Endogenous Phytohormone and Transcriptome Analysis Provided Insights into Seedling Height Growth of Pinus yunnanensis
Abstract
1. Introduction
2. Materials and Methods
2.1. Plant Material
2.2. Transcriptome Sequencing and Bioinformatics Analysis
2.3. Determination of the Contents of Endogenous Phytohormones
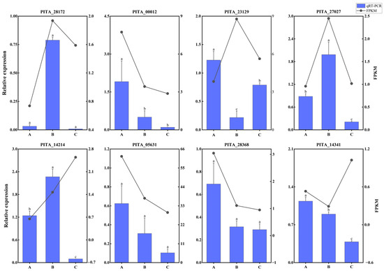
2.4. Validation of Transcriptome Data Using qRT-PCR
2.5. Data Statistics and Analysis
3. Results
3.1. Plant Height Differences of P. yunnanensis among Different Grades
3.2. Analysis of Endogenous Phytohormone Content in P. yunnanensis Seedlings of Different Grades
3.3. Transcriptome Analysis of P. yunnanensis
3.4. Differentially Expressed Genes among Different P. yunnanensis Seedling Grades
3.5. Functional Annotation by GO and Enrichment Analysis of KEGG Metabolic Pathway of Differentially Expressed Genes
3.5.1. GO Functional Annotation Enrichment Analysis
3.5.2. KEGG Metabolic Pathway Enrichment Analysis
3.6. Metabolic Pathways of Differentially Expressed Genes with Endogenous Phytohormones
3.7. Validation of qRT-PCR for Phytohormone Metabolism Genes
4. Discussion
4.1. Differences in the Contents and Ratios of Endogenous Phytohormones in P. yunnanensis Seedlings in Different Grades
4.2. Analysis of DEGs of P. yunnanensis among Different Grades
4.3. Relationship between Plant Growth-Related Hormone Signal Transduction Gene Expression and Plant Height Growth
5. Conclusions
Supplementary Materials
Author Contributions
Funding
Data Availability Statement
Acknowledgments
Conflicts of Interest
References
- Zhao, X.; Sun, X.; Zhao, L.; Huang, L.; Wang, P. Morphological, transcriptomic and metabolomic analyses of Sophora davidii mutants for plant height. BMC Plant Biol. 2022, 22, 1–17. [Google Scholar] [CrossRef]
- Chen, Y. Transcriptomic and Metabolomic Integrative Analysis to Identify Key Genes Invoved in the Regulation Castor Plant Height Development. Ph.D. Thesis, Zhejiang University, Hangzhou, China, 2021. [Google Scholar]
- Li, Y.; Nie, K.; Wang, J.; Sun, J.; Chen, S.; Xu, Y.; Cai, N. The impact of seedling differentiation on the biomass allocation of Pinus yunnanensis. J. Shanxi Agric. Univ. (Nat. Sci. Ed.) 2019, 39, 41–45. [Google Scholar] [CrossRef]
- Liu, Y. Theory and Technology of Seedling Quality Control; Chinese Press of Forestry: Beijing, China, 1999. [Google Scholar]
- Kang, Y. Studies on Techniques of Fertilizering and Grading for Larix Olgensis Transplantings. Ph.D. Thesis, Beijing Forestry University, Beijing, China, 2011. [Google Scholar]
- Grossnickle, S.C. Importance of root growth in overcoming planting stress. New For. 2005, 30, 273–294. [Google Scholar] [CrossRef]
- Qu, L.; Quoreshi, A.M.; Koike, T. Root growth characteristics, biomass and nutrient dynamics of seedlings of two larch species raised under different fertilization regimes. Plant Soil 2003, 255, 293–302. [Google Scholar] [CrossRef]
- Wei, C.; Zhu, L.; Wen, J.; Yi, B.; Ma, C.; Tu, J.; Shen, J.; Fu, T. Morphological, transcriptomics and biochemical characterization of new dwarf mutant of Brassica napus. Plant Sci. 2018, 270, 97–113. [Google Scholar] [CrossRef] [PubMed]
- Dalrymple, D.G. The development and adoption of high-yielding varieties of wheat and rice in developing countries. Am. J. Agric. Econ. 1985, 67, 1067–1073. [Google Scholar] [CrossRef]
- Wang, B.; Chu, J.; Yu, T.; Xu, Q.; Sun, X.; Yuan, J.; Xiong, G.; Wang, G.; Wang, Y.; Li, J. Tryptophan-independent auxin biosynthesis contributes to early embryogenesis in Arabidopsis. Proc. Natl. Acad. Sci. USA 2015, 112, 4821–4826. [Google Scholar] [CrossRef] [PubMed]
- Wang, D.; Li, Y.; Chen, L.; Tang, J.; Xu, D.; Chen, S.; Xu, Y.; Cai, N. Effects of Stumping Season on the Relationship between Sprouting and Endogenous Hormones of Pinus yunnanensis Seedlings. J. Yunnan Agric. Univ. 2022, 37, 853–861. [Google Scholar] [CrossRef]
- Xiao, F.; Zhao, Y.; Wang, X.; Yang, Y. Targeted Metabolic and Transcriptomic Analysis of Pinus yunnanensis var. pygmaea with Loss of Apical Dominance. Curr. Issues Mol. Biol. 2022, 44, 5485–5497. [Google Scholar] [CrossRef] [PubMed]
- Ye, M.; Zhu, C.; Gan, L.; Xia, K. Hormonal Interactions in the Control of Plant Stem Elongation. Chin. Agric. Sci. Bull. 2007, 73, 228–231. [Google Scholar]
- Zhu, X.; Li, D.; Wang, L.; Zhang, Y.; Gao, Y.; Wei, X.; Zhang, X. Phytohormone change during plant height development between dwarfs and high genotypes of sesame. Chin. J. Oil Crop Sci. 2015, 37, 83–89. [Google Scholar] [CrossRef]
- Tang, R.; Zhang, Y.; Zhang, J.; Wu, G. The mechanism of dwarf-gene regulation on rice characters. Sci. Agric. Sin. 1991, 24, 51–56. [Google Scholar]
- Spielmeyer, W.; Ellis, M.H.; Chandler, P.M. Semidwarf (sd-1), “green revolution” rice, contains a defective gibberellin 20-oxidase gene. Proc. Natl. Acad. Sci. USA 2002, 99, 9043–9048. [Google Scholar] [CrossRef] [PubMed]
- Peer, W.A.; Blakeslee, J.J.; Yang, H.; Murphy, A.S. Seven things we think we know about auxin transport. Mol. Plant 2011, 4, 487–504. [Google Scholar] [CrossRef]
- Li, Z.; Zhang, X.; Zhao, Y.; Li, Y.; Zhang, G.; Peng, Z.; Zhang, J. Enhancing auxin accumulation in maize root tips improves root growth and dwarfs plant height. Plant Biotechnol. J. 2018, 16, 86–99. [Google Scholar] [CrossRef]
- Guo, F.; Huang, Y.; Qi, P.; Lian, G.; Hu, X.; Han, N.; Wang, J.; Zhu, M.; Qian, Q.; Bian, H. Functional analysis of auxin receptor OsTIR1/OsAFB family members in rice grain yield, tillering, plant height, root system, germination, and auxinic herbicide resistance. New Phytol. 2021, 229, 2676–2692. [Google Scholar] [CrossRef] [PubMed]
- Ning, D.; Lu, T.; Liu, G.; Yang, C.; Wang, B. Proteomic analysis points to a role for RAD23 in apical dominance in Pinus sylvestris var. mongolica. Plant Mol. Biol. Report. 2013, 31, 1283–1292. [Google Scholar] [CrossRef]
- Cai, Q. Molecular Mechanisms of the Dwarf Characteristic in Pinus Bungeana Zucc. ex Endl. Ph.D. Thesis, Chinese Academy of Forestry, Beijing, China, 2019. [Google Scholar]
- Chen, H.; Tan, J.; Liang, X.; Tang, S.; Jia, J.; Yang, Z. Molecular mechanism of lateral bud differentiation of Pinus massoniana based on high-throughput sequencing. Sci. Rep. 2021, 11, 9033. [Google Scholar] [CrossRef]
- Wu, Z.; Zhu, Y. Yunnan Vegetation; Science Press: Beijing, China, 1987. [Google Scholar]
- Kunming Institute of Botany; Chinese Academy of Sciences. Flora of Yunnan, Seed Plant; Science Press: Beijing, China, 1986; Volume 4. [Google Scholar]
- Chinese Academy of Sciences. Flora of China; Science Press: Beijing, China, 1974; Volume 7. [Google Scholar]
- Deng, X.; Huang, B.; Wen, Q.; Hua, C.; Tao, J.; Zheng, J. Dynamic of Pinus yunnanensis Forest Resources in Yunnan. J. Nat. Resour. 2014, 29, 1411–1419. [Google Scholar] [CrossRef]
- Cai, N.; Wang, D.; Huang, W.; Wu, J.; Wang, J.; Chen, S.; Xu, Y.; Duan, A. Correlation and Path Analysis on Growth Traits and Biomass of Pinus yunnanensis Seedlings. Bull. Bot. Res. 2019, 39, 853–862. [Google Scholar] [CrossRef]
- Li, Y.; Xu, Y.; Li, W.; Sun, J.; Wang, M.; Cai, N. Effect of Sample Size on the Precision of Biomass Model of Pinus yunnanensis Seedlings. Bull. Bot. Res. 2019, 39, 890–898. [Google Scholar] [CrossRef]
- Mochida, K.; Shinozaki, K. Advances in omics and bioinformatics tools for systems analyses of plant functions. Plant Cell Physiol. 2011, 52, 2017–2038. [Google Scholar] [CrossRef]
- Upadhyay, J.; Joshi, R.; Singh, B.; Bohra, A.; Vijayan, R.; Bhatt, M.; Bisht, S.P.S.; Wani, S.H. Application of bioinformatics in understanding of plant stress tolerance. In Plant Bioinformatics: Decoding the Phyta; Springer: Cham, Switzerland, 2017; pp. 347–374. [Google Scholar]
- Wang, S.; Xiao, Y.; Zhou, Z.-W.; Yuan, J.; Guo, H.; Yang, Z.; Yang, J.; Sun, P.; Sun, L.; Deng, Y. High-quality reference genome sequences of two coconut cultivars provide insights into evolution of monocot chromosomes and differentiation of fiber content and plant height. Genome Biol. 2021, 22, 1–25. [Google Scholar] [CrossRef] [PubMed]
- Wang, L.; Ying Lam, L.P.; Lui, A.C.; Zhu, F.-Y.; Chen, M.-X.; Liu, H.; Zhang, J.; Lo, C. Flavonoids are indispensable for complete male fertility in rice. J. Exp. Bot. 2020, 71, 4715–4728. [Google Scholar] [CrossRef]
- Gan, P.; Li, P.; Zhang, X.; Li, H.; Ma, S.; Zong, D.; He, C. Comparative Transcriptomic and Metabolomic Analyses of Differences in Trunk Spiral Grain in Pinus yunnanensis. Int. J. Mol. Sci. 2023, 24, 14658. [Google Scholar] [CrossRef]
- Li, J.; Li, Y.; Chen, S.; Cai, N.; Li, X.; Wang, D.; Zhu, Y.; Xu, Y. Seedling Growth Performance of Half-sib Families Progenies of Pinus yunnanensis with Characteristics of Straight Stems and Twisted Stems. Seed 2022, 41, 1–6. [Google Scholar] [CrossRef]
- Xu, Y.; Zhang, R.l. Development of novel microsatellite markers for Pinus yunnanensis and their cross amplification in congeneric species. Conserv. Genet. Resour. 2013, 5, 1113–1114. [Google Scholar] [CrossRef]
- LY/T 1950-2011; Fast-Growing and High-Yielding Plantation of Pinus yunnanensis. Yunnan Academy of Forestry: Yunnan, China, 2011.
- Ke, Y.; Zhou, Y.; Lv, Y.; Qi, Y.; Wei, H.; Lei, Y.; Huang, F.; Abbas, F. Integrated metabolome and transcriptome analysis provides insights on the floral scent formation in Hydrangea arborescens. Physiol. Plant. 2023, 175, e13914. [Google Scholar] [CrossRef]
- Anders, S.; Huber, W. Differential expression analysis for sequence count data. Nat. Preced. 2010, 4282, 1. [Google Scholar] [CrossRef]
- Thévenot, E.A.; Roux, A.; Xu, Y.; Ezan, E.; Junot, C. Analysis of the human adult urinary metabolome variations with age, body mass index, and gender by implementing a comprehensive workflow for univariate and OPLS statistical analyses. J. Proteome Res. 2015, 14, 3322–3335. [Google Scholar] [CrossRef]
- Young, M.D.; Wakefield, M.J.; Smyth, G.K.; Oshlack, A. Gene ontology analysis for RNA-seq: Accounting for selection bias. Genome Biol. 2010, 11, 1–12. [Google Scholar] [CrossRef]
- Kanehisa, M.; Furumichi, M.; Sato, Y.; Ishiguro-Watanabe, M.; Tanabe, M. KEGG: Integrating viruses and cellular organisms. Nucleic Acids Res. 2021, 49, D545–D551. [Google Scholar] [CrossRef]
- Jeon, J.; Kim, J.K.; Kim, H.; Kim, Y.J.; Park, Y.J.; Kim, S.J.; Kim, C.; Park, S.U. Transcriptome analysis and metabolic profiling of green and red kale (Brassica oleracea var. acephala) seedlings. Food Chem. 2018, 241, 7–13. [Google Scholar] [CrossRef] [PubMed]
- Li, Y.; Zhou, C.; Yan, X.; Zhang, J.; Xu, J. Simultaneous analysis of ten phytohormones in Sargassum horneri by high-performance liquid chromatography with electrospray ionization tandem mass spectrometry. J. Sep. Sci. 2016, 39, 1804–1813. [Google Scholar] [CrossRef]
- Livak, K.J.; Schmittgen, T.D. Analysis of relative gene expression data using real-time quantitative PCR and the 2(-Delta Delta C(T)) method. Methods 2001, 25, 402–408. [Google Scholar] [CrossRef]
- Fruhauf, A.; Silva, E.M.; Fernandes, T.J.; Muniz, J.A.l. Predicting height growth in bean plants using non-linear and polynomial models. Rev. Agrogeoambiental 2022, 13, 488–497. [Google Scholar] [CrossRef]
- Zhang, C. Preliminary Analysis of Difference of Height Growth between Liriodendron Sinoamericanum and L. chinense Based on Transcriptome of Apical Bud. Master’s Thesis, Guangxi University, Nanning, China, 2020. [Google Scholar]
- Wang, B.; Smith, S.M.; Li, J. Genetic regulation of shoot architecture. Annu. Rev. Plant Biol. 2018, 69, 437–468. [Google Scholar] [CrossRef]
- Deng, B.; Wang, X.; Long, X.; Fang, R.; Zhou, S.; Zhang, J.; Peng, X.; An, Z.; Huang, W.; Tang, W. Plant hormone metabolome and transcriptome analysis of dwarf and wild-type banana. J. Plant Growth Regul. 2021, 41, 2386–2405. [Google Scholar] [CrossRef]
- Zentella, R.; Zhang, Z.-L.; Park, M.; Thomas, S.G.; Endo, A.; Murase, K.; Fleet, C.M.; Jikumaru, Y.; Nambara, E.; Kamiya, Y. Global analysis of DELLA direct targets in early gibberellin signaling in Arabidopsis. Plant Cell 2007, 19, 3037–3057. [Google Scholar] [CrossRef] [PubMed]
- Sheng, C.; Song, S.; Zhou, W.; Dossou, S.S.K.; Zhou, R.; Zhang, Y.; Li, D.; You, J.; Wang, L. Integrating transcriptome and phytohormones analysis provided insights into plant height development in sesame. Plant Physiol. Biochem. 2023, 198, 107695. [Google Scholar] [CrossRef]
- Zhao, J.; Liu, X.; Wang, M.; Xie, L.; Wu, Z.; Yu, J.; Wang, Y.; Zhang, Z.; Jia, Y.; Liu, Q. The miR528-D3 module regulates plant height in rice by modulating the gibberellin and abscisic acid metabolisms. Rice 2022, 15, 1–11. [Google Scholar] [CrossRef]
- Wang, F.; Han, T.; Song, Q.; Ye, W.; Song, X.; Chu, J.; Li, J.; Chen, Z.J. The rice circadian clock regulates tiller growth and panicle development through strigolactone signaling and sugar sensing. Plant Cell 2020, 32, 3124–3138. [Google Scholar] [CrossRef]
- Zeevaart, J.A.; Creelman, R.A. Metabolism and physiology of abscisic acid. Annu. Rev. Plant Physiol. 1988, 39, 439–473. [Google Scholar] [CrossRef]
- Wen, X.; Zhang, X.; Hao, c.; Pu, W.; Liu, X. Research Progress on Plant Hormone Signal Pathways. J. Agric. Sci. Technol. 2010, 12, 10–17. [Google Scholar] [CrossRef]
- Zhou, W.; Wei, L.; Xu, J.; Zhai, Q.; Jiang, H.; Chen, R.; Chen, Q.; Sun, J.; Chu, J.; Zhu, L. Arabidopsis tyrosylprotein sulfotransferase acts in the auxin/PLETHORA pathway in regulating postembryonic maintenance of the root stem cell niche. Plant Cell 2010, 22, 3692–3709. [Google Scholar] [CrossRef]
- Abel, S.; Theologis, A. A polymorphic bipartite motif signals nuclear targeting of early auxin-inducible proteins related to PS-IAA4 from pea (Pisum sativum). Plant J. 1995, 8, 87–96. [Google Scholar] [CrossRef]
- Ju, Y. Effect of Phytohormones on Lagerstroemia Plant Height and Isolation of Key Genes Regulating Plant Height. Ph.D. Thesis, Beijing Forestry University, Beijing, China, 2019. [Google Scholar]
- Yuan, Y.; Bai, X.; Zhu, Y.; Zhang, Y.; Yan, Y.; Zhang, C.; Li, Y. Correlation between the rhizome expansion ability and endogenous hormones contents of wild Poa pratensis in Gansu Province. Chin. Acad. For. 2021, 29, 1359–1369. [Google Scholar] [CrossRef]
- Zhang, C. The Comprehensive Analysis of Shoot-Culm and Study of Auxin-related Genes of Phyllostachys edulis. Ph.D. Thesis, Chinese Academy of Forestry, Beijing, China, 2014. [Google Scholar]
- Gray, W.M. Hormonal regulation of plant growth and development. PLoS Biol. 2004, 2, e311. [Google Scholar] [CrossRef] [PubMed]
- Cao, Z. Molecular Mechanisms of Endogenous Hormone Regulation in Stump Sprouting of Hippophae rhamnoides subsp. Sinensis. Ph.D. Thesis, Beijing Forestry University, Beijing, China, 2019. [Google Scholar]
- Wei, Y. Transcriptomic Analyses Reveal Molecular Meehanisms Involed in Growth Vigor of Rubber Tree Seedlings. Master’s Thesis, Hainan University, Haikou, China, 2017. [Google Scholar]
- Wolters, H.; Jürgens, G. Survival of the flexible: Hormonal growth control and adaptation in plant development. Nat. Rev. Genet. 2009, 10, 305–317. [Google Scholar] [CrossRef] [PubMed]
- Ju, Y.; Feng, L.; Wu, J.; Ye, Y.; Zheng, T.; Cai, M.; Cheng, T.; Wang, J.; Zhang, Q.; Pan, H. Transcriptome analysis of the genes regulating phytohormone and cellular patterning in Lagerstroemia plant architecture. Sci. Rep. 2018, 8, 15162. [Google Scholar] [CrossRef] [PubMed]
- Zang, X.; Liu, J.; Zhao, J.; Liu, J.; Ren, J.; Li, L.; Li, X.; Yang, D. Uncovering mechanisms governing stem growth in peanut (Arachis hypogaea L.) with varying plant heights through integrated transcriptome and metabolomics analyses. J. Plant Physiol. 2023, 287, 154052. [Google Scholar] [CrossRef]
- Zhao, T.; Yang, X.; Yang, X.; Rao, P.; An, X.; Chen, Z. Identification of key flowering-related genes and their seasonal expression in Populus tomentosa reproductive buds suggests dual roles in floral development and dormancy. Ind. Crops Prod. 2021, 161, 113175. [Google Scholar] [CrossRef]
- Chao, W.S.; Doğramacı, M.; Horvath, D.P.; Anderson, J.V.; Foley, M.E. Comparison of phytohormone levels and transcript profiles during seasonal dormancy transitions in underground adventitious buds of leafy spurge. Plant Mol. Biol. 2017, 94, 281–302. [Google Scholar] [CrossRef]
- Philipson, J. Promotion of cone and seed production by gibberellin A47 and distribution of pollen and seed cones on sitka spruce grafts in a clone bank. For. Ecol. Manag. 1987, 19, 147–154. [Google Scholar] [CrossRef]
- Miedes, E.; Zarra, I.; Hoson, T.; Herbers, K.; Sonnewald, U.; Lorences, E. Xyloglucan endotransglucosylase and cell wall extensibility. J. Plant Physiol. 2011, 168, 196–203. [Google Scholar] [CrossRef] [PubMed]
- Inzé, D.; De Veylder, L.J.A.R.G. Cell cycle regulation in plant development. Annu. Rev. 2006, 40, 77–105. [Google Scholar] [CrossRef] [PubMed]
- Ross, J.J.; O’neill, D.P.; Wolbang, C.M.; Symons, G.M.; Reid, J.B. Auxin-gibberellin interactions and their role in plant growth. J. Plant Growth Regul. 2001, 20, 336–353. [Google Scholar] [CrossRef]
- Yin, C.; Gan, L.; Ng, D.; Zhou, X.; Xia, K. Decreased panicle-derived indole-3-acetic acid reduces gibberellin A1 level in the uppermost internode, causing panicle enclosure in male sterile rice Zhenshan 97A. J. Exp. Bot. 2007, 58, 2441–2449. [Google Scholar] [CrossRef]
- Guilfoyle, T.; Hagen, G.; Ulmasov, T.; Murfett, J. How does auxin turn on genes? Plant Physiol. 1998, 118, 341–347. [Google Scholar] [CrossRef]
- Takase, T.; Nakazawa, M.; Ishikawa, A.; Kawashima, M.; Ichikawa, T.; Takahashi, N.; Shimada, H.; Manabe, K.; Matsui, M. ydk1-D, an auxin-responsive GH3 mutant that is involved in hypocotyl and root elongation. Plant J. 2004, 37, 471–483. [Google Scholar] [CrossRef] [PubMed]
- Feng, L.; Li, G.; He, Z.; Han, W.; Sun, J.; Huang, F.; Di, J.; Chen, Y. The ARF, GH3, and Aux/IAA gene families in castor bean (Ricinus communis L.): Genome-wide identification and expression profiles in high-stalk and dwarf strains. Ind. Crops Prod. 2019, 141, 111804. [Google Scholar] [CrossRef]
- Argueso, C.T.; Ferreira, F.J.; Epple, P.; To, J.P.; Hutchison, C.E.; Schaller, G.E.; Dangl, J.L.; Kieber, J.J. Two-component elements mediate interactions between cytokinin and salicylic acid in plant immunity. PLoS Genet. 2012, 8, e1002448. [Google Scholar] [CrossRef]
- Xuan, A. Identification and Genetic Effect Analysis of Cytokinin Transcriptional Regulatory Pathway Genes in Populus Tomentosa. Ph.D. Thesis, Beijing Forestry University, Beijing, China, 2020. [Google Scholar]
- Sun, L.; Li, Q.; Wang, P.; Sun, Y. Protein Expression and Purification of OsAHP2 in Rice. Acta Agric. Boreali-Sin. 2020, 35, 46–51. [Google Scholar] [CrossRef]
- Qi, Y.; Shi, H.; Li, L. Studies on Molecular Mechanisms of Cytokinin Signaling. Life Sci. Res. 2004, S2, 88–92. [Google Scholar] [CrossRef]
- Suzuki, T.; Ishikawa, K.; Yamashino, T.; Mizuno, T. An Arabidopsis histidine-containing phosphotransfer (HPt) factor implicated in phosphorelay signal transduction: Overexpression of AHP2 in plants results in hypersensitiveness to cytokinin. Plant Cell Physiol. 2002, 43, 123–129. [Google Scholar] [CrossRef] [PubMed]
- Wang, H.; Zhou, P.; Liu, Y.; Liu, M.; Zhu, X.; Shi, L.; Li, Y.; Lu, J. Genome-wide analysis of the TIFY gene family in Rose. J. Henan Agric. Univ. 2022, 56, 990–997+1060. [Google Scholar] [CrossRef]
- Dong, L. Functional Identification and Mechanism Analysis of StHAB1 and StHAB1~G276D Regulating Drought Resistance and Development in Potato. Master’s Thesis, Huazhong Agricultural University, Wuhan, China, 2022. [Google Scholar]
- Wang, J. Analysis on Function of PP2CA2 Gene T-DNA Insertion Mutant in Arabidopsis. Master’s Thesis, Hunan University, Changsha, China, 2009. [Google Scholar]









| Grade | k | a | b | t1 | t2 | ts | R2 | F Value | p Value |
|---|---|---|---|---|---|---|---|---|---|
| A | 7.0824 | 2.6044 | 0.0186 | 69 | 211 | 140 | 0.9938 | 645.076 | 0.0001 |
| B | 5.763 | 2.5539 | 0.0174 | 71 | 222 | 147 | 0.9924 | 523.766 | 0.0001 |
| C | 4.9408 | 2.6628 | 0.0168 | 80 | 237 | 159 | 0.9923 | 518.109 | 0.0001 |
| Sample | Raw Reads | Clean Reads | Clean Bases | Q20 (%) | Q30 (%) | GC Content (%) | Total Mapped Reads (%) | Uniquely Mapped Reads (%) | Multiple Mapped Reads (%) |
|---|---|---|---|---|---|---|---|---|---|
| A1 | 42,460,252 | 39,989,758 | 6,038,453,458 | 97.99 | 93.99 | 46.27 | 26,778,583 (66.96%) | 24,251,156 (90.56%) | 2,527,427 (9.44%) |
| A2 | 38,404,410 | 36,150,428 | 5,458,714,628 | 98.23 | 94.63 | 46.19 | 24,144,232 (66.79%) | 21,829,450 (90.41%) | 2,314,782 (9.59%) |
| A3 | 40,235,024 | 37,840,278 | 5,713,881,978 | 98.07 | 94.19 | 46.21 | 25,274,245 (66.79%) | 22,892,443 (90.58%) | 2,381,802 (9.42%) |
| B1 | 40,302,140 | 37,661,768 | 5,686,926,968 | 98.09 | 94.3 | 46.28 | 25,156,207 (66.80%) | 22,701,899 (90.24%) | 2,454,308 (9.76%) |
| B2 | 42,717,490 | 40,137,824 | 6,060,811,424 | 98.09 | 94.27 | 46.29 | 26,847,872 (66.89%) | 24,265,389 (90.38%) | 2,582,483 (9.62%) |
| B3 | 43,968,286 | 41,333,726 | 6,241,392,626 | 98.13 | 94.36 | 45.99 | 27,572,585 (66.71%) | 24,950,400 (90.49%) | 2,622,185 (9.51%) |
| C1 | 41,772,378 | 39,178,750 | 5,915,991,250 | 98.26 | 94.71 | 46.19 | 26,302,198 (67.13%) | 23,829,061 (90.60%) | 2,473,137 (9.40%) |
| C2 | 40,706,310 | 38,272,706 | 5,779,178,606 | 98.19 | 94.54 | 46.10 | 25,460,467 (66.52%) | 23,050,168 (90.53%) | 2,410,299 (9.47%) |
| C3 | 39,505,860 | 37,142,862 | 5,608,572,162 | 97.92 | 93.86 | 46.08 | 24,540,701 (66.07%) | 22,234,552 (90.60%) | 2,306,149 (9.40%) |
Disclaimer/Publisher’s Note: The statements, opinions and data contained in all publications are solely those of the individual author(s) and contributor(s) and not of MDPI and/or the editor(s). MDPI and/or the editor(s) disclaim responsibility for any injury to people or property resulting from any ideas, methods, instructions or products referred to in the content. |
© 2024 by the authors. Licensee MDPI, Basel, Switzerland. This article is an open access article distributed under the terms and conditions of the Creative Commons Attribution (CC BY) license (https://creativecommons.org/licenses/by/4.0/).
Share and Cite
Lu, Z.; Wang, Q.; Yang, Z.; Chen, L.; Cai, N.; Xu, Y. Endogenous Phytohormone and Transcriptome Analysis Provided Insights into Seedling Height Growth of Pinus yunnanensis. Forests 2024, 15, 489. https://doi.org/10.3390/f15030489
Lu Z, Wang Q, Yang Z, Chen L, Cai N, Xu Y. Endogenous Phytohormone and Transcriptome Analysis Provided Insights into Seedling Height Growth of Pinus yunnanensis. Forests. 2024; 15(3):489. https://doi.org/10.3390/f15030489
Chicago/Turabian StyleLu, Zhuangyue, Qibo Wang, Zhenxin Yang, Lin Chen, Nianhui Cai, and Yulan Xu. 2024. "Endogenous Phytohormone and Transcriptome Analysis Provided Insights into Seedling Height Growth of Pinus yunnanensis" Forests 15, no. 3: 489. https://doi.org/10.3390/f15030489
APA StyleLu, Z., Wang, Q., Yang, Z., Chen, L., Cai, N., & Xu, Y. (2024). Endogenous Phytohormone and Transcriptome Analysis Provided Insights into Seedling Height Growth of Pinus yunnanensis. Forests, 15(3), 489. https://doi.org/10.3390/f15030489

