Whole-Genome Resequencing Provides Insights into the Genetic Structure and Evolution of Paulownia spp.
Abstract
1. Introduction
2. Materials and Methods
2.1. Sample Preparation and DNA Extraction
2.2. Library Construction and Sequencing
2.3. Read Mapping, SNP Calling, and SNP Annotation
2.4. Population Genetics Analysis
3. Results
3.1. Whole Genome Resequencing and SNP Calling
3.2. Phylogenetic Construction
3.3. Genetic Differentiation
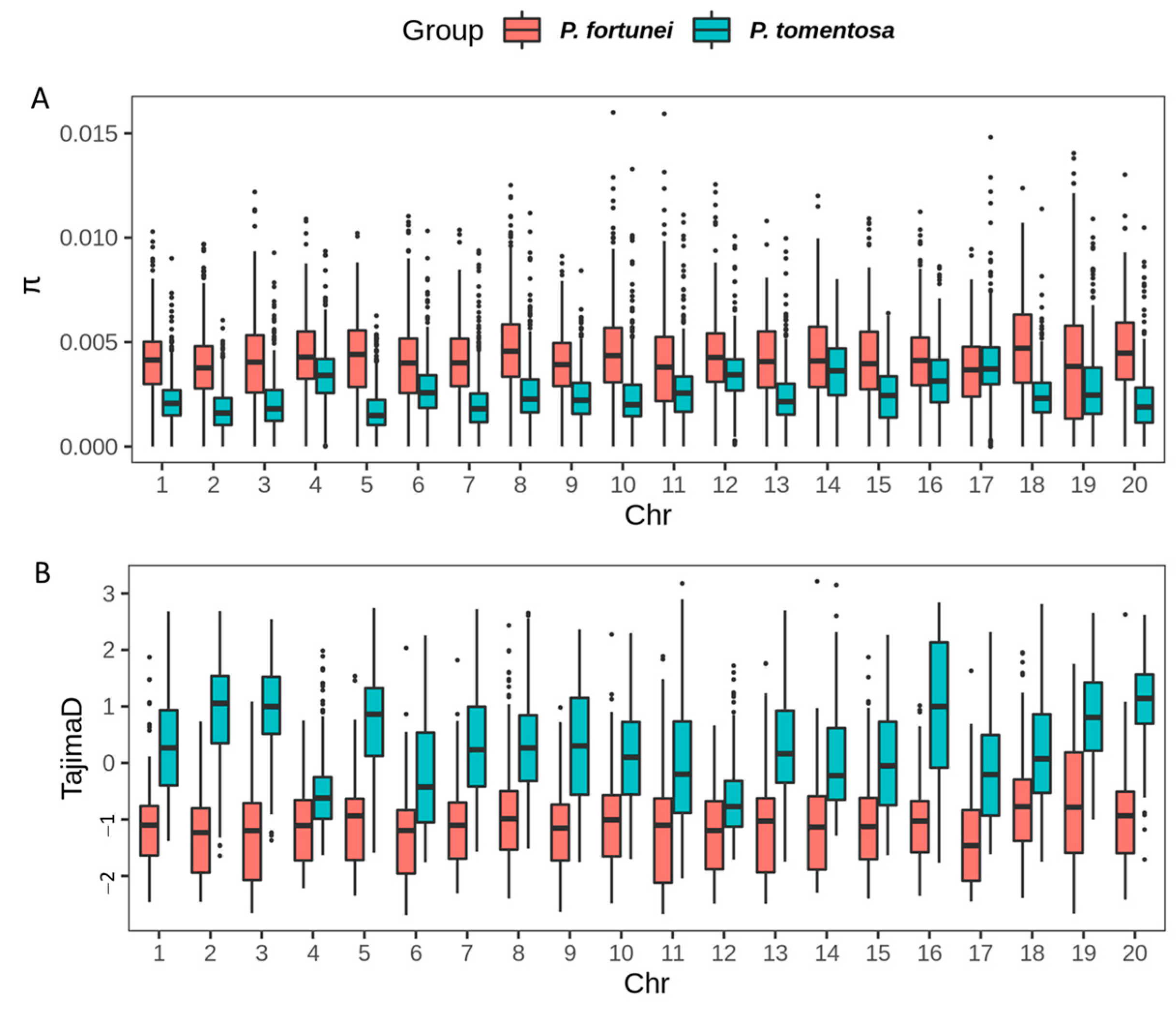
3.4. Genetic Diversity and Evolutionary Patterns
3.5. Linkage Disequilibrium Decay
3.6. Selective Sweep Between P. Fortunei and P. Tomentosa
4. Discussion
5. Conclusions
Supplementary Materials
Author Contributions
Funding
Institutional Review Board Statement
Informed Consent Statement
Data Availability Statement
Acknowledgments
Conflicts of Interest
References
- Jiang, J. Cultivation of Paulownia; China Forestry Publishing House: Beijing, China, 1990. [Google Scholar]
- Rodriguez-Seoane, P.; del Pozo, C.; Puy, N.; Bartroli, J.; Dominguez, H. Hydrothermal extraction of valuable components from leaves and petioles from Paulownia elongata x fortunei. Waste Biomass Valorization 2021, 12, 4525–4535. [Google Scholar] [CrossRef]
- Ab Latib, H.; Liat, L.C.; Ratnasingam, J.; Law, E.L.; Azim, A.A.; Mariapan, M.; Natkuncaran, J. Suitability of Paulownia wood from malaysia for furniture application. BioResources 2020, 15, 4727. [Google Scholar] [CrossRef]
- Ayrilmis, N.; Kaymakci, A. Fast growing biomass as reinforcing filler in thermoplastic composites: Paulownia elongata wood. Ind. Crops Prod. 2013, 43, 457–464. [Google Scholar] [CrossRef]
- Ghazzawy, H.S.; Bakr, A.; Mansour, A.T.; Ashour, M. Paulownia trees as a sustainable solution for CO2 mitigation: Assessing progress toward 2050 climate goals. Front. Environ. Sci 2024, 12, 1307840. [Google Scholar] [CrossRef]
- Dżugan, M.; Miłek, M.; Grabek-Lejko, D.; Hęclik, J.; Jacek, B.; Litwińczuk, W. Antioxidant activity, polyphenolic profiles and antibacterial properties of leaf extract of various Paulownia spp. clones. Agronomy 2021, 11, 2001. [Google Scholar] [CrossRef]
- Jakubowski, M. Cultivation potential and uses of Paulownia wood: A review. Forests 2022, 13, 668. [Google Scholar] [CrossRef]
- Borja, M.E.L.; García, E.M.; Morote, F.A.G.; Serrano, F.R.L.; Abellán, M.A.; Pérez, D.C.; del Cerro Barja, A. Ei cultivo de Paulonia (“Paulownia elongata x fortunei”) para la obtención de maderay biomasa en castilla-la mancha: Primeros resultados. Foresta 2010, 47–48, 103–110. [Google Scholar]
- Kadlec, J.; Novosadová, K.; Kománek, M.; Pokornỳ, R. Testing the production potential of Paulownia clon in vitro 112® in the Czech Republic. Forests 2023, 14, 1526. [Google Scholar] [CrossRef]
- Adach, W.; Żuchowski, J.; Moniuszko-Szajwaj, B.; Szumacher-Strabel, M.; Stochmal, A.; Olas, B.; Cieslak, A. In vitro antiplatelet activity of extract and its fractions of Paulownia clone in vitro 112 leaves. Biomed Pharmacother 2021, 137, 111301. [Google Scholar] [CrossRef] [PubMed]
- Feria, M.J.; García, J.C.; Zamudio, M.A.M.; Gomide, J.L.; Colodette, J.L.; López, F. Kraft pulping and bleaching of Paulownia SUN TZU 104® wood. Cellulose Chem. Technol. 2013, 47, 595–601. [Google Scholar]
- Zhao, Y.; Feng, Y.; Yang, C.; Qiao, J.; Zhou, H.; Li, F.; Wang, B. Genetic parameters and genotype-environment interactions in Paulownia clonal tests intemperate and subtropical regions of China. Forests 2022, 13, 2113. [Google Scholar] [CrossRef]
- Mo, W.; Fu, J.; Qiao, J.; Lei, L.; Li, F.; Yuan, D.; Qiu, Q. ISSR study on genetic relationship of genus Paulownia. Sci. Silvae Sin. 2013, 49, 61–67. [Google Scholar]
- Kang, X. Thoughts on tree breeding strategies. J. Beijing For. Univ. 2019, 41, 15–22. [Google Scholar]
- Kang, X. Research progress of forest genetics and tree breeding. J. Beijing For. Univ. 2020, 44, 1–10. [Google Scholar]
- Zhu, Z. A discussion on the distribution centre and flora of Paulownia genus. Sci. Silvae Sin. 1981, 17, 271–280. [Google Scholar]
- Zhang, C.; Zhao, Y. A new natural hybrid of Paulownia (Scrophulariaceae). Acta Phytotaxxonomica Sinica 1995, 33, 503–505. [Google Scholar]
- Fu, D. Paulownia serrata- a new species from China. Nat. Sci. 2003, 1, 37–38. [Google Scholar]
- Fan, Y. Morphological Variation and New Classification System of Paulowniaceae Plants. Master’s Thesis, Henan Agricultural University, Zhengzhou, China, 2018. [Google Scholar]
- Li, F.; Qiao, J.; Wang, B.; Li, R. Atlas of Paulownia Germplasm Resources in China; China Forestry Publishing House: Beijing, China, 2013. [Google Scholar]
- Chen, Z.; Yao, C.; Hu, H.; Liang, Z. The origin phylogeny and distribution of Paulownia. J. Wuhan Bot. Res. 2000, 18, 325–328. [Google Scholar]
- Gong, B.; Guo, Y.; Yao, C. Analysis on patterns of SOD Isozyme and soluble proteins of Paulownia plants. J. Huazhong Agric. Univ. 1994, 13, 507–510. [Google Scholar]
- Li, P.P.; Lou, G.L.; Cai, X.R.; Zhang, B.; Cheng, Y.Q.; Wang, H.W. Comparison of the complete plastomes and the phylogenetic analysis of Paulownia species. Sci. Rep. 2020, 10, 2225. [Google Scholar] [CrossRef] [PubMed]
- Ma, H.; Zhang, D.; Li, R.; Deng, H. RFLP analysis of Paulownia plants. Bull. Bot. Res. 2001, 21, 136–139. [Google Scholar]
- Lu, L.; Xie, L.; Du, Q.; Chang, Z. RAPD analysis of seven species in Paulownia. Guihaia 2001, 21, 335–338. [Google Scholar]
- Li, B. Complete Chloroplast Genome Sequences and Evolution Analysis of Eight Paulownia Species. Master’s Thesis, Henan Agricultural University, Zhengzhou, China, 2019. [Google Scholar]
- Zhang, H. Analysis of Genome Sequencing and Variation Loci in Nine Paulownia Species. Master’s Thesis, Henan Agricultural University, Zhengzhou, China, 2018. [Google Scholar]
- Qin, G.-L.; Fu, C.-M.; Tang, F.; Yin, J.; Guan, D.-L.; Shi, C.-Y. Population genomics analysis reveals footprints of selective breeding in a rapid-growth variety of Paulownia fortunei with apical dominance. Genomics 2024, 116, 110849. [Google Scholar] [CrossRef] [PubMed]
- Liang, Y.; Li, F.; Fu, J.; Wuyun, T.; Wu, S. Comparison of two methods to extract DNA from trees of Diospyros L. J. Cent. South Univ. For. Technol. 2012, 32, 170–173. [Google Scholar]
- Mekbib, Y.; Tesfaye, K.; Dong, X.; Saina, J.K.; Hu, G.-W.; Wang, Q.-F. Whole-genome resequencing of Coffea arabica L. (Rubiaceae) genotypes identify SNP and unravels distinct groups showing a strong geographical pattern. BMC Plant Biol. 2022, 22, 69. [Google Scholar] [CrossRef]
- Li, H.; Durbin, R. Fast and accurate short read alignment with burrows–wheeler transform. Bioinformatics 2009, 25, 1754–1760. [Google Scholar] [CrossRef] [PubMed]
- Wang, K.; Deng, Q.; Damaris, R.; Yang, M.; Xu, L.; Yang, P. LOTUS-DB: An integrative and interactive database for nelumbo nucifera study. Database 2015, 2015, bav023. [Google Scholar] [CrossRef]
- McKenna, A.; Hanna, M.; Banks, E.; Sivachenko, A.; Cibulskis, K.; Kernytsky, A.; Garimella, K.; Altshuler, D.; Gabriel, S.; Daly, M. The genome analysis toolkit: A map reduce framework for analyzing next-generation DNA sequencing data. Genome Res. 2010, 20, 1297–1303. [Google Scholar] [CrossRef]
- Whankaew, S.; Suksri, P.; Sinprasertporn, A.; Thawonsuwan, J.; Sathapondecha, P. Development of DNA markers for acute hepatopancreatic necrosis disease tolerance in litopenaeus vannamei through a genome-wide association study. Biology 2024, 13, 731. [Google Scholar] [CrossRef]
- Udriște, A.-A.; Iordachescu, M.; Ciceoi, R.; Bădulescu, L. Next-generation sequencing of local romanian tomato varieties and bioinformatics analysis of the velocus. Int. J. Mol. Sci. 2022, 23, 9750. [Google Scholar] [CrossRef]
- Sun, X.; Jiao, C.; Schwaninger, H.; Chao, C.T.; Ma, Y.; Duan, N.; Khan, A.; Ban, S.; Xu, K.; Cheng, L. Phased diploid genome assemblies and pan-genomes provide insights into the genetic history of apple domestication. Nat. Genet. 2020, 52, 1423–1432. [Google Scholar] [CrossRef]
- Alexander, D.H.; Novembre, J.; Lange, K. Fast model-based estimation of ancestry in unrelated individuals. Genome Res. 2009, 19, 1655–1664. [Google Scholar] [CrossRef]
- Purcell, S.; Neale, B.; Todd-Brown, K.; Thomas, L.; Ferreira, M.A.; Bender, D.; Maller, J.; Sklar, P.; De Bakker, P.I.; Daly, M.J. PLINK: A tool set for whole-genome association and population-based linkage analyses. Am. J. Hum. Genet. 2007, 81, 559–575. [Google Scholar] [CrossRef]
- Wang, J.; Zhang, Z. GAPIT version 3: Boosting power and accuracy for genomic association and prediction. Genom. Proteom. Bioinform. 2021, 19, 629–640. [Google Scholar] [CrossRef]
- Zhang, Q.; Li, T.; Zhang, L.; Dong, W. Expression analysis of NAC genes during the growth and ripening of apples. Hortic. Sci. 2018, 45, 1–10. [Google Scholar] [CrossRef]
- Zhong, Y.; Feng, L.; Deng, H.; Ji, X.; Zhang, J.; Sun, Y.; Lin, P.; Qiao, Y.; Xie, S.; Wang, H.; et al. Genomic resequencing reveals genetic diversity, population structure, and core collection of durian germplasm. Commun. Biol. 2025, 8, 1273. [Google Scholar] [CrossRef] [PubMed]
- Zang, F.; Ma, Y.; Wu, Q.; Tu, X.; Xie, X.; Huang, P.; Tong, B.; Zheng, Y.; Zang, D. Resequencing of Rosa rugosa accessions revealed the history of population dynamics, breed origin, and domestication pathways. BMC Plant Biol. 2023, 23, 235. [Google Scholar] [CrossRef]
- Guo, Y.; Qiao, D.; Yang, C.; Li, Y.; Chen, Z.; Chen, J. Genetic diversity of old tea plant resources in Jiuan City of Guizhou Province, using genome-wide SNP. J. Plant Genet. Resour. 2019, 20, 26–36. [Google Scholar]
- Liang, Z.; Duan, S.; Sheng, J.; Zhu, S.; Ni, X.; Shao, J.; Liu, C.; Nick, P.; Du, F.; Fan, P. Whole-genome resequencing of 472 vitis accessions for grapevine diversity and demographic history analyses. Na. Commun. 2019, 10, 1190. [Google Scholar] [CrossRef] [PubMed]
- Mu, S.; Li, X.; Li, J.; Gao, J. Analysis on the culm shape and color variation of 4 moso bamboo variants by whole genome re-sequencing. Acta Agric. Boreali-Sin. 2020, 35, 96–105. [Google Scholar]
- Li, Y.; Colleoni, C.; Zhang, J.; Liang, Q.; Hu, Y.; Ruess, H.; Simon, R.; Liu, Y.; Liu, H.; Yu, G. Genomic analyses yield markers for identifying agronomically important genes in potato. Mol. Plant 2018, 11, 473–484. [Google Scholar] [CrossRef]
- Huang, L.; Wang, X.; Dong, Y.; Long, Y.; Hao, C.; Yan, L.; Shi, T. Resequencing 93 accessions of coffee unveils independent and parallel selection during coffea species divergence. Plant Mol. Biol. 2020, 103, 51–61. [Google Scholar] [CrossRef]
- Xia, E.; Tong, W.; Hou, Y.; An, Y.; Chen, L.; Wu, Q.; Liu, Y.; Yu, J.; Li, F.; Li, R. The reference genome of tea plant and resequencing of 81 diverse accessions provide insights into its genome evolution and adaptation. Mol. Plant 2020, 13, 1013–1026. [Google Scholar] [CrossRef]
- Gao, Y.; Wang, D.; Wang, K.; Cong, P.; Li, L.; Piao, J. Genetic relationship and structure analysis of 15 species of malus mill. based on SNP markers. Sci. Agric. Sin. 2020, 53, 3333–3343. [Google Scholar]
- Zhao, X.; Zheng, T.; Gao, T.; Song, N. Whole-genome resequencing reveals genetic diversity and selection signals in Warm Temperate and Subtropical Sillago Sinica populations. BMC Genomics 2023, 24, 547. [Google Scholar] [CrossRef] [PubMed]
- Zhang, C.; Chen, X.; Yuan, L.; Wu, Y.; Ma, Y.; Jie, W.; Jiang, Y.; Guo, J.; Qiang, L.; Han, C.; et al. Genetic diversity and population structure of Chinese Gizzard Shad Clupanodon Thrissa in South China based on morphological and molecular markers. Global Ecol. Conserv. 2023, 41, e02367. [Google Scholar] [CrossRef]
- Wang, Y.; Zeng, B.; Deng, M.; Zhao, T.; Liao, Y.; Ren, R.; Wang, H.; Yuan, Y. Whole-genome resequencing reveals genetic diversity and adaptive evolution in Chinese Honeybee (Apis cerana cerana) in Guizhou, China. Front. Genet. 2024, 15, 1352455. [Google Scholar] [CrossRef]
- An, Y.; Mi, X.; Zhao, S.; Guo, R.; Xia, X.; Liu, S.; Wei, C. Revealing distinctions in genetic diversity and adaptive evolution between two varieties of Camellia sinensis by whole-genome resequencing. Front. Plant Sci. 2020, 11, 603819. [Google Scholar] [CrossRef]
- Hou, T. Study on the Development of the System of Paulownia. Master’s Thesis, Henan Agricultural University, Zhengzhou, China, 2018. [Google Scholar]











Disclaimer/Publisher’s Note: The statements, opinions and data contained in all publications are solely those of the individual author(s) and contributor(s) and not of MDPI and/or the editor(s). MDPI and/or the editor(s) disclaim responsibility for any injury to people or property resulting from any ideas, methods, instructions or products referred to in the content. |
© 2025 by the authors. Licensee MDPI, Basel, Switzerland. This article is an open access article distributed under the terms and conditions of the Creative Commons Attribution (CC BY) license (https://creativecommons.org/licenses/by/4.0/).
Share and Cite
Zhao, Y.; Qiao, J.; Yang, C.; Wang, B.; Si, Y.; Liu, S.; Zhang, X.; Feng, Y. Whole-Genome Resequencing Provides Insights into the Genetic Structure and Evolution of Paulownia spp. Forests 2025, 16, 1533. https://doi.org/10.3390/f16101533
Zhao Y, Qiao J, Yang C, Wang B, Si Y, Liu S, Zhang X, Feng Y. Whole-Genome Resequencing Provides Insights into the Genetic Structure and Evolution of Paulownia spp. Forests. 2025; 16(10):1533. https://doi.org/10.3390/f16101533
Chicago/Turabian StyleZhao, Yang, Jie Qiao, Chaowei Yang, Baoping Wang, Yuanyuan Si, Siqin Liu, Xinliang Zhang, and Yanzhi Feng. 2025. "Whole-Genome Resequencing Provides Insights into the Genetic Structure and Evolution of Paulownia spp." Forests 16, no. 10: 1533. https://doi.org/10.3390/f16101533
APA StyleZhao, Y., Qiao, J., Yang, C., Wang, B., Si, Y., Liu, S., Zhang, X., & Feng, Y. (2025). Whole-Genome Resequencing Provides Insights into the Genetic Structure and Evolution of Paulownia spp. Forests, 16(10), 1533. https://doi.org/10.3390/f16101533

