about ø ≥ 30 cm | |
| CV23 | Mould containing trunk cavity without ground contact about ø ≥ 10 cm | |
| CV24 | Mould containing trunk cavity without ground contact about ø ≥ 30 cm | |
| CV25 | Semi-open trunk cavity with or without mould about ø ≥ 30 cm | |
| CV26 | Large trunk cavity with open top and with or without ground contact about ø ≥ 30 cm | |
| CV3- Branch holes | CV31 | Rot-holes originating from branch breakage at trunk about ø ≥ 5 cm |
| CV32 | Rot-holes originating from branch breakage at trunk about ø ≥ 10 cm | |
| CV33 | Hollow more or less horizontal branch about ø ≥ 10 cm | |
| CV4- Dendrotelms and water-filled holes | CV41 | Cup-shaped concavities to trunk base with the entrance diameter about ø ≥ 3 cm |
| CV42 | Cup-shaped concavities to trunk base with the entrance diameter about ø ≥ 15 cm | |
| CV43 | Cup-shaped concavities to crown with the entrance diameter about ø ≥ 5 cm | |
| CV44 | Cup-shaped concavities to crown with the entrance diameter about ø ≥ 15 cm | |
| CV5- Insect galleries and bore holes | CV51 | Gallery with single small bore holes |
| CV52 | Gallery with single large bore hole about ø ≥ 2 cm | |
| IN1- Bark loss/exposed sapwood | IN11 | Bark loss 25–600 cm2 and decay stage < 3 |
| IN12 | Bark loss > 600 cm2 and decay stage < 3 | |
| IN13 | Bark loss 25–600 cm2 and decay stage = 3 | |
| IN14 | Bark loss > 600 cm2 and decay stage = 3 | |
| IN2- Exposed heartwood/trunk and crown breakage | IN21 | Broken trunk with the diameter at the end about ø ≥ 20 cm |
| IN22 | Broken tree crown/fork with exposed wood ≥ 300 cm2 | |
| IN23 | Broken limb with the diameter at the end about ø ≥ 20 cm | |
| IN24 | Splintered stem with the diameter at the end about ø ≥ 20 cm | |
| IN3- Cracks and scars | IN31 | Cleft through the bark with length ≥ 30 cm, width > 1 cm, depth > 10 cm |
| IN32 | Cleft through the bark with length ≥ 100 cm, width > 1 cm, depth > 10 cm | |
| IN33 | Bark loss and crack caused by lightning | |
| IN34 | Fire scars at the lower trunk ≥ 600 cm2 | |
| BA1- Bark pockets | BA11 | Bark shelter with width > 1 cm, depth > 10 cm, height > 10 cm |
| BA12 | Bark pocket with width > 1 cm, depth > 10 cm, height > 10 cm | |
| BA2- Bark structure | BA21 | Coarse bark |
| DE1- Dead branches and limbs/crown deadwood | DE11 | Decaying wood ø 10–20 cm, ≥50 cm, sun exposed |
| DE12 | Decaying wood ø > 20 cm, ≥50 cm, sun exposed | |
| DE13 | Decaying wood ø 10–20 cm, ≥50 cm, not sun exposed | |
| DE14 | Decaying wood ø > 20 cm, ≥50 cm, not sun exposed | |
| DE15 | Decaying wood with dead top ø ≥ 10 cm | |
| GR1- Root buttress cavities | GR11 | Natural cavity formed by the tree roots ø ≥ 5 cm |
| GR12 | Natural cavity formed by the tree roots ø ≥ 10 cm | |
| GR13 | Trunk cleavage with length ≥ 30 cm | |
| GR2- Witches broom | GR21 | Dense agglomeration of twigs ø > 50 cm |
| GR22 | Dense agglomeration of shoots on the trunk or branches of a tree | |
| GR3- Cankers and burrs | GR31 | Cancerous growth ø > 20 cm |
| GR32 | Decayed canker ø > 20 cm | |
| EP1- Fruiting bodies fungi | EP11 | Annual polypores ø > 5 cm |
| EP12 | Perennial polypores ø > 10 cm | |
| EP13 | Pulpy agaric ø > 5 cm | |
| EP14 | Large ascomycetes ø > 5 cm | |
| EP2- Myxomycetes | EP21 | Myxomycetes ø > 5 cm |
| EP3- Epiphytic crypto- and phanerogams | EP31 | Epiphytic bryophytes coverage > 25% |
| EP32 | Epiphytic foliose and fruticose lichens coverage > 25% | |
| EP33 | Lianas coverage > 25% | |
| EP34 | Epiphytic ferns > 5 fronds | |
| EP35 | Mistletoe | |
| NE1- Nests | NE11 | Large vertebrate nest ø > 80 cm |
| NE12 | Small vertebrate nest ø > 10 cm | |
| NE21 | Invertebrate nest | |
| OT1- Sap and resin run | OT11 | Sap flow > 50 cm |
| OT12 | Resin flow and pockets > 50 cm | |
| OT2- Microsoil | OT21 | Crown microsoil |
| OT22 | Bark microsoil | |
| Family | Species | IUCN Category | Trophic Category | Number of Specimens |
|---|---|---|---|---|
| Biphyllidae | Diplocoelus fagi (Chevrolat, 1837) | LC | SX (PR) | 5 |
| Bostrichidae | Xylopertha retusa (A.G.Olivier, 1790) | VU | XY | 8 |
| Buprestidae | Anthaxia (Melanthaxia) helvetica spp. apennina Obenberger, 1938 | LC | XY | 1 |
| Cantharidae | Cantharis decipiens Baudi, 1871 | 6 | ||
| Cantharidae | Cantharis monacha Moscardini, 1862 | 2 | ||
| Cantharidae | Dichelotarsus procerulus (Kiesenwetter, 1860) | 1 | ||
| Cantharidae | Malthinus glabellus Kiesenwetter, 1852 | 3 | ||
| Cantharidae | Malthodes sp. | 1 | ||
| Cerambycidae | Alosterna tabacicolor (De Geer, 1775) | LC | XY | 12 |
| Cerambycidae | Anaglyptus mysticus (Linnaeus, 1758) | LC | XY | 1 |
| Cerambycidae | Anastrangalia dubia (Scopoli, 1763) | LC | XY | 17 |
| Cerambycidae | Clytus arietis (Linnaeus, 1758) | LC | XY | 1 |
| Cerambycidae | Grammoptera ruficornis (Fabricius, 1781) | LC | XY | 29 |
| Cerambycidae | Leiopus femoratus Fairmaire, 1859 | NT | XY | 30 |
| Cerambycidae | Mesosa nebulosa (Fabricius, 1781) | LC | XY | 2 |
| Cerambycidae | Molorchus minor (Linnaeus, 1758) | LC | XY | 1 |
| Cerambycidae | Obrium cantharinum (Linnaeus, 1767) | NT | XY | 5 |
| Cerambycidae | Phymatodes testaceus (Linnaeus, 1758) | LC | XY | 3 |
| Cerambycidae | Rhagium bifasciatum Fabricius, 1775 | LC | XY | 6 |
| Cerambycidae | Rhagium inquisitor (Linnaeus, 1758) | LC | XY | 1 |
| Cerambycidae | Ropalopus insubricus (Germar, 1824) | VU | XY | 2 |
| Cerambycidae | Rutpela maculata (Poda, 1761) | LC | XY | 12 |
| Cerambycidae | Saperda scalaris (Linnaeus, 1758) | LC | XY | 1 |
| Cerambycidae | Stenurella bifasciata (O.F.Müller, 1776) | LC | XY | 19 |
| Cerambycidae | Stenurella melanura (Linnaeus, 1758) | LC | XY | 67 |
| Cerylonidae | Cerylon ferrugineum Stephen, 1830 | LC | MY | 47 |
| Cryptophagidae | Cryptophagus scanicus (Linneaus, 1758) | LC | MY | 17 |
| Cryptophagidae | Cryptophagus sp. | 20 | ||
| Chrysomelidae | Galerucella (Neogalerucella) lineola (Fabricius, 1781) | 2 | ||
| Cleridae | Thanasimus formicarius (Linneaus, 1758) | LC | PR | 4 |
| Cleridae | Tillus elongatus (Linneaus, 1758) | 2 | ||
| Cucujidae | Pediacus dermestoides (Fabricius, 1792) | NT | PR | 8 |
| Curculionidae | Anisandrus dispar (Fabricius, 1792) | LC | MY | 202 |
| Curculionidae | Cryphalus piceae (Ratzeburg, 1837) | LC | XY | 4 |
| Curculionidae | Dryocoetes autographus (Ratzeburg, 1837) | LC | XY | 2 |
| Curculionidae | Dryocoetes villosus (Fabricius, 1792) | LC | XY | 1 |
| Curculionidae | Ernoporicus fagi (Fabricius, 1798) | LC | XY | 2704 |
| Curculionidae | Hylesinus crenatus (Fabricius, 1787) | LC | XY | 32 |
| Curculionidae | Ips cembrae (Heer, 1836) | LC | XY | 2 |
| Curculionidae | Lasiorhynchites (Coccygorrhynchites) sericeus (Herbst, 1797) | 1 | ||
| Curculionidae | Orchestes fagi (Linneaus, 1758) | 874 | ||
| Curculionidae | Phyllobius etruscus Desbrochers, 1873 | 2 | ||
| Curculionidae | Pissodes (Pissodes) piceae Illiger, 1807 | LC | XY | 2 |
| Curculionidae | Pissodes (Pissodes) pini (Linnaeus, 1758) | LC | XY | 2 |
| Curculionidae | Pityokteines curvidens (Germar, 1824) | LC | XY | 33 |
| Curculionidae | Platypus cylindrus (Fabricius, 1792) | LC | XY | 6 |
| Curculionidae | Polydrusus (Metallites) aeratus (Gravenhorst, 1807) | 60 | ||
| Curculionidae | Polydrusus impar Des Gozis, 1882 | 2 | ||
| Curculionidae | Polygraphus poligraphus (Linnaeus, 1758) | LC | XY | 1 |
| Curculionidae | Scolytus intricatus (Ratzeburg, 1837) | LC | XY | 42 |
| Curculionidae | Tatianaerhynchites aequatus (Linnaeus, 1767) | 1 | ||
| Curculionidae | Trypodendron domesticum (Linnaeus, 1758) | LC | MY | 5 |
| Curculionidae | Trypodendron signatum (Fabricius, 1792) | LC | XY | 105 |
| Curculionidae | Xyleborinus saxesenii (Ratzeburg, 1837) | LC | MY | 4 |
| Curculionidae | Xyleborus monographus (Fabricius, 1792) | LC | MY | 66 |
| Curculionidae | Xylosandrus germanus (Blandford, 1894) | 2804 | ||
| Elateridae | Agriotes (Agriotes) acuminatus (Stephens, 1830) | 8 | ||
| Elateridae | Agriotes (Agriotes) infuscatus Desbrochers des Loges, 1870 | 62 | ||
| Elateridae | Ampedus coenobita (Costa, 1882) | NT | PR | 5 |
| Elateridae | Ampedus elegantulus (Schönherr, 1817) | VU | PR | 3 |
| Elateridae | Ampedus erythrogonus (O.F. Müller, 1821) | NT | PR | 3 |
| Elateridae | Ampedus nemoralis Bouwer, 1980 | VU | PR | 1 |
| Elateridae | Ampedus nigerrimus (Boisduval & Lacordaire, 1835) | LC | PR | 1 |
| Elateridae | Athous (Haplathous) subfuscus (O.F. Muller,1767) | 67 | ||
| Elateridae | Athous flavipennis Candèze, 1860 | 2 | ||
| Elateridae | Athous vittatus (Fabricius, 1792) | 31 | ||
| Elateridae | Limonius minutus (Linnaeus, 1758) | 3 | ||
| Elateridae | Megathous nigerrimus (Desbrochers des Loges, 1870) | EN | PR | 52 |
| Elateridae | Nothodes parvulus (Panzer, 1799) | 232 | ||
| Elateridae | Stenagostus rhombeus (A.G.Olivier, 1790) | VU | PR | 18 |
| Endomychidae | Mycetina cruciata (Schaller, 1783) | LC | MB | 2 |
| Eucnemidae | Melasis buprestoides (Linnaeus, 1760) | LC | SX | 5 |
| Erotylidae | Triplax lacordairii Crotch, 1870 | NT | MB | 1 |
| Laemophloeidae | Cryptolestes (Leptophloeus) alternans (Erichson, 1846) | NT | PR (MY) | 520 |
| Laemophloeidae | Notolaemus unifasciatus (Latreille, 1804) | NT | MY | 2 |
| Lampyridae | Luciola pedemontana Motschulsky, 1853 | 8 | ||
| Latridiidae | Enicmus brevicornis (Mannerheim, 1844) | LC | MY | 4 |
| Latridiidae | Cartodere nodifer (Westwood, 1839) | LC | MY | 1 |
| Latridiidae | Stephostethus alternans (Mannerheim, 1844) | LC | MY | 1 |
| Latridiidae | Enicmus testaceus (Stephens, 1830) | LC | MY | 5 |
| Lucanidae | Sinodendron cylindricum (Linnaeus, 1758) | LC | SX | 2 |
| Lycidae | Dictyoptera aurora (Herbst, 1784) | LC | MY | 1 |
| Lycidae | Pyropterus nigroruber (DeGeer, 1774) | LC | MY | 3 |
| Lymexylidae | Elateroides dermestoides (Linnaeus, 1761) | NT | XY (MY) | 31 |
| Lymexylidae | Lymexylon navale (Linnaeus, 1758) | NT | XY (MY) | 12 |
| Melandryidae | Abdera (Abdera) biflexuosa (Curtis, 1829) | NT | MY | 2 |
| Melandryidae | Conopalpus testaceus (A.G.Olivier, 1790) | NT | MY | 1 |
| Melandryidae | Serropalpus barbatus (Schaller, 1783) | NT | MY | 29 |
| Melyridae | Aplocnemus (Aplocnemus) nigricornis (Fabricius, 1792) | LC | PR | 26 |
| Melyridae | Danacea (Danacea) ambigua Mulsant & Rey, 1868 | 69 | ||
| Melyridae | Danacea cusanensis (Costa, 1847) | 7 | ||
| Melyridae | Dasytes (Mesodasytes) nigrocyaneus Mulsant & Rey, 1868 | LC | PR | 1 |
| Melyridae | Dasytes (Mesodasytes) plumbeus (O.F. Müller, 1776) | LC | PR | 236 |
| Melyridae | Dasytes (Metadasytes) caeruleus (De Geer, 1774) | LC | PR | 11 |
| Melyridae | Trichoceble floralis (A.G.Olivier, 1790) | VU | PR | 2 |
| Monotomidae | Rhizophagus (Rhizophagus) bipustulatus (Fabricius, 1792) | LC | MY (PR) | 9 |
| Monotomidae | Rhizophagus (Rhizophagus) cribratus Gyllenhal, 1827 | DD | MY (PR) | 2 |
| Monotomidae | Rhizophagus (Rhizophagus) dispar (Paykull, 1800) | LC | MY (PR) | 2 |
| Monotomidae | Rhizophagus (Rhizophagus) ferrugineus (Paykull, 1800) | LC | MY (PR) | 17 |
| Monotomidae | Rhizophagus (Rhizophagus) nitidulus (Fabricius, 1798) | NT | MY (PR) | 1 |
| Monotomidae | Rhizophagus (Rhizophagus) perforatus Erichson, 1845 | DD | MY (PR) | 6 |
| Mordellidae | Mordellochroa milleri (Emery, 1876) | CR | SX | 1 |
| Mordellidae | Tomoxia bucephala (A. Costa, 1854) | LC | SX | 2 |
| Mycetophagidae | Mycetophagus quadripustulatus (Linneaus, 1761) | LC | MY | 18 |
| Nitidulidae | Cryptarcha strigata (Fabricius, 1787) | LC | SF | 17 |
| Nitidulidae | Epuraea aestiva (Linnaeus, 1758) | 3 | ||
| Nitidulidae | Epuraea fuscicollis (Stephens, 1835) | LC | SF | 5 |
| Nitidulidae | Epuraea melanocephala (Marsham, 1802) | LC | MY | 2 |
| Nitidulidae | Epuraea unicolor (A.G.Olivier, 1790) | LC | SF | 1 |
| Nitidulidae | Glischrochilus quadriguttatus (Fabricius, 1776) | VU | SF | 18 |
| Nitidulidae | Glischrochilus quadripunctatus (Linnaeus, 1758) | NT | MY | 6 |
| Nitidulidae | Meligethes fuscus (Olivier, 1790) | 1 | ||
| Nitidulidae | Soronia grisea (Linnaeus, 1758) | LC | SF | 1 |
| Nitidulidae | Teucriogethes obscurus (Erichson, 1845) | 1 | ||
| Oedemeridae | Nacerdes (Xanthochroa) carniolica (Gistl, 1834) | LC | SX | 25 |
| Oedemeridae | Oedemera flavipes (Fabricius, 1792) | 1 | ||
| Ptinidae | Ptinomorphus imperialis (Linnaeus, 1767) | LC | XY | 5 |
| Pyrochroidae | Pyrochroa coccinea (Linnaeus, 1761) | LC | SX | 3 |
| Salpingidae | Salpingus planirostris (Fabricius, 1787) | LC | SX | 187 |
| Salpingidae | Salpingus ruficollis (Linnaeus, 1760) | NT | SX | 134 |
| Salpingidae | Vincenzellus ruficollis (Panzer, 1794) | LC | MY | 5 |
| Scraptiidae | Anaspis lurida Stephens, 1832 | LC | SX | 68 |
| Scraptiidae | Anaspis maculata (Fourcroy, 1785) | 56 | ||
| Scraptiidae | Anaspis nigripes Brisout de Barneville, 1866 | 9 | ||
| Scraptiidae | Anaspis ruficollis (Fabricius, 1792) | EN | SX | 86 |
| Scraptiidae | Anaspis thoracica (Linnaeus, 1758) | 5 | ||
| Silphidae | Nicrophorus humator (Gleditsch, 1767) | 1 | ||
| Silphidae | Nicrophorus vespilloides Herbst, 1783 | 1 | ||
| Silvanidae | Silvanoprus fagi (Guèrin, 1844) | NT | SX (SF) | 1 |
| Staphylinidae | Aleochara maculata Brisout de Barneville, 1863 | 1 | ||
| Staphylinidae | Aleochara sparsa Heer, 1839 | 273 | ||
| Staphylinidae | Amphichroum canaliculatum (Erichson, 1840) | 1 | ||
| Staphylinidae | Anthophagus (Phaganthus) fauveli caprai Koch, 1933 | 1 | ||
| Staphylinidae | Atheta aeneicollis (Sharp, 1869) | 1 | ||
| Staphylinidae | Atheta fungi (Gravenhorst, 1806) | 2 | ||
| Staphylinidae | Atheta hybrida (Sharp, 1869) | 3 | ||
| Staphylinidae | Atheta sp. | 1 | ||
| Staphylinidae | Atheta sp. pl. | 8 | ||
| Staphylinidae | Atheta taxiceroides Münster, 1932 | 14 | ||
| Staphylinidae | Atheta trinotata (Kraatz, 1856) | 2 | ||
| Staphylinidae | Atrecus affinis (Paykull, 1789) | VU | PR | 2 |
| Staphylinidae | Bisnius fimetarius (Gravenhorst, 1802) | 2 | ||
| Staphylinidae | Bolitobius cingulatus Mannerheim, 1830 | 1 | ||
| Staphylinidae | Bryoporus multipunctus Hampe, 1867 | 1 | ||
| Staphylinidae | Eusphalerum (Eusphalerum) signatum angulatum (Luze, 1911) | 746 | ||
| Staphylinidae | Eusphalerum italicum (Koch, 1938) | 5 | ||
| Staphylinidae | Eusphalerum luteum dispar (Baudi di S, 1889) | 1 | ||
| Staphylinidae | Eusphalerum montivagum vesubianum Coiffait, 1959 | 1 | ||
| Staphylinidae | Eusphalerum rectangulum (Baudi di Selve, 1870) | 5 | ||
| Staphylinidae | Gabrius sp. | 1 | ||
| Staphylinidae | Haploglossa villosula (Stephens, 1832) | 2 | ||
| Staphylinidae | Lordithon lunulatus (Linnaeus, 1760) | 1 | ||
| Staphylinidae | Nehemitropia lividipennis Mannerheim, 1830 | 1 | ||
| Staphylinidae | Ocalea sp. | 1 | ||
| Staphylinidae | Othius laeviusculus Stephens, 1832 | 2 | ||
| Staphylinidae | Oxypoda brevicornis (Stephens, 1832) | 1 | ||
| Staphylinidae | Philonthus (Philonthus) carbonarius (Gravenhorst, 1802) | 1 | ||
| Staphylinidae | Philontus sp. | 1 | ||
| Staphylinidae | Phloeopora corticalis (Gravenhorst, 1802) | LC | UN | 35 |
| Staphylinidae | Phloeopora occidentalis Lohse, 1984 | 4 | ||
| Staphylinidae | Phloeostiba plana (Paykull, 1792) | LC | SX | 23 |
| Staphylinidae | Placusa atrata (Mannerheim, 1830) | LC | PR | 1 |
| Staphylinidae | Placusa pumilio (Gravenhorst, 1802) | LC | PR | 10 |
| Staphylinidae | Placusa sp. | 1 | ||
| Staphylinidae | Platystethus nitens (C.R.Sahlberg, 1832) | 1 | ||
| Staphylinidae | Platystethus spinosus Erichson, 1840 | 1 | ||
| Staphylinidae | Pselaphinae gen. sp | 1 | ||
| Staphylinidae | Quedius dilatatus (Fabricius, 1787) | 10 | ||
| Staphylinidae | Quedius humeralis Stephens, 1832 | 3 | ||
| Staphylinidae | Quedius latialis Gridelli, 1924 | 6 | ||
| Staphylinidae | Quedius lucidulus Erichson, 1839 | 2 | ||
| Staphylinidae | Quedius mesomelinus (Marsham, 1802) | 34 | ||
| Staphylinidae | Quedius picipes (Mannerheim, 1830) | 1 | ||
| Staphylinidae | Quedius sp. | 1 | ||
| Staphylinidae | Rugilus rufipes Germar, 1836 | 1 | ||
| Staphylinidae | Sepedophilus testaceus (Fabricius, 1793) | LC | MY | 1 |
| Staphylinidae | Stenus assequens Rey, 1884 | 1 | ||
| Staphylinidae | Thamiaraea cinnamomea (Gravenhorst, 1802) | LC | UN | 45 |
| Staphylinidae | Thamiaraea hospita (Märkel, 1845) | LC | UN | 1 |
| Staphylinidae | Xantholininae? gen. Sp. 1 | 1 | ||
| Staphylinidae | Zyras (Zyras) haworthi (Stephens, 1832) | 2 | ||
| Tenebrionidae | Diaperis boleti (Linnaeus, 1758) | LC | MB | 1 |
| Tenebrionidae | Isomira sp. | 95 | ||
| Trogossitidae | Nemozoma elongatum (Linnaeus, 1760) | LC | PR | 46 |
| Zopheridae | Colydium elongatum (Fabricius, 1787) | LC | PR | 32 |
| Zopheridae | Coxelus pictus (Sturm, 1807) | LC | SX | 147 |
| Zopheridae | Synchita undata Guerin-Meneville, 1844 | NT | SX | 1 |
| Type of Predictor | Predictor Description | Predictor | α—Richness (q = 0) Model | α—Shannon (q = 1) Model | α—Simpson (q = 2) Model | β—Jaccard (q = 0) Model | β—Horn (q = 1) Model | β—Morisita (q = 2) Model |
|---|---|---|---|---|---|---|---|---|
| Intercept | Intercept | Intercept | 3.06 | 2.06 | −2.62 | 0.83 | 0.04 | 0.04 |
| Space | Spatial eigenvector (alpha models)/Geographic distance (beta models) | PCNM1/ Geographic | - | - | - | 0.09 | 0.33 | 0.33 |
| Living wood | Tree species (fagus = 1, mixed = 2, abies = 3) | Species | 0.15 | 3.49 | 2.60 | - | 0.08 | - |
| Living wood | Tree age | age | - | - | −0.67 | 0.06 | 0.17 | 0.14 |
| Living wood | Number of forest layers | layers | - | - | 1.03 | - | 0.09 | 0.10 |
| Living wood | Number of living trees per ha | N | - | - | −0.67 | - | 0.16 | 0.15 |
| Living wood | Diameter of living trees per ha | D | - | - | −0.59 | - | - | |
| Living wood | Basal area of living trees in m2 per ha | BA | −0.06 | - | - | 0.19 | 0.22 | 0.22 |
| Deadwood | Height of living tree in m | H | - | - | - | 0.01 | - | - |
| Deadwood | Volume of coarse woody debris per ha | Vcwd | - | - | 1.21 | - | - | - |
| Deadwood | Volume of downed deadwood per ha | Vdowned | −0.09 | - | - | - | 0.15 | 0.14 |
| Deadwood | Volume of standing deadwood per ha | Vstanding | - | - | - | - | 0.13 | 0.12 |
| Deadwood | Volume of stumps per ha | Vstumps | - | 1.21 | - | 0.10 | 0.12 | 0.12 |
| Deadwood | Volume of snags per ha | Vsnags | - | - | 0.68 | - | - | - |
| Deadwood | Number of coarse woody debris pieces per ha | Ncwd | - | - | 0.50 | 0.11 | - | - |
| Deadwood | Number of dead standing trees per ha | Nstanding | −0.07 | - | - | - | - | - |
| Deadwood | Number of stumps per ha | Nstumps | - | - | - | 0.07 | 0.26 | 0.29 |
| Deadwood | Number of snags per ha | Nsnags | - | - | −0.84 | - | - | - |
| Deadwood | Diversity of coarse woody debris volume | Shannon_Vcwd | - | - | - | 0.01 | - | - |
| Deadwood | Diversity of stump deadwood volume | Shannon_Vst | - | - | −0.59 | 0.07 | - | - |
| Deadwood | Diversity of downed deadwood volume | Shannon_Vddt | 0.10 | - | - | - | - | - |
| Deadwood | Diversity of stump volume | Shannon_Vst | - | - | −1.08 | - | - | - |
| Microhabitat | Number of trunk and mould cavities per ha | CV2 | - | 1.60 | 1.11 | - | - | - |
| Microhabitat | Number of dendrotelms and water-filled holes per ha | CV4 | - | - | - | - | 0.18 | 0.18 |
| Microhabitat | Number of cracks and scars per ha | IN3 | −0.07 | - | - | 0.04 | - | - |
| Microhabitat | Number of bark pockets per ha | BA1 | - | 1.07 | 1.19 | - | - | - |
| Microhabitat | Number of bark structures per ha | BA2 | 0.07 | - | - | - | 0.20 | 0.21 |
| Microhabitat | Number of root buttress cavities per ha | GR1 | 0.05 | - | −0.52 | - | - | - |
| Microhabitat | Number of cankers and burrs per ha | GR3 | - | - | - | 0.06 | 0.09 | 0.09 |
| Microhabitat | Number of epiphytic crypto- and phanerogams per ha | EP3 | - | 1.02 | 0.47 | 0.05 | - | - |
| Deadwood | Number of nests per ha | NE | - | - | −0.78 | - | - | - |
| Deadwood | Number of sap and resin runs per ha | OT1 | - | - | −0.73 | - | - | - |
| α—Richness (q = 0) Model | α—Shannon (q = 1) Model | α—Simpson (q = 2) Model | β—Jaccard (q = 0) Model | β—Horn (q = 1) Model | β—Morisita (q = 2) Model | |
|---|---|---|---|---|---|---|
| Moran’s I (O) | 0.060 | 0.042 | −0.022 | 0.074 | −0.045 | −0.051 |
| Moran’s I (E) | −0.022 | −0.022 | −0.022 | −0.022 | −0.022 | −0.022 |
| p-value | 0.182 | 0.242 | 0.500 | 0.142 | 0.601 | 0.628 |
References
- FAO. State of the World’s Forests; Food and Agriculture Organization of the United Nations: Rome, Italy, 2012. [Google Scholar]
- Hämäläinen, A.; Runnel, K.; Ranius, T.; Strengbom, J. Diversity of forest structures important for biodiversity is determined by the combined effects of productivity, stand age, and management. Ambio 2024, 53, 718–729. [Google Scholar] [CrossRef] [PubMed]
- Seidel, D.; Ehbrecht, M.; Annighöfer, P.; Ammer, C. From tree to stand-level structural complexity—Which properties make a forest stand complex? Agric. For. Meteorol. 2019, 278, 107699. [Google Scholar] [CrossRef]
- European Union. Accounting for Ecosystems and Their Services in the European Union (INCA) 2021 Edition. Final Report from Phase II of the INCA Project Aiming to Develop a Pilot for an Integrated System of Ecosystem Accounts for the EU; EU Publication Office: Luxembourg, 2021; p. 62. [Google Scholar]
- Burrascano, S.; Chianucci, F.; Trentanovi, G.; Kepfer-Rojas, S.; Sitzia, T.; Tinya, F.; Doerfler, I.; Paillet, Y.; Nagel, T.A.; Mitic, B.; et al. Where are we now with European forest multi-taxon biodiversity and where can we head to? Biol. Conserv. 2023, 284, 110176. [Google Scholar] [CrossRef]
- FAO. Global Forest Resources Assessment 2020: Main Report; Food and Agriculture Organization of the United Nations: Rome, Italy, 2020. [Google Scholar]
- Doerfler, I.; Müller, J.; Gossner, M.M.; Hofner, B.; Weisser, W.W. Success of a deadwood enrichment strategy in production forests depends on stand type and management intensity. For. Ecol. Manag. 2017, 400, 607–620. [Google Scholar] [CrossRef]
- Parisi, F.; Francini, S.; Borghi, C.; Chirici, G. An open and georeferenced dataset of forest structural attributes and microhabitats in central and southern Apennines (Italy). Data Brief 2022, 43, 108445. [Google Scholar] [CrossRef]
- Paillet, Y.; Archaux, F.; Boulanger, V.; Debaive, N.; Fuhr, M.; Gilg, O.; Gosselin, F.; Guilbert, E. Snags and large trees drive higher tree microhabitat densities in strict forest reserves. For. Ecol. Manag. 2017, 389, 176–186. [Google Scholar] [CrossRef]
- Seibold, S.; Rammer, W.; Hothorn, T.; Seidl, R.; Ulyshen, M.D.; Lorz, J.; Cadotte, M.W.; Lindenmayer, D.B.; Adhikari, Y.P.; Aragón, R.; et al. The contribution of insects to global forest deadwood decomposition. Nature 2021, 597, 77–81. [Google Scholar] [CrossRef]
- Dutta, T.; Larrieu, L.; Schuck, A. Who is using tree-related microhabitats (TreMs)? Biol. Conserv. 2025, 307, 111180. [Google Scholar] [CrossRef]
- Larrieu, L.; Bouget, C.; Courbaud, B.; Doerfler, I.; Gouix, N.; Goulard, M.; Ladet, S.; Laroche, F.; Acloque, A.; Bütler, R.; et al. Spatial distribution of tree-related microhabitats in European beech-dominated forests. Biol. Conserv. 2025, 301, 110867. [Google Scholar] [CrossRef]
- Larrieu, L.; Paillet, Y.; Winter, S.; Bütler, R.; Kraus, D.; Krumm, F.; Lachat, T.; Michel, A.K.; Regnery, B.; Vandekerkhove, K. Tree related microhabitats in temperate and Mediterranean European forests: A hierarchical typology for inventory standardization. Ecol. Indic. 2018, 84, 194–207. [Google Scholar] [CrossRef]
- Martin, M.; Paillet, Y.; Larrieu, L.; Kern, C.C.; Raymond, P.; Drapeau, P.; Fenton, N.J. Tree-related microhabitats are promising yet underused tools for biodiversity and nature conservation: A systematic review for international perspectives. Front. For. Glob. Change 2022, 5, 818474. [Google Scholar] [CrossRef]
- Brin, A.; Brustel, H.; Jactel, H. Species variables or environmental variables as indicators of forest biodiversity: A case study using saproxylic beetles in maritime pine plantations. Ann. For. Sci. 2009, 66, 306. [Google Scholar] [CrossRef]
- Martikainen, P. Conservation of threatened saproxylic beetles: Significance of retained aspen Populus tremula on clearcut areas. Ecol. Bull. 2001, 49, 205–218. [Google Scholar]
- Stokland, J.N.; Siitonen, J.; Jonsson, B.G. Biodiversity in Dead Wood; Cambridge University Press: New York, NY, USA, 2012. [Google Scholar]
- Carpaneto, G.M.; Baviera, C.; Biscaccianti, A.B.; Brandmayr, P.; Mazzei, A.; Mason, F.; Battistoni, A.; Teofili, C.; Rondinini, C.; Fattorini, S.; et al. A Red List of Italian saproxylic beetles: Taxonomic overview, ecological features and conservation issues (Coleoptera). Fragm. Entomol. 2015, 47, 53–126. [Google Scholar] [CrossRef]
- Parisi, F.; Pioli, S.; Lombardi, F.; Fravolini, G.; Marchetti, M.; Tognetti, R. Linking deadwood traits with saproxylic invertebrates and fungi in European forests—A review. iForest 2018, 11, 423–436. [Google Scholar] [CrossRef]
- Speight, M.C.D. Saproxylic Invertebrates and Their Conservation; Council of Europe: Strasbourg, France, 1989. [Google Scholar]
- Gibb, H.; Hjältén, J.P.; Ball, J.; Atlegrim, O.; Pettersson, R.B.; Hilszczanski, J.; Johansson, T.; Danell, K. Effects of landscape composition and substrate availability on saproxylic beetles in boreal forests: A study using experimental logs for monitoring assemblages. Ecography 2006, 29, 191–204. [Google Scholar] [CrossRef]
- Lindhe, A.; Lindelöw, Å.; Åsenblad, N. Saproxylic beetles in standing dead wood density in relation to substrate sun-exposure and diameter. Biodivers. Conserv. 2005, 14, 3033–3053. [Google Scholar] [CrossRef]
- Neff, F.; Hagge, J.; Achury, R.; Ambarlı, D.; Ammer, C.; Schall, P.; Gossner, M.M. Hierarchical trait filtering at different spatial scales determines beetle assemblages in deadwood. Funct. Ecol. 2022, 36, 2929–2942. [Google Scholar] [CrossRef]
- Seibold, S.; Bässler, C.; Brandl, R.; Büche, B.; Szallies, A.; Thorn, S.; Müller, J. Microclimate and habitat heterogeneity as the major drivers of beetle diversity in dead wood. J. Appl. Ecol. 2016, 53, 934–943. [Google Scholar] [CrossRef]
- Jacobs, J.M.; Spence, J.R.; Langor, D.W. Influence of boreal forest succession and dead wood qualities on saproxylic beetles. Agric. For. Entomol. 2007, 9, 3. [Google Scholar] [CrossRef]
- Seibold, S.; Weisser, W.W.; Ambarlı, D.; Gossner, M.M.; Mori, A.S.; Cadotte, M.W.; Hagge, J.; Bässler, C.; Thorn, S. Drivers of community assembly change during succession in wood-decomposing beetle communities. J. Anim. Ecol. 2023, 92, 965–978. [Google Scholar] [CrossRef]
- De Zan, L.R.; Bellotti, F.; D’Amato, D.; Carpaneto, G.M. Saproxylic beetles in three relict beech forests of central Italy: Analysis of environmental parameters and implications for forest management. For. Ecol. Manag. 2014, 328, 229–244. [Google Scholar] [CrossRef]
- Parisi, F.; Frate, L.; Lombardi, F.; Tognetti, R.; Campanaro, A.; Biscaccianti, A.B.; Marchetti, M. Diversity patterns of Coleoptera and saproxylic communities in unmanaged forests of Mediterranean mountains. Ecol. Indic. 2020, 110, 105873. [Google Scholar] [CrossRef]
- Spina, P.; Parisi, F.; Antonucci, S.; Garfì, V.; Marchetti, M.; Santopuoli, G. Tree-related microhabitat diversity as a proxy for the conservation of beetle communities in managed forests of Fagus sylvatica. For. Int. J. For. Res. 2023, 97, 223–233. [Google Scholar] [CrossRef]
- Bottalico, F.; Travaglini, D.; Fiorentini, S.; Lisa, C.; Nocentini, S. Stand dynamics and natural regeneration in silver fir (Abies alba Mill.) plantations after traditional rotation age. iForest 2014, 7, 313–323. [Google Scholar] [CrossRef]
- Parisi, F.; D’Amico, G.; Vangi, E.; Chirici, G.; Francini, S.; Cocozza, C.; Giannetti, F.; Londi, G.; Nocentini, S.; Borghi, C.; et al. Tree-related microhabitats and multi-taxon biodiversity quantification exploiting ALS data. Forests 2024, 15, 660. [Google Scholar] [CrossRef]
- Ciancio, O. Riserva Naturale Statale Biogenetica di Vallombrosa. Piano di Gestione e Silvomuseo 2006–2025; Corpo Forestale dello Stato, Ufficio Territoriale per la Biodiversità di Vallombrosa, Reggello (FI): Florence, Italy, 2009; pp. 113–134. ISBN 978-88-87553-17-8. [Google Scholar]
- Nocentini, S.; Ciancio, O.; Portoghesi, L.; Corona, P. Historical roots and the evolving science of forest management under a systemic perspective. Can. J. For. Res. 2021, 51, 163–171. [Google Scholar] [CrossRef]
- Chirici, G.; Bottalico, F.; Giannetti, F.; Del Perugia, B.; Travaglini, D.; Nocentini, S.; Kutchartt, E.; Marchi, E.; Foderi, C.; Fioravanti, M.; et al. Assessing forest windthrow damage using single-date, post-event airborne laser scanning data. Forestry 2018, 91, 27–37. [Google Scholar] [CrossRef]
- Tabacchi, G.; Di Cosmo, L.; Gasparini, P. Aboveground tree volume and phytomass prediction equations for forest species in Italy. Eur. J. For. Res. 2011, 130, 911–934. [Google Scholar] [CrossRef]
- Lombardi, F.; Lasserre, B.; Chirici, G.; Tognetti, R.; Marchetti, M. Deadwood occurrence and forest structure as indicators of old-growth forest conditions in Mediterranean mountainous ecosystems. Ecoscience 2012, 19, 344–355. [Google Scholar] [CrossRef]
- Hunter, M.L. Wildlife, Forests, and Forestry. Principles of Managing Forests for Biological Diversity; Prentice Hall: Englewood Cliffs, NJ, USA, 1990. [Google Scholar]
- Kraus, D.; Bütler, R.; Krumm, F.; Lachat, T.; Larrieu, L.; Mergner, U.; Paillet, Y.; Rydkvist, T.; Schuck, A.; Winter, S. Catalogue of Tree Microhabitats—Reference Field List Integrate + Technical Paper; European Forest Institute: Freiburg, Germany, 2016; 16p. [Google Scholar]
- Bouget, C.; Brustel, H.; Brin, A.; Noblecourt, T. Sampling saproxylic beetles with window flight traps: Methodological insights. Rev. Ecol. 2008, 63, 21–32. [Google Scholar] [CrossRef]
- Campanaro, A.; Parisi, F. Open datasets wanted for tracking the insect decline: Let’s start from saproxylic beetles. Biodivers. Data J. 2021, 9, e72741. [Google Scholar] [CrossRef]
- Bouchard, P.; Bousquet, Y.; Davies, A.E.; Alonso-Zarazaga, M.A.; Lawrence, J.F.; Lyal, C.H.C.; Newton, A.F.; Reid, C.A.M.; Schmitt, M.; Slipinski, S.A.; et al. Family-group names in Coleoptera (Insecta). ZooKeys 2011, 88, 1–972. [Google Scholar] [CrossRef] [PubMed]
- Hsieh, C.; Ma, K.H.; Chao, A. iNEXT: An R package for rarefaction and extrapolation of species diversity (Hill numbers). Methods Ecol. Evol. 2016, 7, 1451–1456. [Google Scholar] [CrossRef]
- Chao, A.; Gotelli, N.J.; Hsieh, T.C.; Sander, E.L.; Ma, K.H.; Colwell, R.K.; Ellison, A.M. Rarefaction and extrapolation with Hill numbers: A framework for sampling and estimation in species diversity studies. Ecol. Monogr. 2014, 84, 45–67. [Google Scholar] [CrossRef]
- Jaccard, P. Étude comparative de la distribution florale dans une portion des Alpes et des Jura. Bull. Soc. Vaud. Sci. Nat. 1901, 37, 547–579. [Google Scholar]
- Morisita, M. Measuring of interspecific association and similarity between assemblages. Mem. Fac. Sci. Kyushu Univ. Ser. E Biol. 1959, 3, 65–80. [Google Scholar]
- McCullagh, P.; Nelder, J.A. Generalized Linear Models, 2nd ed.; Chapman and Hall: New York, NY, USA, 1989; Volume 37. [Google Scholar]
- Ferrier, S.; Manion, G.; Elith, J.; Richardson, K. Using generalized dissimilarity modelling to analyse and predict patterns of beta diversity in regional biodiversity assessment. Divers. Distrib. 2007, 13, 252–264. [Google Scholar] [CrossRef]
- Mokany, K.; Ware, C.; Woolley, S.N.; Ferrier, S.; Fitzpatrick, M.C. A working guide to harnessing generalized dissimilarity modelling for biodiversity analysis and conservation assessment. Glob. Ecol. Biogeogr. 2022, 31, 802–821. [Google Scholar] [CrossRef]
- Ovaskainen, O.; Abrego, N. Joint Species Distribution Modelling: With Applications in R; Cambridge University Press: Cambridge, UK, 2020. [Google Scholar]
- Venables, W.N.; Ripley, B.D. Modern Applied Statistics with S; Springer: New York, NY, USA, 2002; Available online: https://link.springer.com/book/10.1007/978-0-387-21706-2 (accessed on 1 September 2025).
- Greenwell, B.M.; Boehmke, B.C. Variable importance plots—An introduction to the vip package. R J. 2020, 12, 343–366. [Google Scholar] [CrossRef]
- Fitzpatrick, M.; Mokany, K.; Manion, G.; Nieto-Lugilde, D.; Ferrier, S. gdm: Generalized Dissimilarity Modeling. R Package Version 1.6.0-6. Available online: https://github.com/fitzLab-AL/gdm (accessed on 4 October 2025).
- Naimi, B. USDM: Uncertainty Analysis for Species Distribution Models. R Package Version 1.1–15. 2015. Available online: https://cran.r-project.org/web/packages/usdm/usdm.pdf (accessed on 4 October 2025).
- Akaike, H. Information theory as an extension of the maximum likelihood principle. In Second International Symposium on Information Theory; Petrov, B.N., Csaki, F., Eds.; Akademiai Kiado: Budapest, Hungary, 1973; pp. 267–281. Available online: https://link.springer.com/chapter/10.1007/978-1-4612-1694-0_15 (accessed on 1 September 2025).
- Motta, R.; Garbarino, M.; Berretti, R.; Bono, A.; Curovic, M.; Dukić, V.; Nola, P. Monastic silviculture legacies and current old-growthness of silver fir (Abies alba) forests in the northern Apennines (Italy). Front. For. Glob. Change 2023, 6, 1252462. [Google Scholar] [CrossRef]
- Parisi, F.; Lombardi, F.; Sciarretta, A.; Tognetti, R.; Campanaro, A.; Marchetti, M.; Trematerra, P. Spatial patterns of saproxylic beetles in a relic silver fir forest (Central Italy), relationships with forest structure and biodiversity indicators. For. Ecol. Manag. 2016, 381, 217–234. [Google Scholar] [CrossRef]
- Travaglini, D.; Paffetti, D.; Bianchi, L.; Bottacci, A.; Bottalico, F.; Giovannini, G.; Maltoni, A.; Nocentini, S.; Vettori, C.; Calamini, G. Characterization, structure and genetic dating of an old-growth beech-fir forest in the Northern Apennines (Italy). Plant Biosyst. 2012, 146, 175–188. [Google Scholar] [CrossRef]
- Keddy, P.A.; Drummond, C.G. Ecological properties for the evaluation, management, and restoration of temperate deciduous forest ecosystems. Ecol. Appl. 1996, 6, 748–762. [Google Scholar] [CrossRef]
- Christensen, M.; Hahn, K.; Mountford, E.P.; Ódor, P.; Standovár, T.; Rozenbergar, D.; Diaci, J.; Wijdeven, S.; Meyer, P.; Winter, S.; et al. Dead wood in European beech (Fagus sylvatica) forest reserves. For. Ecol. Manag. 2005, 210, 267–282. [Google Scholar] [CrossRef]
- Franklin, J.F.; Van Pelt, R. Spatial aspects of structural complexity in old-growth forests. J. For. 2004, 102, 22–28. [Google Scholar] [CrossRef]
- Lombardi, F.; Cherubini, P.; Lasserre, B.; Tognetti, R.; Marchetti, M. Tree rings used to assess time since death of deadwood of different decay classes in beech and silver fir forests in the central Apennines (Molise, Italy). Can. J. For. Res. 2008, 38, 821–833. [Google Scholar] [CrossRef]
- Larrieu, L.; Cabanettes, A.; Gonin, P.; Lachat, T.; Paillet, Y.; Winter, S.; Bouget, C.; Deconchat, M. Deadwood and tree microhabitat dynamics in unharvested temperate mountain mixed forests: A life-cycle approach to biodiversity monitoring. For. Ecol. Manag. 2014, 334, 163–173. [Google Scholar] [CrossRef]
- Regnery, B.; Couvet, D.; Kubarek, L.; Julien, J.-F.; Kerbiriou, C. Tree microhabitats as indicators of bird and bat communities in Mediterranean forests. Ecol. Indic. 2013, 34, 221–230. [Google Scholar] [CrossRef]
- Müller, J.; Brunet, J.; Brin, A.; Bouget, C.; Brustel, H.; Bussler, H.; Förster, B.; Isacsson, G.; Köhler, F.; Lachat, T.; et al. Implications from large-scale spatial diversity patterns of saproxylic beetles for the conservation of European beech forests. Insect Conserv. Divers. 2013, 6, 162–169. [Google Scholar] [CrossRef]
- Parisi, F.; Mazziotta, A.; Chirici, G.; D’Amico, G.; Vangi, E.; Francini, S.; Travaglini, D. Effects of forest management on beetle (Coleoptera) communities in beech forests (Fagus sylvatica) in the Apennines of Central Italy (Tuscany). Forests 2024, 15, 1085. [Google Scholar] [CrossRef]
- Müller, J.; Bütler, R. A review of habitat thresholds for dead wood: A baseline for management recommendations in European forests. Eur. J. For. Res. 2010, 129, 981–992. [Google Scholar] [CrossRef]
- Zumr, V.; Remeš, J.; Nakládal, O. Small-scale spontaneous dynamics in temperate beech stands as an importance driver for beetle species richness. Sci. Rep. 2022, 12, 11974. [Google Scholar] [CrossRef]
- Ranius, T.; Jansson, N. The influence of forest regrowth, original canopy cover and tree size on saproxylic beetles associated with old oaks. Biol. Conserv. 2000, 95, 85–94. [Google Scholar] [CrossRef]
- Birkemoe, T.; Jacobsen, R.M.; Sverdrup-Thygeson, A.; Biedermann, P.H. Insect-fungus interactions in dead wood systems. In Saproxylic Insects: Diversity, Ecology and Conservation; Springer: Cham, Switzerland, 2018; pp. 377–427. [Google Scholar]
- Grove, S.J. Saproxylic insect ecology and the sustainable management of forests. Annu. Rev. Ecol. Syst. 2002, 33, 1–23. [Google Scholar] [CrossRef]
- Ranius, T. Influence of stand size and quality of tree hollows on saproxylic beetles in Sweden. Biol. Conserv. 2002, 103, 85–91. [Google Scholar] [CrossRef]
- Lombardi, F.; Chirici, G.; Marchetti, M.; Tognetti, R.; Lasserre, B.; Corona, P.; Barbati, A.; Ferrari, B.; Paolo, S.; Giuliarelli, D.; et al. Deadwood in forest stands close to old-growthness under Mediterranean conditions in the Italian Peninsula. Ital. J. For. Mt. Environ. 2013, 65, 481–504. [Google Scholar] [CrossRef]
- Müller, J.; Ulyshen, M.; Seibold, S.; Cadotte, M.; Chao, A.; Bässler, C.; Thorn, S. Primary determinants of communities in deadwood vary among taxa but are regionally consistent. Oikos 2020, 129, 1579–1588. [Google Scholar] [CrossRef]
- Hagge, J.; Müller, J.; Bässler, C.; Brandl, R.; Schuldt, A.; Thorn, S.; Seibold, S. Change in saproxylic beetle, fungi and bacteria assemblages along horizontal and vertical gradients of sun-exposure in forest. Biol. Conserv. 2024, 291, 110493. [Google Scholar] [CrossRef]
- Jackson, H.B.; Baum, K.A.; Cronin, J.T. From logs to landscapes: Determining the scale of ecological processes affecting the incidence of a saproxylic beetle. Ecol. Entomol. 2012, 37, 233–243. [Google Scholar] [CrossRef]
- Ranius, T. Measuring dispersal of saproxylic insects—A key characteristic for their conservation. Popul. Ecol. 2006, 48, 177–188. [Google Scholar] [CrossRef]
- Schauer, B.; Bong, J.; Popp, C.; Obermaier, E.; Feldhaar, H. Dispersal limitation of saproxylic insects in a managed forest? A population genetics approach. Basic Appl. Ecol. 2018, 32, 26–38. [Google Scholar] [CrossRef]
- Korhonen, A.; Siitonen, J.; Hamberg, L. Fungal and beetle diversity in deciduous fine woody debris in spruce-dominated forests in relation to substrate quantity and quality. Biodivers. Conserv. 2024, 33, 4121–4137. [Google Scholar] [CrossRef]
- Vogel, S.; Gossner, M.M.; Mergner, U.; Müller, J.; Thorn, S. Optimizing enrichment of deadwood for biodiversity by varying sun exposure and tree species: An experimental approach. J. Appl. Ecol. 2020, 57, 2075–2085. [Google Scholar] [CrossRef]
- Parisi, F.; Innangi, M.; Tognetti, R.; Lombardi, F.; Chirici, G.; Marchetti, M. Forest stand structure and coarse woody debris determine the biodiversity of beetle communities in Mediterranean mountain beech forests. Glob. Ecol. Conserv. 2021, 28, e01637. [Google Scholar] [CrossRef]
- Seibold, S.; Hagge, J.; Müller, J.; Gruppe, A.; Brandl, R.; Bässler, C.; Thorn, S. Experiments with dead wood reveal the importance of dead branches in the canopy for saproxylic beetle conservation. For. Ecol. Manag. 2018, 409, 564–570. [Google Scholar] [CrossRef]
- Clay, N. Let sleeping logs lie: Beta diversity increases in deadwood beetle communities over time. J. Anim. Ecol. 2023, 92, 948–952. [Google Scholar] [CrossRef]
- Tews, J.; Brose, U.; Grimm, V.; Tielbörger, K.; Wichmann, M.C.; Schwager, M.; Jeltsch, F. Animal species diversity driven by habitat heterogeneity/diversity: The importance of keystone structures. J. Biogeogr. 2004, 31, 79–92. [Google Scholar] [CrossRef]
- Koch, A.J.; Munks, S.A.; Driscoll, D.; Kirkpatrick, J.B. Does hollow occurrence vary with forest type? A case study in wet and dry Eucalyptus obliqua forest. For. Ecol. Manag. 2008, 255, 3938–3951. [Google Scholar] [CrossRef]
- Michel, A.K.; Winter, S. Tree microhabitat structures as indicators of biodiversity in Douglas-fir forests of different stand ages and management histories in the Pacific Northwest USA. For. Ecol. Manag. 2009, 257, 1453–1464. [Google Scholar] [CrossRef]
- Larrieu, L.; Cabanettes, A. Species, live status, and diameter are important tree features for diversity and abundance of tree microhabitats in subnatural montane beech–fir forests. Can. J. For. Res. 2012, 42, 1433–1445. [Google Scholar] [CrossRef]
- Wetherbee, R.; Birkemoe, T.; Burner, R.C.; Sverdrup-Thygeson, A. Veteran trees have divergent effects on beetle diversity and wood decomposition. PLoS ONE 2021, 16, e0248756. [Google Scholar] [CrossRef]
- Quinto, J.; Micó, E.; Martínez-Falcón, A.P.; Galante, E.; Marcos-García, M.; De los Ángeles, Á. Influence of tree hollow characteristics on the diversity of saproxylic insect guilds in Iberian Mediterranean woodlands. J. Insect Conserv. 2014, 18, 203–217. [Google Scholar] [CrossRef]
- Quinto, J.; Marcos-García, M.Á.; Díaz-Castelazo, C.; Rico-Gray, V.; Galante, E.; Micó, E. Association patterns in saproxylic insect networks in three Iberian Mediterranean woodlands and their resistance to microhabitat loss. PLoS ONE 2015, 10, e0122141. [Google Scholar] [CrossRef]
- Parisi, F.; Mazziotta, A.; Vangi, E.; Tognetti, R.; Travaglini, D.; Marchetti, M.; D’Amico, G.; Francini, S.; Borghi, C.; Chirici, G. Exposure, elevation and forest structure predict the abundance of saproxylic beetle communities in mountain managed beech forests. iForest 2023, 16, 155–164. [Google Scholar] [CrossRef]
- Seibold, S.; Bässler, C.; Brandl, R.; Gossner, M.M.; Thorn, S.; Ulyshen, M.D.; Müller, J. Experimental studies of dead-wood biodiversity—A review identifying global gaps in knowledge. Biol. Conserv. 2015, 191, 139–149. [Google Scholar] [CrossRef]
- Heinrichs, S.; Ammer, C.; Mund, M.; Boch, S.; Budde, S.; Fischer, M.; Müller, J.; Schöning, I.; Schulze, E.-D.; Schmidt, W.; et al. Landscape-scale mixtures of tree species are more effective than stand-scale mixtures for biodiversity of vascular plants, bryophytes and lichens. Forests 2019, 10, 73. [Google Scholar] [CrossRef]
- Nocentini, S.; Buttoud, G.; Ciancio, O.; Corona, P. Managing forests in a changing world: The need for a systemic approach. A review. For. Syst. 2017, 26, eR01. [Google Scholar] [CrossRef]
- Winter, M.B.; Bässler, C.; Bernhardt-Römermann, M.; Krah, F.S.; Schaefer, H.; Seibold, S.; Müller, J. On the structural and species diversity effects of bark beetle disturbance in forests during initial and advanced early-seral stages at different scales. Eur. J. For. Res. 2017, 136, 357–373. [Google Scholar] [CrossRef]




| Predictor Type | Predictor Acronym | Predictor Description |
|---|---|---|
| Space | ID | Plot identity |
| Space | Exposure | North or South exposure |
| Space | X | Longitude in metres |
| Space | Y | Latitude in metres |
| Space | PCNM1/Geographic | Principal Coordinates of Neighbour Matrix (alpha models)/ Geographic distance between sites (beta models) |
| Living wood | Species | Tree species (Fagus = 1, mixed = 2, Abies = 3) |
| Living wood | Age | Stand age |
| Living wood | Layers | Number of forest layers |
| Living wood | N | Number of living trees per ha |
| Living wood | D | Quadratic mean diameter of living trees in cm |
| Living wood | BA | Basal area of living trees in m2 per ha |
| Living wood | V | Volume of living trees in m3 per ha |
| Living wood | H | Mean height of living tree in m |
| Deadwood | Vdead | Volume of deadwood per ha |
| Deadwood | Vcwd | Volume of coarse woody debris per ha |
| Deadwood | Vdowned | Volume of dead downed trees per ha |
| Deadwood | Vstanding | Volume of dead standing trees per ha |
| Deadwood | Vstumps | Volume of stumps per ha |
| Deadwood | Vsnags | Volume of snags per ha |
| Deadwood | Ndead | Number of deadwood pieces per ha |
| Deadwood | Ncwd | Number of coarse woody debris pieces per ha |
| Deadwood | Ndowned | Number of dead downed trees per ha |
| Deadwood | Nstanding | Number of dead standing trees per ha |
| Deadwood | Nstumps | Number of stumps per ha |
| Deadwood | Nsnags | Number of snags per ha |
| Deadwood | Shannon_Vd_tot | Diversity of volume of total deadwood by decay classes |
| Deadwood | Shannon_Vcwd_tot | Diversity of volume of coarse woody debris by decay classes |
| Deadwood | Shannon_Vddt | Diversity of volume of dead downed trees by decay classes |
| Deadwood | Shannon_Vdst | Diversity of volume of dead standing trees by decay classes |
| Deadwood | Shannon_Vsnags | Diversity of volume of snags by decay classes |
| Deadwood | Shannon_Vstumps | Diversity of volume of stumps by decay classes |
| Microhabitat | Nm | Number of microhabitats per ha |
| Microhabitat | CV1 | Number of woodpecker cavities per ha |
| Microhabitat | CV2 | Number of trunk and mould cavities per ha |
| Microhabitat | CV3 | Number of branch holes per ha |
| Microhabitat | CV4 | Number of dendrotelms and water-filled holes per ha |
| Microhabitat | CV5 | Number of insect galleries and bore holes per ha |
| Microhabitat | IN1 | Number of bark loss/exposed sapwood per ha |
| Microhabitat | IN2 | Number of exposed heartwood/trunk and crown breakages per ha |
| Microhabitat | IN3 | Number of cracks and scars per ha |
| Microhabitat | BA1 | Number of bark pockets per ha |
| Microhabitat | BA2 | Number of bark structures per ha |
| Microhabitat | DE1 | Number of dead branches and limbs/crown deadwood per ha |
| Microhabitat | GR1 | Number of root buttress cavities per ha |
| Microhabitat | GR2 | Number of witches broom per ha |
| Microhabitat | GR3 | Number of cankers and burrs per ha |
| Microhabitat | EP1 | Number of fruiting bodies fungi per ha |
| Microhabitat | EP2 | Number of myxomycetes per ha |
| Microhabitat | EP3 | Number of epiphytic crypto- and phanerogams per ha |
| Microhabitat | NE | Number of nests per ha |
| Microhabitat | OT1 | Number of sap and resin runs per ha |
| Microhabitat | OT2 | Number of microsoil per ha |
| Predictor Type | Predictor Acronym | Mean | SD | Range |
|---|---|---|---|---|
| Space | X | 707,337 | 472.0 | 706,010–708,310 |
| Y | 4,847,723 | 995.3 | 4,845,040–4,849,115 | |
| Living wood | age | 83 | 27.6 | 48–179 |
| layers | 2 | 0.8 | 1–4 | |
| N | 778 | 405.4 | 188–2298 | |
| D | 32 | 17.1 | 13–135 | |
| BA | 51 | 20.2 | 15–112 | |
| V | 691 | 285.2 | 194–1428 | |
| H | 19 | 4.8 | 7–27 | |
| Deadwood | Vdead | 182 | 164.8 | 6–731 |
| Vcwd | 90 | 135.6 | 0–659 | |
| Vdowned | 24 | 38.3 | 0–159 | |
| Vstanding | 16 | 19.5 | 0–75 | |
| Vstumps | 16 | 17.4 | 0–83 | |
| Vsnags | 37 | 55.4 | 0–219 | |
| Ndead | 599 | 291.7 | 113–1695 | |
| Ncwd | 337 | 235.0 | 0–1055 | |
| Ndowned | 29 | 33.7 | 0–113 | |
| Nstanding | 43 | 48.2 | 0–188 | |
| Nstumps | 163 | 116.3 | 0–584 | |
| Nsnags | 27 | 39.6 | 0–170 | |
| Vdead_class1 | 45 | 47.28 | 0–201 | |
| Vdead_class2 | 63 | 99.67 | 0–606 | |
| Vdead_class3 | 42 | 48.87 | 0–243 | |
| Vdead_class4 | 32 | 87.89 | 0–592 | |
| Vdead_class5 | 1 | 3.21 | 0–20 | |
| Tree-related Microhabitats | Nm | 1031 | 470.9 | 452–2203 |
| CV1 | 52 | 120.5 | 0–565 | |
| CV2 | 10 | 14.6 | 0–57 | |
| CV3 | 28 | 44.4 | 0–151 | |
| CV4 | 21 | 38.2 | 0–170 | |
| CV5 | 302 | 169.1 | 38–1055 | |
| IN1 | 21 | 25.9 | 0–94 | |
| IN2 | 7 | 19.5 | 0–113 | |
| IN3 | 34 | 44.4 | 0–207 | |
| BA1 | 7 | 13.8 | 0–57 | |
| BA2 | 36 | 79.0 | 0–414 | |
| DE1 | 211 | 225.7 | 0–979 | |
| GR1 | 70 | 72.3 | 0–414 | |
| GR2 | 28 | 54.1 | 0–283 | |
| GR3 | 3 | 9.9 | 0–57 | |
| EP1 | 136 | 217.2 | 0–848 | |
| EP3 | 55 | 108.5 | 0–377 | |
| NE | 0 | 2.7 | 0–19 | |
| OT1 | 9 | 15.1 | 0–57 |
| Family | N. Species | N. Individuals |
|---|---|---|
| Biphyllidae | 1 | 5 |
| Bostrichidae | 1 | 8 |
| Buprestidae | 1 | 1 |
| Cantharidae | 5 | 13 |
| Cerambycidae | 17 | 209 |
| Cerylonidae | 1 | 47 |
| Chrysomelidae | 1 | 2 |
| Cleridae | 2 | 6 |
| Cryptophagidae | 2 | 37 |
| Cucujidae | 1 | 8 |
| Curculionidae | 24 | 6957 |
| Elateridae | 14 | 488 |
| Endomychidae | 1 | 2 |
| Erotylidae | 1 | 1 |
| Eucnemidae | 1 | 5 |
| Laemophloeidae | 2 | 544 |
| Lampyridae | 1 | 8 |
| Latridiidae | 4 | 10 |
| Lucanidae | 1 | 2 |
| Lycidae | 2 | 4 |
| Lymexylidae | 2 | 43 |
| Melandryidae | 3 | 32 |
| Melyridae | 7 | 352 |
| Monotomidae | 6 | 35 |
| Mordellidae | 2 | 3 |
| Mycetophagidae | 1 | 18 |
| Nitidulidae | 10 | 55 |
| Oedemeridae | 2 | 26 |
| Ptinidae | 1 | 5 |
| Pyrochroidae | 1 | 3 |
| Salpingidae | 3 | 326 |
| Scraptiidae | 5 | 224 |
| Silphidae | 2 | 2 |
| Silvanidae | 1 | 1 |
| Staphylinidae | 52 | 1268 |
| Tenebrionidae | 2 | 96 |
| Trogossitidae | 1 | 46 |
| Zopheridae | 3 | 180 |
| Total | 187 | 11,072 |
| IUCN Category | N. Species |
|---|---|
| CR | 1 |
| DD | 2 |
| EN | 2 |
| LC | 77 |
| NA | 79 |
| NT | 18 |
| VU | 8 |
| Total | 187 |
| Trophic Category | N. Species |
|---|---|
| Mycetobiontic | 3 |
| Mycophagous | 27 |
| Non-saproxylic | 79 |
| Predatory | 20 |
| Sap-feeding | 5 |
| Saproxylophagous | 15 |
| Unknown | 3 |
| Xylophagous | 35 |
| Total | 187 |
Disclaimer/Publisher’s Note: The statements, opinions and data contained in all publications are solely those of the individual author(s) and contributor(s) and not of MDPI and/or the editor(s). MDPI and/or the editor(s) disclaim responsibility for any injury to people or property resulting from any ideas, methods, instructions or products referred to in the content. |
© 2025 by the authors. Licensee MDPI, Basel, Switzerland. This article is an open access article distributed under the terms and conditions of the Creative Commons Attribution (CC BY) license (https://creativecommons.org/licenses/by/4.0/).
Share and Cite
Parisi, F.; Mazziotta, A.; Travaglini, D. Trees, Deadwood and Tree-Related Microhabitats Explain Patterns of Alpha and Beta Saproxylic Beetle Diversity in Silver Fir-Beech Forests in Central Italy. Forests 2025, 16, 1715. https://doi.org/10.3390/f16111715
Parisi F, Mazziotta A, Travaglini D. Trees, Deadwood and Tree-Related Microhabitats Explain Patterns of Alpha and Beta Saproxylic Beetle Diversity in Silver Fir-Beech Forests in Central Italy. Forests. 2025; 16(11):1715. https://doi.org/10.3390/f16111715
Chicago/Turabian StyleParisi, Francesco, Adriano Mazziotta, and Davide Travaglini. 2025. "Trees, Deadwood and Tree-Related Microhabitats Explain Patterns of Alpha and Beta Saproxylic Beetle Diversity in Silver Fir-Beech Forests in Central Italy" Forests 16, no. 11: 1715. https://doi.org/10.3390/f16111715
APA StyleParisi, F., Mazziotta, A., & Travaglini, D. (2025). Trees, Deadwood and Tree-Related Microhabitats Explain Patterns of Alpha and Beta Saproxylic Beetle Diversity in Silver Fir-Beech Forests in Central Italy. Forests, 16(11), 1715. https://doi.org/10.3390/f16111715

