Distance Decay of Urban Park Visitation: Roles of Personal Characteristics and Visitation Patterns
Abstract
1. Introduction
2. Methods
2.1. Study Area
2.2. Data Collection
2.3. Data Analysis
3. Results
3.1. Visitors’ Personal Characteristics and Visitation Patterns
3.2. Visitation Distance and Visitation Frequency
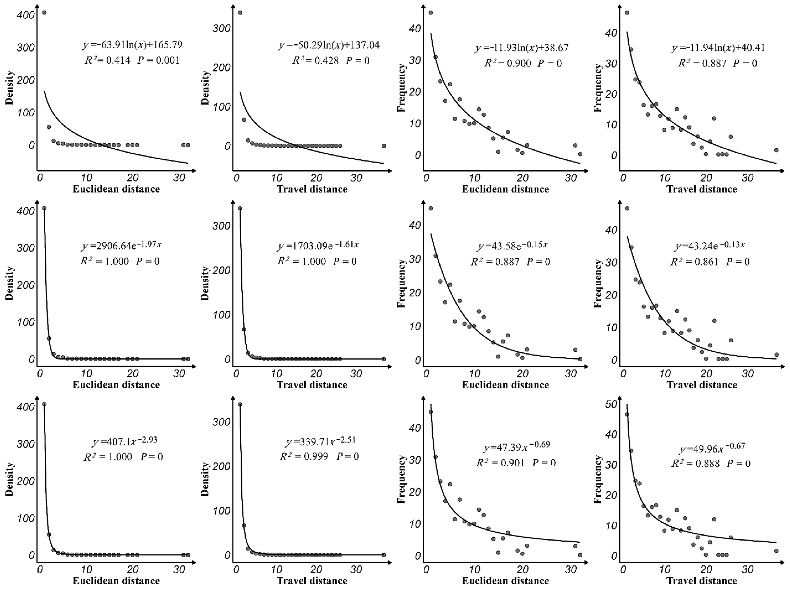
3.3. Distance Decay of Visitation Density and Visitation Frequency
4. Discussion
4.1. Urban Park Visitation Distance and Visitation Frequency
4.2. Spatial Decay of Urban Park Visitation
4.3. Limitations and Future Research Recommendations
5. Conclusions
Supplementary Materials
Author Contributions
Funding
Data Availability Statement
Acknowledgments
Conflicts of Interest
References
- Li, X.; Zhou, Y.; Yu, S.; Jia, G.; Li, H.; Li, W. Urban heat island impacts on building energy consumption: A review of approaches and findings. Energy 2019, 174, 407–419. [Google Scholar] [CrossRef]
- Liao, W.; Guldmann, J.-M.; Hu, L.; Cao, Q.; Gan, D.; Li, X. Linking urban park cool island effects to the landscape patterns inside and outside the park: A simultaneous equation modeling approach. Landsc. Urban Plan. 2023, 232, 104681. [Google Scholar] [CrossRef]
- Jiang, B.; Sun, C.; Mu, S.; Zhao, Z.; Chen, Y.; Lin, Y.; Qiu, L.; Gao, T. Differences in Airborne Particulate Matter Concentration in Urban Green Spaces with Different Spatial Structures in Xi’an, China. Forests 2022, 13, 14. [Google Scholar] [CrossRef]
- Hadi, M.A.; Narayana, S.; Yahya, M.S.; Jamian, S.; Lechner, A.M.; Azhar, B. Enhancing bird conservation in tropical urban parks through land sparing and sharing strategies: Evidence from occupancy data. Urban For. Urban Green. 2024, 98, 128415. [Google Scholar] [CrossRef]
- Peng, Y.; Gan, D.; Cai, Z.; Xiao, M.; Shu, D.; Wu, C.; Yu, X.; Li, X. Landscape Features Impact the Spatial Heterogeneity of Visitation Density within a Comprehensive Park: What Are the Seasonal and Diurnal Variations? Forests 2023, 14, 1627. [Google Scholar] [CrossRef]
- Huang, W.; Lin, G. The relationship between urban green space and social health of individuals: A scoping review. Urban For. Urban Green. 2023, 85, 127969. [Google Scholar] [CrossRef]
- Beute, F.; Marselle, M.R.; Olszewska-Guizzo, A.; Andreucci, M.B.; Lammel, A.; Davies, Z.G.; Glanville, J.; Keune, H.; O’Brien, L.; Remmen, R.; et al. How do different types and characteristics of green space impact mental health? A scoping review. People Nat. 2023, 5, 1839–1876. [Google Scholar] [CrossRef]
- Azagew, S.; Worku, H. Socio-demographic and physical factors influencing access to urban parks in rapidly urbanizing cities of Ethiopia: The case of Addis Ababa. J. Outdoor Recreat. Tour. 2020, 31, 100322. [Google Scholar] [CrossRef]
- Xu, S.; Yuan, S.; Li, J.; Gao, X.; Hu, J. Urban park green space use analysis based on trajectory big data: Experience from a medium–sized city in China. Heliyon 2024, 10, e26445. [Google Scholar] [CrossRef]
- Liu, W.; Chen, W.; Dong, C. Spatial decay of recreational services of urban parks: Characteristics and influencing factors. Urban For. Urban Green. 2017, 25, 130–138. [Google Scholar] [CrossRef]
- Tu, X.; Huang, G.; Wu, J.; Guo, X. How do travel distance and park size influence urban park visits? Urban For. Urban Green. 2020, 52, 126689. [Google Scholar] [CrossRef]
- Colbert, J.; Chuang, I.-T.; Sila-Nowicka, K. Measuring spatial inequality of urban park accessibility and utilisation: A case study of public housing developments in Auckland, New Zealand. Landsc. Urban Plan. 2024, 247, 105070. [Google Scholar] [CrossRef]
- Zhang, S.; Yu, P.; Chen, Y.; Jing, Y.; Zeng, F. Accessibility of Park Green Space in Wuhan, China: Implications for Spatial Equity in the Post-COVID-19 Era. Int. J. Environ. Res. Public Health 2022, 19, 5440. [Google Scholar] [CrossRef] [PubMed]
- Hu, S.; Song, W.; Li, C.; Lu, J. A multi-mode Gaussian-based two-step floating catchment area method for measuring accessibility of urban parks. Cities 2020, 105, 102815. [Google Scholar] [CrossRef]
- Wang, S.; Wang, M.; Liu, Y. Access to urban parks: Comparing spatial accessibility measures using three GIS-based approaches. Comput. Environ. Urban Syst. 2021, 90, 101713. [Google Scholar] [CrossRef]
- Zhang, K.; Chen, M. Multi-method analysis of urban green space accessibility: Influences of land use, greenery types, and individual characteristics factors. Urban For. Urban Green. 2024, 96, 128366. [Google Scholar] [CrossRef]
- Rossi, S.D.; Byrne, J.A.; Pickering, C.M. The role of distance in peri-urban national park use: Who visits them and how far do they travel? Appl. Geogr. 2015, 63, 77–88. [Google Scholar] [CrossRef]
- Ode, Å.; Fry, G. A model for quantifying and predicting urban pressure on woodland. Landsc. Urban Plan. 2006, 77, 17–27. [Google Scholar] [CrossRef]
- Phillips, A.; Plastara, D.; Khan, A.Z.; Canters, F. Integrating public perceptions of proximity and quality in the modelling of urban green space access. Landsc. Urban Plan. 2023, 240, 104875. [Google Scholar] [CrossRef]
- Liu, H.; Li, F.; Xu, L.; Han, B. The impact of socio-demographic, environmental, and individual factors on urban park visitation in Beijing, China. J. Clean. Prod. 2017, 163, S181–S188. [Google Scholar] [CrossRef]
- Wang, P.; Zhou, B.; Han, L.; Mei, R. The motivation and factors influencing visits to small urban parks in Shanghai, China. Urban For. Urban Green. 2021, 60, 127086. [Google Scholar] [CrossRef]
- Akpınar, A. Investigating the barriers preventing adolescents from physical activities in urban green spaces. Urban For. Urban Green. 2020, 53, 126724. [Google Scholar] [CrossRef]
- Mak, B.K.; Jim, C. Linking park users’ socio-demographic characteristics and visit-related preferences to improve urban parks. Cities 2019, 92, 97–111. [Google Scholar] [CrossRef]
- Schindler, M.; Le Texier, M.; Caruso, G. How far do people travel to use urban green space? A comparison of three European cities. Appl. Geogr. 2022, 141, 102673. [Google Scholar] [CrossRef]
- Guo, S.; Song, C.; Pei, T.; Liu, Y.; Ma, T.; Du, Y.; Chen, J.; Fan, Z.; Tang, X.; Peng, Y.; et al. Accessibility to urban parks for elderly residents: Perspectives from mobile phone data. Landsc. Urban Plan. 2019, 191, 103642. [Google Scholar] [CrossRef]
- Zhai, Y.; Wu, H.; Fan, H.; Wang, D. Using mobile signaling data to exam urban park service radius in Shanghai: Methods and limitations. Comput. Environ. Urban Syst. 2018, 71, 27–40. [Google Scholar] [CrossRef]
- Zuniga-Teran, A.A.; Stoker, P.; Gimblett, R.H.; Orr, B.J.; Marsh, S.E.; Guertin, D.P.; Chalfoun, N.V. Exploring the influence of neighborhood walkability on the frequency of use of greenspace. Landsc. Urban Plan. 2019, 190, 103609. [Google Scholar] [CrossRef]
- Mohamed, A.A.; Kronenberg, J.; Łaszkiewicz, E. Transport infrastructure modifications and accessibility to public parks in Greater Cairo. Urban For. Urban Green. 2022, 73, 127599. [Google Scholar] [CrossRef]
- Geng, H.; Zhang, Y.; Chi, J.; He, K.; Feng, S.; Wang, B. What affect the satisfaction, preferences, and visitation of pocket parks? Evidence from Shanghai. J. Outdoor Recreat. Tour. 2024, 46, 100764. [Google Scholar] [CrossRef]
- Elbakidze, M.; Dawson, L.; Milberg, P.; Mikusiński, G.; Hedblom, M.; Kruhlov, I.; Yamelynets, T.; Schaffer, C.; Johansson, K.-E.; Grodzynskyi, M. Multiple factors shape the interaction of people with urban greenspace: Sweden as a case study. Urban For. Urban Green. 2022, 74, 127672. [Google Scholar] [CrossRef]
- Li, C.; Wang, J. Using an age-grouped Gaussian-based two-step floating catchment area method (AG2SFCA) to measure walking accessibility to urban parks: With an explicit focus on elderly. J. Transp. Geogr. 2024, 114, 103772. [Google Scholar] [CrossRef]
- Łaszkiewicz, E.; Kronenberg, J.; Mohamed, A.A.; Roitsch, D.; De Vreese, R. Who does not use urban green spaces and why? Insights from a comparative study of thirty-three European countries. Landsc. Urban Plan. 2023, 239, 104866. [Google Scholar] [CrossRef]
- Lu, J.; Huang, X.; Kupfer, J.A.; Xiao, X.; Li, Z.; Wei, H.; Wang, S.; Zhu, L. Spatial, temporal, and social dynamics in visitation to U.S. national parks: A big data approach. Tour. Manag. Perspect. 2023, 48, 101143. [Google Scholar] [CrossRef]
- Flowers, E.P.; Timperio, A.; Hesketh, K.D.; Veitch, J. Comparing the features of parks that children usually visit with those that are closest to home: A brief report. Urban For. Urban Green. 2020, 48, 126560. [Google Scholar] [CrossRef]
- Zhang, W.; Gao, Y.; Li, S.; Liu, W.; Zeng, C.; Gao, L.; Li, M.; Peng, C. Accessibility measurements for urban parks considering age-grouped walkers’ sectorial travel behavior and built environment. Urban For. Urban Green. 2022, 76, 127715. [Google Scholar] [CrossRef]


| Name | Open Year | Size (ha) | Parameters (m) | Shape Index | Vegetation Coverage (%) | Impervious Surface Coverage (%) | Water Coverage (%) |
|---|---|---|---|---|---|---|---|
| Dongyi Park | 2019 | 6.36 | 1480.41 | 1.66 | 59.20 | 35.63 | 0.00 |
| Xiaoyuan Park | 1986 | 3.40 | 729.74 | 1.12 | 51.74 | 25.09 | 0.00 |
| Yuehu Park | 2006 | 54.74 | 3688.52 | 1.41 | 27.62 | 23.06 | 48.08 |
| Shawan Park | 2014 | 27.06 | 4442.86 | 2.41 | 85.37 | 14.23 | 0.40 |
| Xiangfu Park | 2017 | 26.62 | 2237.33 | 1.22 | 66.03 | 31.46 | 0.90 |
| Nanjiao Park | 1986 | 35.54 | 2798.62 | 1.32 | 94.60 | 3.68 | 0.94 |
| Xihu Park | 2015 | 127.58 | 4851.16 | 1.21 | 34.65 | 17.15 | 47.91 |
| Bafang Park | 2016 | 21.64 | 2219.64 | 1.35 | 84.95 | 12.07 | 0.00 |
| Category | Number | Percentage | Visitation Distance (km) | Visitation Frequency (Times per Season) | |||||
|---|---|---|---|---|---|---|---|---|---|
| Median | 1st–3rd Quantile | ANOVA * | Median | 1st–3rd Quantile | ANOVA * | ||||
| Gender | Male | 1161 | 45.8 | 1.3 | 0.625–2.5 | b | 24 | 12–60 | a |
| Female | 1374 | 54.2 | 1.3 | 0.7–3.3 | a | 24 | 12–48 | b | |
| Age | Younger than 18 | 815 | 32.1 | 1.5 | 0.71–3.3 | a | 12 | 12–24 | e |
| 18–28 | 707 | 27.9 | 1.5 | 0.8–3.95 | a | 24 | 12–36 | d | |
| 29–45 | 565 | 22.3 | 1.21 | 0.612–2.4 | b | 24 | 12–60 | c | |
| 46–60 | 218 | 8.6 | 1 | 0.625–1.8 | c | 42 | 24–72 | b | |
| Older than 60 | 230 | 9.1 | 0.82 | 0.6–1.6 | c | 72 | 48–84 | a | |
| Duration | Less than 1 h | 506 | 20 | 0.92 | 0.582–1.7 | d | 36 | 12–60 | a |
| 1–2 h | 1242 | 49 | 1.1 | 0.611–2.2 | c | 24 | 12–60 | b | |
| 2–3 h | 444 | 17.5 | 1.9 | 0.87–3.9 | b | 12 | 12–36 | c | |
| 3–4 h | 180 | 7.1 | 2.6 | 1.3–5.725 | a | 12 | 12–24 | d | |
| More than 4 h | 163 | 6.4 | 4 | 1.3–8.55 | a | 12 | 3–24 | f | |
| Transportation | On foot | 1397 | 55.1 | 0.82 | 0.543–1.3 | e | 36 | 24–60 | a |
| By bicycle | 125 | 4.9 | 1.5 | 0.92–2.5 | d | 24 | 12–36 | b | |
| By Car | 716 | 28.2 | 2.85 | 1.3–5.4 | c | 12 | 12–24 | c | |
| By Bus | 156 | 6.2 | 3.25 | 1.975–5.7 | b | 12 | 12–36 | c | |
| By subway | 141 | 5.6 | 7.3 | 3.7–9.9 | a | 12 | 3–24 | d | |
| Purposes | Health | 1785 | 70.4 | 1.2 | 0.612–2.3 | b | 24 | 12–60 | a |
| Culture and education | 78 | 3.1 | 1.5 | 0.8–4.25 | a | 36 | 12–60 | c | |
| Social communication | 603 | 23.8 | 1.9 | 0.95–4.6 | a | 12 | 12–24 | b | |
| Others | 69 | 2.7 | 1.2 | 0.8–5 | ab | 12 | 12–36 | b | |
| All | All | 2535 | 100 | 1.3 | 0.65–2.9 | – | 24 | 12–48 | |
| Category | Visitation Density | Visitation Frequency | |||||||
|---|---|---|---|---|---|---|---|---|---|
| a | b | R2 | p | a | b | R2 | p | ||
| Gender | Male | 165.502 | 2.583 | 0.999 | 0 | 45.124 | 13.36 | 0.894 | 0 |
| Female | 174.211 | 2.441 | 0.999 | 0 | 36.954 | 10.898 | 0.827 | 0 | |
| Age | Younger than 18 | 94.497 | 2.288 | 0.999 | 0 | 31.325 | 8.704 | 0.697 | 0 |
| 18–28 | 85.489 | 2.455 | 0.999 | 0 | 38.549 | 11.033 | 0.812 | 0 | |
| 29–45 | 80.394 | 2.551 | 0.998 | 0 | 43.76 | 14.098 | 0.8 | 0 | |
| 46–60 | 36.343 | 2.775 | 0.999 | 0 | 56.838 | 18.534 | 0.671 | 0 | |
| Older than 60 | 43.022 | 2.958 | 0.999 | 0 | 77.278 | 24.987 | 0.812 | 0 | |
| Duration time | Less than 1 h | 88.652 | 2.775 | 0.998 | 0 | 49.503 | 13.137 | 0.315 | 0.009 |
| 1–2 h | 189.072 | 2.655 | 0.999 | 0 | 43.121 | 13.067 | 0.87 | 0 | |
| 2–3 h | 42.519 | 2.078 | 0.998 | 0 | 37.092 | 10.9 | 0.87 | 0 | |
| 3–4 h | 10.62 | 1.705 | 0.995 | 0 | 30.514 | 8.888 | 0.74 | 0 | |
| More than 4 h | 9.021 | 1.785 | 0.987 | 0 | 38.226 | 12.33 | 0.613 | 0 | |
| Transportation mode | On foot | 278.958 | 2.911 | 0.999 | 0 | 51.344 | 15.203 | 0.683 | 0 |
| By bicycle | 12.587 | 1.874 | 0.984 | 0 | 34.456 | 7.448 | 0.246 | 0.066 | |
| By Car | 42.502 | 1.696 | 0.995 | 0 | 33.582 | 10.016 | 0.859 | 0 | |
| By Bus | 4.56 | 1.127 | 0.903 | 0 | 40.786 | 12.497 | 0.696 | 0 | |
| By subway | 1.974 | 1.078 | 0.953 | 0 | 25.306 | 5.753 | 0.289 | 0.004 | |
| Purposes | Health | 264.377 | 2.598 | 0.999 | 0 | 44.677 | 13.97 | 0.898 | 0 |
| Culture and education | 9.24 | 2.472 | 0.999 | 0 | 54.996 | 14.132 | 0.232 | 0.075 | |
| Social communication | 56.891 | 2.149 | 0.998 | 0 | 29.868 | 7.86 | 0.808 | 0 | |
| Others | 9.243 | 2.767 | 0.999 | 0 | 30.353 | 8.215 | 0.454 | 0.001 | |
| All | All | 339.706 | 2.508 | 0.999 | 0 | 40.408 | 11.944 | 0.887 | 0 |
Disclaimer/Publisher’s Note: The statements, opinions and data contained in all publications are solely those of the individual author(s) and contributor(s) and not of MDPI and/or the editor(s). MDPI and/or the editor(s) disclaim responsibility for any injury to people or property resulting from any ideas, methods, instructions or products referred to in the content. |
© 2024 by the authors. Licensee MDPI, Basel, Switzerland. This article is an open access article distributed under the terms and conditions of the Creative Commons Attribution (CC BY) license (https://creativecommons.org/licenses/by/4.0/).
Share and Cite
Shu, D.; Peng, Y.; Zhang, Z.; Shi, R.; Wu, C.; Gan, D.; Li, X. Distance Decay of Urban Park Visitation: Roles of Personal Characteristics and Visitation Patterns. Forests 2024, 15, 1589. https://doi.org/10.3390/f15091589
Shu D, Peng Y, Zhang Z, Shi R, Wu C, Gan D, Li X. Distance Decay of Urban Park Visitation: Roles of Personal Characteristics and Visitation Patterns. Forests. 2024; 15(9):1589. https://doi.org/10.3390/f15091589
Chicago/Turabian StyleShu, Di, Yulin Peng, Ziyu Zhang, Ruirui Shi, Can Wu, Dexin Gan, and Xiaoma Li. 2024. "Distance Decay of Urban Park Visitation: Roles of Personal Characteristics and Visitation Patterns" Forests 15, no. 9: 1589. https://doi.org/10.3390/f15091589
APA StyleShu, D., Peng, Y., Zhang, Z., Shi, R., Wu, C., Gan, D., & Li, X. (2024). Distance Decay of Urban Park Visitation: Roles of Personal Characteristics and Visitation Patterns. Forests, 15(9), 1589. https://doi.org/10.3390/f15091589

