The Role of Wood Density Variation and Biomass Allocation in Accurate Forest Carbon Stock Estimation of European Beech (Fagus sylvatica L.) Mountain Forests
Abstract
1. Introduction
2. Materials and Methods
2.1. Site Characteristics and Tree Selection
2.2. Field Measurements and Sampling
2.3. Laboratory Wood Density, Volume, and Biomass Estimation
2.4. Data Analysis
3. Results
3.1. Variation of Wood Density among Tree Compartments and AGB Allocation
3.2. Weighted Wood Density Model Fitting
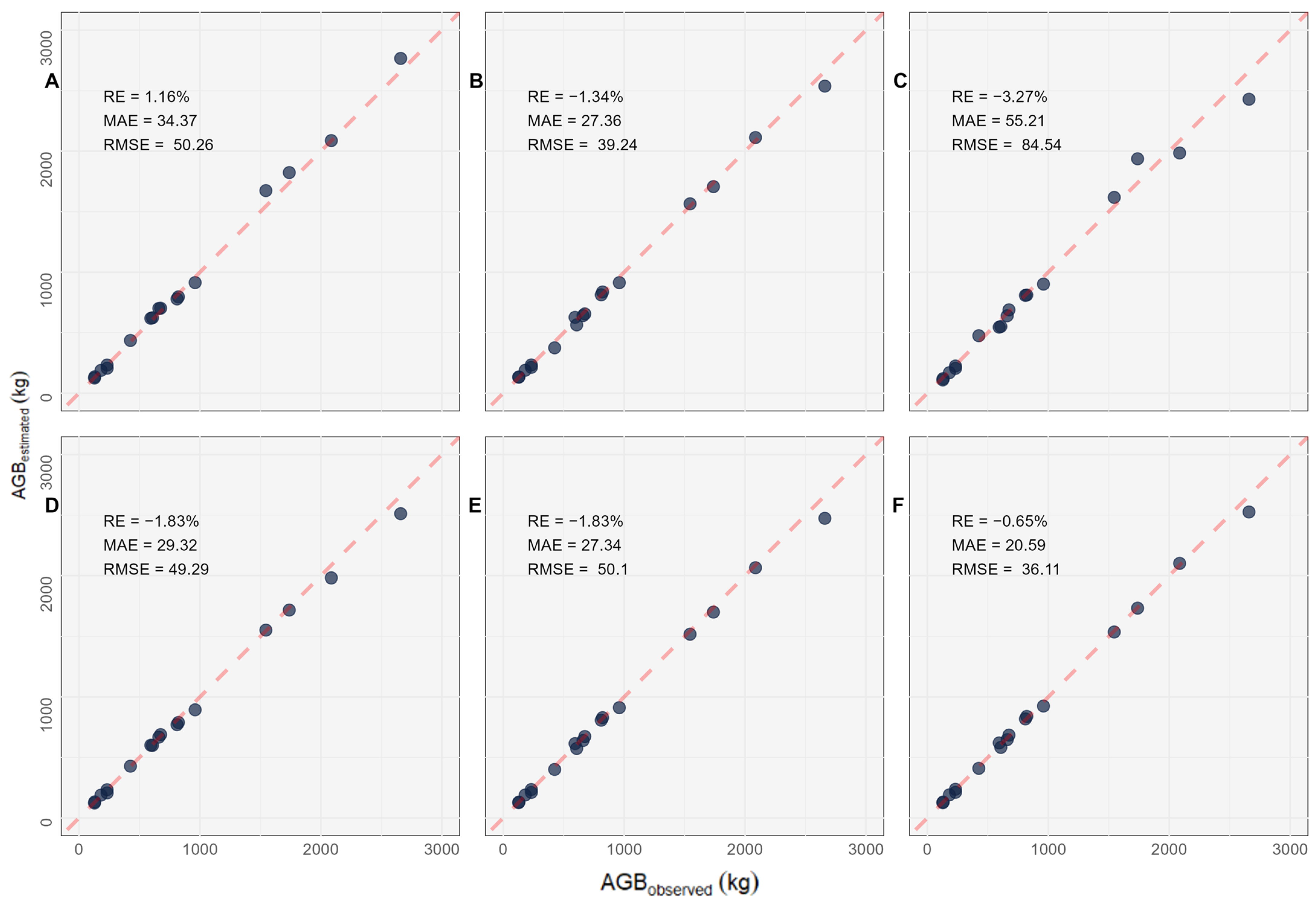
3.3. AGB Estimations Derived from Weighted Wood Densities
3.4. AGB Model Fitting
4. Discussion
4.1. Wood Density and AGB Allocation
4.2. AGB Model Fitting
5. Conclusions
Supplementary Materials
Author Contributions
Funding
Data Availability Statement
Acknowledgments
Conflicts of Interest
References
- Bastin, J.-F.; Finegold, Y.; Garcia, C.; Mollicone, D.; Rezende, M.; Routh, D.; Zohner, C.M.; Crowther, T.W. The Global Tree Restoration Potential. Science 2019, 365, 76–79. [Google Scholar] [CrossRef]
- Church, J.; Clark, P.; Cazenave, A.; Gregory, J.; Jevrejeva, S.; Levermann, A.; Merrifield, M.; Milne, G.; Nerem, R.; Nunn, P.; et al. Climate Change 2013: The Physical Science Basis. Contribution of Working Group I to the Fifth Assessment Report of the Intergovernmental Panel on Climate Change; Cambridge University Press: Cambridge, UK, 2013; pp. 1138–1191. [Google Scholar]
- IPCC Intergovernmental Panel on Climate Change. 2006 IPCC Guidelines for National Greenhouse Gas Inventories; Institute for Global Environmental Strategies: Hayama, Japan, 2006. [Google Scholar]
- Wassenberg, M.; Chiu, H.-S.; Guo, W.; Spiecker, H. Analysis of Wood Density Profiles of Tree Stems: Incorporating Vertical Variations to Optimize Wood Sampling Strategies for Density and Biomass Estimations. Trees 2015, 29, 551–561. [Google Scholar] [CrossRef]
- UNFCCCC. Report of the Conference of the Parties on Its Thirteenth Session, Held in Bali from 3 to 15 December 2007. In Proceedings of the Addendum. Part Two: Action taken by the Conference of the Parties at its thirteenth session Decisions adopted by the Conference of the Parties, Bali, Indonesia, 3–15 December 2008. [Google Scholar]
- Shi, L.; Liu, S.; Shi, L.; Liu, S. Methods of Estimating Forest Biomass: A Review; IntechOpen: London, UK, 2017; ISBN 978-953-51-2938-7. [Google Scholar]
- Flores, O.; Coomes, D.A. Estimating the Wood Density of Species for Carbon Stock Assessments. Methods Ecol. Evol. 2011, 2, 214–220. [Google Scholar] [CrossRef]
- MacFarlane, D.W. Functional Relationships Between Branch and Stem Wood Density for Temperate Tree Species in North America. Front. For. Glob. Chang. 2020, 3, 63. [Google Scholar] [CrossRef]
- King, D.A.; Davies, S.J.; Tan, S.; Noor, N.S.M. The Role of Wood Density and Stem Support Costs in the Growth and Mortality of Tropical Trees. J. Ecol. 2006, 94, 670–680. [Google Scholar] [CrossRef]
- Van Gelder, H.A.; Poorter, L.; Sterck, F.J. Wood Mechanics, Allometry, and Life-History Variation in a Tropical Rain Forest Tree Community. New Phytol. 2006, 171, 367–378. [Google Scholar] [CrossRef]
- Gao, S.; Wang, X.; Wiemann, M.C.; Brashaw, B.K.; Ross, R.J.; Wang, L. A Critical Analysis of Methods for Rapid and Nondestructive Determination of Wood Density in Standing Trees. Ann. For. Sci. 2017, 74, 1–13. [Google Scholar] [CrossRef]
- Wiemann, M.C.; Williamson, G.B. Biomass Determination Using Wood Specific Gravity from Increment Cores; General Technical Report, FPL-GTR-225; USDA Forest Service, Forest Products Laboratory: Madison, MI, USA, 2013; 9p. [Google Scholar] [CrossRef]
- Parresol, B.R. Assessing Tree and Stand Biomass: A Review with Examples and Critical Comparisons. For. Sci. 1999, 45, 573–593. [Google Scholar]
- Chave, J.; Andalo, C.; Brown, S.; Cairns, M.A.; Chambers, J.Q.; Eamus, D.; Fölster, H.; Fromard, F.; Higuchi, N.; Kira, T.; et al. Tree Allometry and Improved Estimation of Carbon Stocks and Balance in Tropical Forests. Oecologia 2005, 145, 87–99. [Google Scholar] [CrossRef]
- Kuyah, S.; Mbow, C.; Sileshi, G.W.; van Noordwijk, M.; Tully, K.L.; Rosenstock, T.S. Quantifying Tree Biomass Carbon Stocks and Fluxes in Agricultural Landscapes. In Methods for Measuring Greenhouse Gas Balances and Evaluating Mitigation Options in Smallholder Agriculture; Springer: Berlin/Heidelberg, Germany, 2016; pp. 119–134. [Google Scholar]
- Cienciala, E.; Černý, M.; Apltauer, J.; Exnerová, Z. Biomass Functions Applicable to European Beech. J. For. Sci. 2005, 51, 147–154. [Google Scholar] [CrossRef]
- Repola, J. Models for Vertical Wood Density of Scots Pine, Norway Spruce and Birch Stems, and Their Application to Determine Average Wood Density. Silva Fenn. 2006, 40, 673–685. [Google Scholar] [CrossRef]
- Liepins, J.; Liepins, K. Mean Basic Density and Its Axial Variation in Scots Pine, Norway Spruce and Birch Stems. Res. Rural Dev. 2017, 1, 21–27. [Google Scholar]
- Repola, J. Biomass Equations for Birch in Finland. Silva Fenn. 2008, 42, 605–624. [Google Scholar] [CrossRef]
- Repola, J. Biomass Equations for Scots Pine and Norway Spruce in Finland. Silva Fenn. 2009, 43, 625–647. [Google Scholar] [CrossRef]
- Dutcă, I.; Zianis, D.; Petrițan, I.C.; Bragă, C.I.; Ștefan, G.; Yuste, J.C.; Petrițan, A.M. Allometric Biomass Models for European Beech and Silver Fir: Testing Approaches to Minimize the Demand for Site-Specific Biomass Observations. Forests 2020, 11, 1136. [Google Scholar] [CrossRef]
- Williamson, G.B.; Wiemann, M.C. Measuring Wood Specific gravity…Correctly. Am. J. Bot. 2010, 97, 519–524. [Google Scholar] [CrossRef] [PubMed]
- Somogyi, Z.; Cienciala, E.; Mäkipää, R.; Muukkonen, P.; Lehtonen, A.; Weiss, P. Indirect Methods of Large-Scale Forest Biomass Estimation. Eur. J. For. Res. 2007, 126, 197–207. [Google Scholar] [CrossRef]
- Ketterings, Q.M.; Coe, R.; van Noordwijk, M.; Ambagau’, Y.; Palm, C.A. Reducing Uncertainty in the Use of Allometric Biomass Equations for Predicting Above-Ground Tree Biomass in Mixed Secondary Forests. For. Ecol. Manag. 2001, 146, 199–209. [Google Scholar] [CrossRef]
- Vejpustková, M.; Zahradník, D.; Cihak, T.; Srámek, V. Models for Predicting Aboveground Biomass of European Beech (Fagus sylvatica L.) in the Czech Republic. J. For. Sci. 2015, 61, 2015–2045. [Google Scholar] [CrossRef]
- Zianis, D.; Mencuccini, M. Aboveground Biomass Relationships for Beech (Fagus moesiaca Cz.) Trees in Vermio Mountain, Northern Greece, and Generalised Equations for Fagus sp. Ann. For. Sci. 2003, 60, 439–448. [Google Scholar] [CrossRef]
- Șofletea, N.; Curtu, L. Dendrologie; Editura Universitatii Transilvania: Brasov, Romania, 2007; ISBN 978-973-635-885-2. [Google Scholar]
- Romanian National Forest Inventory (NFI). Available online: www.roifn.ro/site (accessed on 24 July 2023).
- National Inventory Report (NIR)-Romania. Available online: www.unfccc.int/documents/274077 (accessed on 24 July 2023).
- Decei, I. Contribuții La Cunoașterea Densității Lemnului. Revista Pădurilor 1987, 2, 77–80. [Google Scholar]
- Schad, P. World Reference Base for Soil Resources—Its Fourth Edition and Its History. J. Plant Nutr. Soil Sci. 2023, 186, 151–163. [Google Scholar] [CrossRef]
- Harris, I.; Osborn, T.; Jones, P.; Lister, D. Version 4 of the CRU TS Monthly High-Resolution Gridded Multivariate Climate Dataset. Sci. Data 2020, 7, 109. [Google Scholar] [CrossRef] [PubMed]
- Cornelissen, J.H.C.; Lavorel, S.; Garnier, E.; Díaz, S.; Buchmann, N.; Gurvich, D.E.; Reich, P.B.; Ter Steege, H.; Morgan, H.D.; Van Der Heijden, M.G.A.; et al. A Handbook of Protocols for Standardised and Easy Measurement of Plant Functional Traits Worldwide. Aust. J. Bot. 2003, 51, 335–380. [Google Scholar] [CrossRef]
- Sagang, L.B.T.; Momo, S.T.; Libalah, M.B.; Rossi, V.; Fonton, N.; Mofack, G.I.; Kamdem, N.G.; Nguetsop, V.F.; Sonké, B.; Ploton, P.; et al. Using Volume-Weighted Average Wood Specific Gravity of Trees Reduces Bias in Aboveground Biomass Predictions from Forest Volume Data. For. Ecol. Manag. 2018, 424, 519–528. [Google Scholar] [CrossRef]
- Schüller, E.; Martínez-Ramos, M.; Hietz, P. Radial Gradients in Wood Specific Gravity, Water and Gas Content in Trees of a Mexican Tropical Rain Forest. Biotropica 2013, 45, 280–287. [Google Scholar] [CrossRef]
- Demol, M.; Calders, K.; Krishna Moorthy, S.M.; Van den Bulcke, J.; Verbeeck, H.; Gielen, B. Consequences of Vertical Basic Wood Density Variation on the Estimation of Aboveground Biomass with Terrestrial Laser Scanning. Trees 2021, 35, 671–684. [Google Scholar] [CrossRef]
- Goslee, K.; Walker, S.M.; Grais, A.; Murray, L.; Casarim, F.; Brown, S. Module C-CS: Calculations for Estimating Carbon Stocks. In Leaf Technical Guidance Series for the Development of a Forest Carbon Monitoring System for REDD+; Winrock International: Little Rock, AR, USA, 2016. [Google Scholar]
- Walker, S.M.; Murray, L.; Tepe, T. Allometric Equation Evaluation Guidance Document; Winrock International: North Little Rock, AR, USA, 2016. [Google Scholar]
- Schumacher, H. Logarithmic Expression of Timber-Tree Volume. J. Agric. Res. 1933, 47, 719–734. [Google Scholar]
- Jenkins, J.C.; Chojnacky, D.C.; Heath, L.S.; Birdsey, R.A. National Scale Biomass Estimators for United States Tree Species. For. Sci. 2003, 49, 12–35. [Google Scholar] [CrossRef]
- Sprugel, D.G. Correcting for Bias in Log-Transformed Allometric Equations. Ecology 1983, 64, 209–210. [Google Scholar] [CrossRef]
- Sakamoto, Y.; Ishiguro, M.; Kitagawa, G. Akaike Information Criterion Statistics. Dordr. Neth. D. Reidel 1986, 81, 26853. [Google Scholar]
- R Core Team. R: A Language and Environment for Statistical Computing; v4.3.2; R Foundation for Statistical Computing: Vienna, Austria, 2021. [Google Scholar]
- Deng, X.; Zhang, L.; Lei, P.; Xiang, W.; Yan, W. Variations of Wood Basic Density with Tree Age and Social Classes in the Axial Direction within Pinus massoniana Stems in Southern China. Ann. For. Sci. 2014, 71, 505–516. [Google Scholar] [CrossRef]
- Skovsgaard, J.P.; Nord-Larsen, T. Biomass, Basic Density and Biomass Expansion Factor Functions for European Beech (Fagus sylvatica L.) in Denmark. Eur. J. For. Res. 2011, 131, 1035–1053. [Google Scholar] [CrossRef]
- Bouriaud, O.; Bréda, N.; Le Moguédec, G.; Nepveu, G. Modelling Variability of Wood Density in Beech as Affected by Ring Age, Radial Growth and Climate. Trees 2004, 18, 264–276. [Google Scholar] [CrossRef]
- Chave, J.; Coomes, D.; Jansen, S.; Lewis, S.L.; Swenson, N.G.; Zanne, A.E. Towards a Worldwide Wood Economics Spectrum. Ecol. Lett. 2009, 12, 351–366. [Google Scholar] [CrossRef]
- Plourde, B.T.; Boukili, V.K.; Chazdon, R.L. Radial Changes in Wood Specific Gravity of Tropical Trees: Inter- and Intraspecific Variation during Secondary Succession. Funct. Ecol. 2015, 29, 111–120. [Google Scholar] [CrossRef]
- Liepiņš, K.; Liepiņš, J.; Ivanovs, J.; Bārdule, A.; Jansone, L.; Jansons, Ā. Variation in the Basic Density of the Tree Components of Gray Alder and Common Alder. Forests 2023, 14, 135. [Google Scholar] [CrossRef]
- Dahle, G.A.; Grabosky, J.C. Variation in Modulus of Elasticity (E) along Acer platanoides L. (Aceraceae) Branches. Urban For. Urban Green. 2010, 9, 227–233. [Google Scholar] [CrossRef]
- Longuetaud, F.; Mothe, F.; Santenoise, P.; Diop, N.; Dlouha, J.; Fournier, M.; Deleuze, C. Patterns of Within-Stem Variations in Wood Specific Gravity and Water Content for Five Temperate Tree Species. Ann. For. Sci. 2017, 74, 1–19. [Google Scholar] [CrossRef]
- Martínez-Sancho, E.; Slámová, L.; Morganti, S.; Grefen, C.; Carvalho, B.; Dauphin, B.; Rellstab, C.; Gugerli, F.; Opgenoorth, L.; Heer, K.; et al. The GenTree Dendroecological Collection, Tree-Ring and Wood Density Data from Seven Tree Species across Europe. Sci Data 2020, 7, 1. [Google Scholar] [CrossRef]
- Pretzsch, H.; Rais, A. Wood Quality in Complex Forests versus Even-Aged Monocultures: Review and Perspectives. Wood Sci. Technol. 2016, 50, 845–880. [Google Scholar] [CrossRef]
- Pascoa, K.; Gomide, L.; Tng, D.; Scolforo, J.; Ferraz Filho, A.; Mello, J. How Many Trees and Samples Are Adequate for Estimating Wood-Specific Gravity across Different Tropical Forests? Trees 2020, 34, 1383–1395. [Google Scholar] [CrossRef]
- Feldpausch, T.R.; Lloyd, J.; Lewis, S.L.; Brienen, R.J.W.; Gloor, M.; Monteagudo Mendoza, A.; Lopez-Gonzalez, G.; Banin, L.; Abu Salim, K.; Affum-Baffoe, K.; et al. Tree Height Integrated into Pantropical Forest Biomass Estimates. Biogeosciences 2012, 9, 3381–3403. [Google Scholar] [CrossRef]
- Cienciala, E.; Apltauer, J.; Exnerová, Z.; Tatarinov, F. Biomass Functions Applicable to Oak Trees Grown in Central-European Forestry. J. For. Sci. 2008, 54, 109–120. [Google Scholar] [CrossRef]
- Cienciala, E.; Černý, M.; Tatarinov, F.; Apltauer, J.; Exnerová, Z. Biomass Functions Applicable to Scots Pine. Trees 2006, 20, 483–495. [Google Scholar] [CrossRef]
- Pařez, J.; Žlábek, I.; Kopřiva, J. Basic Technical Units of Determining Timber Volume in the Logging Fund of the Main Forest Species. Forestry 1990, 479–508. [Google Scholar]
- Bouriaud, O.; Don, A.; Janssens, I.A.; Marin, G.; Schulze, E.-D. Effects of Forest Management on Biomass Stocks in Romanian Beech Forests. For. Ecosyst. 2019, 6, 19. [Google Scholar] [CrossRef]
- Noormets, A.; Epron, D.; Domec, J.C.; McNulty, S.G.; Fox, T.; Sun, G.; King, J.S. Effects of Forest Management on Productivity and Carbon Sequestration: A Review and Hypothesis. For. Ecol. Manag. 2015, 355, 124–140. [Google Scholar] [CrossRef]
- Xue, Y.; Yang, Z.; Wang, X.; Lin, Z.; Li, D.; Su, S. Tree Biomass Allocation and Its Model Additivity for Casuarina equisetifolia in a Tropical Forest of Hainan Island, China. PLoS ONE 2016, 11, e0151858. [Google Scholar] [CrossRef]








| Classes of Diameters | No. of Trees | No. of Stem Sample Discs | DBH (cm) | Tree Height (m) | FLBH (m) | Tree Length (m) | Basic WD (kg/m3 ± sd) | |||||
|---|---|---|---|---|---|---|---|---|---|---|---|---|
| WDic | WDstem | WDDBH | WDstump | WDbr | WWDst_br | |||||||
| Small | 5 | 24 | 19.4 (16.8–22.3) | 15.3 (13.3–16.5) | 7.3 (3.4–13.5) | 11.6 (9–13.6) | 546 ± 21 | 590 ± 36 | 602 ± 31 | 592 ± 23 | 595 ± 53 | 596 ± 28 |
| Medium | 8 | 94 | 33.0 (30.1–36.0) | 23.2 (20.6–27.4) | 8.3 (4.4–10.7) | 19.4 (16.0–23.2) | 563 ± 33 | 563 ± 31 | 558 ± 29 | 579 ± 27 | 596 ± 41 | 570 ± 13 |
| Large | 4 | 54 | 48.3 (42.0–56.5) | 32.1 (30.2–33.5) | 13.1 (6.5–23.2) | 29.7 (28.5–31.0) | 584 ± 47 | 572 ± 25 | 575 ±16 | 606 ± 30 | 602 ± 30 | 574 ± 13 |
| Total | 17 | 172 | 32.6 (16.8–56.5) | 22.9 (13.3–33.5) | 9.1 (3.4–23.2) | 19.5 (9.0–31.0) | 563 ± 35 | 569 ± 31 | 575 ± 32 | 589 ± 27 | 598 ± 40 | 579 ± 21 |
| Predictor | Model No. | Model | Model Parameters | Model Performance | |||||||
|---|---|---|---|---|---|---|---|---|---|---|---|
| a (Intercept) | b | c | d | e | R2 | R2 adj. | RSE | AIC | |||
| WWDst | 1 | ~a + b × WDBase | 225.043 | 0.588 ** | 0.404 | 0.364 | 19.88 | 153.767 | |||
| (−7.002–457.088) | (0.195–0.982) | ||||||||||
| 2 | ~a + b × WDBase + c × DBH | 245.655 * | 0.617 *** | −1.142 ** | 0.669 | 0.622 | 15.33 | 145.760 | |||
| (65.085–426.225) | (0.311–0.923) | (−1.873–−0.411) | |||||||||
| 3 | ~a + d × WDDBH | 229.399 ** | 0.596 *** | 0.596 | 0.569 | 16.37 | 147.160 | ||||
| (73.958–384.839) | (0.326–0.866) | ||||||||||
| 4 | ~a + c × DBH + d × WDDBH | 283.943 ** | −0.557 | 0.532 ** | 0.652 | 0.603 | 15.72 | 146.600 | |||
| (114.964–452.923) | (−1.348–0.235) | (0.256–0.808) | |||||||||
| 5 | ~a + e × WDic | 663.086 *** | −0.162 | 0.050 | −0.013 | 25.09 | 161.685 | ||||
| (444.278–881.894) | (−0.550–0.226) | ||||||||||
| 6 | ~a + c × DBH + e × WDic | 650.985 *** | −0.993 | −0.083 | 0.239 | 0.131 | 23.24 | 159.909 | |||
| (446.562–855.409) | (−2.134–0.148) | (−0.456–0.290) | |||||||||
| WWDst_br | 7 | ~a + b × WDBase | 343.009 ** | 0.400 * | 0.260 | 0.210 | 18.77 | 151.821 | |||
| (123.871–562.147) | (0.028–0.771) | ||||||||||
| 8 | ~a + b × WDBase + c × DBH | 358.324 ** | 0.421 * | −0.848 * | 0.463 | 0.387 | 16.54 | 148.346 | |||
| (163.499–553.149) | (0.091–0.751) | (−1.638–−0.059) | |||||||||
| 9 | ~a + d × WDDBH | 292.935 *** | 0.497 *** | 0.577 | 0.549 | 14.18 | 142.290 | ||||
| (158.271–427.599) | (0.263–0.731) | ||||||||||
| 10 | ~a + c × DBH + d × WDDBH | 328.469 *** | −0.363 | 0.456 ** | 0.611 | 0.555 | 14.09 | 142.880 | |||
| (176.989–479.948) | (−1.072–0.347) | (0.208–0.703) | |||||||||
| 11 | ~a + e × WDic | 644.331 *** | −0.117 | 0.036 | −0.028 | 21.42 | 156.302 | ||||
| (457.562–831.099) | (−0.448–0.214) | ||||||||||
| 12 | ~a + c × DBH + e × WDic | 635.236 *** | −0.746 | −0.057 | 0.185 | 0.069 | 20.39 | 155.450 | |||
| (455.936–814.535) | (−1.747–0.255) | (−0.384–0.270) | |||||||||
| Biomass Component | Model no. | Model Structure | Model Parameters | Equation Performance | |||||
|---|---|---|---|---|---|---|---|---|---|
| a (Intercept) | b | c | R2 | R2 adj. | RMSE | AIC | |||
| AGBtotal | 1 | a × DBHb | 0.0749 *** | 2.6184 *** | 0.979 | 0.978 | 104.397 | −11.531 | |
| 2 | a × DBHb × Hc | 0.051 *** | 2.000 *** | 0.808 * | 0.993 | 0.991 | 60.479 | −16.793 | |
| AGBstem | 3 | a × DBHb | 0.0326 *** | 2.7698 *** | 0.940 | 0.936 | 143.019 | −6.536 | |
| 4 | a × DBHb × Hc | 0.0168 *** | 1.6953 *** | 1.4024 *** | 0.990 | 0.987 | 56.085 | −30.373 | |
| AGBbranch | 5 | a × DBHb | 0.0824 * | 2.1759 *** | 0.847 | 0.836 | 63.214 | 24.332 | |
| 6 | a × DBHb × Hc | 0.1560 | 3.2318 ** | −1.3781 | 0.905 | 0.892 | 49.447 | 24.105 | |
| Author and Year | Biomass Component | Equation Structure | Equation Parameters | Equation Performance | |||||
|---|---|---|---|---|---|---|---|---|---|
| a (Intercept) | b | c | R2 | RMSE | MAE | RE | |||
| Dutca et al. [21] (Equation (2)) | AGB | ~a × DBHb | 0.07033 | 2.63680 | - | 0.979 | 107.25 | 81.27 | 2.30 |
| Dutca et al. [21] (Equation (3)) | ~a × DBHb × Hc | 0.04250 | 2.14680 | 0.69090 | 0.992 | 66.46 | 50.34 | −2.61 | |
| Cienciala et al. [16] (Equation (3)) | AGB | ~a × DBHb × Hc | 0.04700 | 2.12100 | 0.69700 | 0.993 | 61.65 | 47.94 | 0.46 |
| AGBstem | 0.01400 | 2.05300 | 1.08400 | 0.983 | 123.14 | 77.44 | 7.14 | ||
| AGBbranch | 5.13700 | 2.66500 | −1.87800 | 0.848 | 97.81 | 66.54 | 26.61 | ||
| Vejpustková et al. [25] (Equation (DH3)) | AGB | ~a × DBHb × Hc | 0.00962 | 2.15540 | 1.13788 | 0.990 | 115.17 | 85.11 | −8.63 |
| AGBstem | 0.00560 | 2.10425 | 1.29184 | 0.983 | 125.52 | 67.64 | −2.36 | ||
| AGBbranch | 0.00611 | 2.35509 | 0.56104 | 0.826 | 68.00 | 48.25 | −2.14 | ||
| Our equation (Equation (2)) | AGB | ~a × DBHb × Hc | 0.05114 | 1.99957 | 0.80767 | 0.993 | 60.48 | 44.99 | 1.52 |
| AGBstem | 0.01677 | 1.69527 | 1.40236 | 0.990 | 56.08 | 39.03 | 0.67 | ||
| AGBbranch | 0.15603 | 3.23183 | −1.37815 | 0.905 | 49.45 | 35.37 | 19.36 | ||
Disclaimer/Publisher’s Note: The statements, opinions and data contained in all publications are solely those of the individual author(s) and contributor(s) and not of MDPI and/or the editor(s). MDPI and/or the editor(s) disclaim responsibility for any injury to people or property resulting from any ideas, methods, instructions or products referred to in the content. |
© 2024 by the authors. Licensee MDPI, Basel, Switzerland. This article is an open access article distributed under the terms and conditions of the Creative Commons Attribution (CC BY) license (https://creativecommons.org/licenses/by/4.0/).
Share and Cite
Petrea, S.; Radu, G.R.; Braga, C.I.; Cucu, A.B.; Serban, T.; Zaharia, A.; Pepelea, D.; Ienasoiu, G.; Petritan, I.C. The Role of Wood Density Variation and Biomass Allocation in Accurate Forest Carbon Stock Estimation of European Beech (Fagus sylvatica L.) Mountain Forests. Forests 2024, 15, 404. https://doi.org/10.3390/f15030404
Petrea S, Radu GR, Braga CI, Cucu AB, Serban T, Zaharia A, Pepelea D, Ienasoiu G, Petritan IC. The Role of Wood Density Variation and Biomass Allocation in Accurate Forest Carbon Stock Estimation of European Beech (Fagus sylvatica L.) Mountain Forests. Forests. 2024; 15(3):404. https://doi.org/10.3390/f15030404
Chicago/Turabian StylePetrea, Stefan, Gheorghe Raul Radu, Cosmin Ion Braga, Alexandru Bogdan Cucu, Tibor Serban, Alexandru Zaharia, Dan Pepelea, Gruita Ienasoiu, and Ion Catalin Petritan. 2024. "The Role of Wood Density Variation and Biomass Allocation in Accurate Forest Carbon Stock Estimation of European Beech (Fagus sylvatica L.) Mountain Forests" Forests 15, no. 3: 404. https://doi.org/10.3390/f15030404
APA StylePetrea, S., Radu, G. R., Braga, C. I., Cucu, A. B., Serban, T., Zaharia, A., Pepelea, D., Ienasoiu, G., & Petritan, I. C. (2024). The Role of Wood Density Variation and Biomass Allocation in Accurate Forest Carbon Stock Estimation of European Beech (Fagus sylvatica L.) Mountain Forests. Forests, 15(3), 404. https://doi.org/10.3390/f15030404

