Spatial Variability in Soil Water-Physical Properties in Southern Subtropical Forests of China
Abstract
1. Introduction
2. Materials and Methods
2.1. Study Sites
2.2. Soil Sampling
2.3. Soil Measurements
2.4. Statistical Methods
2.5. Model Validation
3. Results and Discussion
3.1. Statistical Analysis of Soil Water-Physical Properties
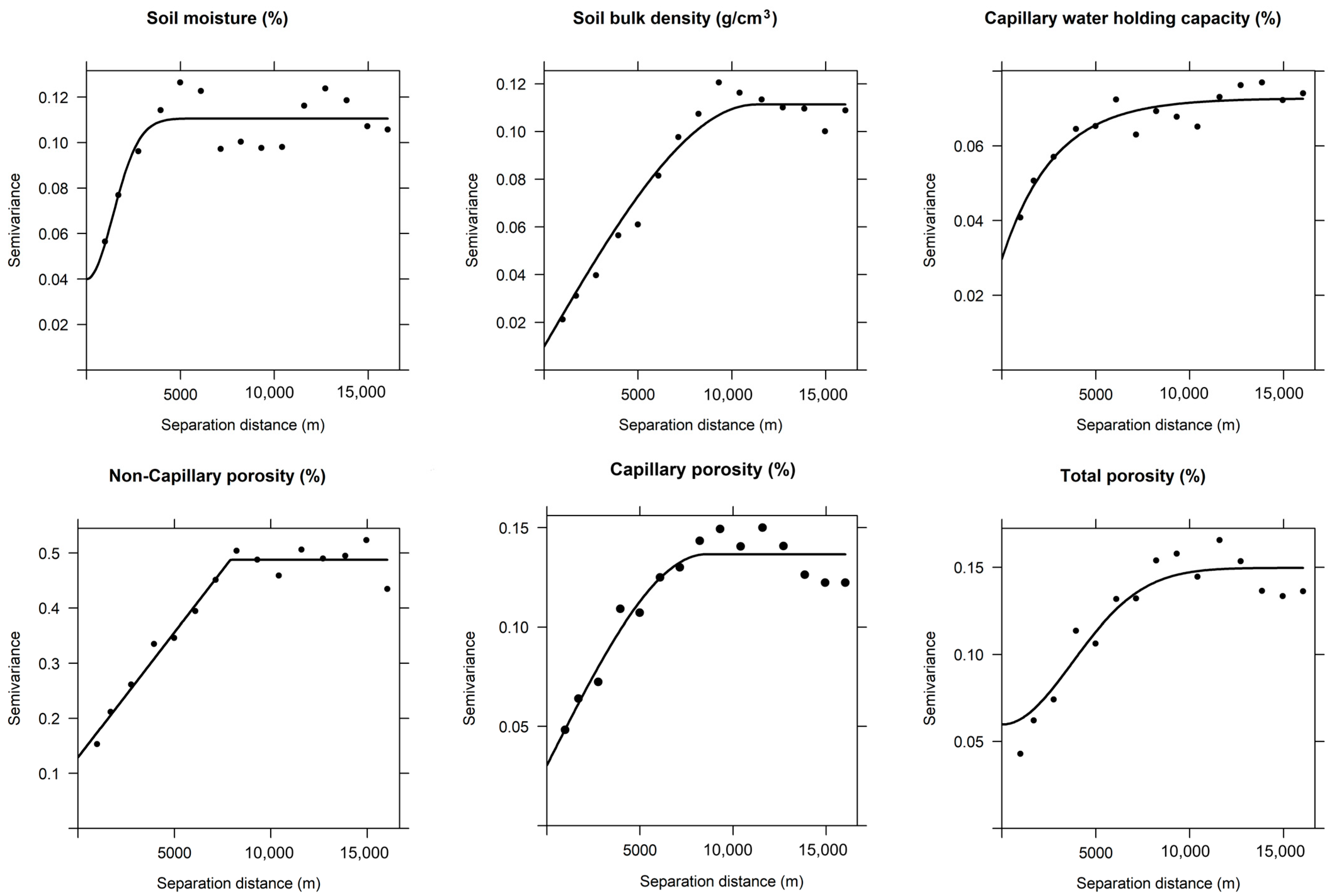
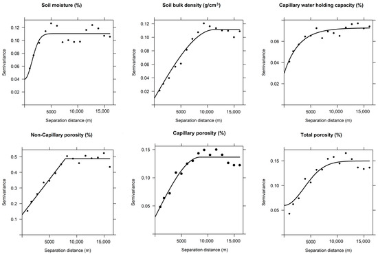
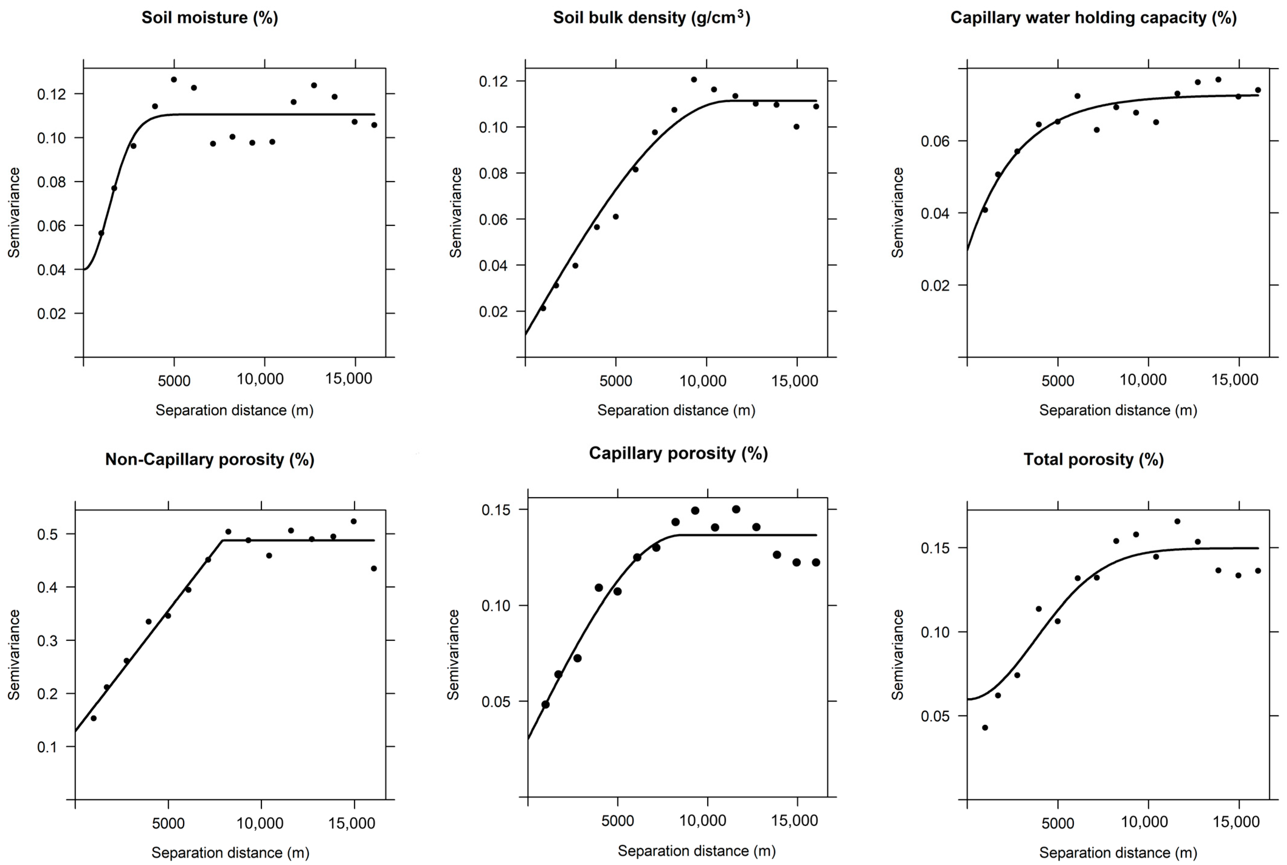
3.2. Spatial Variation Analysis for Soil Water-Physical Properties
3.3. Ordinary Kriging Model Validation
3.4. Pearson Correlation Analysis for Soil Water-Physical Properties
3.5. Spatial Distribution Map
4. Conclusions
Author Contributions
Funding
Data Availability Statement
Acknowledgments
Conflicts of Interest
References
- Phogat, V.K.; Tomar, V.S.; Dahiya, R. Soil Physical Properties. 2015, Chapter 6, pp. 135–171. Available online: https://www.researchgate.net/publication/297737054_Soil_Physical_Properties (accessed on 28 July 2024).
- Ghestem, M.; Sidle, R.C.; Stokes, A. The Influence of Plant Root Systems on Subsurface Flow: Implications for Slope Stability. BioScience 2011, 61, 869–879. [Google Scholar] [CrossRef]
- Moran, M.S.; Peters-Lidard, C.D.; Watts, J.M.; Mcelroy, S. Estimating soil moisture at the watershed scale with satellite-based radar and land surface models. Can. J. Remote Sens. 2004, 30, 805–826. [Google Scholar] [CrossRef]
- Verstraeten, W.W.; Veroustraete, F.; Wagner, W.; Roey, V.; Heyns, W.; Verbeiren, S.; Sande, C.J.V.D.; Feyen, J. Impact Assessment of Remotely Sensed Soil Moisture on Ecosystem Carbon Fluxes across Europe. In Proceedings of the International Workshop on Uncertainty in Greenhouse Gas Inventories, Laxenburg, Austria, 27–28 September 2007; Available online: https://api.semanticscholar.org/CorpusID:133238608 (accessed on 28 July 2024).
- Zheng, F.L. Effect of Vegetation Changes on Soil Erosion on the Loess Plateau. Pedosphere 2006, 16, 420–427. [Google Scholar] [CrossRef]
- Zhu, Y.; Irmak, S.; Jhala, A.J.; Vuran, M.C.; Diotto, A.V. Time-domain and Frequency-domain Reflectometry Type Soil Moisture Sensor Performance and Soil Temperature Effects in Fine- and Coarse-textured Soils. Appl. Eng. Agric. 2019, 35, 117–134. [Google Scholar] [CrossRef]
- Bartens, J.; Wiseman, P.E.; Smiley, E.T. Stability of landscape trees in engineered and conventional urban soil mixes. Urban For. Urban Green. 2010, 9, 333–338. [Google Scholar] [CrossRef]
- Gao, R.; Shi, J.; Huang, R.; Wang, Z.; Luo, Y. Effects of pine wilt disease invasion on soil properties and Masson pine forest communities in the Three Gorges reservoir region, China. Ecol. Evol. 2015, 5, 1702–1716. [Google Scholar] [CrossRef] [PubMed]
- Sasal, M.C.; Andriulo, A.E.; Taboada, M.A. Soil porosity characteristics and water movement under zero tillage in silty soils in Argentinian Pampas. Soil Tillage Res. 2006, 87, 9–18. [Google Scholar] [CrossRef]
- Yu, B.; Xie, C.; Cai, S.; Chen, Y.; Lv, Y.; Mo, Z.; Liu, T.; Yang, Z. Effects of Tree Root Density on Soil Total Porosity and Non-Capillary Porosity Using a Ground-Penetrating Tree Radar Unit in Shanghai, China. Sustainability 2018, 10, 4640. [Google Scholar] [CrossRef]
- Wang, Y.Q.; Shao, M.A. Spatial Variability of Soil Physical Properties in a Region of the Loess Plateau of PR China Subject to Wind and Water Erosion. Land Degrad. Dev. 2013, 24, 296–304. [Google Scholar] [CrossRef]
- Legendre, P. Spatial Autocorrelation: Trouble or New Paradigm? Ecology 1993, 74, 1659–1673. [Google Scholar] [CrossRef]
- Berndtsson, R.; Bahri, A.; Jinno, K. Spatial Dependence of Geochemical Elements in a Semiarid Agricultural Field: II. Geostatistical Properties. Soil Sci. Soc. Am. J. 1993, 57, 289–295. [Google Scholar] [CrossRef]
- Brady, N.C. The nature and properties of soils. 10th ed. J. Range Manag. 1990, 5, 333. [Google Scholar]
- da Luz, F.B.; Carvalho, M.L.; Castioni, G.A.F.; de Oliveira Bordonal, R.; Cooper, M.; Carvalho, J.L.N.; Cherubin, M.R. Soil structure changes induced by tillage and reduction of machinery traffic on sugarcane—A diversity of assessment scales. Soil Tillage Res. 2022, 223, 105469. [Google Scholar] [CrossRef]
- Alwazzan, T.T.; Atti, A.S.J.I.C.S.E.; Science, E. Evaluation of Soil Quality and Health Indices in Relation to Soil Physical Properties of Fedak Farm in Holly Najaf Province. IOP Conf. Ser. Earth Environ. Sci. 2022, 1060, 012023. [Google Scholar] [CrossRef]
- Reza, S.K.; Nayak, D.C.; Chattopadhyay, T.; Mukhopadhyay, S.; Srinivasan, R. Spatial distribution of soil physical properties of alluvial soils: A geostatistical approach. Arch. Agron. Soil Sci. 2015, 62, 151013100517007. [Google Scholar] [CrossRef]
- Mueller, T.G.; Pierce, F.J. Soil Carbon Maps: Enhancing Spatial Estimates with Simple Terrain Attributes at Multiple Scales. Soil Sci. Soc. Am. J. 2003, 67, 258–267. [Google Scholar] [CrossRef]
- Bostan, P. Assessing variations in climate extremes over Euphrates Basin, Turkey. Theor. Appl. Climatol. 2020, 141, 1461–1473. [Google Scholar] [CrossRef]
- Shahbeik, S.; Afzal, P.; Moarefvand…, P. Comparison between ordinary kriging (OK) and inverse distance weighted (IDW) based on estimation error. Case study: Dardevey iron ore deposit, NE Iran. Arab. J. Geosci. 2014, 7, 3693–3704. [Google Scholar] [CrossRef]
- Ouabo, R.E.; Sangodoyin, A.Y.; Ogundiran, M.B. Assessment of Ordinary Kriging and Inverse Distance Weighting Methods for Modeling Chromium and Cadmium Soil Pollution in E-Waste Sites in Douala, Cameroon. J. Health Pollut. 2020, 10, 200605. [Google Scholar] [CrossRef]
- Silatsa, F.B.T.; Yemefack, M.; Tabi, F.O.; Heuvelink, G.B.M.; Leenaars, J.G.B. Assessing countrywide soil organic carbon stock using hybrid machine learning modelling and legacy soil data in Cameroon. Geoderma 2020, 367, 114260. [Google Scholar] [CrossRef]
- Yang, H.; Huang, T.; Li, Y.; Liu, W.; Fu, J.; Huang, B.; Yang, Q. Spatial heterogeneity and influence mechanisms on soil respiration in an old-growth tropical montane rainforest with complex terrain. Front. Ecol. Evol. 2023, 10, 1107421. [Google Scholar] [CrossRef]
- Huang, X.; Liu, S.; Wang, H.; Hu, Z.; Li, Z.; You, Y. Changes of soil microbial biomass carbon and community composition through mixing nitrogen-fixing species with Eucalyptus urophylla in subtropical China. Soil Biol. Biochem. 2014, 73, 42–48. [Google Scholar] [CrossRef]
- Wang, H.; Liu, S.; Wang, J.; Shi, Z.; Lu, L.; Guo, W.; Jia, H.; Cai, D. Dynamics and speciation of organic carbon during decomposition of leaf litter and fine roots in four subtropical plantations of China. For. Ecol. Manag. 2013, 300, 43–52. [Google Scholar] [CrossRef]
- Meng, J.; Lu, Y.; Zeng, J. Transformation of a Degraded Pinus massoniana Plantation into a Mixed-Species Irregular Forest: Impacts on Stand Structure and Growth in Southern China. Forests 2014, 5, 3199–3221. [Google Scholar] [CrossRef]
- LY/T1215-1999; Determination of Forest Soil Water-Physical Properties. Standards Press of China: Beijing, China, 1999; pp. 21–24.
- Robertson, G.P. Geostatistics in Ecology: Interpolating With Known Variance. Ecology 1987, 68, 744–748. [Google Scholar] [CrossRef]
- Gupta, N.; Rudra, R.P.; Parkin, G.; Parkin, R.P. Analysis of spatial variability of hydraulic conductivity at field scale. Can. Biosyst. Eng. 2006, 48, 155–161. Available online: https://www.researchgate.net/publication/229047388 (accessed on 28 July 2024).
- Betzek, N.M.; Souza, E.G.D.; Bazzi, C.L.; Schenatto, K.; Gavioli, A.; Magalhães, P.S.G. Computational routines for the automatic selection of the best parameters used by interpolation methods to create thematic maps. Comput. Electron. Agric. 2019, 157, 49–62. [Google Scholar] [CrossRef]
- Zandi, S.; Ghobakhlou, A.; Sallis, P. Evaluation of Spatial Interpolation Techniques for Mapping Soil pH; Modelling and Simulation Society of Australia and New Zealand: Perth, Australia, 2011; pp. 1153–1159. [Google Scholar] [CrossRef]
- Gao, X.; Xiao, Y.; Deng, L.; Qiquan, L.I.; Wang, C.; Bing, L.I.; Deng, O.; Zeng, M. Spatial variability of soil total nitrogen, phosphorus and potassium in Renshou County of Sichuan Basin, China. J. Integr. Agric. 2019, 18, 279–289. [Google Scholar] [CrossRef]
- Samra, J.S.; Singh, V.P.; Sharma, K.N.S. Analysis of spatial variability in sodic soils: 2. Point- and block-kriging. Soil Sci. 1988, 145, 250–256. [Google Scholar] [CrossRef]
- Bivand, R.S.; Pebesma, E.; Gómez-Rubio, V. Chapter 8: Interpolation and Geostatistics. In Applied Spatial Data Analysis with R; Springer: New York, NY, USA, 2013; Volume 10, pp. 232–260. [Google Scholar] [CrossRef]
- Cressie, N. Fitting variogram models by weighted least squares. J. Int. Assoc. Math. Geol. 1985, 17, 563–586. [Google Scholar] [CrossRef]
- Liu, Z.-P.; Shao, M.-A.; Wang, Y.-Q. Spatial patterns of soil total nitrogen and soil total phosphorus across the entire Loess Plateau region of China. Geoderma 2013, 197–198, 67–78. [Google Scholar] [CrossRef]
- Guan, F.; Xia, M.; Tang, X.; Fan, S. Spatial variability of soil nitrogen, phosphorus and potassium contents in Moso bamboo forests in Yong’an City, China. CATENA 2017, 150, 161–172. [Google Scholar] [CrossRef]
- Kim, M.; Kim, H.-S.; Chung, C.-K. A Three-Dimensional Geotechnical Spatial Modeling Method for Borehole Dataset Using Optimization of Geostatistical Approaches. KSCE J. Civ. Eng. 2020, 24, 778–793. [Google Scholar] [CrossRef]
- Gyasi-Agyei, Y. Identification of the Optimum Rain Gauge Network Density for Hydrological Modelling Based on Radar Rainfall Analysis. Water 2020, 12, 1906. [Google Scholar] [CrossRef]
- Liu, Z.P.; Shao, M.A.; Wang, Y.Q. Large-scale spatial interpolation of soil pH across the Loess Plateau, China. Environ. Earth Sci. 2013, 69, 2731–2741. [Google Scholar] [CrossRef]
- Wang, Y.; Li, Y.; Xiao, D. Catchment scale spatial variability of soil salt content in agricultural oasis, Northwest China. Environ. Geol. 2008, 56, 439–446. [Google Scholar] [CrossRef]
- Liu, Z.P.; Shao, M.A.; Wang, Y.Q. Large-scale spatial variability and distribution of soil organic carbon across the entire Loess Plateau, China. Soil Res. 2012, 50, 114–124. [Google Scholar] [CrossRef]
- Fang, X.; Xue, Z.; Li, B.; An, S. Soil organic carbon distribution in relation to land use and its storage in a small watershed of the Loess Plateau, China. Catena 2012, 88, 6–13. [Google Scholar] [CrossRef]
- Mcgrath, D.; Zhang, C.; Carton, O.T. Geostatistical analyses and hazard assessment on soil lead in Silvermines area, Ireland. Environ. Pollut. 2004, 127, 239–248. [Google Scholar] [CrossRef]
- Yan, P.; Peng, H.; Yan, L.; Lin, K. Spatial Variability of Soil Physical Properties Based on GIS and Geo-Statistical Methods in the Red Beds of the Nanxiong Basin, China. Pol. J. Environ. Stud. 2019, 28, 2961–2972. [Google Scholar] [CrossRef]
- Iqbal, J.; Thomasson, J.A.; Jenkins, J.N.; Owens, P.R.; Whisler, F.D. Spatial Variability Analysis of Soil Physical Properties of Alluvial Soils. Soil Sci. Soc. Am. J. 2005, 69, 1338–1350. [Google Scholar] [CrossRef]
- Wentz, E.A. Modelling Scale in Geographical Information Science (review). Geogr. Anal. 2003, 35, 177–178. [Google Scholar] [CrossRef]
- Cambardella, C.A.; Moorman, T.B.; Novak, J.M.; Parkin, T.B.; Konopka, A.E. Field-Scale Variability of Soil Properties in Central Iowa Soils. Soil Sci. Soc. Am. J. 1994, 58, 1501–1511. [Google Scholar] [CrossRef]
- Robertson, G.P.; Klingensmith, K.M.; Klug, M.J.; Paul, E.A.; Crum, J.R.; Ellis, B.G. Soil Resources, Microbial Activity, and Primary Production across an Agricultural Ecosystem. Ecol. Appl. 1997, 7, 158–170. [Google Scholar] [CrossRef]
- Zheng, H.; Wu, J.; Zhang, S. Study on the Spatial Variability of Farmland Soil Nutrient Based on the Kriging Interpolation. In Proceedings of the 2009 International Conference on Artificial Intelligence and Computational Intelligence, Shanghai, China, 7–8 November 2009; Volume 4, pp. 550–555. [Google Scholar] [CrossRef]
- Naitam, R.; Kharche, V.; Kadu, P.; Mohrana, P.; Sharma, R. Field-scale spatial variability of physical properties of black soils of Purna Valley, India, using Geostatistical Approach. J. Soil Water Conserv. 2018, 17, 325–334. [Google Scholar] [CrossRef]
- Gülser, C.; Ekberli, I.; Candemir, F. Spatial variability of soil physical properties in a cultivated field. Eur. J. Soil Sci. 2016, 5, 192–200. Available online: https://www.researchgate.net/publication/300071023 (accessed on 28 July 2024).
- Reza, S.K.; Dutta, D.; Bandyopadhyay, S.; Singh, S.K. Spatial Variability Analysis of Soil Properties of Tinsukia District, Assam, India. Agric. Res. 2018, 8, 231–238. [Google Scholar] [CrossRef]
- Safari, Y.; Esfandiarpour Boroujeni, I.; Kamali, A.; Salehi, M.H.; Bagheri Bodaghabadi, M. Mapping of the soil texture using geostatistical method (a case study of the Shahrekord plain, central Iran). Arab. J. Geosci. 2012, 6, 3331–3339. [Google Scholar] [CrossRef]
- Jabro, J.D.; Stevens, B.W.; Evans, R.G. Spatial Relationships among Soil Physical Properties in a Grass-Alfalfa Hay Field. Soil Sci. 2006, 171, 719–727. [Google Scholar] [CrossRef][Green Version]
- Liu, C.L.; Wu, Y.Z.; Liu, Q.J. Effects of land use on spatial patterns of soil properties in a rocky mountain area of Northern China. Arab. J. Geosci. 2015, 8, 1181–1194. [Google Scholar] [CrossRef]
- Duffera, M.; White, J.G.; Weisz, R. Spatial variability of Southeastern U.S. Coastal Plain soil physical properties: Implications for site-specific management. Geoderma 2007, 137, 327–339. [Google Scholar] [CrossRef]
- Ghorbani, M.A.; Deo, R.C.; Kashani, M.H.; Shahabi, M.; Ghorbani, S. Artificial intelligence-based fast and efficient hybrid approach for spatial modelling of soil electrical conductivity. Soil Tillage Res. 2019, 186, 152–164. [Google Scholar] [CrossRef]
- Qu, L.; Xiao, H.; Zheng, N.; Zhang, Z.; Xu, Y. Comparison of four methods for spatial interpolation of estimated atmospheric nitrogen deposition in South China. Environ. Sci. Pollut. Res. 2016, 24, 2578–2588. [Google Scholar] [CrossRef]
- Riggers, C.; Poeplau, C.; Don, A.; Bamminger, C.; Dechow, R. Multi-model ensemble improved the prediction of trends in soil organic carbon stocks in German croplands. Geoderma 2019, 345, 17–30. [Google Scholar] [CrossRef]
- Golden, N.; Zhang, C.; Potito, A.; Gibson, P.J.; Bargary, N.; Morrison, L. Use of ordinary cokriging with magnetic susceptibility for mapping lead concentrations in soils of an urban contaminated site. J. Soils Sediments 2019, 20, 1357–1370. [Google Scholar] [CrossRef]
- Wolf, B. Sustainable Soils: The Place of Organic Matter in Sustaining Soils and Their Productivity; CRC Press: New York, NY, USA, 2003. [Google Scholar]
- Bi, X.; Li, B.; Nan, B.; Fan, Y.; Fu, Q.; Zhang, X. Characteristics of soil organic carbon and total nitrogen under various grassland types along a transect in a mountain-basin system in Xinjiang, China. J. Arid. Land 2018, 10, 612–627. [Google Scholar] [CrossRef]
- Li, Y.; Zeng, C.; Long, M. Variation of soil nutrients and bacterial community diversity of different land utilization types in Yangtze River Basin, Chongqing Municipality. PeerJ 2020, 8, e9386. [Google Scholar] [CrossRef] [PubMed]
- Bogunovic, I.; Pereira, P.; Brevik, E.C. Spatial distribution of soil chemical properties in an organic farm in Croatia. Sci. Total Environ. 2017, 584–585, 535–545. [Google Scholar] [CrossRef]
- Luo, M.; Guo, L.; Zhang, H.; Wang, S.; Liang, P. Characterization of Spatial Distribution of Soil Organic Carbon in China Based on Environmental Variables. Acta Pedol. Sin. 2020, 57, 48–59. [Google Scholar] [CrossRef]
- Zhang, B.; Xu, Q.; Gao, D.; Jiang, C.; Liu, F.; Jiang, J.; Wang, T. Altered water uptake patterns of Populus deltoides in mixed riparian forest stands. Sci. Total Environ. 2020, 706, 135956. [Google Scholar] [CrossRef]
- Toivio, J.; Helmisaari, H.-S.; Palviainen, M.; Lindeman, H.; Ala-Ilomäki, J.; Sirén, M.; Uusitalo, J. Impacts of timber forwarding on physical properties of forest soils in southern Finland. For. Ecol. Manag. 2017, 405, 22–30. [Google Scholar] [CrossRef]
- Lin, D.; Fan, H.; Su, B.; Liu, C.; Jiang, Z. Effect of interplantation of broad-leaved trees in Pinus massoniana forest on physical and chemical properties of the soil. Acta Pedol. Sin. 2004, 41, 655–659. [Google Scholar]
- Yusheng, Y.; Guangshui, C.; Zongming, H.; Amp, C.Y.; Jianfen, G. Production, distribution and nutrient return of fine roots in a mixed and a pure forest in subtropical China. Chin. J. Appl. Environ. Biol. 2002, 8, 223–233. Available online: https://api.semanticscholar.org/CorpusID:87895541 (accessed on 28 July 2024).




| Physical Property | Mean | Min | Max | Med | SD | CV (%) | Skewness | Kurtosis | p-Value of S–W Test |
|---|---|---|---|---|---|---|---|---|---|
| SM (%) | 31.07 | 10.48 | 64.65 | 30.32 | 10.15 | 0.33 | 0.39 | −0.02 | 0.0817 |
| SBD (g/cm3) | 1.14 | 0.68 | 1.58 | 1.14 | 0.18 | 0.16 | −0.16 | −0.33 | 0.5932 |
| CWHC (%) | 43.62 | 20.30 | 102.30 | 42.30 | 13.64 | 0.31 | 1.10 | 2.15 | <0.0001 |
| NCP (%) | 7.71 | 1.04 | 29.11 | 6.26 | 5.28 | 0.69 | 1.36 | 1.85 | <0.0001 |
| CP (%) | 47.37 | 25.39 | 69.34 | 47.61 | 8.42 | 0.18 | 0.08 | −0.39 | 0.7096 |
| TP (%) | 55.07 | 35.15 | 79.81 | 55.17 | 8.12 | 0.15 | 0.01 | 0.17 | 0.2800 |
| Physical Property | Model | Nugget (C0) | Sill (C0 + C) | Nugget/Sill C0/C0 + C | Range (A0, m) | R2 | Residuals |
|---|---|---|---|---|---|---|---|
| SM (%) | Gau | 0.04 | 0.11 | 0.36 | 3,419 | 0.723 | 0.00136 |
| SBD (g/cm3) | Sph | 0.01 | 0.11 | 0.09 | 11284 | 0.961 | 0.00003 |
| CWHC (%) | Exp | 0.03 | 0.07 | 0.41 | 8,340 | 0.880 | 0.00017 |
| NCP (%) | Lin | 0.13 | 0.48 | 0.26 | 7901 | 0.963 | 0.01764 |
| CP (%) | Sph | 0.03 | 0.14 | 0.22 | 8859 | 0.921 | 0.00127 |
| TP (%) | Gau | 0.02 | 0.09 | 0.22 | 14156 | 0.956 | 0.00035 |
| Physical Property | AME | ME | RMSE |
|---|---|---|---|
| SM (%) | 0.2171 | 0.0043 | 0.2833 |
| SBD (g/cm3) | 0.0940 | −0.0006 | 0.1295 |
| CWHC (%) | 0.1701 | 0.0009 | 0.2303 |
| NCP (%) | 0.2807 | 0.0010 | 0.3851 |
| CP (%) | 0.1786 | 0.0011 | 0.2414 |
| TP (%) | 0.1431 | 0.0009 | 0.1903 |
| Physical Property | SM | SBD | CWHC | NCP | CP | TP |
|---|---|---|---|---|---|---|
| SM | 1 | |||||
| SBD | −0.660 ** | 1 | ||||
| CWHC | 0.809 ** | −0.833 ** | 1 | |||
| NCP | −0.004 | −0.320 ** | −0.071 | 1 | ||
| CP | 0.785 ** | −0.499 ** | 0.851 ** | −0.368 ** | 1 | |
| TP | 0.810 ** | −0.725 ** | 0.835 ** | 0.269 ** | 0.796 ** | 1 |
Disclaimer/Publisher’s Note: The statements, opinions and data contained in all publications are solely those of the individual author(s) and contributor(s) and not of MDPI and/or the editor(s). MDPI and/or the editor(s) disclaim responsibility for any injury to people or property resulting from any ideas, methods, instructions or products referred to in the content. |
© 2024 by the authors. Licensee MDPI, Basel, Switzerland. This article is an open access article distributed under the terms and conditions of the Creative Commons Attribution (CC BY) license (https://creativecommons.org/licenses/by/4.0/).
Share and Cite
Han, L.; Wang, C.; Meng, J.; He, Y. Spatial Variability in Soil Water-Physical Properties in Southern Subtropical Forests of China. Forests 2024, 15, 1590. https://doi.org/10.3390/f15091590
Han L, Wang C, Meng J, He Y. Spatial Variability in Soil Water-Physical Properties in Southern Subtropical Forests of China. Forests. 2024; 15(9):1590. https://doi.org/10.3390/f15091590
Chicago/Turabian StyleHan, Lili, Chao Wang, Jinghui Meng, and Youjun He. 2024. "Spatial Variability in Soil Water-Physical Properties in Southern Subtropical Forests of China" Forests 15, no. 9: 1590. https://doi.org/10.3390/f15091590
APA StyleHan, L., Wang, C., Meng, J., & He, Y. (2024). Spatial Variability in Soil Water-Physical Properties in Southern Subtropical Forests of China. Forests, 15(9), 1590. https://doi.org/10.3390/f15091590

