Impacts of Harvesting and Prescribed Burning on Forest Soil Carbon Dynamics: A Global Meta-Analysis
Abstract
1. Introduction
2. Materials and Methods
2.1. Data Collection and Compilation
2.2. Data Extraction
2.3. Data Analysis
3. Results
3.1. Management Effects on Soil Properties and Respiration Components
3.2. Responses of Soil Pools and Carbon Fluxes to Management Strategies, Climate, and Recovery Stage
3.2.1. Clearcutting
3.2.2. Thinning
3.2.3. Prescribed Burning
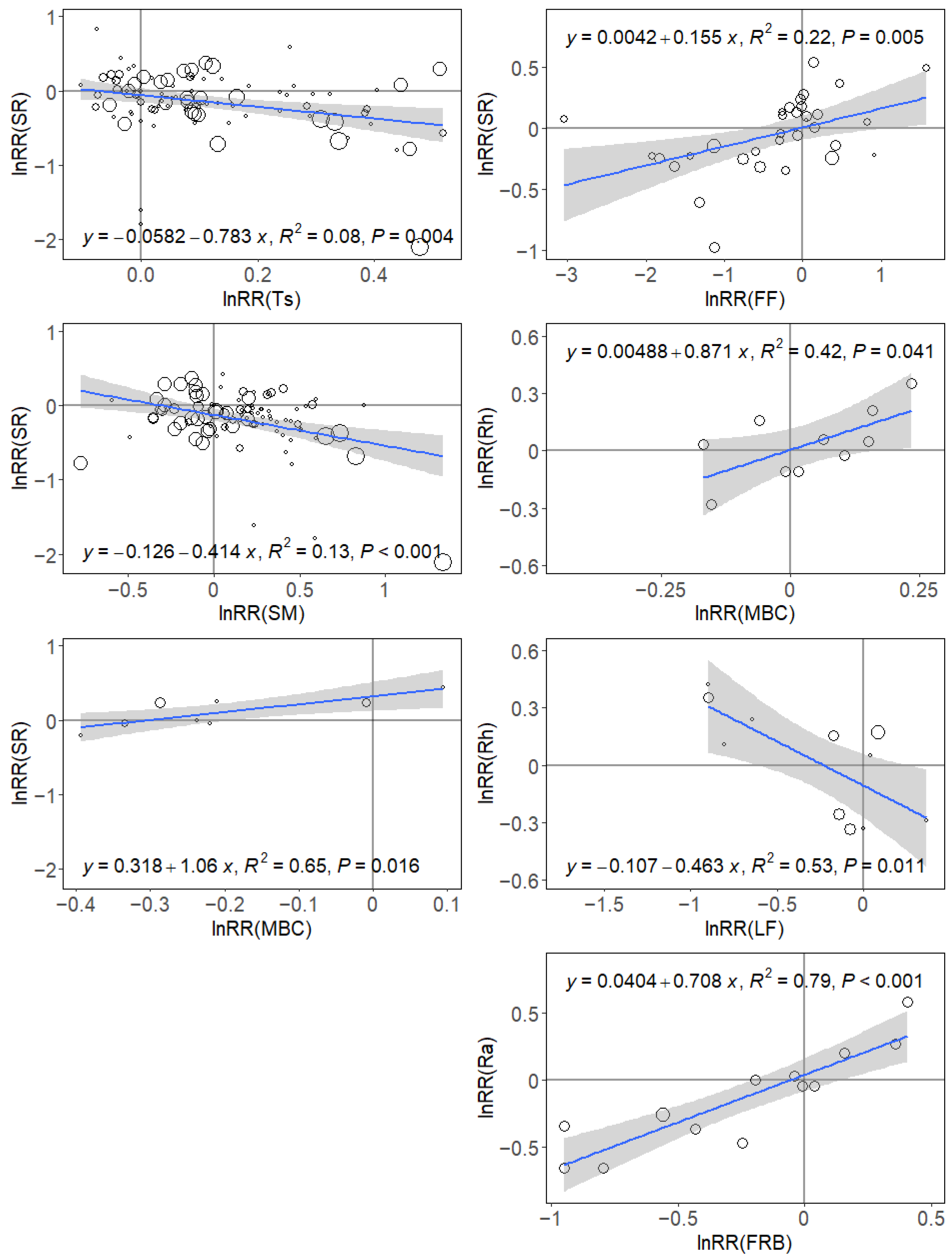
3.3. Relationship Between Soil Respiration Components and Biophysical Variables
4. Discussion
4.1. Effects of Forest Management on Above- and Belowground Biomass and Soil Respiration Components
4.2. Effects of Forest Management on Soil Environment and Properties
4.3. Effects of Repeated and Post-Treatment Burns on Soil Dynamics and Respiration
5. Conclusions
Supplementary Materials
Author Contributions
Funding
Data Availability Statement
Conflicts of Interest
References
- Bonan, G.B. Forests and Climate Change: Forcings, Feedbacks, and the Climate Benefits of Forests. Science 2008, 320, 1444–1449. [Google Scholar] [CrossRef]
- Pan, Y.; Birdsey, R.A.; Fang, J.; Houghton, R.; Kauppi, P.E.; Kurz, W.A.; Phillips, O.L.; Shvidenko, A.; Lewis, S.L.; Canadell, J.G.; et al. A Large and Persistent Carbon Sink in the World’s Forests. Science 2011, 333, 988–993. [Google Scholar] [CrossRef]
- Xu, H.; He, B.; Guo, L.; Yan, X.; Zeng, Y.; Yuan, W.; Zhong, Z.; Tang, R.; Yang, Y.; Liu, H.; et al. Global Forest Plantations Mapping and Biomass Carbon Estimation. J. Geophys. Res. Biogeosci. 2024, 129, e2023JG007441. [Google Scholar] [CrossRef]
- FAO. Global Forest Resources Assessment 2015: How Are the World’s Forests Changing? FAO: Rome, Italy, 2016. [Google Scholar]
- Bond-Lamberty, B.; Bailey, V.L.; Chen, M.; Gough, C.M.; Vargas, R. Globally rising soil heterotrophic respiration over recent decades. Nature 2018, 560, 80–83. [Google Scholar] [CrossRef]
- Gibbs, D.A.; Rose, M.; Grassi, G.; Melo, J.; Rossi, S.; Heinrich, V.; Harris, N.L. Revised and updated geospatial monitoring of 21st century forest carbon fluxes. Earth Syst. Sci. Data 2025, 17, 1217–1243. [Google Scholar] [CrossRef]
- Pan, Y.; Birdsey, R.A.; Phillips, O.L.; Houghton, R.A.; Fang, J.; Kauppi, P.E.; Keith, H.; Kurz, W.A.; Ito, A.; Lewis, S.L.; et al. The enduring world forest carbon sink. Nature 2024, 631, 563–569. [Google Scholar] [CrossRef] [PubMed]
- Kalies, E.L.; Kent, L.L.Y. Tamm Review: Are fuel treatments effective at achieving ecological and social objectives? A systematic review. For. Ecol. Manag. 2016, 375, 84–95. [Google Scholar] [CrossRef]
- Mayer, M.; Prescott, C.E.; Abaker, W.E.A.; Augusto, L.; Cécillon, L.; Ferreira, G.W.D.; James, J.; Jandl, R.; Katzensteiner, K.; Laclau, J.-P.; et al. Tamm Review: Influence of forest management activities on soil organic carbon stocks: A knowledge synthesis. For. Ecol. Manag. 2020, 466, 118127. [Google Scholar] [CrossRef]
- Ameray, A.; Bergeron, Y.; Valeria, O.; Montoro Girona, M.; Cavard, X. Forest Carbon Management: A Review of Silvicultural Practices and Management Strategies Across Boreal, Temperate and Tropical Forests. Curr. For. Rep. 2021, 7, 245–266. [Google Scholar] [CrossRef]
- Kaarakka, L.; Cornett, M.; Domke, G.; Ontl, T.; Dee, L.E. Improved forest management as a natural climate solution: A review. Ecol. Solut. Evid. 2021, 2, e12090. [Google Scholar] [CrossRef]
- Jandl, R.; Lindner, M.; Vesterdal, L.; Bauwens, B.; Baritz, R.; Hagedorn, F.; Johnson, D.W.; Minkkinen, K.; Byrne, K.A. How strongly can forest management influence soil carbon sequestration? Geoderma 2007, 137, 253–268. [Google Scholar] [CrossRef]
- Noormets, A.; Epron, D.; Domec, J.C.; McNulty, S.G.; Fox, T.; Sun, G.; King, J.S. Effects of forest management on productivity and carbon sequestration: A review and hypothesis. For. Ecol. Manag. 2015, 355, 124–140. [Google Scholar] [CrossRef]
- Liu, Y.; Liu, S.; Wan, S.; Wang, J.; Wang, H.; Liu, K. Effects of experimental throughfall reduction and soil warming on fine root biomass and its decomposition in a warm temperate oak forest. Sci. Total Environ. 2017, 574, 1448–1455. [Google Scholar] [CrossRef] [PubMed]
- Zummo, L.M.; Friedland, A.J. Soil carbon release along a gradient of physical disturbance in a harvested northern hardwood forest. For. Ecol. Manag. 2011, 261, 1016–1026. [Google Scholar] [CrossRef]
- Akande, O.J.; Ma, Z.L.; Huang, C.Y.; He, F.L.; Chang, S.X. Meta-analysis shows forest soil CO2 effluxes are dependent on the disturbance regime and biome type. Ecol. Lett. 2023, 26, 765–777. [Google Scholar] [CrossRef]
- Gui, H.; Wang, J.; Hu, M.; Zhou, Z.; Wan, S. Impacts of fire on soil respiration and its components: A global meta-analysis. Agric. For. Meteorol. 2023, 336, 109496. [Google Scholar] [CrossRef]
- Zhou, L.; Liu, S.; Gu, Y.; Wu, L.; Hu, H.-W.; He, J.-Z. Fire decreases soil respiration and its components in terrestrial ecosystems. Funct. Ecol. 2023, 37, 3124–3135. [Google Scholar] [CrossRef]
- Cheng, Y.; Luo, P.; Yang, H.; Li, H.; Luo, C.; Jia, H.; Huang, Y. Fire effects on soil carbon cycling pools in forest ecosystems: A global meta-analysis. Sci. Total Environ. 2023, 895, 165001. [Google Scholar] [CrossRef]
- Zhang, X.; Guan, D.; Li, W.; Sun, D.; Jin, C.; Yuan, F.; Wang, A.; Wu, J. The effects of forest thinning on soil carbon stocks and dynamics: A meta-analysis. For. Ecol. Manag. 2018, 429, 36–43. [Google Scholar] [CrossRef]
- Yang, L.; Niu, S.; Tian, D.; Zhang, C.; Liu, W.; Yu, Z.; Yan, T.; Yang, W.; Zhao, X.; Wang, J. A global synthesis reveals increases in soil greenhouse gas emissions under forest thinning. Sci. Total Environ. 2022, 804, 150225. [Google Scholar] [CrossRef]
- Zhang, H.; Liu, S.; Yu, J.; Li, J.; Shangguan, Z.; Deng, L. Thinning increases forest ecosystem carbon stocks. For. Ecol. Manag. 2024, 555, 121702. [Google Scholar] [CrossRef]
- Yang, L.; Zhang, H.; Qin, J.; Liu, X.; Mayer, M. A global meta-analysis of forest harvesting effects on soil respiration, its components, and temperature sensitivity. Agric. For. Meteorol. 2024, 358, 110259. [Google Scholar] [CrossRef]
- Piqué, M.; Domènech, R. Effectiveness of mechanical thinning and prescribed burning on fire behavior in Pinus nigra forests in NE Spain. Sci. Total Environ. 2018, 618, 1539–1546. [Google Scholar] [CrossRef] [PubMed]
- Shive, K.L.; Coppoletta, M.; Wayman, R.B.; Paulson, A.K.; Wilson, K.N.; Abatzaglou, J.T.; Saberi, S.J.; Estes, B.; Safford, H.D. Thinning with follow-up burning treatments have increased effectiveness at reducing severity in California’s largest wildfire. For. Ecol. Manag. 2024, 572, 122171. [Google Scholar] [CrossRef]
- Vilà-Vilardell, L.; De Cáceres, M.; Piqué, M.; Casals, P. Prescribed fire after thinning increased resistance of sub-Mediterranean pine forests to drought events and wildfires. For. Ecol. Manag. 2023, 527, 120602. [Google Scholar] [CrossRef]
- Wagner, R.G.; Newton, M.; Cole, E.C.; Miller, J.H.; Shiver, B.D. The role of herbicides for enhancing forest productivity and conserving land for biodiversity in North America. Wildl. Soc. Bull. 2004, 32, 1028–1041. [Google Scholar] [CrossRef]
- Fox, T.R.; Jokela, E.J.; Allen, H.L. The Development of Pine Plantation Silviculture in the Southern United States. J. For. 2007, 105, 337–347. [Google Scholar] [CrossRef]
- Davis, K.T.; Peeler, J.; Fargione, J.; Haugo, R.D.; Metlen, K.L.; Robles, M.D.; Woolley, T. Tamm review: A meta-analysis of thinning, prescribed fire, and wildfire effects on subsequent wildfire severity in conifer dominated forests of the Western US. For. Ecol. Manag. 2024, 561, 121885. [Google Scholar] [CrossRef]
- Fontúrbel, T.; Carrera, N.; Vega, J.A.; Fernández, C. The Effect of Repeated Prescribed Burning on Soil Properties: A Review. Forests 2021, 12, 767. [Google Scholar] [CrossRef]
- Vargas, R.; Paz, F.; de Jong, B. Quantification of forest degradation and belowground carbon dynamics: Ongoing challenges for monitoring, reporting and verification activities for REDD+. Carbon Manag. 2013, 4, 579–582. [Google Scholar] [CrossRef]
- Jian, J.; Vargas, R.; Anderson-Teixeira, K.; Stell, E.; Herrmann, V.; Horn, M.; Kholod, N.; Manzon, J.; Marchesi, R.; Paredes, D.; et al. A restructured and updated global soil respiration database (SRDB-V5). Earth Syst. Sci. Data 2021, 13, 255–267. [Google Scholar] [CrossRef]
- Rinkes, Z.L.; Sinsabaugh, R.L.; Moorhead, D.L.; Grandy, A.S.; Weintraub, M.N. Field and lab conditions alter microbial enzyme and biomass dynamics driving decomposition of the same leaf litter. Front. Microbiol. 2013, 4, 260. [Google Scholar] [CrossRef]
- Liu, Y.; Men, M.; Peng, Z.; Chen, H.Y.H.; Yang, Y.; Peng, Y. Spatially explicit estimate of nitrogen effects on soil respiration across the globe. Glob. Change Biol. 2023, 29, 3591–3600. [Google Scholar] [CrossRef]
- Ma, Z.; Chen, H.Y. Effects of species diversity on fine root productivity in diverse ecosystems: A global meta-analysis. Glob. Change Biol. 2016, 25, 1387–1396. [Google Scholar] [CrossRef]
- Bates, D.; Mächler, M.; Bolker, B.; Walker, S. Fitting Linear Mixed-Effects Models Using lme4. J. Stat. Softw. 2015, 67, 1–48. [Google Scholar] [CrossRef]
- Canty, A.; Ripley, B. boot: Bootstrap R (S-Plus) Functions, R package Version 1.3-29. 2024. Available online: https://cran.r-project.org/web/packages/boot/boot.pdf (accessed on 14 July 2025).
- Calcagno, V. glmulti: Model Selection and Multimodel Inference Made Easy, R package Version 1.0.8. 2020. Available online: https://CRAN.R-project.org/package=glmulti (accessed on 14 July 2025).
- Egger, M.; Smith, G.D.; Schneider, M.; Minder, C. Bias in meta-analysis detected by a simple, graphical test. BMJ 1997, 315, 629. [Google Scholar] [CrossRef] [PubMed]
- R Core Team. R: A Language and Environment for Statistical Computing; R Foundation for Statistical Computing: Vienna, Austria, 2024. [Google Scholar]
- Posit team. RStudio: Integrated Development Environment for R; Posit Software, PBC: Boston, MA, USA, 2024. [Google Scholar]
- Fox, S.; Taylor, M.K.; Callaham, M.; Jumpponen, A. Fire-excluded and frequently burned longleaf pine forests have contrasting soil microbial communities. For. Ecol. Manag. 2024, 551, 121519. [Google Scholar] [CrossRef]
- Hart, S.C.; Classen, A.T.; Wright, R.J. Long-term interval burning alters fine root and mycorrhizal dynamics in a ponderosa pine forest. J. Appl. Ecol. 2005, 42, 752–761. [Google Scholar] [CrossRef]
- Ono, M.; Noormets, A.; Mitchell, S. The effect of the frequency of prescribed burning on annual soil carbon balance in a loblolly-shortleaf pine forest in East Texas. Front. For. Glob. Change 2025, 8, 1602557. [Google Scholar] [CrossRef]
- Matosziuk, L.M.; Alleau, Y.; Kerns, B.K.; Bailey, J.; Johnson, M.G.; Hatten, J.A. Effects of season and interval of prescribed burns on pyrogenic carbon in ponderosa pine stands in the southern Blue Mountains, Oregon, USA. Geoderma 2019, 348, 1–11. [Google Scholar] [CrossRef]
- Smith, J.E.; McKay, D.; Niwa, C.G.; Thies, W.G.; Brenner, G.; Spatafora, J.W. Short-term effects of seasonal prescribed burning on the ectomycorrhizal fungal community and fine root biomass in ponderosa pine stands in the Blue Mountains of Oregon. Can. J. For. Res. 2004, 34, 2477–2491. [Google Scholar] [CrossRef]
- Zhao, B.; Cao, J.; Geng, Y.; Zhao, X.; von Gadow, K. Inconsistent responses of soil respiration and its components to thinning intensity in a Pinus tabuliformis plantation in northern China. Agric. For. Meteorol. 2019, 265, 370–380. [Google Scholar] [CrossRef]
- Yang, L.; Qin, J.; Geng, Y.; Zhang, C.; Pan, J.; Niu, S.; Tian, D.; Zhao, X.; Wang, J. Long-term effects of forest thinning on soil respiration and its components in a pine plantation. For. Ecol. Manag. 2022, 513, 120189. [Google Scholar] [CrossRef]
- Mayer, M.; Matthews, B.; Rosinger, C.; Sanden, H.; Godbold, D.L.; Katzensteiner, K. Tree regeneration retards decomposition in a temperate mountain soil after forest gap disturbance. Soil Biol. Biochem. 2017, 115, 490–498. [Google Scholar] [CrossRef]
- Mayer, M.; Sandén, H.; Rewald, B.; Godbold, D.L.; Katzensteiner, K. Increase in heterotrophic soil respiration by temperature drives decline in soil organic carbon stocks after forest windthrow in a mountainous ecosystem. Funct. Ecol. 2017, 31, 1163–1172. [Google Scholar] [CrossRef]
- Kohout, P.; Charvátová, M.; Štursová, M.; Mašínová, T.; Tomšovský, M.; Baldrian, P. Clearcutting alters decomposition processes and initiates complex restructuring of fungal communities in soil and tree roots. ISME J. 2018, 12, 692–703. [Google Scholar] [CrossRef]
- Zhou, T.; Wang, C.; Zhou, Z. Impacts of forest thinning on soil microbial community structure and extracellular enzyme activities: A global meta-analysis. Soil Biol. Biochem. 2020, 149, 107915. [Google Scholar] [CrossRef]
- Zhou, D.; Zhao, S.Q.; Liu, S.; Oeding, J. A meta-analysis on the impacts of partial cutting on forest structure and carbon storage. Biogeosciences 2013, 10, 3691–3703. [Google Scholar] [CrossRef]
- López, B.C.; Sabate, S.; Gracia, C.A. Thinning effects on carbon allocation to fine roots in a Quercus ilex forest. Tree Physiol. 2003, 23, 1217–1224. [Google Scholar] [CrossRef]
- Wang, D.; Olatunji, O.A.; Xiao, J. Thinning increased fine root production, biomass, turnover rate and understory vegetation yield in a Chinese fir plantation. For. Ecol. Manag. 2019, 440, 92–100. [Google Scholar] [CrossRef]
- Caihong, Z.; Nier, S.; Hao, W.; Honglin, X.; Hailong, S.; Ling, Y. Effects of thinning on soil nutrient availability and fungal community composition in a plantation medium-aged pure forest of Picea koraiensis. Sci. Rep. 2023, 13, 2492. [Google Scholar] [CrossRef]
- Holden, S.R.; Treseder, K.K. A meta-analysis of soil microbial biomass responses to forest disturbances. Front. Microbiol. 2013, 4, 163. [Google Scholar] [CrossRef]
- Zhao, J.; Ye, Y.; Sun, X.; Shi, L.; Chen, X.; Guan, Q. Root exudation patterns of Chinese fir after thinning relating to root characteristics and soil conditions. For. Ecol. Manag. 2023, 541, 121068. [Google Scholar] [CrossRef]
- Euskirchen, E.S.; Chen, J.; Gustafson, E.J.; Ma, S. Soil Respiration at Dominant Patch Types within a Managed Northern Wisconsin Landscape. Ecosystems 2003, 6, 595–607. [Google Scholar] [CrossRef]
- Mushinski, R.M.; Gentry, T.J.; Boutton, T.W. Organic matter removal associated with forest harvest leads to decade scale alterations in soil fungal communities and functional guilds. Soil Biol. Biochem. 2018, 127, 127–136. [Google Scholar] [CrossRef]
- Noormets, A.; McNulty, S.G.; Domec, J.-C.; Gavazzi, M.; Sun, G.; King, J.S. The role of harvest residue in rotation cycle carbon balance in loblolly pine plantations. Respiration partitioning approach. Glob. Change Biol. 2012, 18, 3186–3201. [Google Scholar] [CrossRef] [PubMed]
- Avera, B.N.; Rhoades, C.C.; Calderόn, F.; Cotrufo, M.F. Soil C storage following salvage logging and residue management in bark beetle-infested lodgepole pine forests. For. Ecol. Manag. 2020, 472, 118251. [Google Scholar] [CrossRef]
- Prest, D.; Kellman, L.; Lavigne, M.B. Mineral soil carbon and nitrogen still low three decades following clearcut harvesting in a typical Acadian Forest stand. Geoderma 2014, 214–215, 62–69. [Google Scholar] [CrossRef]
- Achat, D.L.; Deleuze, C.; Landmann, G.; Pousse, N.; Ranger, J.; Augusto, L. Quantifying consequences of removing harvesting residues on forest soils and tree growth—A meta-analysis. For. Ecol. Manag. 2015, 348, 124–141. [Google Scholar] [CrossRef]
- Nave, L.E.; DeLyser, K.; Domke, G.M.; Holub, S.M.; Janowiak, M.K.; Kittler, B.; Ontl, T.A.; Sprague, E.; Sucre, E.B.; Walters, B.F.; et al. Disturbance and management effects on forest soil organic carbon stocks in the Pacific Northwest. Ecol. Appl. 2022, 32, e2611. [Google Scholar] [CrossRef]
- Nave, L.E.; DeLyser, K.; Domke, G.M.; Holub, S.M.; Janowiak, M.K.; Ontl, T.A.; Sprague, E.; Viau, N.R.; Walters, B.F.; Swanston, C.W. Soil carbon in the South Atlantic United States: Land use change, forest management, and physiographic context. For. Ecol. Manag. 2022, 520, 120410. [Google Scholar] [CrossRef]
- Mayer, M.; Baltensweiler, A.; James, J.; Rigling, A.; Hagedorn, F. A global synthesis and conceptualization of the magnitude and duration of soil carbon losses in response to forest disturbances. Glob. Ecol. Biogeogr. 2024, 33, 141–150. [Google Scholar] [CrossRef] [PubMed]
- Gundale, M.J.; Axelsson, E.P.; Buness, V.; Callebaut, T.; DeLuca, T.H.; Hupperts, S.F.; Ibáñez, T.S.; Metcalfe, D.B.; Nilsson, M.-C.; Peichl, M.; et al. The biological controls of soil carbon accumulation following wildfire and harvest in boreal forests: A review. Glob. Change Biol. 2024, 30, e17276. [Google Scholar] [CrossRef] [PubMed]
- Alcañiz, M.; Outeiro, L.; Francos, M.; Úbeda, X. Effects of prescribed fires on soil properties: A review. Sci. Total Environ. 2018, 613–614, 944–957. [Google Scholar] [CrossRef] [PubMed]
- Scharenbroch, B.C.; Nix, B.; Jacobs, K.A.; Bowles, M.L. Two decades of low-severity prescribed fire increases soil nutrient availability in a Midwestern, USA oak (Quercus) forest. Geoderma 2012, 183–184, 80–91. [Google Scholar] [CrossRef]
- Nave, L.E.; Vance, E.D.; Swanston, C.W.; Curtis, P.S. Fire effects on temperate forest soil C and N storage. Ecol. Appl. 2011, 21, 1189–1201. [Google Scholar] [CrossRef]
- Rocha, W.; Metcalfe, D.B.; Doughty, C.E.; Brando, P.; Silverio, D.; Halladay, K.; Nepstad, D.C.; Balch, J.K.; Malhi, Y. Ecosystem productivity and carbon cycling in intact and annually burnt forest at the dry southern limit of the Amazon rainforest (Mato Grosso, Brazil). Plant Ecol. Divers. 2014, 7, 25–40. [Google Scholar] [CrossRef]
- Butler, O.M.; Lewis, T.; Rashti, M.R.; Chen, C.R. Energetic efficiency and temperature sensitivity of soil heterotrophic respiration vary with decadal-scale fire history in a wet sclerophyll forest. Soil Biol. Biochem. 2019, 134, 62–71. [Google Scholar] [CrossRef]
- Pellegrini, A.F.A.; Ahlström, A.; Hobbie, S.E.; Reich, P.B.; Nieradzik, L.P.; Staver, A.C.; Scharenbroch, B.C.; Jumpponen, A.; Anderegg, W.R.L.; Randerson, J.T.; et al. Fire frequency drives decadal changes in soil carbon and nitrogen and ecosystem productivity. Nature 2018, 553, 194–198. [Google Scholar] [CrossRef]
- Coates, T.A.; Chow, A.T.; Hagan, D.L.; Wang, G.G.; Bridges, W.C., Jr.; Dozier, J.H. Frequent Prescribed Burning as a Long-term Practice in Longleaf Pine Forests Does Not Affect Detrital Chemical Composition. J. Environ. Qual. 2017, 46, 1020–1027. [Google Scholar] [CrossRef]
- Oliver, A.K.; Callaham, M.A.; Jumpponen, A. Soil fungal communities respond compositionally to recurring frequent prescribed burning in a managed southeastern US forest ecosystem. For. Ecol. Manag. 2015, 345, 1–9. [Google Scholar] [CrossRef]
- Pellegrini, A.F.A.; Caprio, A.C.; Georgiou, K.; Finnegan, C.; Hobbie, S.E.; Hatten, J.A.; Jackson, R.B. Low-intensity frequent fires in coniferous forests transform soil organic matter in ways that may offset ecosystem carbon losses. Glob. Change Biol. 2021, 27, 3810–3823. [Google Scholar] [CrossRef]
- González-Pérez, J.A.; González-Vila, F.J.; Almendros, G.; Knicker, H. The effect of fire on soil organic matter—A review. Environ. Int. 2004, 30, 855–870. [Google Scholar] [CrossRef]
- Knicker, H. How does fire affect the nature and stability of soil organic nitrogen and carbon? A review. Biogeochemistry 2007, 85, 91–118. [Google Scholar] [CrossRef]
- Udali, A.; Chung, W.; Talbot, B.; Grigolato, S. Managing harvesting residues: A systematic review of management treatments around the world. For. Int. J. For. Res. 2025, 98, 117–135. [Google Scholar] [CrossRef]
- Eisenbies, M.H.; Vance, E.D.; Aust, W.M.; Seiler, J.R. Intensive Utilization of Harvest Residues in Southern Pine Plantations: Quantities Available and Implications for Nutrient Budgets and Sustainable Site Productivity. BioEnergy Res. 2009, 2, 90–98. [Google Scholar] [CrossRef]
- James, J.; Page-Dumroese, D.; Busse, M.; Palik, B.; Zhang, J.; Eaton, B.; Slesak, R.; Tirocke, J.; Kwon, H. Effects of forest harvesting and biomass removal on soil carbon and nitrogen: Two complementary meta-analyses. For. Ecol. Manag. 2021, 485, 118935. [Google Scholar] [CrossRef]
- Hume, A.M.; Chen, H.Y.H.; Taylor, A.R. Intensive forest harvesting increases susceptibility of northern forest soils to carbon, nitrogen and phosphorus loss. J. Appl. Ecol. 2018, 55, 246–255. [Google Scholar] [CrossRef]
- Haskins, K.E.; Gehring, C.A. Long-term effects of burning slash on plant communities and arbuscular mycorrhizae in a semi-arid woodland. J. Appl. Ecol. 2004, 41, 379–388. [Google Scholar] [CrossRef]
- Gibbons, P.; Lindenmayer, D.B.; Barry, S.C.; Tanton, M.T. The effects of slash burning on the mortality and collapse of trees retained on logged sites in south-eastern Australia. For. Ecol. Manag. 2000, 139, 51–61. [Google Scholar] [CrossRef]









Disclaimer/Publisher’s Note: The statements, opinions and data contained in all publications are solely those of the individual author(s) and contributor(s) and not of MDPI and/or the editor(s). MDPI and/or the editor(s) disclaim responsibility for any injury to people or property resulting from any ideas, methods, instructions or products referred to in the content. |
© 2025 by the authors. Licensee MDPI, Basel, Switzerland. This article is an open access article distributed under the terms and conditions of the Creative Commons Attribution (CC BY) license (https://creativecommons.org/licenses/by/4.0/).
Share and Cite
Ono, M.; Noormets, A. Impacts of Harvesting and Prescribed Burning on Forest Soil Carbon Dynamics: A Global Meta-Analysis. Forests 2025, 16, 1555. https://doi.org/10.3390/f16101555
Ono M, Noormets A. Impacts of Harvesting and Prescribed Burning on Forest Soil Carbon Dynamics: A Global Meta-Analysis. Forests. 2025; 16(10):1555. https://doi.org/10.3390/f16101555
Chicago/Turabian StyleOno, Moeka, and Asko Noormets. 2025. "Impacts of Harvesting and Prescribed Burning on Forest Soil Carbon Dynamics: A Global Meta-Analysis" Forests 16, no. 10: 1555. https://doi.org/10.3390/f16101555
APA StyleOno, M., & Noormets, A. (2025). Impacts of Harvesting and Prescribed Burning on Forest Soil Carbon Dynamics: A Global Meta-Analysis. Forests, 16(10), 1555. https://doi.org/10.3390/f16101555

