Phylogenetic Structure Analysis Based on the Blue-Light Receptor Cryptochrome: Insights into How Light Shapes the Vertical Structure of Subtropical Forest Community
Abstract
1. Introduction
2. Materials and Methods
2.1. Study Site and Sample Collection
2.2. Sampling
2.3. DNA Extraction and Sequencing
2.4. Phylogenetic Reconstruction
2.5. Community Structure Analyses
3. Results
3.1. Phylogenetic Analyses
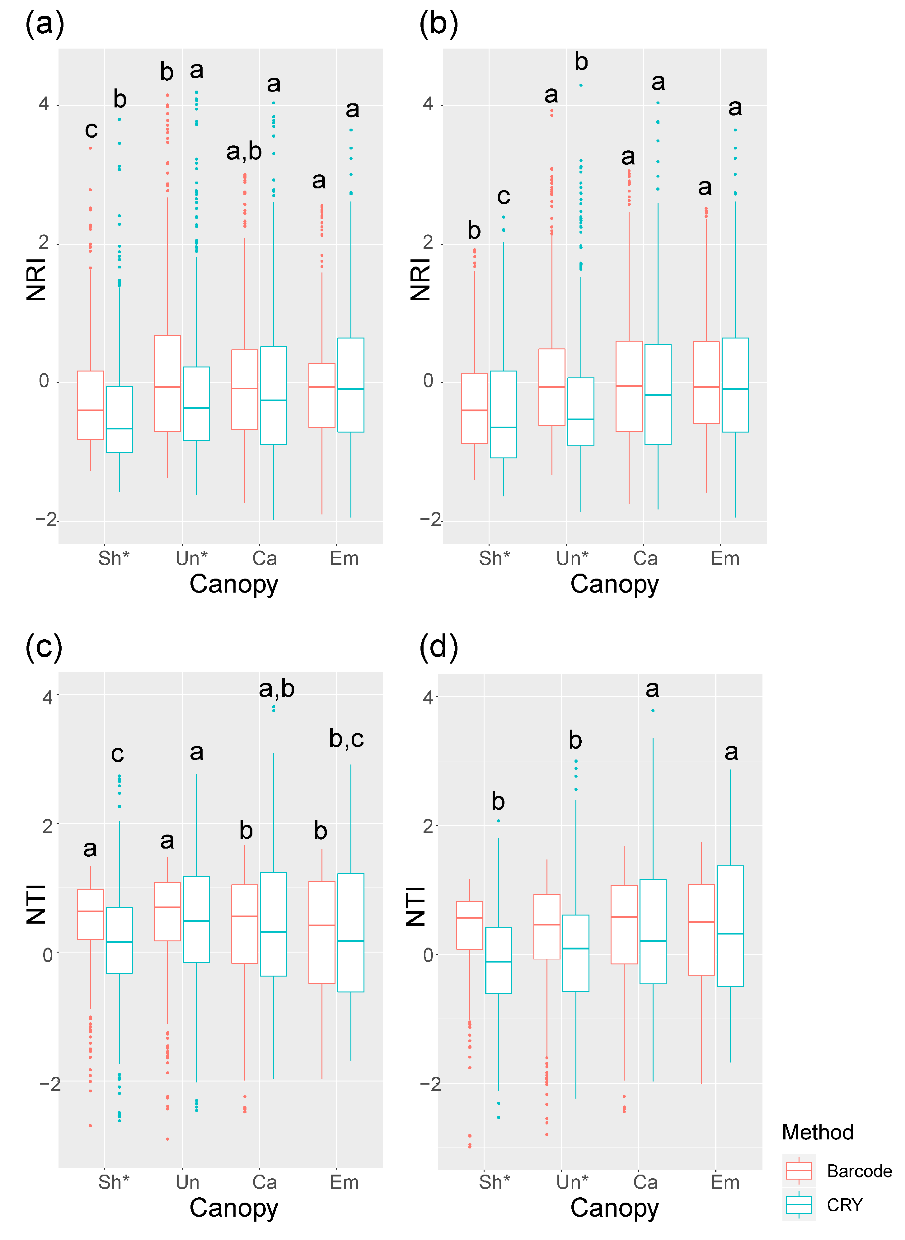
3.2. Community Phylogenetic Structure Analyses
4. Discussion
4.1. Validity of CRY-Based Phylogeny vs. DNA Barcoding
4.2. Patterns of Community Assembly Across Space and Time
4.3. Patterns of Community Assembly in Vertical Forest Structure
4.4. Implications and Limitations
5. Conclusions
Supplementary Materials
Author Contributions
Funding
Data Availability Statement
Acknowledgments
Conflicts of Interest
References
- Chase, J.M.; Leibold, M.A. Ecological Niches: Linking Classical and Contemporary Approaches; University of Chicago Press: Chicago, IL, USA, 2003. [Google Scholar]
 - Hubbell, S.P. The Unified Neutral Theory of Biodiversity and Biogeography; Princeton University Press: Princeton, NJ, USA, 2001. [Google Scholar]
 - Webb, C.O.; Losos, J.B.; Agrawal, A.A. Integrating phylogenies into community ecology. Ecology 2006, 87, S1–S2. [Google Scholar] [CrossRef]
 - Cavender-Bares, J.; Ackerly, D.D.; Baum, D.A.; Bazzaz, F.A. Phylogenetic overdispersion in Floridian oak communities. Am. Nat. 2004, 163, 823–843. [Google Scholar] [CrossRef]
 - Kress, W.J.; Erickson, D.L.; Jones, F.A.; Swenson, N.G.; Perez, R.; Sanjur, O.; Bermingham, E. Plant DNA barcodes and a community phylogeny of a tropical forest dynamics plot in Panama. Proc. Natl. Acad. Sci. USA 2009, 106, 18621–18626. [Google Scholar] [CrossRef]
 - Heckenhauer, J.; Abu Salim, K.; Chase, M.W.; Dexter, K.G.; Pennington, R.T.; Tan, S.; Kaye, M.E.; Samuel, R. Plant DNA barcodes and assessment of phylogenetic community structure of a tropical mixed dipterocarp forest in Brunei Darussalam (Borneo). PLoS ONE 2017, 12, e0185861. [Google Scholar] [CrossRef]
 - Pei, N.C.; Lian, J.Y.; Erickson, D.L.; Swenson, N.G.; Kress, W.J.; Ye, W.H.; Ge, X.J. Exploring tree-habitat associations in a Chinese subtropical forest plot using a molecular phylogeny generated from DNA barcode loci. PLoS ONE 2011, 6, e21273. [Google Scholar] [CrossRef] [PubMed]
 - Shapcott, A.; Forster, P.I.; Guymer, G.P.; McDonald, W.J.F.; Faith, D.P.; Erickson, D.; Kress, W.J. Mapping biodiversity and setting conservation priorities for SE Queensland’s rainforests using DNA barcoding. PLoS ONE 2015, 10, e0122164. [Google Scholar] [CrossRef]
 - Comita, L.S.; Uriarte, M.; Forero-Montana, J.; Kress, W.J.; Swenson, N.G.; Thompson, J.; Umaña, M.N.; Zimmerman, J.K. Changes in phylogenetic community structure of the seedling layer following hurricane disturbance in a human-impacted tropical forest. Forests 2018, 9, 556. [Google Scholar] [CrossRef]
 - Sercu, B.K.; Baeten, L.; van Coillie, F.; Martel, A.; Lens, L.; Verheyen, K.; Bonte, D. How tree species identity and diversity affect light transmittance to the understory in mature temperate forests. Ecol. Evol. 2017, 7, 10861–10870. [Google Scholar] [CrossRef]
 - Tang, H.; Dubayah, R. Light-driven growth in Amazon evergreen forests explained by seasonal variations of vertical canopy structure. Proc. Natl. Acad. Sci. USA 2017, 114, 2640–2644. [Google Scholar] [CrossRef]
 - Mei, Q.; Zheng, Y.; Feng, J.; Wang, Z.; Cao, H.; Lian, J. Transcriptome profiling revealed light-mediated gene expression patterns of plants in forest vertical structures. Biology 2025, 14, 434. [Google Scholar] [CrossRef]
 - Ruban, A.V. Plants in light. Commun. Integr. Biol. 2009, 2, 50–55. [Google Scholar] [CrossRef] [PubMed]
 - McClung, C.R. Plant circadian rhythms. Plant Cell 2006, 18, 792–803. [Google Scholar] [CrossRef] [PubMed]
 - Fortunato, A.E.; Annunziata, R.; Jaubert, M.; Bouly, J.P.; Falciatore, A. Dealing with light: The widespread and multitasking cryptochrome/photolyase family in photosynthetic organisms. J. Plant Physiol. 2015, 172, 42–54. [Google Scholar] [CrossRef] [PubMed]
 - Somers, D.E.; Devlin, P.F.; Kay, S.A. Phytochromes and cryptochromes in the entrainment of the Arabidopsis circadian clock. Science 1998, 282, 1488–1490. [Google Scholar] [CrossRef]
 - Thery, M. Forest light and its influence on habitat selection. Plant Ecol. 2001, 153, 251–261. [Google Scholar] [CrossRef]
 - Fankhauser, C.; Batschauer, A. Shadow on the Plant: A Strategy to Exit. Cell 2016, 164, 15–17. [Google Scholar] [CrossRef]
 - Edgar, R.C. MUSCLE: Multiple sequence alignment with high accuracy and high throughput. Nucleic Acids Res. 2004, 32, 1792–1797. [Google Scholar] [CrossRef]
 - Akaike, H. A new look at the statistical-model identification. IEEE Trans. Autom. Control 1981, 19, 716–723. [Google Scholar] [CrossRef]
 - Darriba, D.; Taboada, G.L.; Doallo, R.; Posada, D. ProtTest 3: Fast selection of best-fit models of protein evolution. Bioinformatics 2011, 27, 1164–1165. [Google Scholar] [CrossRef]
 - Drummond, A.J.; Rambaut, A. BEAST: Bayesian evolutionary analysis by sampling trees. BMC Evol. Biol. 2007, 7, 214. [Google Scholar] [CrossRef]
 - Wikstrom, N.; Savolainen, V.; Chase, M.W. Evolution of the angiosperms: Calibrating the family tree. Proc. Biol. Sci. 2001, 268, 2211–2220. [Google Scholar] [CrossRef] [PubMed]
 - Muellner-Riehl, A.N.; Weeks, A.; Clayton, J.W.; Buerki, S.; Nauheimer, L.; Chiang, Y.C.; Cody, S.; Pell, S.K. Molecular phylogenetics and molecular clock dating of Sapindales based on plastid rbcL, atpB and trnL-trnF DNA sequences. Taxon 2016, 65, 1019–1036. [Google Scholar] [CrossRef]
 - Chen, J.; Zhang, H.; Liu, W.; Lian, J.Y.; Ye, W.H.; Shen, W.J. Spatial distribution patterns of ammonia-oxidizing archaea abundance in subtropical forests at early and late successional stages. Sci. Rep. 2015, 5, 16587. [Google Scholar] [CrossRef]
 - Lian, J.Y.; Chen, C.; Huang, Z.L.; Cao, H.L.; Ye, W.H. Community composition and stand age in a subtropical forest, Southern China. Biodivers. Sci. 2015, 23, 174–182. [Google Scholar] [CrossRef]
 - Webb, C.O.; Ackerly, D.D.; Kembel, S.W. Phylocom: Software for the analysis of phylogenetic community structure and trait evolution. Bioinformatics 2008, 24, 2098–2100. [Google Scholar] [CrossRef]
 - Kembel, S.W.; Cowan, P.D.; Helmus, M.R.; Cornwell, W.K.; Morlon, H.; Ackerly, D.D.; Blomberg, S.P.; Webb, C.O. Picante: R tools for integrating phylogenies and ecology. Bioinformatics 2010, 26, 1463–1464. [Google Scholar] [CrossRef]
 - Trewavas, A. The foundations of plant intelligence. Interface Focus. 2017, 7, 20160098. [Google Scholar] [CrossRef]
 - Zhang, T.; Folta, K.M. Green light signaling and adaptive response. Plant Signal. Behav. 2012, 7, 75–78. [Google Scholar] [CrossRef]
 - Galvao, V.C.; Fankhauser, C. Sensing the light environment in plants: Photoreceptors and early signaling steps. Curr. Opin. Neurobiol. 2015, 34, 46–53. [Google Scholar] [CrossRef] [PubMed]
 - Webb, C.O.; Ackerly, D.D.; McPeek, M.A.; Donoghue, M.J. Phylogenies and community ecology. Annu. Rev. Ecol. Evol. S 2002, 33, 475–505. [Google Scholar] [CrossRef]
 - Kraft, N.J.; Cornwell, W.K.; Webb, C.O.; Ackerly, D.D. Trait evolution, community assembly, and the phylogenetic structure of ecological communities. Am. Nat. 2007, 170, 271–283. [Google Scholar] [CrossRef]
 - Cavender-Bares, J.; Kozak, K.H.; Fine, P.V.A.; Kembel, S.W. The merging of community ecology and phylogenetic biology. Ecol. Lett. 2009, 12, 693–715. [Google Scholar] [CrossRef]
 - Singer, D.A.; Kosakyan, A.; Seppey, C.V.W.; Pillonel, A.; Fernández, L.D.; Fontaneto, D.; Mitchell, E.A.D.; Lara, E. Environmental filtering and phylogenetic clustering correlate with the distribution patterns of cryptic protist species. Ecology 2018, 99, 904–914. [Google Scholar] [CrossRef]
 - Liu, B.; Chen, H.Y.H.; Yang, J. Understory community assembly following wildfire in Boreal forests: Shift from stochasticity to competitive exclusion and environmental filtering. Front. Plant Sci. 2018, 9, 1854. [Google Scholar] [CrossRef]
 - Letcher, S.G. Phylogenetic structure of angiosperm communities during tropical forest succession. Proc. Biol. Sci. 2010, 277, 97–104. [Google Scholar] [CrossRef] [PubMed]
 - Letcher, S.G.; Chazdon, R.L.; Andrade, A.C.S.; Bongers, F.; van Breugel, M.; Finegan, B.; Laurance, S.G.; Mesquita, R.C.G.; Martínez-Ramos, M.; Williamson, B. Phylogenetic community structure during succession: Evidence from three neotropical forest sites. Perspect. Plant Ecol. 2012, 14, 79–87. [Google Scholar] [CrossRef]
 - Muscarella, R.; Uriarte, M.; Erickson, D.L.; Swenson, N.G.; Zimmerman, J.K.; Kress, W.J. A well-resolved phylogeny of the trees of Puerto Rico based on DNA barcode sequence data. PLoS ONE 2014, 9, e112843. [Google Scholar] [CrossRef] [PubMed]
 - Brunbjerg, A.K.; Cavender-Bares, J.; Eiserhardt, W.L. Multi-scale phylogenetic structure in coastal dune plant communities across the globe. J. Plant Ecol. 2014, 7, 101–114. [Google Scholar] [CrossRef]
 - Qian, H.; Jiang, L. Phylogenetic community ecology: Integrating community ecology and evolutionary biology. J. Plant Ecol. 2014, 7, 97–100. [Google Scholar] [CrossRef]
 - Ouyang, X.J.; Ye, W.H.; Hockings, M.; Luk, C.L.; Huang, Z.L. Developing phase of China’s system of nature reserves in perspective. For. Sci. Pract. 2013, 15, 340–348. [Google Scholar] [CrossRef]
 - Sui, D.D.; Wang, Y.; Lian, J.Y.; Zhang, J. Gap distribution patterns in the south subtropical evergreen broad-leaved forest of Dinghushan. Biodivers. Sci. 2017, 25, 382–392. [Google Scholar] [CrossRef]
 - Saito, S. Effects of a severe typhoon on forest dynamics in a warm-temperate evergreen broad-leaved forest in Southwestern Japan. J. For. Res.-JPN 2002, 7, 137–143. [Google Scholar] [CrossRef]
 - Coppi, A.; Lazzaro, L.; Ampoorter, E.; Baeten, L.; Verheyen, K.; Selvi, F. Understorey phylogenetic diversity in thermophilous deciduous forests: Overstorey species identity can matter more than species richness. For. Ecosyst. 2019, 6, 37. [Google Scholar] [CrossRef]
 - Whitfeld, T.J.S.; Kress, W.J.; Erickson, D.L.; Weiblen, G.D. Change in community phylogenetic structure during tropical forest succession: Evidence from New Guinea. Ecography 2012, 35, 821–830. [Google Scholar] [CrossRef]
 - Chai, Y.; Yue, M.; Liu, X.; Guo, Y.; Wang, M.; Xu, J.; Zhang, C.; Chen, Y.; Zhang, L.; Zhang, R. Patterns of taxonomic, phylogenetic diversity during a long-term succession of forest on the Loess Plateau, China: Insights into assembly process. Sci. Rep. 2016, 6, 27087. [Google Scholar] [CrossRef]
 - Ding, Y.; Zang, R.G.; Letcher, S.G.; Liu, S.R.; He, F.L. Disturbance regime changes the trait distribution, phylogenetic structure and community assembly of tropical rain forests. Oikos 2012, 121, 1263–1270. [Google Scholar] [CrossRef]
 - Mo, X.X.; Shi, L.L.; Zhang, Y.J.; Zhu, H.; Slik, J.W.F. Change in phylogenetic community structure during succession of traditionally managed tropical rainforest in southwest China. PLoS ONE 2013, 8, e71464. [Google Scholar] [CrossRef] [PubMed]
 - Purschke, O.; Schmid, B.C.; Sykes, M.T.; Poschlod, P.; Michalski, S.G.; Durka, W.; Kühn, I.; Winter, M.; Prentice, H.C. Contrasting changes in taxonomic, phylogenetic and functional diversity during a long-term succession: Insights into assembly processes. J. Ecol. 2013, 101, 857–866. [Google Scholar] [CrossRef]
 - Prescott, C.E. The influence of the forest canopy on nutrient cycling. Tree Physiol. 2002, 22, 1193–1200. [Google Scholar] [CrossRef]
 - Jin, Y.; Qian, H.; Yu, M. Phylogenetic structure of tree species across different life stages from seedlings to canopy trees in a subtropical evergreen broad-leaved forest. PLoS ONE 2015, 10, e0131162. [Google Scholar] [CrossRef]
 - Dupuy, J.M.; Chazdon, R.L. Effects of vegetation cover on seedling and sapling dynamics in secondary tropical wet forests in Costa Rica. J. Trop. Ecol. 2006, 22, 65–76. [Google Scholar] [CrossRef]
 - Wagner, S.; Fischer, H.; Huth, F. Canopy effects on vegetation caused by harvesting and regeneration treatments. Eur. J. For. Res. 2011, 130, 17–40. [Google Scholar] [CrossRef]
 - Feng, G.; Mi, X.; Eiserhardt, W.L.G.; Jin, G.; Sang, W.; Lu, Z.; Wang, X.; Li, X.; Li, B.; Sun, I. Assembly of forest communities across East Asia--insights from phylogenetic community structure and species pool scaling. Sci. Rep. 2015, 5, 9337. [Google Scholar] [CrossRef] [PubMed]
 - Mei, Q.; Dvornyk, V. Evolutionary history of the photolyase/cryptochrome superfamily in eukaryotes. PLoS ONE 2015, 10, e0135940. [Google Scholar] [CrossRef]
 - Kraft, N.J.B.; Adler, P.B.; Godoy, O. Community assembly, coexistence and the environmental filtering metaphor. Funct. Ecol. 2015, 29, 592–599. [Google Scholar] [CrossRef]
 - Meng, W.; Zhang, H.; Sun, L.; Xu, J.; Qiao, Y.; Li, H. Phylogenetic structure shifts across life-history stages in response to microtopography and competition in subtropical forests. Plants 2025, 14, 2098. [Google Scholar] [CrossRef]
 






| Taxa | Divergent Age Estimates (Mya) | 
|---|---|
| Angiosperms | 150–140 | 
| Eudicots | 147–131 | 
| Asterids | 128–122 | 
| Laurales | 114–108 | 
| Sapindales | 110.5–99 | 
| Rosids | 109–104 | 
| Gentianales | 94–88 | 
| Ericales | 92–85 | 
| Malpighiales | 81–77 | 
| Myrtales | 79–75 | 
| Fabales | 79–74 | 
| Rosales | 79–73 | 
| Malvales | 71–67 | 
| Habitats | DHS Plot | High-Slope | Low-Slope | Ridge-Top | High-Gully | Valley | 
|---|---|---|---|---|---|---|
| Number of quadrats | 500 | 73 | 115 | 62 | 77 | 173 | 
| Slope (degrees) | - | ≥33 | ≥33 | <33 | ≥33 | <33 | 
| Elevation (m) | - | ≥326.3 | <326.3 | ≥326.3 | ≥326.3 | <326.3 | 
| Convexity (degrees) | - | >0 | - | >0 | <0 | - | 
| Area (ha) | 20 | 2.92 | 4.60 | 2.48 | 3.08 | 6.92 | 
Disclaimer/Publisher’s Note: The statements, opinions and data contained in all publications are solely those of the individual author(s) and contributor(s) and not of MDPI and/or the editor(s). MDPI and/or the editor(s) disclaim responsibility for any injury to people or property resulting from any ideas, methods, instructions or products referred to in the content.  | 
© 2025 by the authors. Licensee MDPI, Basel, Switzerland. This article is an open access article distributed under the terms and conditions of the Creative Commons Attribution (CC BY) license (https://creativecommons.org/licenses/by/4.0/).
Share and Cite
Mei, Q.; Chen, Z.; Tan, Y.; Lai, S.; Zhang, Z.; Wang, Z.; Cao, H.; Lian, J. Phylogenetic Structure Analysis Based on the Blue-Light Receptor Cryptochrome: Insights into How Light Shapes the Vertical Structure of Subtropical Forest Community. Forests 2025, 16, 1673. https://doi.org/10.3390/f16111673
Mei Q, Chen Z, Tan Y, Lai S, Zhang Z, Wang Z, Cao H, Lian J. Phylogenetic Structure Analysis Based on the Blue-Light Receptor Cryptochrome: Insights into How Light Shapes the Vertical Structure of Subtropical Forest Community. Forests. 2025; 16(11):1673. https://doi.org/10.3390/f16111673
Chicago/Turabian StyleMei, Qiming, Zhibin Chen, Yanshan Tan, Shuxiong Lai, Zefang Zhang, Zhengfeng Wang, Honglin Cao, and Juyu Lian. 2025. "Phylogenetic Structure Analysis Based on the Blue-Light Receptor Cryptochrome: Insights into How Light Shapes the Vertical Structure of Subtropical Forest Community" Forests 16, no. 11: 1673. https://doi.org/10.3390/f16111673
APA StyleMei, Q., Chen, Z., Tan, Y., Lai, S., Zhang, Z., Wang, Z., Cao, H., & Lian, J. (2025). Phylogenetic Structure Analysis Based on the Blue-Light Receptor Cryptochrome: Insights into How Light Shapes the Vertical Structure of Subtropical Forest Community. Forests, 16(11), 1673. https://doi.org/10.3390/f16111673
        
                                                