The Role of Leaching in Soil Carbon, Nitrogen, and Phosphorus Distributions in Subalpine Coniferous Forests on Gongga Mountain, Southwest China
Abstract
1. Introduction
2. Materials and Methods
2.1. Study Region
2.2. Soil Sampling
2.3. Chemical Analysis
2.4. Data Analysis
3. Results
3.1. Soil Properties
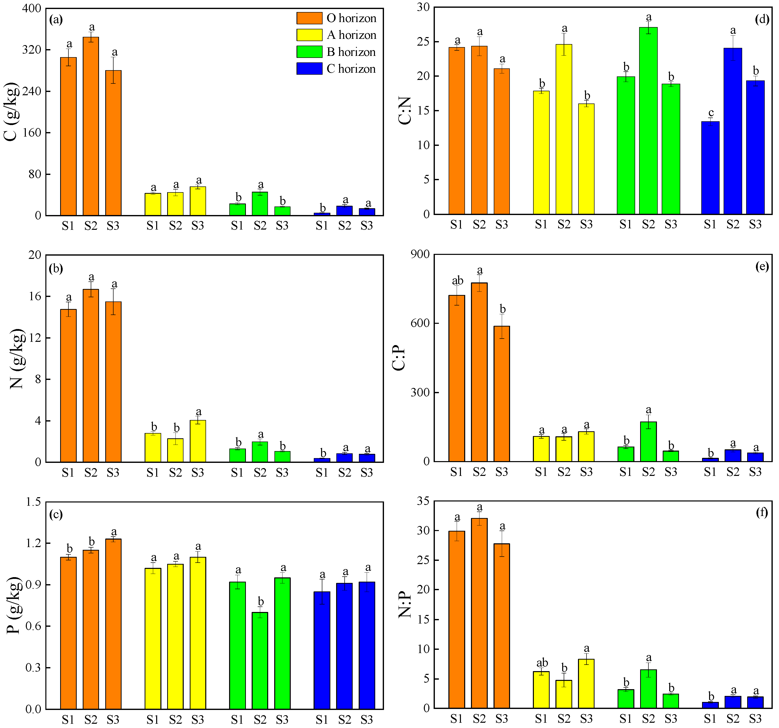
3.2. The Concentrations and Atomic Ratios of C, N, and P in Soils
3.3. Impacts of Soil Properties on the C, N, and P Concentrations
3.4. Impacts of Soil Properties on the C:N:P Stoichiometry
4. Discussion
4.1. Leaching Effects on Concentrations of C, N, and P in Soils
| No. | Study Area | Concentrations (g kg−1) | Atomic Ratios | References | |||||
|---|---|---|---|---|---|---|---|---|---|
| C | N | P | C:N | C:P | N:P | ||||
| 1 | Abies fabri (Mast.) Craib forest, Gongga Mountain, China | O horizon | 310 (12) | 15.6 (0.5) | 1.16 (0.02) | 23.19 | 694.91 | 29.90 | This study a |
| A horizon | 47 (3) | 3.0 (0.3) | 1.06 (0.02) | 19.45 | 115.84 | 6.41 | |||
| B horizon | 28 (4) | 1.4 (0.1) | 0.86 (0.04) | 21.90 | 93.78 | 4.03 | |||
| C horizon | 12 (2) | 0.7 (0.1) | 0.89 (0.04) | 18.89 | 31.14 | 1.66 | |||
| 2 | Picea crassifolia forest, Qilian Mountains, China | 0–10 cm | 87.10 | 5.59 | 0.61 | 18.40 | 369.85 | 20.53 | [9] |
| 10–20 cm | 81.23 | 5.50 | 0.58 | 17.18 | 365.46 | 21.37 | |||
| 20–30 cm | 76.93 | 4.98 | 0.57 | 17.97 | 351.95 | 14.59 | |||
| 3 | Mixed spruce–fir–broadleaved forest, Jingouling Forest Farm, China | 0–20 cm | 77.54 | 4.44 | 2.01 | 17.5 | 38.6 | 2.2 | [34] |
| 20–40 cm | 39.73 | 0.78 | 0.62 | 50.9 | 64.1 | 1.3 | |||
| 4 | Forest, China | 0–20 cm | / | / | / | 8.4 (3.4) | 93 (130.1) | 13.8 (22.8) | [36] |
| Mean in all soils | / | / | / | 10.7 | 100 | 10.3 | |||
| 5 | Temperate forests, China | 0–10 cm | 24.60 | 1.88 | 0.78 | 14.4 | 136 | 9.3 | [35] |
| 10–50 cm | 14.09 | 1.34 | 0.71 | 12.3 | 74 | 6.1 | |||
| 50–100 cm | 7.40 | 0.74 | 0.59 | 11.2 | 46 | 4.2 | |||
| 6 | Forest, Global | 0–10 cm | / | / | / | 14.5 | 211.7 | 14.6 | [37] |
| 7 | Temperate coniferous forest, Global | 0–15 cm | 44.75 | 3.01 | 0.38 | 19.9 | 318.5 | 15.2 | [38] |
4.2. Leaching Effects on Soil C:N:P Stoichiometry
5. Conclusions
Author Contributions
Funding
Data Availability Statement
Acknowledgments
Conflicts of Interest
References
- Wu, X.; Chong, P.; Xu, E.; Zhao, W.; Jing, W.; Jin, M.; Zhao, J.; Wang, S.; Wang, R.; Ma, X. Relationships between Regeneration of Qinghai Spruce Seedlings and Soil Stoichiometry across Elevations in a Forest in North-Western China. Forests 2024, 15, 267. [Google Scholar] [CrossRef]
- Chen, Y.; Li, Y.; Wang, L.; Duan, Y.; Cao, W.; Wang, X.; Li, Y. Heterogeneity of Leaf Stoichiometry of Different Life Forms along Environmental Transects in Typical Ecologically Fragile Areas of China. Sci. Total Environ. 2023, 910, 168495. [Google Scholar] [CrossRef]
- Xia, G.; Guo, Q.; Lu, Q.; Du, Y.; Kang, Q. Soil Nutrients and Ecological Stoichiometry Characteristics Under Different Land Use Patterns in Loess Hilly Area. Bull. Soil Water Conserv. 2020, 40, 140–147, 153. [Google Scholar]
- Wang, Y.; Zhang, Y.; Wang, L.; Jing, X.; Yu, L.; Liu, P. Response of Leaf Biomass, Leaf and Soil C:N:P Stoichiometry Characteristics to Different Site Conditions and Forest Ages: A Case of Pinus Tabuliformis Plantations in the Temperate Mountainous Area of China. Front. Plant Sci. 2022, 13, 1060406. [Google Scholar] [CrossRef] [PubMed]
- Ma, R.; Hu, F.; Liu, J.; Wang, C.; Wang, Z.; Liu, G.; Zhao, S. Shifts in Soil Nutrient Concentrations and C:N:P Stoichiometry during Long-Term Natural Vegetation Restoration. PeerJ 2020, 8, 8382. [Google Scholar] [CrossRef] [PubMed]
- Lasota, J.; Blonska, E. C:N:P Stoichiometry as an Indicator of Histosol Drainage in Lowland and Mountain Forest Ecosystems. For. Ecosyst. 2021, 8, 513–522. [Google Scholar] [CrossRef]
- Wu, H.; Zou, M.; Wang, S.; Wan, H. Eco-stoichiometry Characteristics of Soil within Pine and Oak Mixed Forest and Theirs Responses to Elevation Gradient in Qinling Mountains. Ecol. Environ. Sci. 2019, 28, 2323–2331. [Google Scholar]
- Li, X.; Liu, G.; Wu, X.; Gi, G.; Li, L.; Mao, L.; Xu, H.; Wu, X. Elevational Distribution of Soil Organic Carbon, Nitrogen and Phosphorus Contents and Their Ecological Stoichiometry on Maxian Mountain. Chin. J. Ecol. 2020, 39, 758–765. [Google Scholar]
- Chen, L.; Long, Y.; Shen, X.; Jin, L.; Du, H. Ecological Stoichiometry of Soil C, N and P in Different Elevations of Picea crassipes Forest in Qilian Mountains. J. Northwest Norm. Univ. (Nat. Sci.) 2023, 59, 111–120. [Google Scholar]
- Huang, W.; Liu, C.; Liu, Y.; Huang, B.; Li, D.; Yuan, Z. Soil Ecological Stoichiometry and its Influencing Factors at Different Elevations in Nanling Mountains. Ecol. Environ. Sci. 2023, 32, 80–89. [Google Scholar]
- Li, L.; Li, S.; Deng, D.; Tu, W.; Vladimirov, D. Effect of Elevation on Soil Nutrient Content and Stoichiometric Characteristics under Hippophae rhamnoides L. Shrubs in Upper Min River. Southwest China J. Agric. Sci. 2019, 32, 1098–1103. [Google Scholar]
- Pepin, N.; Arnone, E.; Gobiet, A.; Haslinger, K.; Kotlarski, S.; Notarnicola, C.; Palazzi, E.; Seibert, P.; Serafin, S.; Schöner, W.; et al. Climate Changes and Their Elevational Patterns in the Mountains of the World. Rev. Geophys. 2022, 60, e2020RG000730. [Google Scholar] [CrossRef]
- Hensgens, G.; Laudon, H.; Peichl, M.; Gil, I.; Zhou, Q.; Berggren, M. The Role of the Understory in Litter DOC and Nutrient Leaching in Boreal Forests. Biogeochemistry 2020, 149, 87–103. [Google Scholar] [CrossRef]
- Wu, P.; Ding, Y.; Li, S.; Sun, X.; Zhang, Y.; Mao, R. Carbon, Nitrogen and Phosphorus Stoichiometry Controls Interspecific Patterns of Leaf Litter-Derived Dissolved Organic Matter Biodegradation in Subtropical Plantations of China. iForest-Biogeosci. For. 2021, 14, 80–85. [Google Scholar] [CrossRef]
- Kopacek, J.; Bace, R.; Choma, M.; Hejzlar, J.; Kaña, J.; Oulehle, F.; Porcal, P.; Svoboda, M.; Tahovská, K. Carbon and Nutrient Pools and Fluxes in Unmanaged Mountain Norway Spruce Forests, and Losses after Natural Tree Dieback. Sci. Total Environ. 2023, 903, 166233. [Google Scholar] [CrossRef] [PubMed]
- Pourmasoumi, M.; Khormali, F.; Ayoubi, S.; Kehl, M.; Kiani, F. Development and Magnetic Properties of Loess-Derived Forest Soils along a Precipitation Gradient in Northern Iran. J. Mt. Sci. 2019, 16, 1848–1868. [Google Scholar] [CrossRef]
- Liu, X.; Luo, C.; Xiang, Y.; Xiao, Y.; Zhou, S.; Tie, L.; Hu, J.; Han, B.; Huang, S.; Huang, C. Effects of Simulated Precipitation Changes on Soil Enzyme Activities in a Natural, Evergreen, Broad-Leaf Forest in the Rainy Area of Western China. Chin. J. Appl. Environ. Biol. 2020, 26, 635–642. [Google Scholar]
- Weil, S.; Martinez-Almoyna, C.; Piton, G.; Renaud, J.; Boulangeat, L.; Foulquier, A.; Saillard, A.; Choler, P.; Poulenard, J.; Münkemüller, T.; et al. Strong Links between Plant Traits and Microbial Activities but Different Abiotic Drivers in Mountain Grasslands. J. Biogeogr. 2021, 48, 2755–2770. [Google Scholar] [CrossRef]
- Chen, Q.; Zhou, Z.; Cai, S.; Lv, M.; Yang, Y.; Luo, Y.; Jiang, H.; Liu, R.; Cao, T.; Yao, B.; et al. Spatial-temporal Variation of Soil Organic Matter Decomposition Potential in China. Soil Tillage Res. 2024, 235, 105898. [Google Scholar] [CrossRef]
- Yang, Y.; Wang, K.; Hu, Z.; Wang, G. Meteorological Dataset Observed by Alpine Ecosystem Observation and Experiment Station of Gongga Mountain, Chinese Academic of Sciences, during 1998-2018. China Sci. Data 2020, 5, 1–10. [Google Scholar]
- He, X.; Zhou, J.; Wu, Y.; Bing, H.; Sun, H.; Wang, J. Leaching Disturbed the Altitudinal Distribution of Soil Organic Phosphorus in Subalpine Coniferous Forests on Mt. Gongga, SW China. Geoderma 2018, 326, 144–155. [Google Scholar] [CrossRef]
- Niu, J.; Yu, X.; Zhao, Y.; Zhang, D.; Chen, L.; Zhang, Z. Study of Soil Preferential Flow in the Dark Coniferous Forest of Gongga Mountain, China. Acta Phytoecol. Sin. 2006, 30, 732–742. [Google Scholar]
- Luo, J.; Yang, Z.; Yang, Q. A Study of the Biomass and Production of Forest on the Gongga Mountain. Acta Phytoecol. Sin. 2000, 24, 191–196. [Google Scholar]
- Luo, J.; Cheng, G.; Chen, B.; Li, W. Characteristic of Forests Litterfall along Vertical Spectrum on the Gongga Mountain. J. Mt. Sci. 2003, 21, 287–292. [Google Scholar]
- Shen, Z.; Fang, J.; Liu, Z.; Wu, J. Patterns of Biodiversity along the Vertical Vegetation Spectrum of the East Aspect of Gongga Mountain. Acta Phytoecol. Sin. 2001, 25, 721–732. [Google Scholar]
- Yu, D. Vertical Zonal Characteristics of Soil in Gongga Mountain. Chin. J. Soil Sci. 1984, 15, 65–68. [Google Scholar]
- IUSS Working Group WRB. World Reference Base for Soil Resources 2014. International Soil Classification System for Naming Soils and Creating Legends for Soil Maps; World Soil Resour. Rep. No. 106; FAO: Rome, Italy, 2014; pp. 143, 156. [Google Scholar]
- Maynard, D.; Curran, M. Soil Density Measurement in Forest Soils. In Soil Sampling and Methods of Analysis, 2nd ed.; Cartery, M., Gregorich, E., Eds.; CRC Press—Taylor & Francis Group: Boca Raton, FL, USA, 2006; pp. 863–869. [Google Scholar]
- Carter, M.; Gregorich, E. Soil Sampling and Methods of Analysis, 2nd ed.; CRC Press: Boca Raton, FL, USA, 2006; pp. 307–316. [Google Scholar]
- Murphy, J.; Riley, J. A Modified Single Solution Method for the Determination of Phosphate in Natural Waters. Anal. Chim. Acta 1962, 27, 31–36. [Google Scholar] [CrossRef]
- Wu, J.; He, Z.; Wei, W.; O’Donnell, A.; Syers, J. Quantifying Microbial Biomass Phosphorus in Acid Soils. Biol. Fertil. Soils 2000, 32, 500–507. [Google Scholar] [CrossRef]
- Bol, R.; Julich, D.; Brödlin, D.; Siemens, J.; Kaiser, K.; Dippold, M.A.; Spielvogel, S.; Zilla, T.; Mewes, D.; von Blanckenburg, F.; et al. Dissolved and Colloidal Phosphorus Fluxes in Forest Ecosystems-An almost Blind Spot in Ecosystem Research. J. Plant Nutr. Soil Sci. 2016, 179, 425–438. [Google Scholar] [CrossRef]
- Lavkulich, L.M.; Arocena, J.M. Luvisolic Soils of Canada: Genesis, Distribution, and Classification. Can. J. Soil Sci. 2011, 91, 781–806. [Google Scholar] [CrossRef]
- Zhao, H.; Wang, H.; Hu, X.; Lei, X.; Du, X.; Zou, J.; Cui, X. Influencing Factors of Soil Organic Carbon in Mixed Spruce-fir-broadleaved Forest based on Structural Equation. Chin. J. Ecol. 2024, 43, 264–272. [Google Scholar]
- Tian, H.; Chen, G.; Zhang, C.; Melillo, J.; Hall, C. Pattern and Variation of C:N:P Ratios in China’s Soils: A Synthesis of Observational Data. Biogeochemistry 2010, 98, 139–151. [Google Scholar] [CrossRef]
- Pan, Y.; Fang, F.; Tang, H. Patterns and Internal Stability of Carbon, Nitrogen, and Phosphorus in Soils and Soil Microbial Biomass in Terrestrial Ecosystems in China: A Data Synthesis. Forests 2021, 12, 1544. [Google Scholar] [CrossRef]
- Cleveland, C.; Liptzin, D. C:N:P Stoichiometry in Soil: Is There A “Redfield ratio” for the Microbial Biomass? Biogeochemistry 2007, 85, 235–252. [Google Scholar] [CrossRef]
- Xu, X.; Thornton, P.; Post, W. A Global Analysis of Soil Microbial Biomass Carbon, Nitrogen and Phosphorus in Terrestrial Ecosystems. Glob. Ecol. Biogeogr. 2013, 22, 737–749. [Google Scholar] [CrossRef]
- Mattsson, T.; Finér, L.; Kortelainen, P.; Sallantaus, T. Brook Water Quality and Background Leaching from Unmanaged Forested Catchments in Finland. Water Air Soil Pollut. 2003, 147, 275–298. [Google Scholar] [CrossRef]
- Jiang, J.; Wang, Y.; Yu, M.; Cao, N.; Yan, J. Soil Organic Matter is Important for Acid Buffering and Reducing Aluminum Leaching from Acidic Forest Soils. Chem. Geol. 2018, 501, 86–94. [Google Scholar] [CrossRef]




| Horizons | Site | Temp. 2 (°C) | Mois. 3 (%) | pH | Feox 4 (g kg−1) | Alox 4 (g kg−1) | MBC 5 (mg kg−1) | MBN 5 (mg kg−1) | MBP 5 (mg kg−1) | Clit 6 (g kg−1) | Nlit 6 (g kg−1) | Plit 6 (mg kg−1) |
|---|---|---|---|---|---|---|---|---|---|---|---|---|
| O | S1 | 9.2 (0.0) a | 214 (14) b | 5.1 (0.1) a | 2.3 (0.4) a | 0.88 (0.14) a | 927.9 (92.4) a | 199.9 (13.5) a | 119.7 (9.1) a | 428 (9) a | 14.8 (0.6) a | 547 (7) b |
| S2 | 7.9 (0.2) b | 338 (30) a | 4.2 (0.1) b | 1.2 (0.1) b | 0.68 (0.09) a | 590.7 (76.3) b | 148.1 (12.9) b | 97.1 (7.8) a | 452 (5) a | 14.5 (1.0) a | 686 (19) a | |
| S3 | 7.0 (0.0) c | 281 (35) ab | 4.8 (0.1) a | 1.4 (0.3) b | 0.66 (0.11) a | 655.1 (63.9) b | 141.7 (3.9) b | 108.0 (10.6) a | 447 (11) a | 15.5 (0.3) a | 427 (11) c | |
| Average | 8.0 (0.3) | 277 (19) | 4.7 (0.1) | 1.6 (0.2) | 0.74 (0.07) | 724.6 (55.4) | 163.2 (8.7) | 108.3 (5.5) | 442 (5) | 14.9 (0.4) | 553 (27) | |
| A | S1 | 8.8 (0.2) a | 61 (14) a | 5.0 (0.1) a | 7.8 (0.8) a | 3.57 (0.43) a | 131.7 (26.6) ab | 35.7 (7.0) a | 17.7 (2.5) a | |||
| S2 | 7.1 (0.2) b | 63 (6) a | 4.3 (0.1) b | 4.0 (0.6) b | 1.90 (0.29) b | 74.6 (10.4) b | 12.1 (1.7) b | 5.1 (0.9) b | ||||
| S3 | 6.3 (0.3) b | 64 (6) a | 4.5 (0.1) b | 5.0 (0.4) b | 1.67 (0.16) b | 166.8 (21.2) a | 33.2 (4.5) a | 21.2 (4.4) a | ||||
| Average | 7.4 (0.4) | 62 (5) | 4.6 (0.1) | 5.6 (0.5) | 2.38 (0.27) | 124.4 (14.4) | 27.0 (3.7) | 14.7 (2.3) | ||||
| B | S1 | 8.4 (0.2) a | 45 (6) a | 5.8 (0.2) a | 6.2 (0.6) b | 4.66 (0.68) b | 27.4 (8.1) a | 5.6 (1.8) a | 1.6 (0.7) a | |||
| S2 | 6.7 (0.4) b | 56 (13) a | 4.9 (0.1) b | 13.8 (1.2) a | 7.59 (0.68) a | 21.4 (12.3) a | 7.2 (2.7) a | 0.8 (0.8) a | ||||
| S3 | 5.6 (0.0) c | 31 (1) a | 5.4 (0.1) ab | 5.1 (0.3) b | 2.49 (0.16) c | 13.2 (6.9) a | 6.4 (1.4) a | 1.5 (0.7) a | ||||
| Average | 6.9 (0.4) | 44 (5) | 5.3 (0.1) | 8.3 (1.0) | 4.91 (0.59) | 20.7 (5.3) | 6.4 (1.1) | 1.3 (0.4) | ||||
| C | S1 | 18 (2) b | 6.3 (0.2) a | 1.4 (0.1) c | 1.96 (0.32) b | 13.5 (4.9) a | 6.6 (2.3) a | 0.9 (0.9) a | ||||
| S2 | 43 (6) a | 5.6 (0.2) b | 6.9 (1.2) a | 6.34 (1.20) a | 10.7 (4.7) a | 4.4 (1.4) a | 0.9 (0.5) a | |||||
| S3 | 34 (3) a | 5.8 (0.1) b | 4.4 (0.4) b | 1.94 (0.20) b | 15.5 (4.3) a | 4.7 (0.7) a | 0.4 (0.4) a | |||||
| Average | 32 (3) | 5.9 (0.1) | 4.2 (0.7) | 3.41 (0.64) | 13.2 (2.6) | 5.2 (0.9) | 0.7 (0.3) |
| Site | S1 | S2 | S3 |
|---|---|---|---|
| FeoxA/FeoxB | 1.31 (0.17) a | 0.30 (0.05) b | 1.01 (0.10) a |
| AloxA/AloxB | 0.83 (0.12) a | 0.26 (0.04) b | 0.67 (0.06) a |
| CA/CB | 1.98 (0.16) b | 1.02 (0.13) c | 3.29 (0.18) a |
| NA/NB | 2.19 (0.13) b | 1.16 (0.20) c | 3.93 (0.31) a |
| PA/PB | 1.11 (0.02) b | 1.53 (0.08) a | 1.17 (0.07) b |
Disclaimer/Publisher’s Note: The statements, opinions and data contained in all publications are solely those of the individual author(s) and contributor(s) and not of MDPI and/or the editor(s). MDPI and/or the editor(s) disclaim responsibility for any injury to people or property resulting from any ideas, methods, instructions or products referred to in the content. |
© 2024 by the authors. Licensee MDPI, Basel, Switzerland. This article is an open access article distributed under the terms and conditions of the Creative Commons Attribution (CC BY) license (https://creativecommons.org/licenses/by/4.0/).
Share and Cite
He, X.; Wang, Y.; He, J.; Wu, Y. The Role of Leaching in Soil Carbon, Nitrogen, and Phosphorus Distributions in Subalpine Coniferous Forests on Gongga Mountain, Southwest China. Forests 2024, 15, 1326. https://doi.org/10.3390/f15081326
He X, Wang Y, He J, Wu Y. The Role of Leaching in Soil Carbon, Nitrogen, and Phosphorus Distributions in Subalpine Coniferous Forests on Gongga Mountain, Southwest China. Forests. 2024; 15(8):1326. https://doi.org/10.3390/f15081326
Chicago/Turabian StyleHe, Xiaoli, Yaning Wang, Junbo He, and Yanhong Wu. 2024. "The Role of Leaching in Soil Carbon, Nitrogen, and Phosphorus Distributions in Subalpine Coniferous Forests on Gongga Mountain, Southwest China" Forests 15, no. 8: 1326. https://doi.org/10.3390/f15081326
APA StyleHe, X., Wang, Y., He, J., & Wu, Y. (2024). The Role of Leaching in Soil Carbon, Nitrogen, and Phosphorus Distributions in Subalpine Coniferous Forests on Gongga Mountain, Southwest China. Forests, 15(8), 1326. https://doi.org/10.3390/f15081326
