Abstract
Fungi and bacteria associated with bark beetles can facilitate successful tree colonization, and, in some cases, these fungi act as pathogens of trees. The red turpentine beetle (RTB, Dendroctonus valens) is a bark beetle native to North America that colonizes stressed pines, rarely killing healthy trees. The fungal communities associated with RTB adults, larval galleries, and control tree phloem from red pine (Pinus resinosa) and white pine (P. strobus) forests in the Great Lakes region of the United States were characterized using both culture-independent and culture-dependent methods. Similarly, the bacterial communities associated with RTB adults in the same region were characterized using a culture-independent method. There were significant differences between the adult beetle fungal communities and the tree-based fungal communities. Culture-independent sequencing of RTB adults showed high abundances of the fungal order Filobasidiales (red pine: 28.71% relative abundance, white pine: 6.91% relative abundance), as well as the bacterial orders Enterobacterales (red pine: 53.72%, white pine: 22.15%) and Pseudomonadales (red pine: 15.86%, white pine: 12.91%). In contrast, we isolated high amounts of fungi in the orders Pleosporales (red pine: 21.79%, white pine: 15.90%) and Eurotiales (red pine: 15.38%, white pine: 16.51%) from the adult beetles by culturing. Culture-independent sequencing of beetle galleries yielded high abundances of fungi in the orders Helotiales (red pine: 22.23%, white pine: 23.21%), whereas culture-based isolation from the same galleries yielded high amounts of Eurotiales (red pine: 17.91%, white pine: 17.91%), Hypocreales (red pine: 16.42%, white pine: 16.42%), and Ophiostomatales (red pine: 23.39%, white pine: 23.39%). This contrasts with the culture-independent method, where, likely due to limitations in the sequencing method, the Ophiostomatales accounted for only around 2% of the fungi from RTB galleries in both pine species. We observed a high species-level diversity of Ophiostomatales associated with RTB, isolating 14 species from the Great Lakes region. Leptographium terebrantis, a species that has been described in association with RTB throughout the United States, was the most common species (e.g., >35% of the Ophiostomatales relative abundance in red pine environments and >14% of the Ophiostomatales relative abundance in the white pine environment). This study enhances our understanding of RTB-associated fungi and bacteria in the beetle’s native range at both the community and species levels.
1. Introduction
Many bark beetles (Coleoptera: Curculionidae: Scolytinae) maintain close associations with fungal and bacterial communities, collectively acting as a ‘holobiont’ [1,2,3]. While some microorganisms may disperse via wind or already exist within the tree as endophytes, many are transported from one tree to another by adult beetles carrying the microbes externally as ectosymbionts or internally in mycangia [4]. Some of the associated microorganisms may facilitate key processes for the beetles. For example, fungi and bacteria associated with bark beetles may aid with chemical signaling for mass aggregation [5,6,7], digestion of wood lignocellulose [8,9], nutrient acquisition from wood [10,11,12], and defense against insect pathogens [11,12,13]. Some symbiotic microorganisms may also degrade tree defenses, allowing beetles to colonize new hosts [12,14,15]. Other microorganisms may be detrimental to insect populations by outcompeting nutritionally beneficial microorganisms [10,16] or by directly killing their insect host as pathogens [17].
The red turpentine beetle (RTB), Dendroctonus valens LeConte (Coleoptera: Curculionidae: Scolytinae), is a bark beetle native to North America that rarely kills healthy trees [18]. It colonizes the lower portion of pines, typically as a secondary pest of trees stressed by fire, drought, or after a more aggressive bark beetle has attacked the tree [18]. RTB has received considerable attention in recent decades because it has caused substantial damage to Pinus tabuliformis and P. bungeana as an invasive species in Asia [19]. Between the early 1980s and the 2010s, RTB is estimated to have killed more than 10 million pine trees on over 500,000 ha in China [19].
There are several distinct subpopulations of RTB throughout its native range in North America. The beetles that are found in Minnesota and Wisconsin are genetically distinct from the RTB subpopulations in western North America and China [20]. RTB does not have a mycangium and, in North America, is said to mainly associate with several Ophiostomatales (Fungi: Ascomycota) species, including Leptographium procerum, L. terebrantis, and Ophiostoma gilletteae [21,22,23], although there are records of at least 29 Ophiostomatales species that have been isolated from RTB environments, including many recently described new species [21]. The genomic divide across different geographical areas throughout North America appears to extend to the fungi, where eastern North America RTB, which includes the Great Lakes region, associates with a different collection of Ophiostomatales than the western North America RTB [23].
Additionally, while RTB and its fungi may not be aggressive tree-killers in North America, RTB is part of a complex of root- and lower-bole-feeding beetles that are documented in association with ‘red pine pocket decline and mortality’ (RPPDM) on red pine (Pinus resinosa) plantations in the Great Lakes region of North America [24,25]. RPPDM is an understudied forest health issue. There has been some uncertainty regarding the exact species identities of the Ophiostomatales due to a lack of easily identifiable species-specific morphological traits and a lack of species-level clarity provided by sequencing some common fungal barcoding regions [3,26].
The non-Ophiostomatales fungi associated with RTB in the Great Lakes region are largely unknown. The most common yeasts isolated from RTB elsewhere in North America are in the genera Candida, Cyberlindnera, and Ogataea, with Cyberlindnera americana being among the most isolated species [27]. A metabarcoding study has also revealed the high association of RTB with yeasts, especially in the subphylum Saccharomycotina, orders Phaffomycetales and Serinales, and the genera Cyberlindnera and Candida [28].
The bacteria associated with RTB in the Great Lakes region have been documented through culture-independent [29] and culture-dependent [30] methods. The culture-dependent study isolated Enterobacter, Pseudomonas, Frigoribacterium, and Paenibacillus from RTB adults in red pine stumps [30]. A cross-country comparison also found geographical differences in the bacterial communities of RTB adults, where the Great Lakes bacterial community differed from the western USA RTB bacterial communities [29]. The bacterial richness in bark beetle systems is known to be relatively low compared to other wood-feeding insects, comprising only around a dozen species in several genera [1,31,32].
In this study, we characterize the fungal and bacterial communities associated with the red turpentine beetle using culture-based and non-culture-based approaches at sites in Minnesota and Wisconsin within the Great Lakes region of the United States. We aim to address three research questions: (1) Are there differences in alpha diversity or community composition of fungal communities associated with RTB adults, larval galleries, and non-infested phloem? (2) Are there differences in alpha diversity and community composition of fungi associated with these same sample types or bacteria associated with RTB adults between red versus white pine (Pinus strobus) hosts? (3) What species of Ophiostomales fungi are found in association with RTB adults and galleries in Minnesota and Wisconsin, USA? The results of this study will advance our understanding of the microbial communities associated with this ubiquitous bark beetle.
2. Materials and Methods
2.1. Field Collection
Between April and July in 2021–2023, RTB adults were collected in Lindgren funnel traps at three sites in Minnesota and one site in Wisconsin (Table 1). Each site was selected due to its high likelihood of having RTB present. RTB is found in pine forests across North America, but it is not extremely abundant unless there is a predisposing stressor. The diameter at breast height (DBH, 1.37 m) was measured on one hundred and fifty trees in a transect to determine an average ± 1 SD DBH at each site. The Anoka, Minnesota site is an old-growth white pine stand where trees measured 27.25 ± 22.89 cm. The Sherburne, Minnesota site is a red pine stand adjacent to a recently logged stand, with trees measuring 22.33 ± 12.55 cm in diameter at breast height. The Carlton, Minnesota site is in a red pine stand that had recently been prescribed a low-intensity controlled burn, where the trees measured 19.81 ± 10.16 cm in DBH. The stand is also adjacent to an old-growth red pine stand. The Jackson, Wisconsin site was chosen because it is an area with documented RPPDM. Its trees measured 19.23 ± 9.88 cm in DBH.
Table 1.
Collection sites of red turpentine beetle (RTB) adults, galleries, and control phloem. In each sampling year, larval galleries were sampled from ten infested trees and control phloem was collected from ten trees without RTB infestation.
Nine funnel traps were spaced at least 90 m apart at each site and baited with 3-carene and frontalin (Dendroctonus valens combo lure, Synergy Semiochemicals, Burnaby, BC, Canada). Beetles were collected from traps at least once per week. Each collection cup contained one-quarter of a Hot Shot No-Pest Strip (18.6% dichlorvos, Spectrum Brands, Madison, WI, USA) and plastic Easter grass (Amscan, Elmsford, NY, USA) to reduce predation.
When collecting beetles from the traps, RTB adults were placed into sterile Whirl-Pak bags (Madison, WI, USA) using sterile forceps. Bycatch was separated from RTB adults and placed into separate plastic bags. RTB adults were identified by their reddish-brown color, large (greater than 5 mm) body length, and shiny declivity [33]. After all the insects were removed from the trap at each collection, the entire contents of the collection cup, including the Hot Shot No-Pest Strip and plastic Easter grass, were sterilized with 70% ethanol (EtOH).
Trees with RTB larval galleries were located by red pitch tubes in the lower 1.5 m of the tree [34]. A 1.9 cm arch punch (General Tools, Secaucus, NJ, USA) was taken at the site of the RTB gallery and placed into a sterile Whirl-Pak bag. Non-infested control phloem, referred to as ‘phloem’ throughout this paper, was collected by taking a punch at the base of a nearby tree of the same size without pitch tubes present, and each sample was placed into separate sterile Whirl-Pak bags. The arch punch was sterilized with 70% EtOH prior to taking each sample. A single gallery or control phloem sample was collected from each tree. Ten gallery samples and ten control phloem samples were collected from each site at the end of each flight season. Adult beetles, larval galleries, and control phloem samples were transported from field sites to the laboratory on ice and stored at −20 °C until processing.
2.2. DNA Extraction for Culture-Independent Sequencing
Total DNA was extracted from 72 adult beetles (48 from red pine, 24 from white pine), 14 larval galleries (seven from red pine, seven from white pine), and 10 control phloem samples (six from red pine, four from white pine) collected in Minnesota during 2021 using the Qiagen PowerPlant Kit (Qiagen N.V., Hilden, Germany). Entire adult beetles were crushed whole during the tissue disruption step. The outer edge of the larval gallery and control phloem samples was removed to reduce transport or lab contamination. For the tissue disruption step, a Roche MagNA Lyser (Roche, Penzberg, Germany) was used for one 30 s cycle at 5500 rpm.
2.3. PCR and Culture-Independent Sequencing
The ITS1 (ITS1F-ITS2) and 16S V3-V4 (357F-806R) regions were sequenced for fungi and bacteria, respectively. Illumina sequencing was performed at the University of Minnesota Genomics Center (Oakdale, MN, USA) according to the methods in [35], using one 2 × 300 v3 Illumina MiSeq flow cell (Illumina, San Diego, CA, USA).
2.4. Culturing of Fungal Communities
Three types of media with prior success in culturing diverse fungal communities from wood environments [36,37,38] were used to culture the RTB fungal communities from the adult beetles, galleries, and control phloem samples. A malt extract agar plus antibiotics medium (M+) containing 1.5% Bacto malt extract (Thermo Fisher, Waltham, MA, USA), 1.5% granulated agar (Apex Bioresearch Products, El Cajon, CA, USA), and amended with 100 ppm streptomycin sulfate salt dissolved in sterile water after autoclaving and cooling (Sigma-Aldrich, Saint Louis, MO, USA) was used as a non-selective fungal medium. A cycloheximide medium [39] was used to select for Ophiostomatales, which tend to be resistant to cycloheximide [40,41]. The cycloheximide medium was prepared by adding 100 ppm cycloheximide (Sigma-Aldrich) dissolved in 95% ethanol to 2% M+ (2.0% Bacto malt extract, 1.5% granulated agar) after autoclaving and cooling. Finally, a semi-selective Basidiomycota medium [42] was prepared by adding Difco yeast extract at 0.2% (Sigma-Aldrich) and benomyl pre-dissolved in 95% ethanol at 0.006% (Santa Cruz Biotechnology, Dallas, TX, USA) to 1.5% M+ prior to autoclaving. After autoclaving and cooling, 85% lactic acid at 0.2% v/v (Aqua Solutions, Deer Park, TX, USA) and 100 ppm streptomycin salt dissolved in water were added.
Culturing took place as soon as possible, within one week of collection. The external and internal fungi were cultured together to capture the full culturable fungal community from adult beetles. This was achieved by rolling each adult beetle in a zigzag pattern across the media to create individual colonies and crushing the adult at the end of the path. A total of 30 adult beetles were cultured at each site and year (10 adult beetles per media type, per site, and year). To culture from tree samples, four pieces of either the RTB galleries or control phloem were placed into the three types of media to induce fungal growth. Petri dishes were checked every 3 days for growth and sub-cultured onto the same type of media from which they originated.
2.5. DNA Extraction from Pure Cultures
DNA was extracted from each unique morphotype after two weeks of growth. The number of plates from each unique morphotype was recorded and used to calculate abundances. At least one of every four plates per morphotype was extracted to reduce the potential of missing cryptic diversity.
Initially, DNA was extracted from each morphotype using a NaOH extraction, modified from [43]. Briefly, mycelia were scraped from actively growing Petri dishes into a microcentrifuge tube containing four glass beads (BioSpec Products, Bartlesville, OK, USA) and 200 µL of 0.5 M NaOH solution (MCB Reagents, Cincinnati, OH, USA). After vortexing for one min and centrifuging for 10 s, 5 µL of the supernatant was transferred to a microcentrifuge tube containing 495 µL Tris-HCl (Thermo Fisher). For isolates where the NaOH extraction was not successful, and for Ophiostomatales, another extraction following the methods described in [44] was performed with slight modifications. Briefly, mycelia from actively growing Petri dishes were transferred to a microcentrifuge tube containing three glass beads and an extraction buffer made up of NaCl (IBI Scientific, Dubuque, IA, USA), Tris-HCl (pH 8.0), ethylenediaminetetraacetic acid (EDTA, Research Products International, Mt. Prospect, IL, USA), and polyvinylpyrrolidone (PVP, Sigma-Aldrich). The tube containing the mycelia and extraction buffer was briefly vortexed and incubated for 15 min at 65 °C, with a one min vortex midway through the incubation period. The tube was then centrifuged (Eppendorf, Hamburg, Germany) at 8000 rpm for 10 min. 500 µL of the wash buffer containing sodium dodecyl sulfate (Sigma-Aldrich) and 0.5 M KCl (Thermo Fisher) was added to the supernatant, vortexed for one min, and centrifuged at 15,000 rpm for 10 min. The supernatant was washed with 99.5% isopropanol (Thermo Fisher) by gentle inversion and centrifugation at 15,000 rpm for 10 min. The pellet was washed a third time with 70% ethanol (Thermo Fisher) by centrifuging for five min at 15,000 rpm. Finally, the pellet was resuspended in sterile molecular-grade water (Thermo Fisher).
2.6. PCR and Sanger Sequencing of Pure Cultures
For every isolate, the full internal transcribed spacer region (ITS) was sequenced using the ITS1F [45] and ITS4 [46] primers. For the Ophiostomatales, an additional four loci were sequenced: translation elongation factor 1α (EF-1α; EF2F [47] and EF2R [48]), nuclear large subunit (LSU; LR0R and LR5 [49]), RNA polymerase II (RPBII; Oph-RPB2F1 and Oph-RPB2R1 [50]), and β-tubulin (βt; T10 [51] and BT2B [52]).
The forward and reverse primers of the ITS polymerase chain reaction (PCR) mixture were prepared to a final primer concentration of 0.2 µM. The EF-1α, LSU, and βt primers had a final concentration of 0.4 µM, and the RPBII primers were prepared to a final concentration of 1.0 µM. All PCR amplifications for Sanger sequencing were performed in a Bio-Rad T100 Thermo Cycler (Hercules, CA, USA). The PCR conditions for each gene region are listed in Table 2. Gel electrophoresis and Sanger sequencing were completed according to [53].
Table 2.
PCR conditions used in this study.
2.7. Community Analysis of Culture-Independent Sequences
Cutadapt version 4.1 [54] was used to remove primers and adapters. The remaining analytical steps were completed in R version 4.4.2 [55]. Forward and reverse sequences were paired, filtered, and chimeras were removed before assigning amplicon sequence variants (ASVs) in DADA2 version 1.31.0 [56]. To maintain a quality score above 30, the fungal sequences were truncated at 277 bp for the forward reads and 279 bp for the reverse reads, and the bacterial sequences were truncated at 256 bp for the forward reads and 260 bp for the reverse reads. The fungal taxonomy was assigned to ITS ASVs with UNITE version 21.04.2024 [57], and the bacterial taxonomy was assigned to 16S ASVs with SILVA version 138.1 [58]. The UNITE-assigned taxonomic names were updated according to the September 2025 classifications in MycoBank [59].
Singleton ASVs, as well as non-fungal and non-bacterial taxa, were removed from the ITS and 16S datasets, respectively. Samples were rarefied at 1005 reads for the fungal dataset and 941 reads for the bacterial dataset. For the fungal dataset, this removed one control phloem sample, one adult beetle sample, and two gallery samples from the Anoka, Minnesota white pine site, plus one control phloem and one adult beetle from the Sherburne, Minnesota red pine site. Due to the low sequencing depth of the bacterial dataset, only adult beetles were included in the bacterial analysis. Despite the poor sequencing quality for the tree-based samples, only six of the adult beetle samples were removed. The removed samples included five of the adult beetles from the Anoka, Minnesota, white pine site and one adult beetle from the Carlton, Minnesota, red pine site. A total of 3,865 fungal ASVs and 2545 bacterial ASVs remained for analysis.
The iNEXT package version 3.0.2 [60,61] was used to create rarefaction curves by sample type (Figures S1 and S2). Plots were visualized with ggplot2 version 3.5.2 [62] and arranged using the cowplot package version 1.2.0 [63]. Alpha diversity indices (species richness, Pielou’s evenness index, Shannon’s index, and Simpson’s index) were calculated using the vegan version 2.7.1 [64] and phyloseq version 1.50.0 [65] packages. Linear mixed-effects models were run using the lmer function in lme4 [66] with site as a random effect for the red pine samples and the lm function for the white pine stand.
Microbial community beta diversity differences among sample type, tree species, and site were evaluated using permutational multivariate analysis of variances (PERMANOVA) with the adonis2 function and 9999 permutations on a Bray–Curtis dissimilarity matrix computed from total-sum-scaled data. We calculated the PERMANOVA pseudo-R2 for the model terms using the default sequential partitioning. The sample type and tree species differences were visualized with non-metric multidimensional scaling (NMDS) plots (metaMDS function, k = 2) on the same Bray–Curtis matrix. The final NMDS stress values were 0.18 for the fungal and 0.216 for the bacterial dataset. Differences in fungal and bacterial orders were represented by sample type and by tree species using 100% stacked bar plots in ggplot2.
Differences in fungal and bacterial orders by sample type and tree species were also calculated using linear mixed-effects models with the lmer function to include site as the random effect, as described above for red pine, and the lm function for the one white pine site. Adjusted p-values using the false discovery rate (FDR) are reported for all multiple comparison analyses in this study.
2.8. Community Analysis of Culture-Dependent Sequences
Sequences were trimmed in Geneious Prime 11.1.5 (Biomatters Ltd., Auckland, New Zealand) and compared to published sequences using BLASTn version 2.17.0 [67]. Taxonomy was assigned to each BLAST result using the September 2025 classification in MycoBank to match the taxonomy from the culture-independent sequences. Sample completeness curves by sample type and tree species were created in ggplot2 and the iNEXT packages. Individual sites in a single year were considered one ‘sample’ for the culture-dependent analysis because many individual specimens only included one fungal species. Stacked bar plots were created in ggplot2 as described above, and linear mixed-effects models were applied to fungal order differences by sample type and tree species using the lmer function with the terms for ‘site’ and ‘year’ as random effects for the red pine sites and the term ‘year’ as a random effect for the white pine site.
2.9. Phylogenetic Placement of Ophiostomatales
Ophiostomatales sequences were aligned to reference sequences using the default settings on the MAFFT v7 online tool [68]. Aligned sequences were then fed through Gblocks 0.91b with the less stringent options selected [69,70]. Each individual locus was then concatenated in R using the ape package version 5.8.1 [71], and maximum likelihood trees were created in the online version of IQ-Tree with 1000 bootstrap replicates [72]. The reference sequences used in the phylogenetic tree included all known RTB-associated fungi and close BLAST matches of the isolates in the present study [21,50]. Afroraffaelea ambrosiae isolate CBS 141678 was used as an outgroup.
3. Results
3.1. Alpha Diversity of Culture-Independent Samples
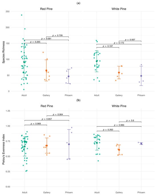
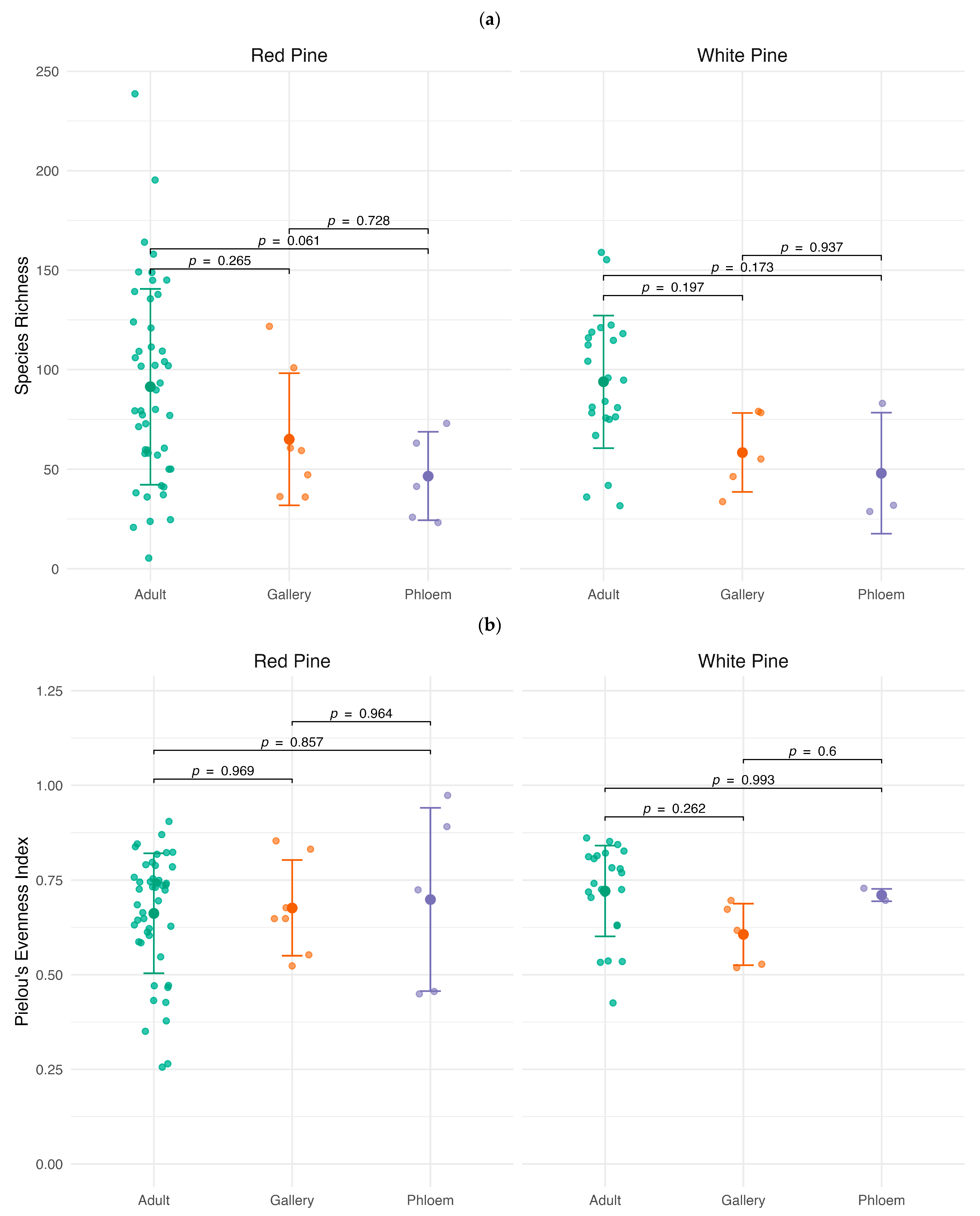
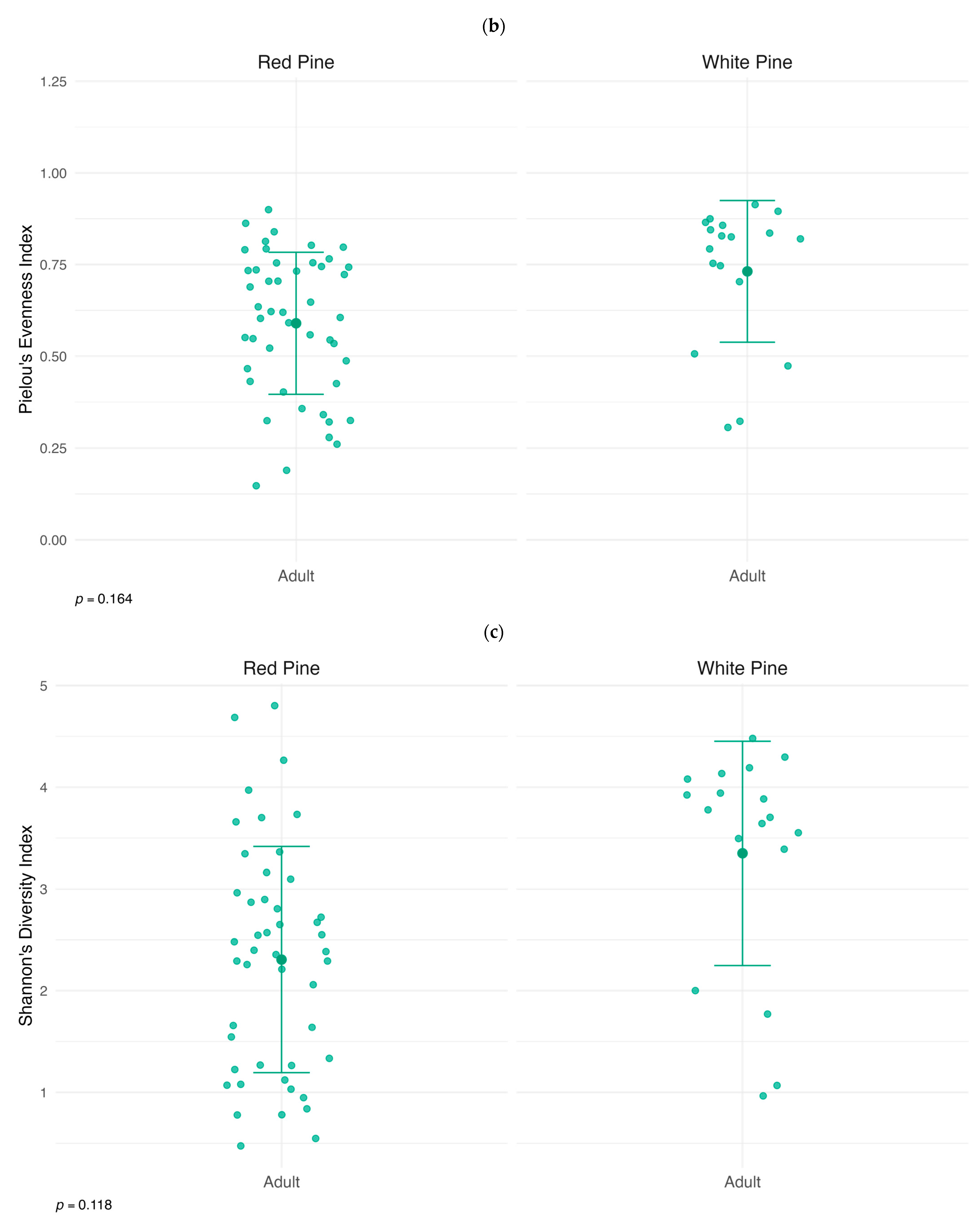
Individual sites explained 7.00% of the variance in fungal richness, and none of the fungal variance in Pielou’s evenness, Shannon’s, or Simpson’s diversity indices. Additionally, there were no significant differences in fungal alpha diversity among sample types or between forest types (Figure 1).

Figure 1.
The alpha diversity of culture-independent fungal communities associated with red turpentine beetle adults, galleries, and control phloem in Minnesota, USA. Panels show (a) fungal richness; (b) fungal evenness; (c) Shannon’s diversity; (d) Simpson’s diversity. Each sample was rarefied to 1005 reads. The large points indicate model-estimated marginal means, error bars represent ±1 SD, and smaller points represent all the sample points.
The random effect of site explained 18% of the total variance in bacterial species richness and none of the total variance in the Pielou’s evenness, Shannon’s, or Simpson’s diversity indices. Similar to the fungal results, there were no significant differences in the alpha diversity indices between bacterial communities of red pine and white pine RTB adult beetles (Figure 2).


Figure 2.
The alpha diversity for culture-independent bacterial samples from red turpentine beetle adults in Minnesota, USA. Panels show (a) bacterial richness; (b) bacterial evenness; (c) Shannon’s diversity; (d) Simpson’s diversity. Each sample was rarefied to 941 reads. The large points indicate model-estimated marginal means, error bars represent ±1 SD, and smaller points represent all the sample points.
3.2. Community Composition of Culture-Independent Samples
The fungal communities differed overall by tree species (F1, 88 = 3.17; p < 0.001) and sample type (F2, 87 = 3.77; p < 0.001). The interaction among site × sample type × tree species explained 14% of the variation in fungal community composition (F4, 85 = 3.48; p < 0.001). In the fungal interaction, there were significant differences between the white pine gallery and adult beetle communities (F1, 14 = 2.91; p = 0.02), between the white pine control phloem and adult beetle communities (F1, 14 = 2.23; p = 0.02), between the red pine gallery and adult beetle communities (F1, 14 = 3.74; p = 0.02), between the red pine control phloem and adult beetle communities (F1, 14 = 3.27; p = 0.02), and between the white and red pine adult beetles (F1, 14 = 4.28; p = 0.02) (Figure 3a). The site × tree species interaction explained 8% of the variation in bacterial community composition (F2, 62 = 2.63; p < 0.001). There was a significant difference between the red pine and white pine adult beetle bacterial communities (F1, 63 = 3.20; p < 0.001) (Figure 3b).
Figure 3.
NMDS plots for (a) culture-independent fungi and (b) bacteria. The green points represent samples from adult red turpentine beetles, orange points represent samples from red turpentine beetle galleries, and the violet points represent samples from control phloem samples. The samples from red pine forests are represented by circles, and triangles represent the samples from white pine forests. For (a) ellipses represent differences among sample types for both red and white pine fungal samples. For (b) ellipses represent differences between red and white pine adult beetle bacterial communities.
3.3. Taxonomic Composition of Culture-Independent Samples
For the red pine culture-independent dataset, there were many orders that differed significantly among the sample types. Notably, Filobasidiales (most common genera Naganishia and Filobasidium) were more abundant on the red pine adult beetles (28.71% relative abundance) than in the red pine galleries (0.10%; t55.02 = 3.61; p = 0.006) or red pine control phloem samples (1.63%; t55.02 = 3.27; p = 0.008). Helotiales (most common genera: Pezicula and Proliferodiscus) were more abundant in the red pine galleries (22.23%; t55.11 = −4.30; p < 0.001), white pine galleries (23.21%; t28 = −2.94; p = 0.03), red pine control phloem (22.20%; t55.09 = −4.22; p < 0.001), and white pine control phloem (35.31%; t28 = −3.97; p = 0.004) than on the adult beetles from red (2.38%) and white pine (3.22%) forests. Finally, Polyporales (most common genera: Cryptoporus, Hyphoderma, Cabalodontia, Phlebiopsis) were more abundant in the red pine galleries (7.44%) than on adult beetles captured in red pine forests (0.94%; t55.12 = −2.87; p = 0.02). Two orders in the subphylum Saccharomycotina, such as Phaffomycetales (most common genera: Cyberlindnera, Wickerhamomyces) and Serinales (most common genus: Candida) each had >6% relative abundance in both the red and white pine adult beetles, >0.40% relative abundance in the galleries of both tree species, and were absent from the phloem samples in each tree species, but the differences were not significant. There was a similar trend for the Ophiostomatales (most common genera: Ceratocystiopsis and Ophiostoma), where the differences were not significant despite making up 2.9% of the fungi from red pine adult beetles, 11.38% of the white pine adult beetle fungi, and >2% of the gallery fungi of both tree species, versus less than 0.6% of both the red and white pine control phloem (Figure 4a and Table S1).
Figure 4.
100% stacked bar plots by (a) culture-independent fungi, (b) culture-independent bacteria, and (c) culture-dependent fungi. For (a) each sample was rarefied to 1,005 reads, for (b) each sample was rarefied to 941 reads, for (c) the number of fungi isolated from each sample type differed: red pine adult n = 312; red pine gallery n = 134; red pine phloem n = 75; white pine adult n = 327; white pine gallery n = 67; white pine phloem n = 56. The most abundant orders are displayed according to the corresponding color in the legends. Less abundant orders are classified into the “Other” category (gray).
There were no significant differences in the bacterial order abundances between the red pine and white pine adult beetles; however, insignificant differences were present. Xanthomonadales (most common genera: Frateuria and Rhodanobacter) made up 0.68% of the red pine adult beetle bacteria and 6.48% of the white pine adult beetle communities. Rickettsiales (most common genera: Wolbachia and Rickettsia) were absent from the red pine adult beetle samples but made up 3.29% of the white pine adult beetle communities. Pseudomonadales (genus: Pseudomonas) were abundant in the adults of both red pine (15.86%) and white pine (12.91%). The Enterobacterales (most common genera: Arsenophonus, Enterobacter, Erwinia, Klebsiella, Lelliottia, Pantoea, Rahnella, Raoultella, and Serratia) were also abundant in red pine (53.72%) and white pine (22.15%) adult beetles. Finally, the Betaproteobacteriales (genus: Massilia) were also common in association with the adult beetles of red pine (11.26%) and white pine (9.84%) forests (Figure 4b).
3.4. Taxonomic Composition of Culture-Dependent Samples
A total of 205 species from four phyla and 37 orders were cultured from adult beetles, galleries, and control phloem of red and white pine forests in the Great Lakes region. There were no statistically significant differences among sample types or between tree species. Like with the culture-independent bacterial samples, some insignificant trends did emerge. Pleosporales (most common genera: Alternaria and Epicoccum) were very abundant in the red pine adult beetles (21.79%), white pine adult beetles (15.90%), red pine control phloem (16.00%), and white pine control phloem (16.07%) samples. Eurotiales (most common genera: Penicillium and Talaromyces) were also commonly isolated across sample types, accounting for at least 15% of the total relative abundance in every sample type and 40% of the red pine control phloem. For the Phaffomycetales (genus: Cyberlindnera) and Serinales (genera: Candida, Danielia), the Phaffomycetales made up >1% of the adult fungal communities for beetles captured in both forest types, and 0.75% of the red pine gallery fungi. The Serinales accounted for >2.5% of the fungi isolated from adults in both red and white pine forests, and were 1.5% of the fungi from red pine galleries. Neither order was isolated from the red or white pine control phloem samples. Finally, the Ophiostomatales (genera: Ceratocystiopsis, Ophiostoma, Graphilbum, Leptographium, and Sporothrix) made up 22.39% of the fungi isolated from red pine galleries, 22.39% of the fungi isolated from white pine galleries, and 11.86% of the fungi isolated from adults captured in red pine forests. However, the Ophiostomatales comprised only 2.14% of the fungi isolated from white pine adults. (Figure 4c and Table 3).
Table 3.
Red turpentine beetle Ophiostomatales species isolated in the Great Lakes region, USA, in this study. The relative abundance value is the percent of that species per Ophiostomatales species within that tree species and sample type.
3.5. Ophiostomatales Species Isolated in the Culture-Dependent Samples
A total of 14 Ophiostomatales species were isolated from RTB environments in the Great Lakes region. The most common species isolated was Leptographium terebrantis, which made up >30% of the Ophiostomatales isolated from red pine galleries, white pine galleries, and red pine adult beetles. Graphilbum sp. A is likely a new species related to Graphilbum ipis-grandicollis, matching Gra. ipis-grandicollis at 96.77% (Figure 5 and Table 3).
Figure 5.
Ophiostomatales phylogenetic tree based on the concatenated sequences of five loci, including ITS, LSU, βt, EF-1α, and RPBII. Afroraffaelea ambrosiae isolate CBS 141678 is designated as the outgroup. Species in bold were isolated in the present study. Graphilbum sp. A did not align with any described species. Node supports are presented as ML bootstrap (>60).
4. Discussion and Conclusions
In this study, we used culture-independent and culture-dependent methods to examine the fungal and bacterial communities associated with the red turpentine beetle adults, galleries, and the phloem of nearby control trees. There were no significant differences in the alpha diversity metrics, such as species richness and evenness, among different sample types and between red and white pine forests for the fungal or bacterial datasets. We also measured community-level differences in the fungal and bacterial communities between red and white pine stands. The fungal communities associated with adult RTB differed significantly from those on the tree-based fungal communities; however, there were no overall differences between the gallery and phloem communities. We also observed taxonomic differences in the fungi among sample types using culture-independent techniques. The Helotiales and Polyporales were more abundant in the galleries than on adults, while the Filobasidiales were more abundant on the adults than in the galleries. For the bacteria, advances in sequencing technologies did not reveal a novel diversity of bacteria that were not present in previous studies. A high species richness of Ophiostomatales species was isolated in this study, contributing to the substantial number of Ophiostomatales that RTB associates with in its native range.
The adult beetles in our study carried a high diversity of fungi that were not detected in the galleries. This phenomenon has been noted before [73] and may be a consequence of a trap-based study where the beetles picked up more wind-disseminated fungi than they would have flying directly between trees, a lack of surface sterilization, or potentially storing at freezing temperatures. Although we attempted to minimize the transfer of fungal spores from trap bycatch to RTB adults, it is possible that the predators captured in the traps contributed to the fungal diversity recovered from RTB adults. Additionally, it is possible that the dichlorvos in the Hot Shot No-Pest Strip acted as a fungicide, altering the adult fungal communities, but more testing on this potential limitation is needed.
We observed differences between the red and white pine fungal and bacterial communities. The red turpentine beetle has an expansive range, inhabiting many pine species across most of North America [18]. Previous studies have found differences in the genomics of the beetles [18], as well as the associated fungal communities [23] and associated bacterial communities [29] across large geographical areas. These differences may be due, in part, to variation in host tree species, as the main differences observed in these studies are between eastern and western RTB subpopulations, where there is no overlap in pine host species. In our study, we demonstrate that there are differences in RTB microbial communities within the same geographic region.
There were also differences between the RTB adult fungal communities and the tree-based (gallery and phloem) fungal communities, but not between the gallery and phloem communities, in our study. This is similar to findings from the emerald ash borer system in its native range in Asia [74]. The emerald ash borer and RTB have similar life histories in their respective native ranges, where each beetle acts as a secondary colonizer of stressed trees and rarely kills healthy trees [19,75]. It is possible that the chemical defenses of healthy trees do not allow significantly different microbial communities to establish in association with these beetles. Another alternative hypothesis for the lack of community-wide differences between the RTB galleries and control phloem is that the galleries in our study were sampled too soon after colonization, before the microbial communities in the galleries had a chance to develop.
We recovered a significantly higher abundance of Polyporales in the red pine galleries than were associated with the red pine adult beetles using the culture-independent extraction. This finding contrasts with the culturing study, where we recovered the same amount of Polyporales on red pine adult beetles as in red pine galleries and a relatively high rate of Polyporales on the white pine adults, versus none in the white pine galleries. Cryptoporus was the most common Polyporales genus recovered with both the culture-independent and culture-dependent methods. Cryptoporus volvatus is a white rot fungus and often fruits around bark beetle galleries, but bark beetles reportedly do not pick up C. volvatus from their galleries [73]. Rather, previous studies have demonstrated that the spores are mainly wind-dispersed, and the high abundance cultured from the adults in our study may be a result of the trap-based study [73].
Yeast volatiles seem to play important roles in insect signaling, including for bark beetles [27,76]. Despite the relatively high abundance of budding yeasts (subphylum Saccharomycotina, orders Alaninales, Dipodascales, Phaffomycetales, Pichiales, Saccharomycetales, and Serinales) measured from adults (>18%) and galleries (>6%) of both tree species using the culture-independent method, and from adults (>6%) and from galleries (>3%) using the culturing method, we found much lower rates of yeasts using both culture-independent and culture-dependent methods than the >90% relative abundance that had previously been reported for RTB in North America [28]. The low rates of Saccharomycotina isolation may be because we did not use a yeast-selective medium, unlike other studies which focused on RTB-associated yeasts such as [77]. We isolated several isolates that closely match Candida piceae (>98% match), Danielia oregonensis (syn Candida oregonensis) (100% match), and Cyberlindnera americana (100% match). Cyberlindnera americana and Candida piceae have been reported as the main yeast associates of RTB in both North America [27] and Asia [27,77]. The high abundance of Cyberlindnera americana is supported by the culture-independent results in the present study, where Cyberlindnera was the most abundant genus in the entire fungal dataset. Previous studies have hypothesized that Cyberlindnera may play important roles for bark beetles, such as potentially degrading tree defensive chemicals [78] or contributing to producing volatiles that are attractive to beetles [79]. Further testing is needed to determine whether Cyberlindnera contributes to RTB’s ability to kill trees in Asia.
Despite advances in sequencing technology, our bacterial findings were consistent with the Dendroctonus bacterial biodiversity surveys that took place more than a decade ago [1]. The most common bacteria associated with RTB adults in our study were Pseudomonas and Enterobacterales such as Enterobacter, Rahnella, Raoultella, and Serratia. The bacteria isolated from RTB systems seem to have interesting interactions with pine monoterpenes, where RTB-associated Enterobacter can grow on limonene without inhibition, RTB-associated Pseudomonas can grow on 3-carene and alpha pinene without inhibition, and both genera can grow on myrcene without inhibition [30]. Additionally, Rahnella and Serratia have been shown to reduce alpha pinene and abietic acid, respectively [15]. Wolbachia was also relatively common on RTB adults in the white pine stand. This genus was present in the red pine samples, but at low enough levels that it was excluded from the analysis during the rarefaction step. Wolbachia is found abundantly across insects, including other bark beetles, and may play a role in selecting for more females in the population [80].
The most studied associates of bark beetles are members of the Ophiostomatales. These fungi are well-adapted for dispersal by beetles due to their sticky spores at the tips of long sexual or asexual structures [50]. Most of the Ophiostomatales cause staining in the sapwood of trees, which does not impact the structural integrity of the wood. Overall, the Ophiostomatales did not make up a large portion of the culture-independent fungal communities. Although we recovered a higher relative abundance of Ophiostomatales by culturing, the culture-based approach still recovered relatively low amounts of Ophiostomatales compared to other bark beetle studies [81]. This low recovery rate may be partially because we did not surface sterilize our samples, and due to limitations of ITS as a metabarcoding region for Ophiostomatales [3,9]. Future RTB microbiome studies should test primers for other gene regions, such as the 28S ribosomal large subunit (LSU), which may more reliably allow researchers to detect Ophiostomatales at the levels that are present in nature [9].
In China, RTB commonly associates with Leptographium procerum and Ophiostoma minus [19]; however, in North America, over 20 Ophiostomatales species have been isolated from RTB, and the beetle seems to be without a clear symbiont [21,22]. In the present study, we isolated several species previously isolated from RTB environments in North America, including Leptographium terebrantis, L. gordonii, L. procerum, Ophiostoma gilletteae, O. minus, and O. ips. The most isolated Ophiostomatales species in our study was L. terebrantis, which has previously been described in association with RTB in both eastern and western North America [21,23]. We also isolated two recently described species, O. gilletteae and L. gordonii [21]. Ophiostoma gilletteae is a species that had previously only been isolated from western RTB subpopulations, and L. gordonii has only been found in eastern RTB subpopulations [21,23], indicating that the Great Lakes region may be an area where ‘eastern’ and ‘western’ Ophiostomatales mix, although further testing is needed. Furthermore, this study contributes sequences for O. gilletteae using the recently created Ophiostomatales-specific RPBII primers, which will help future researchers separate O. gilletteae from the phylogenetically related O. adjuncti (Table S2).
We also isolated L. procerum and L. terebrantis, two of the fungi that have been described in association with RPPDM in the Great Lakes region [24,25]. This study also provides the first RPBII sequence of L. terebrantis, which will help field practitioners, disease diagnosticians, and researchers identify the Ophiostomatales in stands with RPPDM. Additionally, L. procerum is the main associate of RTB in China [19]. Leptographium procerum has not been isolated from western North America [23]; however, based on the genomics of RTB, the subpopulation causing damage in China likely originated in the western United States [20]. Researchers have hypothesized that the L. procerum associated with RTB in China may have arrived independently of the beetle and may have its origins in Europe [82].
Finally, we isolated eight species that had not been previously described in association with RTB, namely Ceratocystiopsis brevicomis, C. minima, C. yantaiensis, Graphilbum fragrans, Gra. pusillum, Sporothrix lunata, S. variecibatus, and a species similar to Gra. ipis-grandicollis. All the new associates came from genera that have not been isolated very frequently in association with RTB [21]. RTB associates with a high diversity of Ophiostomatales in low abundances, and future studies will likely continue to isolate many additional incidental associates as researchers move away from ITS-only Ophiostomatales identification.
Collectively, the results of this study provide more insight into the fungal and bacterial communities associated with RTB in its native range. Future studies should expand upon this study by evaluating RTB culture-independent communities using gene regions in addition to ITS for potentially better recovery of the Ophiostomatales. Additionally, the fungal and bacterial communities associated with RTB in the western United States should be studied in greater depth to determine how the microbiota of RTB in its native range directly compares to that of RTB in its invaded range in Asia. Finally, although most of the Ophiostomatales associated with RTB appear to be incidental associates, occurring sparingly and in low densities, studies on the potential functions of these species would add to the understanding of bark beetle-fungal interactions.
Supplementary Materials
The following supporting information can be downloaded at: https://www.mdpi.com/article/10.3390/f16101604/s1, Figure S1: Fungal rarefaction curves; Figure S2: Bacterial rarefaction curves; Figure S3: Sample completeness curves; Table S1: Comparisons of the abundances of microbial orders; Table S2: Accession numbers of fungi included in this study.
Author Contributions
Conceptualization, A.J.M., K.E.B. and R.A.B.; methodology, A.J.M., B.W.H., K.E.B., B.H.A. and R.A.B.; formal analysis, A.J.M.; investigation, A.J.M. and R.M.B.; resources, B.W.H., B.H.A. and R.A.B.; data curation, A.J.M.; writing—original draft preparation, A.J.M.; writing—review and editing, A.J.M., R.M.B., B.W.H., K.E.B., B.H.A. and R.A.B.; visualization, A.J.M.; supervision, R.A.B.; project administration, K.E.B. and R.A.B.; funding acquisition, K.E.B., B.W.H., B.H.A. and R.A.B. All authors have read and agreed to the published version of the manuscript.
Funding
This research was funded by the U.S. National Science Foundation Dimensions of Biodiversity, grant number 2030036.
Data Availability Statement
The Accession numbers for the Sanger sequences are found in Table S2. The Illumina sequences have been deposited in BioProject: PRJNA1308577. The aligned sequences for Figure 5 can be downloaded at https://github.com/andrewmann1/Red-turpentine-beetle-fungi-and-bacteria (accessed on 12 August 2025).
Acknowledgments
We thank Lou McCarthy and Tessa Kothlow for assistance in extracting fungal DNA, Brian Schwingle of the Minnesota Department of Natural Resources, and Alex Hornung of the Wisconsin Department of Natural Resources for assistance in locating field sites with RTB. We appreciate Kyle Gill and all the staff at the University of Minnesota Cloquet Forestry Center for their help in selecting trapping locations and collecting beetles. Thanks also to Nickolas Rajtar for help collecting beetles. We also thank Rob Venette and the Minnesota Invasive Terrestrial Plant and Pest Center at the University of Minnesota for their collaboration, discussions, and advice.
Conflicts of Interest
The authors declare no conflicts of interest. The funders had no role in the design of the study; in the collection, analyses, or interpretation of data; in the writing of the manuscript; or in the decision to publish the results.
Abbreviations
The following abbreviations are used in this manuscript:
| RTB | Red turpentine beetle (Dendroctonus valens) |
| RPPDM | Red pine pocket decline and mortality |
References
- Hofstetter, R.W.; Dinkins-Bookwalter, J.; Davis, T.S.; Klepzig, K.D. Symbiotic associations of bark beetles. In Bark Beetles: Biology and Ecology of Native and Invasive Species; Vega, F.E., Hofstetter, R.W., Eds.; Academic Press: London, UK, 2015; pp. 209–245. [Google Scholar]
- Koski, T.-M.; Zhang, B.; Wickham, J.D.; Bushley, K.E.; Blanchette, R.A.; Kang, L.; Sun, J. Chemical interactions under the bark: Bark-, ambrosia-, and wood-boring beetles and their microbial associates. Rev. Environ. Sci. Bio/Technol. 2024, 23, 923–948. [Google Scholar] [CrossRef]
- Hulcr, J.; Barnes, I.; de Beer, Z.W.; Duong, T.A.; Gazis, R.; Johnson, A.J.; Jusino, M.A.; Kasson, M.T.; Li, Y.; Lynch, S.; et al. Bark beetle mycobiome: Collaboratively defined research priorities on a widespread insect-fungus symbiosis. Symbiosis 2020, 81, 101–113. [Google Scholar] [CrossRef]
- Seibold, S.; Müller, J.; Baldrain, P.; Cadotte, M.W.; Stursova, M.; Biedermann, P.H.W.; Krah, F.-S.; Bässler, C. Fungi associated with beetles dispersing from dead wood—Let’s take the beetle bus! Fungal Ecol. 2019, 39, 100–108. [Google Scholar] [CrossRef]
- Jirošová, A.; Modlinger, R.; Hradecký, J.; Ramakrishnan, R.; Beránková, K.; Kandasamy, D. Ophiostomatoid fungi synergize attraction of the Eurasian spruce bark beetle, Ips typographus to its aggregation pheromone in field traps. Front. Microbiol. 2022, 13, 980251. [Google Scholar] [CrossRef] [PubMed]
- Kandasamy, D.; Zaman, R.; Nakamura, Y.; Zhao, T.; Hartmann, H.; Andersson, M.N.; Hammerbacher, A.; Gershenzon, J. Conifer-killing bark beetles locate fungal symbionts by detecting volatile fungal metabolites of host tree resin monoterpenes. PLoS Biol. 2023, 21, e3001887. [Google Scholar] [CrossRef] [PubMed]
- Xu, L.; Lou, Q.; Cheng, C.; Lu, M.; Sun, J. Gut-associated bacteria of Dendroctonus valens and their involvement in verbenone production. Microb. Ecol. 2015, 70, 1012–1023. [Google Scholar] [CrossRef]
- Geib, S.M.; Filley, T.R.; Hatcher, P.G.; Hoover, K.; Carlson, J.E.; Jimenez-Gasco, M.D.M.; Nakagawa-Izumi, A.; Slighter, R.L.; Tien, M. Lignin degradation in wood-feeding insects. Proc. Natl. Acad. Sci. USA 2008, 105, 12932–12937. [Google Scholar] [CrossRef]
- Skelton, J.; Jusino, M.A.; Carlson, P.S.; Smith, K.; Banik, M.T.; Lindner, D.L.; Palmer, J.M.; Hulcr, J. Relationships among wood-boring beetles, fungi, and the decomposition of forest biomass. Mol. Ecol. 2019, 28, 4971–4986. [Google Scholar] [CrossRef]
- Ayres, M.P.; Wilkens, R.T.; Ruel, J.J.; Lombardero, M.J.; Vallery, E. Nitrogen budgets of phloem-feeding bark beetles with and without symbiotic fungi. Ecology 2000, 81, 2198–2210. [Google Scholar] [CrossRef]
- Cambronero-Heinrichs, J.; Battisi, A.; Biedermann, P.H.W.; Cavaletto, G.; Castro-Gutierrez, V.; Favaro, L.; Santoiemma, G.; Rassati, D. Erwiniaceae bacteria play defensive and nutritional roles in two widespread ambrosia beetles. FEMS Microbiol. Ecol. 2023, 99, fiad144. [Google Scholar] [CrossRef]
- Davis, T.S.; Stewart, J.E.; Mann, A.; Bradley, C.; Hofstetter, R.W. Evidence for multiple ecological roles of Leptographium abietinum, a symbiotic fungus associated with the North American spruce beetle. Fungal Ecol. 2019, 38, 62–70. [Google Scholar] [CrossRef]
- Peral-Aranega, E.; Saati-Santamaría, Z.; Ayuso-Calles, M.; Kostovčík, M.; Veselská, T.; Švec, K.; Rivas, R.; Kolařik, M.; García-Fraile, P. New insight into the bark beetle Ips typographus bacteriome reveals unexplored diversity potentially beneficial to the host. Environ. Microbiome 2023, 18, 52. [Google Scholar] [CrossRef] [PubMed]
- Adams, A.S.; Aylward, F.O.; Adams, S.M.; Erbilgin, N.; Aukema, B.H.; Currie, C.R.; Suen, G.; Raffa, K.F. Mountain pine beetle colonizing historical and naïve host trees are associated with a bacterial community highly enriched in genes contributing to terpene metabolism. Appl. Environ. Microbiol. 2013, 79, 3468–3475. [Google Scholar] [CrossRef] [PubMed]
- Boone, C.K.; Keefover-Ring, K.; Mapes, A.C.; Adams, A.S.; Bohlmann, J.; Raffa, K.F. Bacteria associated with a tree-killing insect reduce concentrations of plant defense compounds. J. Chem. Ecol. 2013, 39, 1003–1006. [Google Scholar] [CrossRef] [PubMed]
- Barras, S.J. Antagonism between Dendroctonus frontalis and the fungus Ceratocystis minor. Ann. Entomol. Soc. Am. 1970, 63, 1187–1190. [Google Scholar] [CrossRef]
- Mann, A.J.; Davis, T.S. Entomopathogenic fungi to control bark beetles: A review of ecological recommendations. Pest Manag. Sci. 2021, 77, 3841–3846. [Google Scholar] [CrossRef]
- Wood, S.L. The Bark and Ambrosia Beetles of North and Central America (Coleoptera: Scolytidae), a Taxonomic Monograph; Great Basin Naturalist Memoirs, No. 6; Brigham Young University: Provo, UT, USA, 1982; 1359p. [Google Scholar]
- Sun, J.; Lu, M.; Gillette, N.E.; Wingfield, M.J. Red turpentine beetle: Innocuous native becomes invasive tree killer in China. Annu. Rev. Entomol. 2013, 58, 293–311. [Google Scholar] [CrossRef]
- Liu, Z.; Xing, L.; Huang, W.; Liu, B.; Wan, F.; Raffa, K.F.; Hofstetter, R.W.; Qian, W.; Sun, J. Chromosome-level genomic analyses provide insights into adaptive evolution of the red turpentine beetle, Dendroctonus valens. BMC Biol. 2022, 20, 190. [Google Scholar] [CrossRef]
- Marincowitz, S.; Duong, T.A.; Taerum, S.J.; de Beer, Z.W.; Wingfield, M.J. Fungal associates of an invasive pine-infesting bark beetle, Dendroctonus valens, including seven new Ophiostomatalean fungi. Persoonia 2020, 45, 177–195. [Google Scholar] [CrossRef]
- Six, D.L.; Bracewell, R. Dendroctonus. In Bark Beetles: Biology and Ecology of Native and Invasive Species; Vega, F.E., Hofstetter, R.W., Eds.; Academic Press: London, UK, 2015; pp. 305–350. [Google Scholar]
- Taerum, S.J.; Duong, T.A.; de Beer, Z.W.; Gillette, N.; Sun, J.-H.; Owen, D.R.; Wingfield, M.J. Large shift in symbiont assemblage in the invasive red turpentine beetle. PLoS ONE 2013, 8, e78126. [Google Scholar] [CrossRef]
- Klepzig, K.D.; Raffa, K.F.; Smalley, E.B. Association of an insect-fungal complex with red pine decline in Wisconsin. For. Sci. 1991, 37, 1119–1139. [Google Scholar] [CrossRef]
- Klepzig, K.D.; Smalley, E.B.; Raffa, K.F. Dendroctonus valens and Hylastes porculus (Coleoptera: Scolytidae): Vectors of pathogenic fungi (Ophiostomatales) associated with red pine decline disease. Great Lakes Entomol. 1995, 28, 81–87. [Google Scholar] [CrossRef]
- Minnesota DNR. Minnesota Forest Health Annual Report 2004. Minnesota Department of Natural Resources. 2004. Available online: https://files.dnr.state.mn.us/assistance/backyard/treecare/forest_health/annualreports/2004AnnualReport.pdf (accessed on 10 January 2025).
- Davis, T.S. The ecology of yeasts in the bark beetle holobiont: A century of research revisited. Microb. Ecol. 2015, 69, 723–732. [Google Scholar] [CrossRef]
- Pineda-Mendoza, R.M.; Gutiérrez-Ávila, J.L.; Salazar, K.F.; Rivera-Orduña, F.N.; Davis, T.S.; Zúñiga, G. Comparative metabarcoding and biodiversity of gut-associated fungal assemblages of Dendroctonus species (Curculionidae: Scolytinae). Front. Microbiol. 2024, 15, 1360488. [Google Scholar] [CrossRef]
- Adams, A.S.; Adams, S.A.; Currie, C.R.; Gillette, N.E.; Raffa, K.F. Geographic variation in bacterial communities associated with the red turpentine beetle (Coleoptera: Curculionidae). Environ. Entomol. 2010, 39, 406–414. [Google Scholar] [CrossRef]
- Adams, A.S.; Boone, C.K.; Bohlmann, J.; Raffa, K.F. Responses of bark beetle-associated bacteria to host monoterpenes and their relationship to insect life histories. J. Chem. Ecol. 2011, 37, 808–817. [Google Scholar] [CrossRef]
- Hernández-García, J.A.; Gonzalez-Escobedo, R.; Briones-Roblero, C.I.; Cano-Ramírez, C.; Rivera-Orduña, F.N.; Zúñiga, G. Gut bacterial communities of Dendroctonus valens and D. mexicanus (Curculionidae: Scolytinae): A metagenomic analysis across different geographical locations in Mexico. Int. J. Mol. Sci. 2018, 19, 2578. [Google Scholar] [CrossRef]
- Six, D.L. The bark beetle holobiont: Why microbes matter. J. Chem. Ecol. 2013, 39, 989–1002. [Google Scholar] [CrossRef] [PubMed]
- Bright, D.E. The bark beetles of Canada and Alaska. In the Insects and Arachnids of Canada, Part 2, the Bark Beetles of Canada and Alaska (Coleoptera: Scolytidae); Canada Department of Agriculture: Ottawa, ON, Canada; Biosystematics Research Institute: Ottawa, ON, Canada, 1976. [Google Scholar]
- Smith, R.H. Red turpentine beetle. In Forest Pest Leaflet; Forest Service: Washington, DC, USA, 1971; Volume 55, pp. 1–9. [Google Scholar]
- Gohl, D.M.; Vangay, P.; Garbe, J.; MacLean, A.; Hauge, A.; Becker, A.; Gould, T.J.; Clayton, J.B.; Johnson, T.J.; Hunter, R.; et al. Systematic improvement of amplicon marker gene methods for increased accuracy in microbiome studies. Nat. Biotechnol. 2016, 34, 942–949. [Google Scholar] [CrossRef] [PubMed]
- Blanchette, R.A.; Held, B.W.; Jurgens, J.; Stear, A.; Dupont, C. Fungi attacking historic wood of Fort Conger and the Peary Huts in the high arctic. PLoS ONE 2021, 16, e0246049. [Google Scholar] [CrossRef] [PubMed]
- Held, B.W.; Salomon, C.E.; Blanchette, R.A. Diverse subterranean fungi of an underground iron ore mine. PLoS ONE 2020, 15, e0234208. [Google Scholar] [CrossRef]
- Otto, E.C.; Held, B.W.; Gould, T.J.; Blanchette, R.A. Fungal diversity in multiple post-harvest aged red pine stumps and their potential influence on Heterobasidion root rot in managed stands across Minnesota. Front. Fungal Biol. 2021, 2, 782181. [Google Scholar] [CrossRef]
- Harrington, T.C. Cycloheximide sensitivity as a taxonomic character in Ceratocystis. Mycologia 1981, 73, 1123–1129. [Google Scholar] [CrossRef]
- Fergus, C.L. The influence of actidione on wood-staining fungi. Mycologia 1956, 48, 468–472. [Google Scholar] [CrossRef]
- Wingfield, B.D.; Wingfield, M.J.; Duong, T.A. Molecular basis of cycloheximide resistance in the Ophiostomatales revealed. Curr. Genet. 2022, 68, 505–514. [Google Scholar] [CrossRef] [PubMed]
- Worrall, J.J. Media for selective isolation of Hymenomycetes. Mycologia 1991, 83, 296–302. [Google Scholar] [CrossRef]
- Wang, H.; Qi, M.; Cutler, A.J. A simple method of preparing plant samples for PCR. Nucleic Acids Res. 1993, 21, 4153–4154. [Google Scholar] [CrossRef] [PubMed]
- Keriö, S.; Terhonen, E.; LeBoldus, J.M. Safe DNA-extraction protocol suitable for studying tree-fungus interactions. Bio-Protocol 2020, 10, e3634. [Google Scholar] [CrossRef]
- Gardes, M.; Bruns, T.D. ITS primers with enhanced specificity for Basidiomycetes: Application to identification of mycorrhizae and rusts. Mol. Ecol. 1993, 2, 113–118. [Google Scholar] [CrossRef]
- White, T.J.; Bruns, T.D.; Lee, S.; Taylor, J. Amplification and direct sequencing of fungal ribosomal RNA genes for phylogenetics. In PCR Protocols, a Guide to Methods and Applications; Innis, M.A., Gelfand, D.H., Sninsky, J.J., White, T.J., Eds.; Academic Press: San Diego, CA, USA, 1990; pp. 315–322. [Google Scholar]
- Marincowitz, S.; Duong, T.A.; de Beer, Z.W.; Wingfield, M.J. Cornuvesica: A little known mycophilic genus with a unique biology and unexpected new species. Fungal Biol. 2015, 119, 615–630. [Google Scholar] [CrossRef]
- Jacobs, K.; Bergdahl, D.R.; Wingfield, M.J.; Halik, S.; Seifert, K.A.; Bright, D.E.; Wingfield, B.D. Leptographium wingfieldii introduced into North America and found associated with exotic Tomicus piniperda and native bark beetles. Mycol. Res. 2004, 108, 411–418. [Google Scholar] [CrossRef]
- Vilgalys, R.; Hester, M. Rapid genetic identification and mapping of enzymatically amplified ribosomal DNA from several Cryptococcus species. J. Bacteriol. 1990, 172, 4238–4246. [Google Scholar] [CrossRef] [PubMed]
- De Beer, Z.W.; Procter, M.; Wingfield, M.J.; Marincowitz, S.; Duong, T.A. Generic boundaries in the Ophiostomatales reconsidered and revised. Stud. Mycol. 2022, 101, 57–120. [Google Scholar] [CrossRef]
- O’Donnell, K.; Cigelnik, E. Two divergent intragenomic rDNA ITS2 types within a monophyletic lineage of the fungus Fusarium are nonorthologous. Mol. Phylogenet. Evol. 1997, 7, 103–116. [Google Scholar] [CrossRef] [PubMed]
- Glass, N.L.; Donaldson, G.C. Development of primer sets designed for use with the PCR to amplify conserved genes from filamentous Ascomycetes. Appl. Environ. Microbiol. 1995, 61, 1323–1330. [Google Scholar] [CrossRef]
- Held, B.W.; Simeto, S.; Rajtar, N.N.; Cotton, A.J.; Showalter, D.N.; Bushley, K.E.; Blanchette, R.A. Fungi associated with galleries of the emerald ash borer. Fungal Biol. 2021, 125, 551–559. [Google Scholar] [CrossRef]
- Martin, M. Cutadapt removes adapter sequences from high-throughput sequencing reads. EMBnet J. 2011, 17, 10–12. [Google Scholar] [CrossRef]
- R Core Team. R: A Language and Environment for Statistical Computing. The R Foundation for Statistical Computing. 2024. Available online: https://www.R-project.org/ (accessed on 12 July 2024).
- Callahan, B.J.; McMurdie, P.J.; Rosen, M.J.; Han, A.W.; Johnson, A.J.A.; Holmes, S.P. DADA2: High-resolution sample inference from Illumina amplicon data. Nat. Methods 2016, 13, 581–583. [Google Scholar] [CrossRef]
- Abarenkov, K.; Zirk, A.; Piirmann, T.; Pöhönen, R.; Ivanov, F.; Nilsson, H.R.; Kõljalg, U. Full UNITE + INSD Dataset for Eukaryotes; UNITE Community: London, UK, 2024. [Google Scholar] [CrossRef]
- Quast, C.; Pruesse, E.; Yilmaz, P.; Gerken, J.; Schweer, T.; Yarza, P.; Peplies, J.; Glöckner, F.O. The SILVA ribosomal RNA gene database project: Improved data processing and web-based tools. Nucleic Acids Res. 2013, 41, D590–D596. [Google Scholar] [CrossRef]
- Crous, P.W.; Grams, W.; Stalpers, J.A.; Robert, V.; Stegehuis, G. MycoBank: An online initiative to launch mycology into the 21st century. Stud. Mycol. 2004, 50, 19–22. [Google Scholar]
- Chao, A.; Gotelli, N.J.; Hsieh, T.C.; Sander, E.L.; Ma, K.H.; Colwell, R.K.; Ellison, A.M. Rarefaction and extrapolation with Hill numbers: A framework for sampling and estimation in species diversity studies. Ecol. Monogr. 2014, 84, 45–67. [Google Scholar] [CrossRef]
- Hsieh, T.C.; Ma, K.H.; Chao, A. iNEXT: iNterpolation and EXTrapolation for Species Diversity; R Package 2024; iNeXT: Metro Manila, Philippines, 2024. [Google Scholar]
- Wickham, H.; Averick, M.; Bryan, J.; Chang, W.; McGowan, L.D.; François, R.; Grolemund, G.; Hayes, A.; Henry, L.; Hester, J.; et al. Welcome to the tidyverse. J. Open Source Softw. 2019, 4, 1686. [Google Scholar] [CrossRef]
- Wilke, C. Cowplot: Streamlined Plot Theme and Plot Annotations for ‘ggplot2’, R package version 2024; Wilke C.O.: Wilkes County, GA, USA, 2024. [Google Scholar]
- Oksanen, J.; Simpson, G.; Blanchet, F.; Kindt, R.; Legendre, P.; Minchin, P.; O’Hara, R.; Solymos, P.; Stevens, M.; Szoecs, E.; et al. Vegan: Community Ecology Package; R package 2024; Vegan: London, UK, 2024. [Google Scholar]
- McMurdie, P.J.; Holmes, S. Phyloseq: An R package for reproducible interactive analysis and graphics of microbiome census data. PLoS ONE 2013, 8, e61217. [Google Scholar] [CrossRef]
- Bates, D.; Maechler, M.; Bolker, B.; Walker, S. Fitting linear mixed-effects models using lme4. J. Stat. Softw. 2015, 67, 1–48. [Google Scholar] [CrossRef]
- Altschul, S.F.; Gish, W.; Miller, W.; Myers, E.W.; Lipman, D.J. Basic local alignment search tool. J. Mol. Biol. 1990, 215, 403–410. [Google Scholar] [CrossRef]
- Katoh, K.; Rozewicki, J.; Yamada, K.D. MAFFT online service: Multiple sequence alignment, interactive sequence choice and visualization. Brief. Bioinform. 2019, 20, 1160–1166. [Google Scholar] [CrossRef] [PubMed]
- Dereeper, A.; Guignon, V.; Blanc, G.; Audic, S.; Buffet, S.; Chevenet, F.; Dufayard, J.-F.; Guindon, S.; Lefort, V.; Lescot, M.; et al. Phylogeny.fr: Robust phylogenetic analysis for the non-specialist. Nucleic Acids Res. 2008, 36, W465–W469. [Google Scholar] [CrossRef]
- Castresana, J. Selection of conserved blocks from multiple alignments for their use in phylogenetic analysis. Mol. Biol. Evol. 2000, 17, 540–552. [Google Scholar] [CrossRef]
- Paradis, E.; Schliep, L. ape 5.0: An environment for modern phylogenetics and evolutionary analyses in R. Bioinformatics 2019, 35, 526–528. [Google Scholar] [CrossRef] [PubMed]
- Minh, B.Q.; Schmidt, H.A.; Chernomor, O.; Schrempf, D.; Woodhams, M.D.; von Haeseler, A.; Lanfear, R. IQ-TREE 2: New models and efficient methods for phylogenetic inference in the genomic era. Mol. Biol. Evol. 2020, 37, 1530–1534. [Google Scholar] [CrossRef]
- Harrington, T.C. Ecology and evolution of mycophagous bark beetles and their fungal partners. In Ecological Evolutionary Advances in Insect-Fungal Associations; Vega, F.E., Blackwell, M., Eds.; Oxford University Press: New York, NY, USA, 2005; pp. 257–291. [Google Scholar]
- Koski, T.-M.; Zhang, B.; Mogouong, J.; Wang, H.; Chen, Z.; Li, H.; Bushley, K.E.; Sun, J. Distinct metabolites affect the phloem fungal communities in ash trees (Fraxinus spp.) native and nonnative to the highly invasive emerald ash borer (Agrilus planipennis). Plant Cell Environ. 2024, 47, 4116–4134. [Google Scholar] [CrossRef]
- Herms, D.A.; McCullough, D.G. Emerald ash borer invasion of North America: History, biology, ecology, impacts, and management. Annu. Rev. Entomol. 2014, 59, 13–30. [Google Scholar] [CrossRef]
- Madden, A.A.; Epps, M.J.; Fukami, T.; Irwin, R.E.; Sheppard, J.; Sorger, D.M.; Dunn, R.R. The ecology of insect-yeast relationships and its relevance to human industry. Proc. R. Soc. B 2018, 285, 20172733. [Google Scholar] [CrossRef] [PubMed]
- Lou, Q.-Z.; Lu, M.; Sun, J.-H. Yeast diversity associated with invasive Dendroctonus valens killing Pinus tabuliformis in China using culturing and molecular methods. Microb. Ecol. 2014, 68, 397–415. [Google Scholar] [CrossRef] [PubMed]
- Soto-Robles, L.V.; Torres-Banda, V.; Rivera-Orduña, F.N.R.; Curiel-Quesada, E.; Hidalgo-Lara, M.E.; Zúñiga, G. An overview of genes from Cyberlindnera americana, a symbiont yeast isolated from the gut of the bark beetle Dendroctonus rhizophagus (Curculionidae: Scolytinae), involved in the detoxification process using genome and transcriptome data. Front. Microbiol. 2019, 10, 2180. [Google Scholar] [CrossRef] [PubMed]
- Bizarria, R.; Pietrobon, T.D.C.; Kooij, P.W.; Rodrigues, A. When two species meet: A potential beetle-yeast facultative mutualism. Environ. Microbiol. Rep. 2025, 17, e70156. [Google Scholar] [CrossRef]
- Kirkendall, L.R.; Biedermann, P.H.W.; Jordal, B.H. Evolution and diversity of bark and ambrosia beetles. In Bark Beetles: Biology and Ecology of Native and Invasive Species; Vega, F.E., Hofstetter, R.W., Eds.; Academic Press: London, UK, 2015; pp. 86–156. [Google Scholar]
- Mann, A.J. The Fungi and Bacteria Associated with Three Tree-Killing Beetles: From New Species to Complex Communities. Ph.D. Thesis, University of Minnesota, Saint Paul, MN, USA, April 2025. [Google Scholar]
- Taerum, S.J.; Hoareau, T.B.; Duong, T.A.; de Beer, Z.W.; Jankowiak, R.; Wingfield, M.J. Putative origins of the fungus Leptographium procerum. Fungal Biol. 2017, 121, 82–94. [Google Scholar] [CrossRef]
Disclaimer/Publisher’s Note: The statements, opinions and data contained in all publications are solely those of the individual author(s) and contributor(s) and not of MDPI and/or the editor(s). MDPI and/or the editor(s) disclaim responsibility for any injury to people or property resulting from any ideas, methods, instructions or products referred to in the content. |
© 2025 by the authors. Licensee MDPI, Basel, Switzerland. This article is an open access article distributed under the terms and conditions of the Creative Commons Attribution (CC BY) license (https://creativecommons.org/licenses/by/4.0/).