Assessment of Particulate Matter, Heavy Metals, and Carbon Deposition Capacities of Urban Tree Species in Tehran, Iran
Abstract
1. Introduction
2. Materials and Methods
2.1. Overview of the Study Area
2.2. Sampling and Analytical Methods
3. Results
3.1. Particulate Matter (PM) Deposition Capacity of Different Tree Species in Two Distinct Sites
3.2. Particulate Matter Distribution on Leaves of Tree Species across Two Sites in Three Particle Size Fractions (<0.1 μm, 0.1–2.5 μm, >2.5 μm)
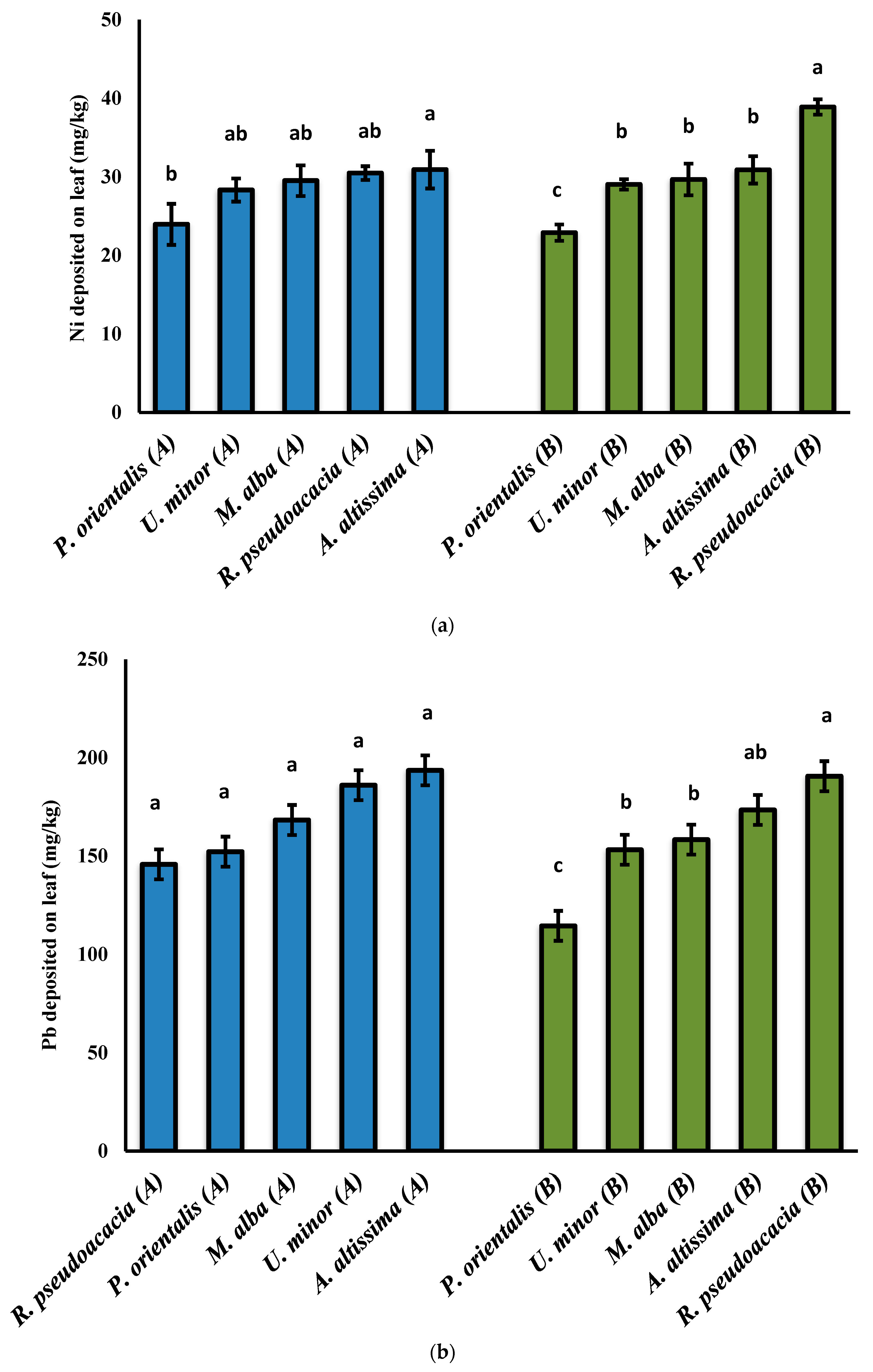
3.3. Variability in Heavy Metal Accumulation Capacity among Diverse Tree Species in Two Distinct Sites
3.4. Evaluation of EC, OC, and TC Deposition Capacities of Various Tree Species at Two Distinct Sites
4. Discussion
4.1. Effect of Species and Regions on PM Deposition
4.2. Effect of Species and Regions on Heavy Metal Accumulation
4.3. Effect of Species and Regions on Carbon Accumulation
5. Conclusions
Author Contributions
Funding
Data Availability Statement
Conflicts of Interest
References
- Jia, M.; Zhou, D.; Lu, S.; Yu, J. Assessment of Foliar Dust Particle Retention and Toxic Metal Accumulation Ability of Fifteen Roadside Tree Species: Relationship and Mechanism. Atmos. Pollut. Res. 2021, 12, 36–45. [Google Scholar] [CrossRef]
- Cachon, F.B.; Cazier, F.; Verdin, A.; Dewaele, D.; Genevray, P.; Delbende, A.; Ayi-Fanou, L.; Aïssi, F.; Sanni, A.; Courcot, D. Physicochemical Characterization of Air Pollution Particulate Matter (PM2.5 and PM > 2.5) in an Urban Area of Cotonou, Benin. Atmosphere 2023, 14, 201. [Google Scholar] [CrossRef]
- Dzierżanowski, K.; Popek, R.; Gawrońska, H.; Sæbø, A.; Gawroński, S.W. Deposition of Particulate Matter of Different Size Fractions on Leaf Surfaces and in Waxes of Urban Forest Species. Int. J. Phytoremediat. 2011, 13, 1037–1046. [Google Scholar] [CrossRef]
- Heshmatol Vaezin, S.M.; Juybari, M.M.; Daei, A.; Avatefi Hemmat, M.; Shirvany, A.; Tallis, M.J.; Hirabayashi, S.; Moeinaddini, M.; Hamidian, A.H.; Sadeghi, S.M.M.; et al. The Effectiveness of Urban Trees in Reducing Airborne Particulate Matter by Dry Deposition in Tehran, Iran. Environ. Monit. Assess. 2021, 193, 842. [Google Scholar] [CrossRef]
- Sæbø, A.; Popek, R.; Nawrot, B.; Hanslin, H.M.; Gawronska, H.; Gawronski, S.W. Plant Species Differences in Particulate Matter Accumulation on Leaf Surfaces. Sci. Total Environ. 2012, 427–428, 347–354. [Google Scholar] [CrossRef] [PubMed]
- Chávez-García, E.; González-Méndez, B. Particulate Matter and Foliar Retention: Current Knowledge and Implications for Urban Greening. Air Qual. Atmos. Health 2021, 14, 1433–1454. [Google Scholar] [CrossRef]
- Macchi, C.; Sirtori, C.R.; Corsini, A.; Mannuccio Mannucci, P.; Ruscica, M. Pollution from Fine Particulate Matter and Atherosclerosis: A Narrative Review. Environ. Int. 2023, 175, 107923. [Google Scholar] [CrossRef] [PubMed]
- Zhao, C.; Wang, W.; Wen, H.; Huang, Z.; Wang, X.; Jiao, K.; Chen, Q.; Feng, H.; Wang, Y.; Liao, J.; et al. Effects of Green Spaces on Alleviating Mortality Attributable to PM2.5 in China. Environ. Sci. Pollut. Res. 2023, 30, 14402–14412. [Google Scholar] [CrossRef] [PubMed]
- Tang, K.H.D. Green Walls as Mitigation of Urban Air Pollution: A Review of Their Effectiveness. Res. Ecol. 2023, 5, 1–13. [Google Scholar] [CrossRef]
- Biswas, K.; Chatterjee, A.; Chakraborty, J. Comparison of Air Pollutants Between Kolkata and Siliguri, India, and Its Relationship to Temperature Change. J. Geovisualization Spat. Anal. 2020, 4, 25. [Google Scholar] [CrossRef]
- Zapletal, M.; Cudlín, P.; Khadka, C.; Křůmal, K.; Mikuška, P.; Cigánková, H.; Polášek, M. Characteristics and Sources of PAHs, Hopanes, and Elements in PM10 Aerosol in Tulsipur and Charikot (Nepal). Water Air Soil Pollut. 2022, 233, 486. [Google Scholar] [CrossRef]
- Papanastasiou, D.K.; Melas, D. Application of PM10’s Statistical Distribution to Air Quality Management—A Case Study in Central Greece. Water Air Soil Pollut. 2010, 207, 115–122. [Google Scholar] [CrossRef]
- Karanasiou, A.; Minguillón, M.C.; Viana, M.; Alastuey, A.; Putaud, J.-P.; Maenhaut, W.; Panteliadis, P.; Močnik, G.; Favez, O.; Kuhlbusch, T.A.J. Thermal-Optical Analysis for the Measurement of Elemental Carbon (EC) and Organic Carbon (OC) in Ambient Air a Literature Review. Atmos. Meas. Tech. Discuss. 2015, 8, 9649–9712. [Google Scholar] [CrossRef]
- Yu, S.; Dennis, R.L.; Bhave, P.V.; Eder, B.K. Primary and Secondary Organic Aerosols over the United States: Estimates on the Basis of Observed Organic Carbon (OC) and Elemental Carbon (EC), and Air Quality Modeled Primary OC/EC Ratios. Atmos. Environ. 2004, 38, 5257–5268. [Google Scholar] [CrossRef]
- Bae, M.-S.; Schauer, J.J.; DeMinter, J.T.; Turner, J.R.; Smith, D.; Cary, R.A. Validation of a Semi-Continuous Instrument for Elemental Carbon and Organic Carbon Using a Thermal-Optical Method. Atmos. Environ. 2004, 38, 2885–2893. [Google Scholar] [CrossRef]
- Fushimi, A.; Kondo, Y.; Kobayashi, S.; Fujitani, Y.; Saitoh, K.; Takami, A.; Tanabe, K. Chemical Composition and Source of Fine and Nanoparticles from Recent Direct Injection Gasoline Passenger Cars: Effects of Fuel and Ambient Temperature. Atmos. Environ. 2016, 124, 77–84. [Google Scholar] [CrossRef]
- Keuken, M.P.; Jonkers, S.; Zandveld, P.; Voogt, M.; van den Elshout, S. Elemental Carbon as an Indicator for Evaluating the Impact of Traffic Measures on Air Quality and Health. Atmos. Environ. 2012, 61, 1–8. [Google Scholar] [CrossRef]
- Janssen, N.A.H.; Hoek, G.; Simic-Lawson, M.; Fischer, P.; van Bree, L.; ten Brink, H.; Keuken, M.; Atkinson, R.W.; Anderson, H.R.; Brunekreef, B.; et al. Black Carbon as an Additional Indicator of the Adverse Health Effects of Airborne Particles Compared with PM10 and PM2.5. Environ. Health Perspect. 2011, 119, 1691–1699. [Google Scholar] [CrossRef]
- Greksa, A.; Ljevnaić-Mašić, B.; Grabić, J.; Benka, P.; Radonić, V.; Blagojević, B.; Sekulić, M. Potential of Urban Trees for Mitigating Heavy Metal Pollution in the City of Novi Sad, Serbia. Environ. Monit. Assess. 2019, 191, 636. [Google Scholar] [CrossRef]
- Latif, A.; Bilal, M.; Asghar, W.; Azeem, M.; Ahmad, M.I.; Abbas, A.; Zulfiqar Ahmad, M.; Shahzad, T. Heavy Metal Accumulation in Vegetables and Assessment of Their Potential Health Risk. J. Environ. Anal. Chem. 2018, 5, 2380–2391. [Google Scholar] [CrossRef]
- Mihailović, A.; Budinski-Petković, L.; Popov, S.; Ninkov, J.; Vasin, J.; Ralević, N.M.; Vučinić Vasić, M. Spatial Distribution of Metals in Urban Soil of Novi Sad, Serbia: GIS Based Approach. J. Geochem. Explor. 2015, 150, 104–114. [Google Scholar] [CrossRef]
- Ugolini, F.; Tognetti, R.; Raschi, A.; Bacci, L. Quercus Ilex L. as Bioaccumulator for Heavy Metals in Urban Areas: Effectiveness of Leaf Washing with Distilled Water and Considerations on the Trees Distance from Traffic. Urban For. Urban Green. 2013, 12, 576–584. [Google Scholar] [CrossRef]
- Norouzi, S.; Khademi, H.; Faz Cano, A.; Acosta, J.A. Using Plane Tree Leaves for Biomonitoring of Dust Borne Heavy Metals: A Case Study from Isfahan, Central Iran. Ecol. Indic. 2015, 57, 64–73. [Google Scholar] [CrossRef]
- Hrotkó, K.; Gyeviki, M.; Sütöriné, D.M.; Magyar, L.; Mészáros, R.; Honfi, P.; Kardos, L. Foliar Dust and Heavy Metal Deposit on Leaves of Urban Trees in Budapest (Hungary). Environ. Geochem. Health 2021, 43, 1927–1940. [Google Scholar] [CrossRef]
- Badamasi, H. Biomonitoring of Air Pollution Using Plants. MAYFEB J. Environ. Sci. 2017, 2, 27–39. [Google Scholar]
- Nagajyoti, P.C.; Lee, K.D.; Sreekanth, T.V.M. Heavy Metals, Occurrence and Toxicity for Plants: A Review. Environ. Chem. Lett. 2010, 8, 199–216. [Google Scholar] [CrossRef]
- Yang, Z.; Lu, W.; Long, Y.; Bao, X.; Yang, Q. Assessment of Heavy Metals Contamination in Urban Topsoil from Changchun City, China. J. Geochem. Explor. 2011, 108, 27–38. [Google Scholar] [CrossRef]
- Sun, D.; Zhang, Y. Influence of Avenue Trees on Traffic Pollutant Dispersion in Asymmetric Street Canyons: Numerical Modeling with Empirical Analysis. Transp. Res. Part D Transp. Environ. 2018, 65, 784–795. [Google Scholar] [CrossRef]
- Baraldi, R.; Chieco, C.; Neri, L.; Facini, O.; Rapparini, F.; Morrone, L.; Rotondi, A.; Carriero, G. An Integrated Study on Air Mitigation Potential of Urban Vegetation: From a Multi-Trait Approach to Modeling. Urban For. Urban Green. 2019, 41, 127–138. [Google Scholar] [CrossRef]
- Paull, N.J.; Krix, D.; Irga, P.J.; Torpy, F.R. Airborne Particulate Matter Accumulation on Common Green Wall Plants. Int. J. Phytoremediat. 2020, 22, 594–606. [Google Scholar] [CrossRef]
- Kwak, M.J.; Lee, J.; Park, S.; Lim, Y.J.; Kim, H.; Jeong, S.G.; Son, J.; Je, S.M.; Chang, H.; Oh, C.-Y.; et al. Understanding Particulate Matter Retention and Wash-Off during Rainfall in Relation to Leaf Traits of Urban Forest Tree Species. Horticulturae 2023, 9, 165. [Google Scholar] [CrossRef]
- Zhou, S.; Zhang, Z.; Hipsey, M.R.; Liu, J.; Zhang, M. Differences in Mass Concentration and Elemental Composition of Leaf Surface Particulate Matter: Plant Species and Particle Size Ranges. Process Saf. Environ. Prot. 2023, 175, 599–610. [Google Scholar] [CrossRef]
- Chen, L.; Liu, C.; Zhang, L.; Zou, R.; Zhang, Z. Variation in Tree Species Ability to Capture and Retain Airborne Fine Particulate Matter (PM2.5). Sci. Rep. 2017, 7, 3206. [Google Scholar] [CrossRef]
- Kwak, M.J.; Lee, J.K.; Park, S.; Kim, H.; Lim, Y.J.; Lee, K.-A.; Son, J.; Oh, C.-Y.; Kim, I.; Woo, S.Y. Surface-Based Analysis of Leaf Microstructures for Adsorbing and Retaining Capability of Airborne Particulate Matter in Ten Woody Species. Forests 2020, 11, 946. [Google Scholar] [CrossRef]
- Beckett, K.P.; Freer-Smith, P.H.; Taylor, G. Urban Woodlands: Their Role in Reducing the Effects of Particulate Pollution. Environ. Pollut. 1998, 99, 347–360. [Google Scholar] [CrossRef]
- Freer-Smith, P.H.; Beckett, K.P.; Taylor, G. Deposition Velocities to Sorbus Aria, Acer Campestre, Populus Deltoides × Trichocarpa ‘Beaupré’, Pinus Nigra and × Cupressocyparis Leylandii for Coarse, Fine and Ultra-Fine Particles in the Urban Environment. Environ. Pollut. 2005, 133, 157–167. [Google Scholar] [CrossRef]
- Sgrigna, G.; Sæbø, A.; Gawronski, S.; Popek, R.; Calfapietra, C. Particulate Matter Deposition on Quercus Ilex Leaves in an Industrial City of Central Italy. Environ. Pollut. 2015, 197, 187–194. [Google Scholar] [CrossRef] [PubMed]
- Beckett, K.P.; Freer-Smith, P.H.; Taylor, G. Particulate Pollution Capture by Urban Trees: Effect of Species and Windspeed: Particulate Pollution Uptake by Trees. Glob. Change Biol. 2000, 6, 995–1003. [Google Scholar] [CrossRef]
- Litschke, T.; Kuttler, W. On the Reduction of Urban Particle Concentration by Vegetation a Review. Meteorol. Z. 2008, 17, 229–240. [Google Scholar] [CrossRef]
- Naddafi, K.; Hassanvand, M.S.; Yunesian, M.; Momeniha, F.; Nabizadeh, R.; Faridi, S.; Gholampour, A. Health Impact Assessment of Air Pollution in Megacity of Tehran, Iran. J. Environ. Health Sci. Eng. 2012, 9, 28. [Google Scholar] [CrossRef] [PubMed]
- Atash, F. The Deterioration of Urban Environments in Developing Countries: Mitigating the Air Pollution Crisis in Tehran, Iran. Cities 2007, 24, 399–409. [Google Scholar] [CrossRef]
- Vafa-Arani, H.; Jahani, S.; Dashti, H.; Heydari, J.; Moazen, S. A System Dynamics Modeling for Urban Air Pollution: A Case Study of Tehran, Iran. Transp. Res. Part D Transp. Environ. 2014, 31, 21–36. [Google Scholar] [CrossRef]
- Shahbazi, H.; Reyhanian, M.; Hosseini, V.; Afshin, H. The Relative Contributions of Mobile Sources to Air Pollutant Emissions in Tehran, Iran: An Emission Inventory Approach. Emiss. Control Sci. Technol. 2016, 2, 44–56. [Google Scholar] [CrossRef]
- Ashrafi, K. Determining of Spatial Distribution Patterns and Temporal Trends of an Air Pollutant Using Proper Orthogonal Decomposition Basis Functions. Atmos. Environ. 2012, 47, 468–476. [Google Scholar] [CrossRef]
- Sohrabinia, M.; Khorshiddoust, A.M. Application of Satellite Data and GIS in Studying Air Pollutants in Tehran. Habitat Int. 2007, 31, 268–275. [Google Scholar] [CrossRef]
- Elkaee, S.; Moeinaddini, M.; Shirvany, A. Source Identification and Pollution Degree of Deposited Dust on Green Space in Tehran. Environ. Monit. Assess. 2020, 192, 535. [Google Scholar] [CrossRef] [PubMed]
- Li, X.; Zhang, T.; Sun, F.; Song, X.; Zhang, Y.; Huang, F.; Yuan, C.; Yu, H.; Zhang, G.; Qi, F.; et al. The Relationship between Particulate Matter Retention Capacity and Leaf Surface Micromorphology of Ten Tree Species in Hangzhou, China. Sci. Total Environ. 2021, 771, 144812. [Google Scholar] [CrossRef]
- Kończak, B.; Cempa, M.; Pierzchała, Ł.; Deska, M. Assessment of the Ability of Roadside Vegetation to Remove Particulate Matter from the Urban Air. Environ. Pollut. 2021, 268, 115465. [Google Scholar] [CrossRef]
- Behjati, S.E. A Relative Analysis of Carbon and Dust Uptake by Important Tree Species in Tehran, Iran. Int. J. Environ. Ecol. Eng. 2019, 13, 222–225. [Google Scholar]
- Konen, M.E.; Jacobs, P.M.; Burras, C.L.; Talaga, B.J.; Mason, J.A. Equations for Predicting Soil Organic Carbon Using Loss-on-Ignition for North Central U.S. Soils. Soil Sci. Soc. Am. J. 2002, 66, 1878–1881. [Google Scholar] [CrossRef]
- Gelman, F.; Binstock, R.; Halicz, L. Application of the Walkley–Black Titration for the Organic Carbon Quantification in Organic Rich Sedimentary Rocks. Fuel 2012, 96, 608–610. [Google Scholar] [CrossRef]
- Sahan, E.; Ten Brink, H.M.; Weijers, E.P. Carbon in Atmospheric Particulate Matter; ECN Biomass, Coal and Environmental Research: Petten, The Netherlands, 2008. [Google Scholar]
- Vigevani, I.; Corsini, D.; Mori, J.; Pasquinelli, A.; Gibin, M.; Comin, S.; Szwałko, P.; Cagnolati, E.; Ferrini, F.; Fini, A. Particulate Pollution Capture by Seventeen Woody Species Growing in Parks or along Roads in Two European Cities. Sustainability 2022, 14, 1113. [Google Scholar] [CrossRef]
- Grote, R.; Samson, R.; Alonso, R.; Amorim, J.H.; Cariñanos, P.; Churkina, G.; Fares, S.; Thiec, D.L.; Niinemets, Ü.; Mikkelsen, T.N.; et al. Functional Traits of Urban Trees: Air Pollution Mitigation Potential. Front. Ecol. Environ. 2016, 14, 543–550. [Google Scholar] [CrossRef]
- Xie, C.; Guo, J.; Yan, L.; Jiang, R.; Liang, A.; Che, S. The Influence of Plant Morphological Structure Characteristics on PM2.5 Retention of Leaves under Different Wind Speeds. Urban For. Urban Green. 2022, 71, 127556. [Google Scholar] [CrossRef]
- Fussell, J.C.; Franklin, M.; Green, D.C.; Gustafsson, M.; Harrison, R.M.; Hicks, W.; Kelly, F.J.; Kishta, F.; Miller, M.R.; Mudway, I.S.; et al. A Review of Road Traffic-Derived Non-Exhaust Particles: Emissions, Physicochemical Characteristics, Health Risks, and Mitigation Measures. Environ. Sci. Technol. 2022, 56, 6813–6835. [Google Scholar] [CrossRef]
- Cai, M.; Xin, Z.; Yu, X. Spatio-Temporal Variations in PM Leaf Deposition: A Meta-Analysis. Environ. Pollut. 2017, 231, 207–218. [Google Scholar] [CrossRef]
- Chaudhary, I.J.; Rathore, D. Suspended Particulate Matter Deposition and Its Impact on Urban Trees. Atmos. Pollut. Res. 2018, 9, 1072–1082. [Google Scholar] [CrossRef]
- Prusty, B.A.K.; Mishra, P.C.; Azeez, P.A. Dust Accumulation and Leaf Pigment Content in Vegetation near the National Highway at Sambalpur, Orissa, India. Ecotoxicol. Environ. Saf. 2005, 60, 228–235. [Google Scholar] [CrossRef]
- Xu, X.; Yu, X.; Mo, L.; Xu, Y.; Bao, L.; Lun, X. Atmospheric Particulate Matter Accumulation on Trees: A Comparison of Boles, Branches and Leaves. J. Clean. Prod. 2019, 226, 349–356. [Google Scholar] [CrossRef]
- Muhammad, S.; Wuyts, K.; Samson, R. Immobilized Atmospheric Particulate Matter on Leaves of 96 Urban Plant Species. Environ. Sci. Pollut. Res. 2020, 27, 36920–36938. [Google Scholar] [CrossRef]
- Soheili, F.; Woodward, S.; Abdul-Hamid, H.; Naji, H.R. The Effect of Dust Deposition on the Morphology and Physiology of Tree Foliage. Water Air Soil Pollut. 2023, 234, 339. [Google Scholar] [CrossRef]
- Hicks, W.; Beevers, S.; Tremper, A.H.; Stewart, G.; Priestman, M.; Kelly, F.J.; Lanoisellé, M.; Lowry, D.; Green, D.C. Quantification of Non-Exhaust Particulate Matter Traffic Emissions and the Impact of COVID-19 Lockdown at London Marylebone Road. Atmosphere 2021, 12, 190. [Google Scholar] [CrossRef]
- Sharma, P.; Yadav, P.; Ghosh, C.; Singh, B. Heavy Metal Capture from the Suspended Particulate Matter by Morus Alba and Evidence of Foliar Uptake and Translocation of PM Associated Zinc Using Radiotracer (65Zn). Chemosphere 2020, 254, 126863. [Google Scholar] [CrossRef]
- Gupta, G.P.; Kumar, B.; Singh, S.; Kulshrestha, U.C. Deposition and Impact of Urban Atmospheric Dust on Two Medicinal Plants during Different Seasons in NCR Delhi. Aerosol Air Qual. Res. 2016, 16, 2920–2932. [Google Scholar] [CrossRef]
- Bell, J.N.B.; Treshow, M. Air Pollution and Plant Life; John Wiley & Sons: Hoboken, NJ, USA, 2002; ISBN 978-0-471-49091-3. [Google Scholar]
- Tallis, M.; Taylor, G.; Sinnett, D.; Freer-Smith, P. Estimating the Removal of Atmospheric Particulate Pollution by the Urban Tree Canopy of London, under Current and Future Environments. Landsc. Urban Plan. 2011, 103, 129–138. [Google Scholar] [CrossRef]
- Weerakkody, U.; Dover, J.W.; Mitchell, P.; Reiling, K. Evaluating the Impact of Individual Leaf Traits on Atmospheric Particulate Matter Accumulation Using Natural and Synthetic Leaves. Urban For. Urban Green. 2018, 30, 98–107. [Google Scholar] [CrossRef]
- Mo, L.; Ma, Z.; Xu, Y.; Sun, F.; Lun, X.; Liu, X.; Chen, J.; Yu, X. Assessing the Capacity of Plant Species to Accumulate Particulate Matter in Beijing, China. PLoS ONE 2015, 10, e0140664. [Google Scholar] [CrossRef] [PubMed]
- He, C.; Qiu, K.; Pott, R. Reduction of Traffic-Related Particulate Matter by Roadside Plants: Effect of Traffic Pressure and Sampling Height. Int. J. Phytoremediat. 2020, 22, 184–200. [Google Scholar] [CrossRef] [PubMed]
- da Fleck, A.S.; Moresco, M.B.; Rhoden, C.R. Assessing the Genotoxicity of Traffic-Related Air Pollutants by Means of Plant Biomonitoring in Cities of a Brazilian Metropolitan Area Crossed by a Major Highway. Atmos. Pollut. Res. 2016, 7, 488–493. [Google Scholar] [CrossRef]
- Turkyilmaz, A.; Sevik, H.; Cetin, M.; Saleh, E.A.A. Changes in Heavy Metal Accumulation Depending on Traffic Density in Some Landscape Plants. Pol. J. Environ. Stud. 2018, 27, 2277–2284. [Google Scholar] [CrossRef]
- Zhu, L.; Liu, J.; Cong, L.; Ma, W.; Ma, W.; Zhang, Z. Spatiotemporal Characteristics of Particulate Matter and Dry Deposition Flux in the Cuihu Wetland of Beijing. PLoS ONE 2016, 11, e0158616. [Google Scholar] [CrossRef] [PubMed]
- Behera, R.R.; Satapathy, D.R.; Majhi, A.; Panda, C.R. Spatiotemporal Variation of Atmospheric Pollution and Its Plausible Sources in an Industrial Populated City, Bay of Bengal, Paradip, India. Urban Clim. 2021, 37, 100860. [Google Scholar] [CrossRef]
- Chowdhury, A.I.; Uddin, M.J.; Baul, T.K.; Akhter, J.; Nandi, R.; Karmakar, S.; Nath, T.K. Quantifying the Potential Contribution of Urban Trees to Particulate Matters Removal: A Study in Chattogram City, Bangladesh. J. Clean. Prod. 2022, 380, 135015. [Google Scholar] [CrossRef]
- Dang, N.; Zhang, H.; Abdus Salam, M.M.; Li, H.; Chen, G. Foliar Dust Particle Retention and Metal Accumulation of Five Garden Tree Species in Hangzhou: Seasonal Changes. Environ. Pollut. 2022, 306, 119472. [Google Scholar] [CrossRef] [PubMed]
- Kishore, N.; Srivastava, A.K.; Nandan, H.; Pandey, C.P.; Agrawal, S.; Singh, N.; Soni, V.K.; Bisht, D.S.; Tiwari, S.; Srivastava, M.K. Long-Term (2005–2012) Measurements of near-Surface Air Pollutants at an Urban Location in the Indo-Gangetic Basin. J. Earth Syst. Sci. 2019, 128, 55. [Google Scholar] [CrossRef]
- Roy, A.; Bhattacharya, T.; Kumari, M. Air Pollution Tolerance, Metal Accumulation and Dust Capturing Capacity of Common Tropical Trees in Commercial and Industrial Sites. Sci. Total Environ. 2020, 722, 137622. [Google Scholar] [CrossRef]
- Hu, Y.; Wang, D.; Wei, L.; Zhang, X.; Song, B. Bioaccumulation of Heavy Metals in Plant Leaves from Yan’an City of the Loess Plateau, China. Ecotoxicol. Environ. Saf. 2014, 110, 82–88. [Google Scholar] [CrossRef] [PubMed]
- Isinkaralar, K. Temporal Variability of Trace Metal Evidence in Cupressus Arizonica, Platanus Orientalis, and Robinia Pseudoacacia as Pollution-Resistant Species at an Industrial Site. Water Air Soil Pollut. 2022, 233, 250. [Google Scholar] [CrossRef]
- Alahabadi, A.; Ehrampoush, M.H.; Miri, M.; Ebrahimi Aval, H.; Yousefzadeh, S.; Ghaffari, H.R.; Ahmadi, E.; Talebi, P.; Abaszadeh Fathabadi, Z.; Babai, F.; et al. A Comparative Study on Capability of Different Tree Species in Accumulating Heavy Metals from Soil and Ambient Air. Chemosphere 2017, 172, 459–467. [Google Scholar] [CrossRef]
- Monfared, S.H.; Matinizadeh, M.; Shirvany, A.; Amiri, G.Z.; Fard, R.M.; Rostami, F. Accumulation of Heavy Metal in Platanus Orientalis, Robinia Pseudoacacia and Fraxinus Rotundifolia. J. For. Res. 2013, 24, 391–395. [Google Scholar] [CrossRef]
- Wilkinson, K.; Lundkvist, J.; Seisenbaeva, G.; Kessler, V. A Cost-Effective Method for Monitoring Airborne Particulate Matter Using Tabletop SEM-EDS. Air Pollut 2010, 136, 407–418. [Google Scholar] [CrossRef][Green Version]
- Feng, Y.; Chen, Y.; Guo, H.; Zhi, G.; Xiong, S.; Li, J.; Sheng, G.; Fu, J. Characteristics of Organic and Elemental Carbon in PM2.5 Samples in Shanghai, China. Atmos. Res. 2009, 92, 434–442. [Google Scholar] [CrossRef]
- Ye, B.; Ji, X.; Yang, H.; Yao, X.; Chan, C.K.; Cadle, S.H.; Chan, T.; Mulawa, P.A. Concentration and Chemical Composition of PM2.5 in Shanghai for a 1-Year Period. Atmos. Environ. 2003, 37, 499–510. [Google Scholar] [CrossRef]
- Kim, S.; Yang, J.; Park, J.; Song, I.; Kim, D.-G.; Jeon, K.; Kim, H.; Yi, S.-M. Health Effects of PM2.5 Constituents and Source Contributions in Major Metropolitan Cities, South Korea. Environ. Sci. Pollut. Res. 2022, 29, 82873–82887. [Google Scholar] [CrossRef] [PubMed]
- Jones, A.M.; Harrison, R.M. Interpretation of Particulate Elemental and Organic Carbon Concentrations at Rural, Urban and Kerbside Sites. Atmos. Environ. 2005, 39, 7114–7126. [Google Scholar] [CrossRef]
- Funasaka, K.; Miyazaki, T.; Tsuruho, K.; Tamura, K.; Mizuno, T.; Kuroda, K. Relationship between Indoor and Outdoor Carbonaceous Particulates in Roadside Households. Environ. Pollut. 2000, 110, 127–134. [Google Scholar] [CrossRef]





| Frequency % | ||||
|---|---|---|---|---|
| Species | Site A | Site B | Site A | Site B |
| 0.1–2.5 μm | >2.5 μm | |||
| R. pseudoacacia | 99.40% | 65.00% | 0.60% | 35.00% |
| U. minor | 100% | 32.70% | 0% | 67.30% |
| M. alba | 66.70% | 44.20% | 33.30% | 55.80% |
| A. altissima | 99.40% | 100% | 0.60% | 0% |
| P. orientalis | 100% | 59.70% | 0% | 40.30% |
| Species | Carbon Deposition in Site A (mg/cm2) | Carbon Deposition in Site B (mg/cm2) | ||||
|---|---|---|---|---|---|---|
| TC | OC | EC | TC | OC | EC | |
| R. pseudoacacia | 1.204 ± 0.127 c | 0.400 ± 0.083 b | 0.803 ± 0.049 a | 0.966 ± 0.354 b | 0.334 ± 0.111 a | 0.632 ± 0.246 ab |
| U. minor | 2.570 ± 0.576 c | 0.925 ± 0.173 b | 1.645 ± 0.414 a | 0.845 ± 0.224 b | 0.332 ± 0.065 a | 0.513 ± 0.147 a |
| M. alba | 0.484 ± 0.170 b | 0.197 ± 0.060 a | 0.286 ± 0.116 a | 0.655 ± 0.087 b | 0.290 ± 0.047 a | 0.365 ± 0.071 a |
| A. altissima | 1.115 ± 0.113 c | 0.392 ± 0.062 b | 0.722 ± 0.060 a | 0.846 ± 0.202 b | 0.309 ± 0.102 ab | 0.524 ± 0.226 a |
| P. orientalis | 2.057 ± 0.467 c | 0.780 ± 0.284 b | 1.276 ± 0.319 a | 1.092 ± 0.311 c | 0.358 ± 0.050 b | 0.733 ± 0.178 a |
Disclaimer/Publisher’s Note: The statements, opinions and data contained in all publications are solely those of the individual author(s) and contributor(s) and not of MDPI and/or the editor(s). MDPI and/or the editor(s) disclaim responsibility for any injury to people or property resulting from any ideas, methods, instructions or products referred to in the content. |
© 2024 by the authors. Licensee MDPI, Basel, Switzerland. This article is an open access article distributed under the terms and conditions of the Creative Commons Attribution (CC BY) license (https://creativecommons.org/licenses/by/4.0/).
Share and Cite
Elkaee, S.; Shirvany, A.; Moeinaddini, M.; Sabbagh, F. Assessment of Particulate Matter, Heavy Metals, and Carbon Deposition Capacities of Urban Tree Species in Tehran, Iran. Forests 2024, 15, 273. https://doi.org/10.3390/f15020273
Elkaee S, Shirvany A, Moeinaddini M, Sabbagh F. Assessment of Particulate Matter, Heavy Metals, and Carbon Deposition Capacities of Urban Tree Species in Tehran, Iran. Forests. 2024; 15(2):273. https://doi.org/10.3390/f15020273
Chicago/Turabian StyleElkaee, Sahar, Anoushirvan Shirvany, Mazaher Moeinaddini, and Farzaneh Sabbagh. 2024. "Assessment of Particulate Matter, Heavy Metals, and Carbon Deposition Capacities of Urban Tree Species in Tehran, Iran" Forests 15, no. 2: 273. https://doi.org/10.3390/f15020273
APA StyleElkaee, S., Shirvany, A., Moeinaddini, M., & Sabbagh, F. (2024). Assessment of Particulate Matter, Heavy Metals, and Carbon Deposition Capacities of Urban Tree Species in Tehran, Iran. Forests, 15(2), 273. https://doi.org/10.3390/f15020273
