Trend Shifts in Vegetation Greening and Responses to Drought in Central Asia, 1982–2022
Abstract
1. Introduction
2. Materials and Methods
2.1. Study Area
2.2. Data
2.3. Methods
2.3.1. Trend Analysis
2.3.2. Pearson Correlation Analysis
2.3.3. Accumulated Effect of Drought on the NDVI
2.3.4. Lagged Effect of Drought on the NDVI
2.3.5. 5-Year Moving Average Method
3. Results
3.1. Spatio-Temporal Variations in Vegetation in Central Asia
3.1.1. Spatial Distribution Change in NDVI
3.1.2. General Interannual Changes in NDVI
3.1.3. Spatial Distribution of NDVI Variation Trends
3.2. Spatio-Temporal Variations in Droughts and Their Relationship with the NDVI in Central Asia
3.3. Accumulated Effect of Drought on the Grassland NDVI
3.3.1. Spatial Distribution of the Accumulated Effect of Drought
3.3.2. Temporal Characteristics of the Accumulated Effect of Drought
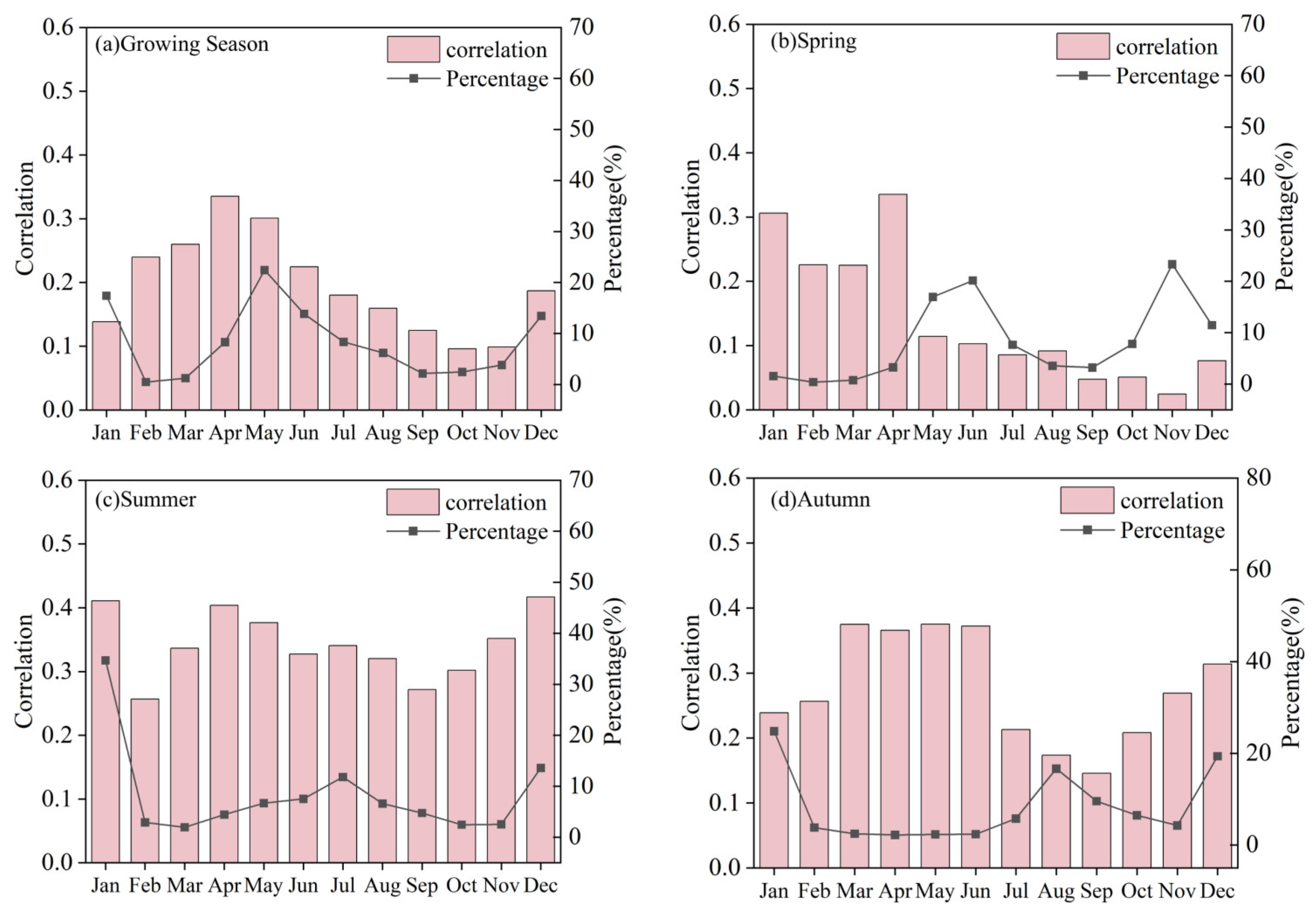
3.4. Lagged Effect of Drought on the Grassland NDVI
3.4.1. Spatial Distribution of the Lagged Effect of Drought
3.4.2. Temporal Characteristics of the Lagged Effect of Drought
4. Discussion
4.1. Spatio-Temporal Distributions of Vegetation and Drought
4.2. Responses of NDVI to Droughts
5. Conclusions
Author Contributions
Funding
Data Availability Statement
Acknowledgments
Conflicts of Interest
Appendix A
Appendix A.1. Five-Year Moving Average of the Annual NDVI



Appendix A.2. The Spatial Distribution of SPEI Before and After 1998


Appendix A.3. The Spatial Distribution of the SC_PDSI Before and After 1998


Appendix A.4. Spatial Distribution of the SC_PDSI Correlation with the NDVI




References
- Rastetter, E.B.; Griffin, K.L.; Kwiatkowski, B.L.; Kling, G.W. Ecosystem Feedbacks Constrain the Effect of Day-to-Day Weather Variability on Land–Atmosphere Carbon Exchange. Glob. Change Biol. 2023, 29, 6093–6105. [Google Scholar] [CrossRef] [PubMed]
- Piao, S.; Wang, X.; Park, T.; Chen, C.; Lian, X.; He, Y.; Bjerke, J.W.; Chen, A.; Ciais, P.; Tømmervik, H.; et al. Characteristics, Drivers and Feedbacks of Global Greening. Nat. Rev. Earth Environ. 2020, 1, 14–27. [Google Scholar] [CrossRef]
- Taddeo, S.; Dronova, I. Indicators of Vegetation Development in Restored Wetlands. Ecol. Indic. 2018, 94, 454–467. [Google Scholar] [CrossRef]
- IPCC. Climate Change 2021: The Physical Science Basis; Cambridge University Press: Cambridge, UK, 2021. [Google Scholar] [CrossRef]
- Huang, J.; Yu, H.; Guan, X.; Wang, G.; Guo, R. Accelerated Dryland Expansion under Climate Change. Nat. Clim. Change 2016, 6, 166–171. [Google Scholar] [CrossRef]
- Dikshit, A.; Pradhan, B.; Huete, A.; Park, H.-J. Spatial Based Drought Assessment: Where Are We Heading? A Review on the Current Status and Future. Sci. Total Environ. 2022, 844, 157239. [Google Scholar] [CrossRef]
- Li, D.; An, L.; Zhong, S.; Shen, L.; Wu, S. Declining Coupling between Vegetation and Drought over the Past Three Decades. Glob. Change Biol. 2024, 30, e17141. [Google Scholar] [CrossRef]
- Shi, M.; Lin, F.; Jing, X.; Li, B.; Qin, J.; Wang, M.; Shi, Y.; Hu, Y. Research on the Spatio-Temporal Changes of Vegetation and Its Driving Forces in Shaanxi Province in the Past 20 Years. Sustainability 2023, 15, 16468. [Google Scholar] [CrossRef]
- Zhu, Z.; Piao, S.; Myneni, R.B.; Huang, M.; Zeng, Z.; Canadell, J.G.; Ciais, P.; Sitch, S.; Friedlingstein, P.; Arneth, A.; et al. Greening of the Earth and Its Drivers. Nat. Clim. Change 2016, 6, 791–795. [Google Scholar] [CrossRef]
- Yuan, W.; Zheng, Y.; Piao, S.; Ciais, P.; Lombardozzi, D.; Wang, Y.; Ryu, Y.; Chen, G.; Dong, W.; Hu, Z.; et al. Increased Atmospheric Vapor Pressure Deficit Reduces Global Vegetation Growth. Sci. Adv. 2019, 5, eaax1396. [Google Scholar] [CrossRef]
- Higgins, S.I.; Conradi, T.; Muhoko, E. Shifts in Vegetation Activity of Terrestrial Ecosystems Attributable to Climate Trends. Nat. Geosci. 2023, 16, 147–153. [Google Scholar] [CrossRef]
- Tangjialeke, W.; Zou, J.; Ding, J.; Yahefujiang, H.; Huang, S.; Li, J. Analysis of Drought Response Thresholds and Drought-Causing Factors of Central Asian Vegetation. Ecol. Indic. 2024, 169, 112926. [Google Scholar] [CrossRef]
- Zhao, A.; Zhang, A.; Cao, S.; Liu, X.; Liu, J.; Cheng, D. Responses of Vegetation Productivity to Multi-Scale Drought in Loess Plateau, China. Catena 2018, 163, 165–171. [Google Scholar] [CrossRef]
- McKee, T.B.; Doesken, N.J.; Kleist, J. The Relationship of Drought Frequency and Duration to Time Scales. In Proceedings of the 8th Conference on Applied Climatology, Anaheim, CA, USA, 17–22 January 1993; pp. 179–184. [Google Scholar]
- Newman, J.E.; Oliver, J.E. Palmer Index/Palmer Drought Severity Index. In Encyclopedia of World Climatology; Oliver, J.E., Ed.; Springer Netherlands: Dordrecht, The Netherlands, 2005; pp. 571–573. ISBN 978-1-4020-3266-0. [Google Scholar]
- Wells, N.; Goddard, S.; Hayes, M.J. A Self-Calibrating Palmer Drought Severity Index. J. Clim. 2004, 17, 2335–2351. [Google Scholar] [CrossRef]
- Vicente-Serrano, S.M.; Begueria, S.; Lopez-Moreno, J.I. A Multiscalar Drought Index Sensitive to Global Warming: The Standardized Precipitation Evapotranspiration Index. J. Clim. 2010, 23, 1696–1718. [Google Scholar] [CrossRef]
- Thornthwaite, C.W. An Approach toward a Rational Classification of Climate. Geogr. Rev. 1948, 38, 55–94. [Google Scholar] [CrossRef]
- Liu, Y.; Zhu, Y.; Ren, L.; Singh, V.P.; Yang, X.; Yuan, F. A Multiscalar Palmer Drought Severity Index. Geophys. Res. Lett. 2017, 44, 6850–6858. [Google Scholar] [CrossRef]
- Jiang, W.; Yuan, L.; Wang, W.; Cao, R.; Zhang, Y.; Shen, W. Spatio-Temporal Analysis of Vegetation Variation in the Yellow River Basin. Ecol. Indic. 2015, 51, 117–126. [Google Scholar] [CrossRef]
- Liu, Z.; Wang, H.; Li, N.; Zhu, J.; Pan, Z.; Qin, F. Spatial and Temporal Characteristics and Driving Forces of Vegetation Changes in the Huaihe River Basin from 2003 to 2018. Sustainability 2020, 12, 2198. [Google Scholar] [CrossRef]
- Zhao, Z.; Hao, X.; Fan, X.; Zhang, J.; Zhang, S.; Li, X. Actual Evapotranspiration Dominates Drought in Central Asia. Remote Sens. 2023, 15, 4557. [Google Scholar] [CrossRef]
- Deng, H.; Yin, Y.; Han, X. Vulnerability of Vegetation Activities to Drought in Central Asia. Environ. Res. Lett. 2020, 15, 084005. [Google Scholar] [CrossRef]
- Mukherjee, S.; Mishra, A.; Trenberth, K.E. Climate Change and Drought: A Perspective on Drought Indices. Curr. Clim. Change Rep. 2018, 4, 145–163. [Google Scholar] [CrossRef]
- Sun, G.-Q.; Li, L.; Li, J.; Liu, C.; Wu, Y.-P.; Gao, S.; Wang, Z.; Feng, G.-L. Impacts of Climate Change on Vegetation Pattern: Mathematical Modeling and Data Analysis. Phys. Life Rev. 2022, 43, 239–270. [Google Scholar] [CrossRef]
- Braswell, B.H.; Schimel, D.S.; Linder, E.; Moore, B. The Response of Global Terrestrial Ecosystems to Interannual Temperature Variability. Science 1997, 278, 870–873. [Google Scholar] [CrossRef]
- Liu, L. Cumulative Effects of Drought Have an Impact on Net Primary Productivity Stability in Central Asian Grasslands. J. Environ. Manag. 2023, 344, 118734. [Google Scholar] [CrossRef]
- Nie, X.; Zhang, X.; Hao, F.; Li, X.; De Boeck, H.J.; Fu, Y.H. Turning Points in Vegetation Phenology Trends and Their Relationship to Climate in Arid Central Asia. J. Geophys. Res. Biogeosci. 2024, 129, e2023JG007989. [Google Scholar] [CrossRef]
- Sheffield, J.; Wood, E.F. Projected Changes in Drought Occurrence under Future Global Warming from Multi-Model, Multi-Scenario, IPCC AR4 Simulations. Clim. Dyn. 2008, 31, 79–105. [Google Scholar] [CrossRef]
- Jiang, L.; Jiapaer, G.; Bao, A.; Guo, H.; Ndayisaba, F. Vegetation Dynamics and Responses to Climate Change and Human Activities in Central Asia. Sci. Total Environ. 2017, 599, 967–980. [Google Scholar] [CrossRef] [PubMed]
- Sun, Y.; Chen, X.; Yu, Y.; Qian, J.; Wang, M.; Huang, S.; Xing, X.; Song, S.; Sun, X. Spatiotemporal Characteristics of Drought in Central Asia from 1981 to 2020. Atmosphere 2022, 13, 1496. [Google Scholar] [CrossRef]
- Yang, M.; Zou, J.; Ding, J.; Zou, W.; Yahefujiang, H. Stronger Cumulative than Lagged Effects of Drought on Vegetation in Central Asia. Forests 2023, 14, 2142. [Google Scholar] [CrossRef]
- Vicente-Serrano, S.M.; Gouveia, C.; Julio Camarero, J.; Begueria, S.; Trigo, R.; Lopez-Moreno, J.I.; Azorin-Molina, C.; Pasho, E.; Lorenzo-Lacruz, J.; Revuelto, J.; et al. Response of Vegetation to Drought Time-Scales across Global Land Biomes. Proc. Natl. Acad. Sci. USA 2013, 110, 52–57. [Google Scholar] [CrossRef] [PubMed]
- Yuan, X.; Wang, W.; Cui, J.; Meng, F.; Kurban, A.; De Maeyer, P. Vegetation Changes and Land Surface Feedbacks Drive Shifts in Local Temperatures over Central Asia. Sci. Rep. 2017, 7, 3287. [Google Scholar] [CrossRef]
- Hao, X.; Fan, X.; Zhao, Z.; Zhang, J. Spatiotemporal Patterns of Evapotranspiration in Central Asia from 2000 to 2020. Remote Sens. 2023, 15, 1150. [Google Scholar] [CrossRef]
- Li, M.; Cao, S.; Zhu, Z.; Wang, Z.; Myneni, R.B.; Piao, S. Spatiotemporally Consistent Global Dataset of the GIMMS Normalized Difference Vegetation Index (PKU GIMMS NDVI) from 1982 to 2022. Earth Syst. Sci. Data 2023, 15, 4181–4203. [Google Scholar] [CrossRef]
- Liu, Y.; Li, Z.; Chen, Y.; Li, Y.; Li, H.; Xia, Q.; Kayumba, P.M. Evaluation of Consistency among Three NDVI Products Applied to High Mountain Asia in 2000–2015. Remote Sens. Environ. 2022, 269, 112821. [Google Scholar] [CrossRef]
- Keersmaecker, W.D.; Lhermitte, S.; Tits, L.; Honnay, O.; Somers, B.; Coppin, P. A Model Quantifying Global Vegetation Resistance and Resilience to Short-term Climate Anomalies and Their Relationship with Vegetation Cover. Glob. Ecol. Biogeogr. 2015, 24, 507–610. [Google Scholar] [CrossRef]
- Mondal, S.K.; An, S.-I.; Min, S.-K.; Jiang, T.; Su, B. Enhanced Soil Moisture-Temperature Coupling Could Exacerbate Drought under Net-Negative Emissions. npj Clim. Atmos. Sci. 2024, 7, 265. [Google Scholar] [CrossRef]
- Liu, S.; Tian, Y.; Yin, Y.; An, N.; Dong, S. Temporal Dynamics of Vegetation NDVI and Its Response to Drought Conditions in Yunnan Province. Acta Ecol. Sin. 2016, 36, 4699–4707. [Google Scholar] [CrossRef]
- Zhang, X.; Liu, L.; Chen, X.; Gao, Y.; Xie, S.; Mi, J. GLC_FCS30: Global Land-Cover Product with Fine Classification System at 30m Using Time-Series Landsat Imagery. Earth Syst. Sci. Data 2021, 13, 2753–2776. [Google Scholar] [CrossRef]
- Hou, W.; Gao, J.; Wu, S.; Dai, E. Interannual Variations in Growing-Season NDVI and Its Correlation with Climate Variables in the Southwestern Karst Region of China. Remote Sens. 2015, 7, 11105–11124. [Google Scholar] [CrossRef]
- Basarin, B.; Lukić, T.; Pavić, D.; Wilby, R.L. Trends and Multi-annual Variability of Water Temperatures in the River Danube, Serbia. Hydrol. Process. 2016, 30, 3105–3336. [Google Scholar] [CrossRef]
- Zhang, Q.; Harman, C.J.; Ball, W.P. An Improved Method for Interpretation of Riverine Concentration-Discharge Relationships Indicates Long-Term Shifts in Reservoir Sediment Trapping. Geophys. Res. Lett. 2016, 43, 10215–10224. [Google Scholar] [CrossRef]
- Sen, P.K. Estimates of the Regression Coefficient Based on Kendall’s Tau. J. Am. Stat. Assoc. 1968, 63, 1379–1389. [Google Scholar] [CrossRef]
- Mann, H.B. Nonparametric Tests against Trend. Econometrica 1945, 13, 245–259. [Google Scholar] [CrossRef]
- Ji, L.; Peters, A.J. Assessing Vegetation Response to Drought in the Northern Great Plains Using Vegetation and Drought Indices. Remote Sens. Environ. 2003, 87, 85–98. [Google Scholar] [CrossRef]
- Piao, S.; Nan, H.; Huntingford, C.; Ciais, P.; Friedlingstein, P.; Sitch, S.; Peng, S.; Ahlström, A.; Canadell, J.G.; Cong, N.; et al. Evidence for a Weakening Relationship between Interannual Temperature Variability and Northern Vegetation Activity. Nat. Commun. 2014, 5, 5018. [Google Scholar] [CrossRef]
- Tong, S.; Zhang, J.; Ha, S.; Lai, Q.; Ma, Q. Dynamics of Fractional Vegetation Coverage and Its Relationship with Climate and Human Activities in Inner Mongolia, China. Remote Sens. 2016, 8, 776. [Google Scholar] [CrossRef]
- Xu, H.; Wang, X.; Yang, T. Trend Shifts in Satellite-Derived Vegetation Growth in Central Eurasia, 1982–2013. Sci. Total Environ. 2017, 579, 1658–1674. [Google Scholar] [CrossRef]
- Xu, H.; Wang, X.; Zhang, X. Decreased Vegetation Growth in Response to Summer Drought in Central Asia from 2000 to 2012. Int. J. Appl. Earth Obs. Geoinf. 2016, 52, 390–402. [Google Scholar] [CrossRef]
- van Vliet, M.T.H.; Sheffield, J.; Wiberg, D.; Wood, E.F. Impacts of Recent Drought and Warm Years on Water Resources and Electricity Supply Worldwide. Environ. Res. Lett. 2016, 11, 124021. [Google Scholar] [CrossRef]
- Foster, G.; Rahmstorf, S. Global Temperature Evolution 1979–2010. Environ. Res. Lett. 2011, 6, 44022. [Google Scholar] [CrossRef]
- Li, Z.; Chen, Y.; Shen, Y.; Liu, Y.; Zhang, S. Analysis of Changing Pan Evaporation in the Arid Region of Northwest China. Water Resour. Res. 2013, 49, 2205–2212. [Google Scholar] [CrossRef]
- Yuan, B.; Guo, S.; Zhang, X.; Mu, H.; Cao, S.; Xia, Z.; Pan, X.; Du, P. Quantifying the Drought Sensitivity of Vegetation Types in Northern China from 1982 to 2022. Agric. For. Meteorol. 2024, 359, 110293. [Google Scholar] [CrossRef]
- Li, Z.; Chen, Y.; Li, W.; Deng, H.; Fang, G. Potential Impacts of Climate Change on Vegetation Dynamics in Central Asia. J. Geophys. Res. Atmos. 2015, 120, 12345–12356. [Google Scholar] [CrossRef]
- Gao, M.; Piao, S.; Chen, A.; Yang, H.; Liu, Q.; Fu, Y.H.; Janssens, I.A. Divergent Changes in the Elevational Gradient of Vegetation Activities over the Last 30 Years. Nat. Commun. 2019, 10, 2970. [Google Scholar] [CrossRef]
- Fang, W.; Huang, S.; Huang, Q.; Huang, G.; Wang, H.; Leng, G.; Wang, L.; Guo, Y. Probabilistic Assessment of Remote Sensing-Based Terrestrial Vegetation Vulnerability to Drought Stress of the Loess Plateau in China. Remote Sens. Environ. 2019, 232, 111290. [Google Scholar] [CrossRef]
- Yao, M.; Li, J.; Zheng, C.; Yao, M.; Zhu, Z. How Predictable Is the Anomaly Pattern of Summer Extreme High-Temperature Days over Central Asia? Clim. Dyn. 2024, 62, 7651–7664. [Google Scholar] [CrossRef]
- Wang, C.; Li, Z.; Chen, Y.; Li, Y.; Liu, X.; Hou, Y.; Wang, X.; Kulaixi, Z.; Sun, F. Increased Compound Droughts and Heatwaves in a Double Pack in Central Asia. Remote Sens. 2022, 14, 2959. [Google Scholar] [CrossRef]
- Lee, E.; He, Y.; Zhou, M.; Liang, J. Potential Feedback of Recent Vegetation Changes on Summer Rainfall in the Sahel. Phys. Geogr. 2015, 36, 449–470. [Google Scholar] [CrossRef]
- Duveiller, G.; Hooker, J.; Cescatti, A. The Mark of Vegetation Change on Earth’s Surface Energy Balance. Nat. Commun. 2018, 9, 679. [Google Scholar] [CrossRef] [PubMed]
- Kong, D.; Miao, C.; Duan, Q.; Lei, X.; Li, H. Vegetation-Climate Interactions on the Loess Plateau: A Nonlinear Granger Causality Analysis. J. Geophys. Res. Atmos. 2018, 123, 11068–11079. [Google Scholar] [CrossRef]
- Tao, J.; Zhang, Y.; Dong, J.; Fu, Y.; Zhu, J.; Zhang, G.; Jiang, Y.; Tian, L.; Zhang, X.; Zhang, T.; et al. Elevation-Dependent Relationships between Climate Change and Grassland Vegetation Variation across the Qinghai-Xizang Plateau. Int. J. Climatol. 2015, 35, 1638–1647. [Google Scholar] [CrossRef]
- Chen, X.; Wang, J.; Pan, F.; Huang, B.; Bi, P.; Huang, N.; Gao, R.; Men, J.; Zhang, F.; Huang, Z.; et al. Summer Atmospheric Drying Could Contribute More to Soil Moisture Change than Spring Vegetation Greening. npj Clim. Atmos. Sci. 2024, 7, 296. [Google Scholar] [CrossRef]
- McDowell, N.; Pockman, W.T.; Allen, C.D.; Breshears, D.D.; Cobb, N.; Kolb, T.; Plaut, J.; Sperry, J.; West, A.; Williams, D.G.; et al. Mechanisms of Plant Survival and Mortality during Drought: Why Do Some Plants Survive While Others Succumb to Drought? New Phytol. 2008, 178, 693–897. [Google Scholar] [CrossRef]
- Nippert, J.B.; Holdo, R.M. Challenging the Maximum Rooting Depth Paradigm in Grasslands and Savannas. Funct. Ecol. 2015, 29, 739–745. [Google Scholar] [CrossRef]
- Ivits, E.; Horion, S.; Fensholt, R.; Cherlet, M. Drought Footprint on European Ecosystems between 1999 and 2010 Assessed by Remotely Sensed Vegetation Phenology and Productivity. Glob. Change Biol. 2014, 20, 581–593. [Google Scholar] [CrossRef] [PubMed]
- Zhang, Y.; Peng, C.; Li, W.; Tian, L.; Zhu, Q.; Chen, H.; Fang, X.; Zhang, G.; Liu, G.; Mu, X.; et al. Multiple Afforestation Programs Accelerate the Greenness in the “three North” Region of China from 1982 to 2013. Ecol. Indic. 2016, 61, 404–412. [Google Scholar] [CrossRef]
- Li, C.; Fu, B.; Wang, S.; Stringer, L.C.; Wang, Y.; Li, Z.; Liu, Y.; Zhou, W. Drivers and Impacts of Changes in China’s Drylands. Nat. Rev. Earth Environ. 2021, 2, 858–873. [Google Scholar] [CrossRef]
- Micklin, P. The Future Aral Sea: Hope and Despair. Environ. Earth Sci. 2016, 75, 844. [Google Scholar] [CrossRef]
- Hu, Z.; Zhang, C.; Hu, Q.; Tian, H. Temperature Changes in Central Asia from 1979 to 2011 Based on Multiple Datasets. J. Clim. 2014, 27, 1143–1167. [Google Scholar] [CrossRef]
- Su, Y.; Chen, S.; Li, X.; Ma, S.; Xie, T.; Wang, J.; Yan, D.; Chen, J.; Feng, M.; Chen, F. Changes in Vegetation Greenness and Its Response to Precipitation Seasonality in Central Asia from 1982 to 2022. Environ. Res. Lett. 2023, 18, 104002. [Google Scholar] [CrossRef]














Disclaimer/Publisher’s Note: The statements, opinions and data contained in all publications are solely those of the individual author(s) and contributor(s) and not of MDPI and/or the editor(s). MDPI and/or the editor(s) disclaim responsibility for any injury to people or property resulting from any ideas, methods, instructions or products referred to in the content. |
© 2025 by the authors. Licensee MDPI, Basel, Switzerland. This article is an open access article distributed under the terms and conditions of the Creative Commons Attribution (CC BY) license (https://creativecommons.org/licenses/by/4.0/).
Share and Cite
Pei, H.; Li, G.; Wang, Y.; Peng, J.; Li, M.; Yao, J.; Wei, T. Trend Shifts in Vegetation Greening and Responses to Drought in Central Asia, 1982–2022. Forests 2025, 16, 1575. https://doi.org/10.3390/f16101575
Pei H, Li G, Wang Y, Peng J, Li M, Yao J, Wei T. Trend Shifts in Vegetation Greening and Responses to Drought in Central Asia, 1982–2022. Forests. 2025; 16(10):1575. https://doi.org/10.3390/f16101575
Chicago/Turabian StylePei, Haiying, Gangyong Li, Yang Wang, Jian Peng, Moyan Li, Junqiang Yao, and Tianfeng Wei. 2025. "Trend Shifts in Vegetation Greening and Responses to Drought in Central Asia, 1982–2022" Forests 16, no. 10: 1575. https://doi.org/10.3390/f16101575
APA StylePei, H., Li, G., Wang, Y., Peng, J., Li, M., Yao, J., & Wei, T. (2025). Trend Shifts in Vegetation Greening and Responses to Drought in Central Asia, 1982–2022. Forests, 16(10), 1575. https://doi.org/10.3390/f16101575
