Next Article in Journal
Phylogenetic Relationships Plays a More Important Role than Environmental Factors in Influencing Leaf Si and Ca Stoichiometry Along the Elevation Gradient in a Chinese Subtropical Forest
Previous Article in Journal
The Mycobiota Diversity Associated with Mistletoe (Viscum album L.) in Poland
 
 
Font Type:
Arial Georgia Verdana
Font Size:
Aa Aa Aa
Line Spacing:
Column Width:
Background:
Article

Response of Morphological Plasticity of Quercus variabilis Seedlings to Different Light Quality

1
College of Life Sciences, Qufu Normal University, Qufu 273165, China
2
Chongyang County Forestry Bureau, Chongyang 437500, China
3
Shandong Cork Oak Industrial Technology Research Institute Co., Ltd., Jining 272075, China
4
Jining Forestry Conservation and Development Service Center, Jining 272000, China
*
Author to whom correspondence should be addressed.
Forests 2024, 15(12), 2153; https://doi.org/10.3390/f15122153
Submission received: 14 November 2024 / Revised: 28 November 2024 / Accepted: 2 December 2024 / Published: 6 December 2024
(This article belongs to the Section Forest Ecophysiology and Biology)

Abstract

This experiment explores the regulatory mechanisms of various light qualities on the phenotypic plasticity of Quercus variabilis seedlings during their growth. The light conditions included blue light (BL), red light (RL), far-red light (FrL), a blend of RL and FrL with a ratio of 1:1 (RFr1:1L), and a blend of RL and FrL with a ratio of 1:2 (RFr1:2L), alongside a broad-spectrum white light (WL) as the control. Each treatment was maintained at a consistent photosynthetic photon flux density of 400 µmol·m−2·s−1. Results indicate significant morphological variations in Q. variabilis seedlings under different light qualities. Compared to white light treatment, all light quality treatments enhance seedling height, with the FrL treatment exhibiting the most pronounced effect. Seedling ground diameter elongation is stimulated by all light quality treatments, except for the BL treatment. Although the BL treatment promotes leaf morphology in Q. variabilis seedlings, it inhibits root growth, leading to reduced biomass accumulation and a lower root-to-shoot ratio. FrL can mitigate the effects of RL. Under the FrL treatment, Q. variabilis seedlings exhibit a greater increase in plant height and a higher height-to-diameter ratio. While the leaf morphology of RFr1:1L treatment does not show significant advantages, it demonstrates substantial root growth, resulting in the highest biomass accumulation. Quercus variabilis displays the strongest morphological plasticity in its root system, showing greater sensitivity to variations in light quality compared to leaf morphology and biomass accumulation. Strategically optimizing light spectrum and wavelength can significantly boost economic yields and improve the quality of forestry products.

1. Introduction

In natural settings, the understory light condition plays a pivotal role in forest regeneration, significantly influencing seedling establishment, growth, and biomass distribution [1,2]. Plant canopies reduce the availability of photosynthetically active radiation (PAR) and alter its wavelength distribution [3]. Photosynthetic pigments effectively absorb the productive blue (B) and red (R) wavelengths of light while reflecting or transmitting the less efficient far-red (FR) radiation [4,5,6]. Consequently, the radiation beneath a plant canopy is characterized by a diminished R:FR ratio [3,7]. Typically, this ratio is around 1.2 in open daylight but plummets to 0.2 under a canopy [3]. Although FR photons do not boost photosynthesis, the detected low R:FR ratio by phytochrome photoreceptors can rapidly modulate genetic transcription and metabolic processes [5,8]. These alterations regulate plant phenotypic plasticity, such as elongation growth, enabling plants to compete more effectively with their neighbors [3,5]. Plants exhibit a shade-avoidance response, mediated by phytochromes, which includes the elongation of internodes, petioles, and hypocotyls, often at the expense of leaf development, along with increased apical dominance and precocious flowering [9,10]. These adaptations allow plants to evade shaded conditions and secure extra light for photosynthesis [3,10]. Conversely, shade-tolerant plants increase leaf expansion to intercept more light and reorganize their chlorophyll to enhance photosynthetic efficiency [11,12]. Collectively, these adaptive responses to shade facilitate light capture and promote survival under low-light conditions [12,13].
Within the dense canopy of forests, chlorophyll efficiently absorbs red light and blue light, leading to a predominance of FrL in the understory [3,14]. As a result, plants adapted to these low-light conditions respond to a reduced red-to-R:FR ratio by promoting shoot elongation [5,9,15]. In contrast, exposure to blue light inhibits shoot growth, resulting in shorter plants that compensate by increasing leaf size to enhance photosynthesis under high blue light conditions and a favorable R:FR ratio [15,16].
Numerous studies emphasize the significant impact of light spectrum on the growth and development of various plant species, particularly within horticultural crops [17]. Although forest tree nurseries have utilized light manipulation techniques for decades to regulate seedling growth, the strategic application of diverse light spectra to enhance seedling quality is a relatively recent advancement [9]. Light-emitting diodes (LEDs) have emerged as an indispensable tool in this context, providing numerous benefits, including exceptional energy efficiency, tunable wavelengths, customizable light intensity and quality, an extended lifespan, and minimal thermal emission [18,19]. In recent years, LEDs have gained significant interest as a light source for plant growth due to their immense potential for both developmental research and commercial applications [18,19,20]. Despite this importance, research on the morphological impacts of varying light spectra has mainly concentrated on vegetable crops and economically valuable flowering species [17,18]. In contrast, studies on forest tree seedlings remains limited, highlighting an urgent need for further scientific inquiry, especially as the demand for seedlings for forest rehabilitation increases [9,15]. Although plant responses to light spectra vary among species, the majority of LED research has concentrated on horticultural herbs in commercial settings [17,18]. The ongoing evolution of LED technology has opened opportunities to explore the effects of specific wavebands on forest tree species, emphasizing the necessity for additional research to clarify their responses to varying light spectra.
The Chinese cork oak (Quercus variabilis Bl., Fagaceae) is a common deciduous broadleaf tree, ranking eighth among the precious tree species in China and classified as an A-class precious timber species in the Chinese reserve forest tree species catalogue [21,22]. As a vital dominant species in the warm temperate to subtropical zones of China, Q. variabilis plays a crucial role in water conservation, soil and water retention, and the maintenance of biodiversity [23,24]. In addition to its ecological contributions, Q. variabilis provides high-quality timber, firewood, cork, and serves as a raw material for cultivating edible fungi, highlighting its multifaceted importance in China’s economy, ecology, and society [25]. The demand for superior Q. variabilis seedlings has increased, driven by a growing interest in year-round cultivation to reduce costs and optimize the use of expensive planting machinery and labor. To identify the most beneficial spectral light composition for artificial lighting, it is essential to understand how light across different spectral bands affects the developmental and photosynthetic traits of these seedlings [3,5,16]. Gaining deeper insights into how these seedlings respond to varying light spectra is crucial for developing commercial strategies aimed at producing high-quality seedlings [16,17,18]. This knowledge will support cost-effective forest regeneration and enhance the overall sustainability of Q. variabilis cultivation.
This research was designed to examine the effects of diverse spectral light spectra on the growth, morphological traits, and morphological plasticity of Q. variabilis seedlings. Our goals were twofold: first, to assess variations in growth, morphology, and biomass distribution under different light spectra; and second, to identify the most responsive morphological adaptations to spectral shifts. The results are expected to establish baseline optimal light conditions for future seedling cultivation and tree growth. Additionally, our findings will contribute to the broader field of plant light response research, providing a theoretical foundation for sustainable forestry development. This research underscores the practical applications of light technology, offering insights that could inform the design of artificial lighting in forest nurseries, thereby facilitating the propagation of planting stock and opening avenues for biotechnological advancements.

2. Materials and Methods

2.1. Methodology and Experimental Protocols

Six light quality treatments were implemented: (1) a broad-spectrum white light (WL, λ = 400–700 nm, peak at 445 nm/560 nm; as control), (2) monochromatic blue light (BL, λ = 400–500 nm, peak at 460 nm), (3) monochromatic red light (RL, λ = 600–700 nm, peak at 660 nm), (4) monochromatic far-red light (FrL, λ = 700–735 nm, peak at 730 nm), (5) a blend of red and far-red light with a ratio of 1:1 (RFr1:1L), and (6) a blend of red and far-red light with a ratio of 1:2 (RFr1:2L). Each treatment was conducted within a growth chamber (90 cm × 100 cm × 100 cm), with an opaque, non-reflective black covering material used between chambers to prevent light contamination. To regulate temperature and ensure proper air circulation, an air distribution system was installed at the top of each chamber. Two LED lighting panels (each measuring 80 cm width × 40 cm length) were fixed horizontally to the top of each growth chamber. The photon flux density for photosynthetic in each chamber was 400 µmol·m−2·s−1, as determined by a quantum sensor (HiPoint HP-350, Taiwan, China) positioned above the seedling canopy. To ensure uniform lighting conditions, during the experiment as the seedlings grew, we maintained a consistent vertical distance of approximately 20 cm between the top of the seedling canopy and the LED lighting panels by adjusting the height of the cushion layer beneath the pots. All lights in this experiment were managed by a programmed timer, ensuring a consistent 12 h photoperiod daily, from 06:00 AM to 16:00 PM.
The seedlings of Q. variabilis, which were six months old at the start of this study, sourced from the Shandong Cork Oak Industrial Technology Research Institute (Jining, China), were used. Prior to the experiment’s initiation, the seedlings were planted in pots (10 cm diameter × 20 cm height, filled with a 2:1 (volumetric ratio) mixture of peat and vermiculite substrate (Jiaheng Agriculture Technology Co., Ltd., Shouguang, China). The substrate’s organic matter is 73.0 g·kg−1, total nitrogen is 72.0 g·kg−1, total phosphorus is 2.0 g·kg−1, total potassium is 9.0 g·kg−1, the pH is 6.5, and the electrical conductivity is 1.0 dS m−1. Each pot contained a single seedling, which was placed in the experimental greenhouse for a month of controlled growth. After this initial growth phase, 36 seedlings exhibiting uniform growth and robust development (averaging 46.98 ± 6.90 cm in height and 3.35 ± 0.56 mm in diameter) were randomly assigned to six groups. These seedlings were subjected to six different LED light treatments over a duration of three months. Within each light treatment, six Q. variabilis seedlings were served as replicates, and the arrangement of pots was randomized to ensure consistent exposure to light without obstruction. Worth noting is that seedlings under the same light condition were treated as completely independent. To enhance the uniformity of light received by each seedling, the pots were re-positioned weekly. No additional fertilizer was applied during the experimental period, and regular weeding was conducted. Watering was conducted two to three times a week throughout the experiment. Each pot was watered by weight to ensure uniform soil moisture levels and avoid soil desiccation.

2.2. Measurement of Seedling Growth and Morphological Traits

Prior to light quality treatment, the seedlings were measured to determine their initial stem diameters and heights. Height was defined as the vertical distance from the soil surface to the seedling’s growing point. Stem diameter was obtained using a Vernier caliper with an accuracy of 0.01 mm. The height increment (defined as the final height in centimeters minus the starting height), diameter increment (final diameter minus the initial measurement), and height-to-diameter ratio (H:D) were all determined for each seedling utilizing the initial and final measurements.
At the end of the experiment, the complete root systems from all treatments were carefully removed and gently washed with water to prevent damage, then transported back to the laboratory for root morphology analysis. Ten healthy, fully expanded leaves were randomly selected from the same location on each experimental seedling for leaf morphometry. Both the leaves and all roots except the taproot were scanned using an Expression 10,000 LX scanner (Epson, Tokyo, Japan). The statistical analysis of leaf length (cm), leaf area (cm2), leaf width (mm), root surface area (cm2), total root length (m), and root volume (cm3) was conducted using Win RHIZO image analysis software (Version 2003e, Regent Instruments, Québec City, QC, Canada). When the root system exceeded the size limit for complete visualization, it was divided into smaller sections using scissors and examined individually, followed by the aggregation of the scanning outcomes. For biomass determination, the harvested seedlings were separated into leaf, root, and stem components, each placed in paper envelope bags. The envelopes were initially subjected to an oven at 105 °C for de-enzyming for 30 min, followed by drying at 80 °C for a minimum 48 h to reach a stable weight. Subsequently, the dry weight of each component was measured. Using the collected data, various morphological indices were calculated, including specific root length (calculated as the leaf area-to-dry leaf mass and the total root length-to-dry root mass ratio, respectively), along with the root-specific surface area (root surface area-to-dry root mass ratio), specific leaf area, as well as the ratios of root mass, stem mass, leaf mass, and the root-to-shoot ratio.

2.3. Statistical Analysis

Data analysis was conducted using SPSS 24.0 software (SPSS Inc., Chicago, IL, USA), and charts were generated in Excel 2019 and Origin 9.0 software (OriginLab, Northampton, MA, USA). Variations in the growth of seedlings, the morphology of leaves and roots, and the patterns of biomass accumulation and allocation under various light quality treatments were analyzed using one-way ANOVA. The statistical significance of observed differences was determined by conducting post hoc least significant difference (LSD) tests. Results are depicted as average ± standard error, with distinct lowercase letters indicating statistically significant at the p < 0.05 level. The analyses were consistently replicated six times, with one seedling per replicate. The relative plasticity of seedling growth, biomass accumulation and allocation, leaf morphology, root morphology, and traits were assessed and compared using the coefficient of variation (CV). The CVs were calculated as 100 × SDX/X, where SDX represents the standard deviation of the mean values for each treatment, and X denotes the maximum mean of each treatment. These CVs were averaged and ranked to evaluate the comparative plasticity of seedling morphology under the different treatments. Lastly, principal component analysis (PCA) was employed to investigate the trait plasticity in response to varying light treatments.

3. Results

3.1. Influence of Light Quality on Seedling Growth

Under different light treatments, significant differences are observed in the height increment, the diameter increment, and the height-to-diameter ratio of seedlings (Figure 1). Compared to the WL treatment, various light quality treatments notably enhance seedling height growth, with the FrL treatment exhibiting the most substantial promotion of height increment. However, the differences in height increment among the BL, 1:1 RFr1:1L, and 1:2 RFr1:2L treatments are not statistically significant. The ground diameter increment under the BL treatment is the smallest, but this difference is not statistically significant when compared to the WL and FrL treatments. The RFr1:1L and RL treatments show the largest ground diameter increments, increasing by 105.9% and 104.6%, respectively, compared to the BL treatment. The height-to-diameter ratio under the RL treatment is the smallest, while the height-to-diameter ratio under the FrL and RFr 1:2L treatments is the largest. The height-to-diameter ratios of the FrL and RFr 1:2L treatments increase by 48.1% and 44.8%, respectively, compared to the RL treatment (Figure 1).

3.2. Response of Leaf Morphological Traits to Light Quality

Different light treatments have markedly influenced the morphological characteristics of leaves (Figure 2). The leaf length under the RFr1:1L treatment decreased by 5.5%, while the leaf length of seedlings under the RL, BL, and RFr1:2L treatments increased by 13.1%, 10.7%, and 11.7%, respectively, compared to the WL treatment. Among the various light quality treatments, the BL treatment produced the largest leaf width, whereas the WL treatment yielded the smallest. There were no notable distinctions in leaf width across the WL, FrL, and RFr1:2L treatments. The leaf area and specific leaf area both increase under varying light quality treatments, peaking with the BL treatment, which saw increases of 50.02% and 65.26% for the leaf area and specific leaf area, respectively, compared to WL. As the R:Fr ratio decreased, the leaf area gradually increased; however, the specific leaf area did not change significantly (Figure 2).

3.3. Response of Root Morphological Characteristics to Light Quality

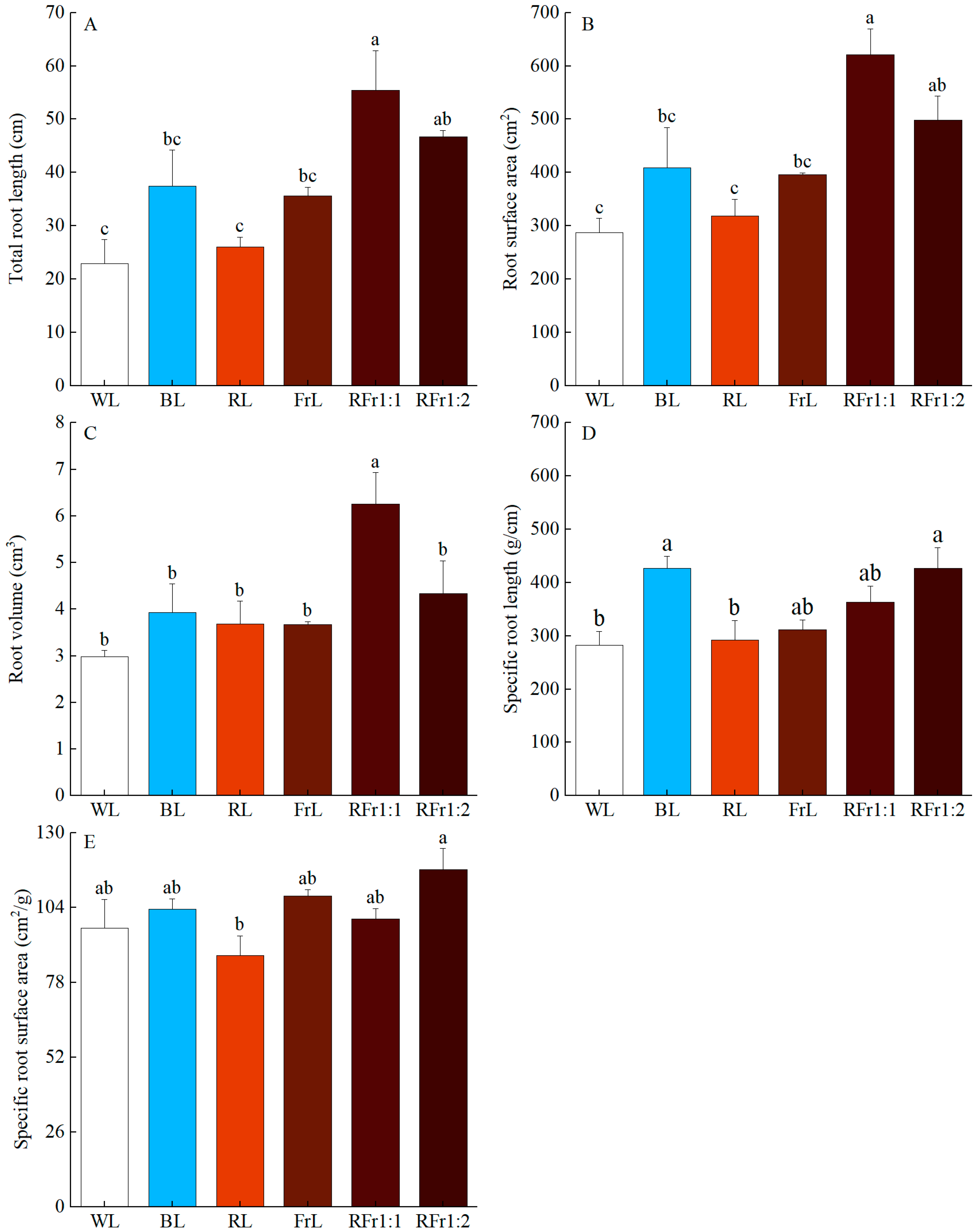
Varying light treatments exerted a significant influence on the root morphological traits of Q. variabilis, including total root surface area, total root length, total root volume, specific root length, and specific root surface area (Figure 3). Seedlings under the WL treatment exhibited the minimum values for length, surface area, the volume of total root, and specific root length. The specific root surface area of the seedling showed its lowest value under the BL treatment. Among all light treatments, the RFr1:1L treatment demonstrated the most substantial promotion of length, surface area, and the volume of total root, with increases of 142.3%, 116.4%, and 110.3%, respectively, compared to the WL treatment. Seedlings treated with RFr1:2L exhibited the greatest enhancement in specific root length and surface area. As the R:Fr ratio decreased, the length, surface area, and volume of total root also decreased, while specific root length and surface area increased. Except for total volume, there were no marked discrepancies in root morphological characteristics between the RFr1:1L and RFr1:2L treatments (Figure 3).

3.4. Response of Biomass Accumulation and Distribution to Light Quality

The biomass accumulation and distribution patterns of seedlings under different light treatments show significant differences. Under BL treatment, root biomass decreased by 17.3%, while, under RFr1:1L treatment, it increased significantly by 43.1%, compared to the WL treatment (Figure 4). The lowest leaf, stem, and total biomass were recorded under the WL treatment, and the lowest root biomass was observed under BL treatment. Additionally, as the R:Fr ratio decreased, biomass accumulation and distribution in seedlings declined. Compared to WL treatment, RFr1:1L treatment had the most pronounced promoting effect on the root, stem, and total biomass. In contrast, BL treatment exhibited the most significant enhancement in seedling leaf biomass. Overall, a decrease in the R:Fr ratio correlated with a reduction in biomass accumulation and allocation in seedlings.
Across various light treatments, significant differences were observed in the ratio of root biomass, leaf biomass, and the root-to-shoot ratio. The BL treatment resulted in a lower root mass ratio and root-to-shoot ratio compared to the other light treatments (Figure 5). In contrast, the leaf biomass ratio for the BL treatment was considerably higher compared to the other treatments. The RL treatment exhibited a substantially higher root-to-shoot ratio compared to the BL treatment. Nevertheless, there were no significant differences in the root-to-shoot ratio between the RL treatment and the remaining treatments. Additionally, the stem biomass ratio remained consistent across the various light quality treatments, with the lowest value recorded in the WL treatment.

3.5. Phenotypic Plasticity and Patterns of Trait Relationships with Light Quality

The adaptability of diverse characteristics in Q. variabilis seedlings changes with varying light qualities (Table 1). Trait flexibility ranks as follows: seedling growth, root morphology, biomass accumulation and distribution, leaf morphology, with decreasing mean CV values from top to bottom. Among seedling growth traits, the CV value for seedling height increase is the largest, indicating greater plasticity than other traits. The mean CV value for traits related to seedling growth is 34.49%. For root morphological traits, the total root length demonstrated the strongest plasticity with an average CV value of 30.05%. In terms of biomass traits, stem biomass exhibits the largest median CV value and the strongest plasticity, with an average CV of 18.13% for seedling biomass traits. Among leaf morphological traits, the specific leaf area showed the greatest plasticity, with a CV value of 14.47%, and the average CV value for the leaf morphological traits is 11.84%.
A principal component analysis was performed to examine the correlation between various traits and light quality (Figure 6). The results indicate that the first two principal components, PC1 and PC2, explain 36.8% and 21.6% of the total variance, respectively. Significant correlations exist among all traits, with the root-to-shoot ratio, leaf area, and specific leaf area exhibiting positive correlations. Additionally, the leaf biomass, specific root length, seedling height, and specific root surface area also showed positive correlation. Moreover, the leaf length, leaf width, ground diameter, stem biomass, total root surface area, total root length, and total root volume are positively correlated. Under different light quality treatments, the root mass ratio, root-to-shoot ratio, specific leaf area, and total biomass are positively correlated with the RL treatment, RFr1:1L treatment, and RFr1:2L treatment (Figure 6). Furthermore, the total root volume and biomass are significantly influenced by the RFr1:1L treatment. The leaf biomass ratio, height-to-diameter ratio, and stem biomass ratio are positively correlated with the FrL treatment. The BL treatment affected the seedling height, specific root surface area, specific root length, and leaf biomass, while the WL treatment significantly increased the leaf area, total root length and stem biomass. Overall, the principal component analysis reveals that various traits are uniquely influenced by different light qualities.

4. Discussion

The seedling stage is recognized as the most sensitive period in seedling growth, where subtle external environmental changes can significantly impact development [26]. The quantity, intensity, and quality of light are specific characteristics of natural light, each exerting distinct effects on plant growth [27]. As the light environment varies across temporal and spatial scales, plants adjust their physiological activities and morphological plasticity to optimize growth advantages in response to these changes [12,13,15]. In this study, Q. variabilis seedlings exposed to different light quality treatments exhibited notable morphological changes. The results indicate that red light (RL) treatment significantly promotes seedling height and ground diameter compared to white light (WL), consistent with previous studies [16,17]. The increase in seedling height under RL treatment is pronounced, suggesting a specific influence of red light on stem elongation. This could be related to the light’s ability to stimulate cellular processes that directly affect growth patterns, such as cell division and expansion in the stem. Although the increase in plant height is pronounced, the increase in ground diameter is comparatively less, indicating a differential response in stem and root growth under different light conditions. Under blue light (BL) treatment, the stems of Q. variabilis seedlings appear slender and elongated [28,29]. This morphological response to blue light contrasts with the effects observed in other species, such as Toona sinensis, where stem elongation is inhibited under blue light [30]. The variation in response to blue light between species suggests that the mechanism through which blue light affects stem growth may be complex and species-specific [30]. the variation in stem morphology under BL treatment could be due to the light’s influence on cellular differentiation and tissue development, leading to changes in stem structure and growth patterns. Furthermore, under far-red light treatment, Q. variabilis seedlings exhibited the largest increases in plant height, ground diameter, and the height-to-diameter ratio. The far-red light treatment may trigger a response similar to shade avoidance syndrome (SAS), where plants adapt to environments with increased far-red light content by increasing their growth rates to compete for light [31,32,33]. This response is characterized by increased stem elongation and changes in plant architecture, which are observable morphological changes that can be attributed to the plant’s adaptation to light quality. This phenomenon has been demonstrated in various species, including lettuce, Pelargonium hortorum, and Arabidopsis [31,32,33,34,35]. To comprehensively understand the effects of different light treatments, future research should focus on the detailed morphological changes in plant seedlings in response to varying light qualities. This includes investigating how changes in light quality affect plant growth patterns, such as stem elongation, leaf expansion, and root development, which are critical for plant survival and competitiveness. By focusing on the observable morphological adaptations, we can gain a better understanding of how plants optimize their growth under different light conditions and how these adaptations may influence their survival and productivity in various environments.
In this study, both RL and BL treatments were observed to enhance the leaf area of seedlings, consistent with the findings of Deng Jiangming and Pu Gaobin [36,37]. Red light was found to increase the leaf area by promoting cell division and expansion, while blue light stimulates cell division, differentiation, tissue and organ development, and overall growth by enhancing the activities of antioxidant enzymes such as POD, SOD, and APX in plants. The homeostatic mechanism by which plants maintain optimal light energy capture is achieved through changes in specific leaf area. An increase in the specific leaf area allows for a larger leaf area to capture more photosynthetically active radiation with the same amount of dry matter accumulation, thereby improving light energy utilization. In this experiment, the specific leaf area under WL treatment was the smallest, while that under BL treatment was the largest. No significant difference in the specific leaf area was noted among the other treatments, which aligns with Saebo’s study [38]. Extended periods under far-red light-rich environments resulted in a larger leaf area, and a reduced red-to-far-red light ratio (R:FR) or a heightened far-red light proportion also played a role in this enlargement. A decreased red-to-R:FR ratio, resulting from the reflection of far-red light by plants and the absorption of red light by canopy leaves in high-density growth conditions, may trigger shade avoidance syndrome (SAS). SAS encompassed physiological responses, such as stem and petiole elongation and an increase in the leaf area upon sensing a low R:FR ratio. However, certain research suggests that an increase in far-red light can suppress the expansion of the leaf area [31], suggesting species-specific differences in plant reactions to light quality. Overall, the plasticity of Q. variabilis leaf morphology is low, with an average CV of only 11.84%.
The structure and form of a plant’s root system significantly impact its efficiency in capturing underground resources. Changes in root morphology determine the competitive outcomes during the plant growth process. Root length affects how deeply a plant can extend into the soil and consequently influences its ability to access these resources. A larger root volume and surface area enhance seedlings’ capacity to absorb nutrients and water, enabling them to overcome environmental constraints and potentially become dominant species [39]. Therefore, studying the plasticity of root morphology in plant seedlings under different light treatments is essential. In this experiment, seedlings subjected to the FrL1:1 treatment exhibited a higher length, volume, and surface area of total root compared to those under other light treatments. Other treatments also promoted root growth in Q. variabilis seedlings to varying degrees compared to the WL treatment. Additionally, a reduction in the R/Fr ratio significantly inhibited root growth, which aligns with Shi Jie’s findings regarding the root volume and root biomass accumulation of blueberries under varying light quality [40]. Seedlings under the FrL1:1 treatment showed the highest root biomass accumulation and root biomass ratio, indicating that this treatment promotes root growth by directing more resources underground. This improvement in nutrient capturing ability facilitates the effective competition for living space in deeper soil layers. In contrast, Q. variabilis seedlings under the WL treatment exhibited the smallest total root length, volume, and surface area, suggesting that the WL treatment impedes root growth and reduces their capacity to absorb underground resources. Robust root development is crucial for providing sufficient water and mineral nutrients, which support the above-ground parts of the seedlings.
Varying light treatments have unique impacts on seedling morphology, chemical composition, photosynthetic processes, and the growth and development of organs. The accumulation and allocation of plant biomass represent the net results of these biological effects. Research has highlighted the crucial role of light quality in governing the accumulation and distribution of seedling biomass, as light quality significantly influences photosynthesis, the primary source of dry matter accumulation [41]. In this study, the total biomass accumulation of Q. variabilis seedlings under RL, BL, and FrL treatments was not higher than that under WL treatment, which aligns with findings from Ohashi-Kaneko’s research [42]. Typically, an increase in the leaf area enhances the amount of light captured by plants, thereby promoting biomass accumulation. However, this experiment observed an opposite trend. It is speculated that, although the specific leaf area increased under BL treatment, the growth capacity of seedling roots was diminished. Consequently, the increase in the specific leaf area may serve merely as a compensatory mechanism for the inhibited root growth induced by blue light treatment. The photosynthetic advantage conferred by the increased specific leaf area did not result in greater biomass accumulation. Under the RFr1:1L treatment, Q. variabilis seedlings demonstrated a significant advantage in biomass accumulation, consistent with findings from multiple studies. Meng Li’s study reported a notable increase in both the fresh and dry weight of aboveground biomass at R/Fr ratios of 1.2 and 0.8. Also, Zhang discovered that enhancing the content of far-red light significantly boosted tomato biomass. Generally, it is hypothesized that the substantial biomass accumulation advantage of Q. variabilis seedlings under the RFr1:1L treatment was due to vigorous root growth, a phenomenon also observed under BL treatment. Thus, during the seedling stage of Q. variabilis, prioritizing the stimulation of fine root growth is essential for achieving rapid seedling growth advantages. Investigating effective methods to promote the growth of the Q. variabilis root system remains a significant area of consideration for future research.
Biomass allocation is one of the primary physiological adaptations that enable plants to respond to environmental changes [43]. Research has shown that the survival and growth of seedlings rely on an integrated response from both above-ground and below-ground components in relation to available resources. Under varying environmental conditions, plants employ compensatory mechanisms to modify the distribution of their aboveground and underground structures, thus enhancing their change in survival [28]. In this experiment, the BL treatment exhibited the lowest root biomass ratio and root-to-shoot ratio, but the highest leaf biomass ratio, whereas other treatments demonstrated the opposite trend. This finding suggests that different light qualities can influence the response patterns of Q. variabilis seedlings’ above-ground and below-ground components, subsequently affecting the overall resource utilization by the seedlings. Moreover, the coefficient variation (CV) for the root mass and root mass ratio exceeds that for the stem and leaf. This indicates that stems and leaves, being directly exposed to light, show less sensitivity to light quality treatments than roots, which are buried.

5. Conclusions

Our study provides a comprehensive analysis of how varying light qualities influence the phenotypic plasticity of Q. variabilis seedlings. The distinct responses in growth, leaf morphology, root morphology, and biomass allocation highlight the seedlings’ adaptability to different light environments. Notably, far-red light (FrL) was particularly effective in promoting height increase, while blue light (BL) had a mixed effect, enhancing leaf growth but inhibiting root growth. These findings underscore the adaptability of Q. variabilis seedlings to diverse light environments and highlight the potential for targeted lighting strategies to optimize growth conditions in forestry and horticulture.
The variation in biomass accumulation under different light treatments indicates that light quality plays a significant role in the resource allocation of Q. variabilis seedlings. The RFr1:1L treatment, in particular, resulted in the highest biomass accumulation, underscoring the importance of balanced light spectra for promoting robust root growth and overall plant health. These findings are crucial for developing targeted lighting strategies that can enhance the growth and quality of Q. variabilis seedlings, which are vital for forest regeneration and commercial cultivation.
In conclusion, our research highlights the complex interactions between light quality and the morphological plasticity of Q. variabilis seedlings. The results suggest that the precision management of light quality and wavelength can be leveraged to maximize economic production and enhance the quality of forest outputs. By adjusting the red-to-far-red light ratio in the forest canopy, we can potentially enhance the growth of Q. variabilis and accelerate the regeneration of its forests. This study contributes to the broader understanding of plant light responses and offers practical implications for sustainable forestry practices and the development of advanced lighting systems in agriculture.

Author Contributions

Conceptualization, B.L. (Bo Liu) and Z.W.; methodology, Z.W., B.L. (Bo Liu), H.L., Y.S. and X.Z.; software, Z.W. and B.L. (Bo Liu); validation, Z.W. and B.L. (Bo Liu); formal analysis, B.L. (Bo Liu) and Z.W.; investigation, Z.W., B.L. (Bo Liu), B.L. (Baoxuan Liu), H.L. and S.S.; resources, B.L. (Bo Liu); data curation, Z.W., B.L. (Bo Liu), H.L., B.L. (Baoxuan Liu), S.S. and X.Z.; writing—original draft preparation, Z.W.; writing—review and editing, B.L. (Bo Liu), B.L. (Baoxuan Liu), Y.S., H.L. and S.S.; visualization, Z.W. and B.L. (Bo Liu); supervision, B.L. (Bo Liu); project administration, B.L. (Bo Liu), Z.W.; funding acquisition, B.L. (Bo Liu). All authors have read and agreed to the published version of the manuscript.

Funding

This work was funded by the National Natural Science Foundation of China (grant number 42377474), Jining Key Research and Development Program (grant number 2021NYNS003) and the Taishan Industrial Experts Program (grant number TSCY20180528).

Data Availability Statement

The data in this study are available from the corresponding author upon request.

Acknowledgments

We are grateful to the two anonymous reviewers for their constructive feedback, which significantly contributed to the improvement of our manuscript. The experiment was established and maintained with the assistance of employees from Shandong Cork Oak Industrial Technology Research Institute Co., Ltd. Our appreciation also goes to the numerous students and lab staff from the School of Life Sciences at Qufu Normal University for their assistance in the laboratory.

Conflicts of Interest

Author Baoxuan Liu was employed by the company Shandong Cork Oak Industrial Technology Research Institute Co., Ltd., Jining, China. The remaining authors declare that this research was conducted in the absence of any commercial or financial relationships that could be construed as a potential conflict of interest.

References

  1. Wan, P.; He, R.R. Canopy Structure and Understory Light Characteristics of a Natural Quercus aliena var. acuteserrata Forest in China Northwest: Influence of Different Forest Management Methods. Ecol. Eng. 2020, 153, 1059. [Google Scholar] [CrossRef]
  2. Chao, K.J.; Lin, Y.C.; Michael Song, G.Z.; Liao, C.H.; Kuo, Y.L.; Hsieh, C.F.; Schopp, E.W. Understorey Light Environment Impacts on Seedling Establishment and Growth in a Typhoon-Disturbed Tropical Forest. Plant Ecol. 2022, 223, 1007–1021. [Google Scholar] [CrossRef]
  3. Huber, M.; Nieuwendijk, N.M.; Pantazopoulou, C.K.; Pierik, R. Light Signalling Shapes Plant–Plant Interactions in Dense Canopies. Plant Cell Environ. 2021, 44, 1014–1029. [Google Scholar] [CrossRef] [PubMed]
  4. Razzak, M.A.; Asaduzzaman, M.; Tanaka, H.; Asao, T. Effects of Supplementing Green Light to Red and Blue Light on the Growth and Yield of Lettuce in Plant Factories. Sci. Hortic. 2022, 305, 111429. [Google Scholar] [CrossRef]
  5. Tan, T.T.; Li, S.L.; Fan, Y.F.; Wang, Z.L.; Raza, M.A.; Shafiq, I.; Wang, B.B.; Wu, X.L.; Yong, T.W.; Wang, X.C.; et al. Far-red light: A Regulator of Plant Morphology and Photosynthetic Capacity. Crop J. 2022, 10, 300–309. [Google Scholar] [CrossRef]
  6. Lum, S.M.; Amaducci, S.; Gorjian, S.; Haworth, M.; Hagglund, C.; Ma, T.; Zainali, S.; Canpana, P.E. Wavelength-Selective Solar Photovoltaic Systems to Enhance Spectral Sharing of Sunlight in Agrivoltaics. Joule 2024, 8, 2483–2522. [Google Scholar]
  7. Kand, H.X.; Han, J.Y.; Mu, X.H.; Chen, J.; Zhang, L.M.; Tang, Y.H. Efficient Absorption of Green Light by the Canopy of a Monoculture Coniferous Forest. Agric. Forest Meteorol. 2024, 351, 110006. [Google Scholar]
  8. Park, Y.; Runkle, E.S. Far-Red Radiation Promotes Growth of Seedlings by Increasing Leaf Expansion and Whole-Plant Net Assimilation. Environ. Exp. Bot. 2017, 136, 41–49. [Google Scholar] [CrossRef]
  9. Riikonen, J. Applications of Different Light Spectra in Growing Forest Tree Seedlings. Forests 2021, 12, 1194. [Google Scholar] [CrossRef]
  10. Wei, H.X.; Hauer, R.J.; Chen, G.S.; Chen, X.; He, X.Y. Growth, Nutrient Assimilation, and Carbohydrate Metabolism in Korean Pine (Pinus koraiensis) Seedlings in Response to Light Spectra. Forests 2019, 11, 44. [Google Scholar] [CrossRef]
  11. Pierik, R.; Ballare, C.L. Control of Plant Growth and Defense by Photoreceptors: From Mechanisms to Opportunities in Agriculture. Mol. Plant 2021, 14, 61–76. [Google Scholar] [CrossRef] [PubMed]
  12. Liu, B.; Liu, Q.Q.; Daryanto, S.; Guo, S.; Huang, Z.J.; Wang, Z.N.; Wang, L.X.; Ma, X.Q. Responses of Chinese fir and Schima superba Seedlings to Light Gradients: Implications for the Restoration of Mixed Broadleaf-Conifer Forests from Chinese fir Monocultures. Forest Ecol. Manag. 2018, 419–420, 51–57. [Google Scholar] [CrossRef]
  13. Huang, Z.J.; Liu, Q.Q.; Tigabu, M.; Jin, S.F.; Ma, X.Q.; Liu, B. Plastic Responses in Growth, Morphology, and Biomass Allocation of Five Subtropical Tree Species to Different Degrees of Shading. Forests 2022, 13, 996. [Google Scholar] [CrossRef]
  14. Ballaré, C.L.; Scopel, A.L.; Sánchez, R.A. Far-Red Radiation Reflected from Adjacent Leaves: An Early Signal of Competition in Plant Canopies. Science 1990, 247, 329–332. [Google Scholar] [CrossRef] [PubMed]
  15. Liu, Q.Q.; Huang, Z.J.; Ma, X.Q.; Tigabu, M.; Xing, X.S.; Jin, S.F.; Liu, B. Phenotypic Plasticity of Cunninghamia lanceolata (Lamb.) Hook. Seedlings in Response to Varied Light Quality Treatments. Forests 2022, 13, 201. [Google Scholar] [CrossRef]
  16. Rehman, M.; Pan, J.; Mubeen, S.; Ma, W.Y.; Luo, D.J.; Cao, S.; Saeed, W.; Jin, G.; Chen, T.; Chen, P. Morpho-physio-biochemical, Molecular, and Phytoremedial Responses of Plants to Red, Blue, and Green Light: A Review. Environ. Sci. Pollut. 2024, 31, 20772–20791. [Google Scholar] [CrossRef]
  17. Ouzounis, T.; Rosenqvist, E.; Ottosen, C.O. Spectral Effects of Artifcial Light on Plant Physiology and Secondary Metabolism: A Review. HortScience 2015, 50, 1128–1135. [Google Scholar] [CrossRef]
  18. Singh, D.; Basu, C.; Meinhardt-Wollweber, M.; Roth, B. LEDs for Energy Efficient Greenhouse Lighting. Renew. Sustain. Energy Rev. 2015, 49, 139–147. [Google Scholar] [CrossRef]
  19. Murad, M.A.; Razi, K.R.; Jeong, B.R.; Samy, P.M.A.; Muneer, S. Light Emitting Diodes (LEDs) as Agricultural Lighting: Impact and Its Potential on Improving Physiology, Flowering, and Secondary Metabolites of Crops. Sustainability 2021, 13, 1985. [Google Scholar] [CrossRef]
  20. Rehman, M.; Ullah, S.; Bao, Y.N.; Wang, B.; Peng, D.X.; Liu, L.J. Light-Emitting Diodes: Whether an Efficient Source of Light for Indoor Pants? Environ. Sci. Pollut. Res. 2017, 24, 24743–24752. [Google Scholar] [CrossRef]
  21. Luo, W. Chinese Quercus variabilis; China Forestry Publishing House: Beijing, China, 2009; ISBN 9787503854507. [Google Scholar]
  22. Chen, Y.X.; Liu, P.Y.; Wang, Y.C.; Xu, T.; Li, J.J.; Pei, Z.Q.; Zhang, Y.H.; Li, G.L.; Yang, Q.S. Characteristic of Epicotyl Dormancy and Its Hormonal Regulation in Chinese Cork Oak (Quercus variabilis). Plant Physiol. Biochem. 2024, 215, 109041. [Google Scholar] [CrossRef] [PubMed]
  23. Wu, M.; Zhang, W.H.; Ma, C.; Zhou, J.Y. Changes in Morphological, Physiological, and Biochemical Responses to Different Levels of Drought Stress in Chinese Cork Oak (Quercus variabilis Bl.) Seedlings. Russ. J. Plant Physiol. 2013, 60, 681–692. [Google Scholar] [CrossRef]
  24. Cao, Y.; Chen, Y.M. Biomass, Carbon and Nutrient Storage in a 30-Year-Old Chinese Cork Oak (Quercus variabilis) Forest on the South Slope of the Qinling Mountains, China. Forests 2015, 6, 1239–1255. [Google Scholar] [CrossRef]
  25. Yuan, Y.Q.; Hao, F.; Chen, K.X.; Liu, X.R.; Wang, X.; Chen, H.X.; Zhang, S.X. Geographical Differences of the Cellular Structure of the Cork from Quercus variabilis in China. J. Northwest For. Univ. 2024, 39, 226–231. [Google Scholar]
  26. Hanley, M.E.; Fenner, M.; Whibley, H.; Darvill, B. Early Plant Growth: Identifying the end Point of the Seedling Phase. New Phytol. 2004, 164, 61–66. [Google Scholar] [CrossRef] [PubMed]
  27. Chen, S.N.; Song, A.Q.; Li, Z. Research Advance in Response of Forest Seedling Regeneration to Light Environmental Heterogeneity. Chin. J. Appl. Ecol. 2005, 02, 365–370. [Google Scholar]
  28. Navidad, H.; Floistad, I.S.; Olsem, J.E.; Torre, S. Subalpine Fir (Abies laciocarpa) and Norway Spruce (Picea abies) Seedlings Show Different Growth Responses to Blue Light. Agronomy 2020, 10, 712. [Google Scholar] [CrossRef]
  29. Choe, H.; Kantharaj, V.; Lee, K.A.; Shin, Y.; Chohra, H.; Yoon, Y.E.; Kim, Y.N.; Lee, Y.B. Morpho-Physiological, Biochemical, and Molecular Responses of Lettuce (Lactuca sativa L.) Seedlings to Chlortetracycline Stress. Environ. Exp. Bot. 2024, 219, 105615. [Google Scholar] [CrossRef]
  30. Zhang, L.W.; Liu, S.Q.; Zhang, Z.K.; Yang, R.; Yang, X.J. Dynamic of Different Qualities on Growth of Toona sinensis Seedlings. Acta Agric. Boreali-Occident. Sin. 2010, 19, 115–119. [Google Scholar]
  31. Kim, H.J.; Lin, M.Y.; Mitchell, C.A. Light Spectral and Thermal Properties Govern Biomass Allocation in Tomato through Morphological and Physiological Changes. Environ. Exp. Bot. 2019, 157, 228–240. [Google Scholar] [CrossRef]
  32. Li, Q.; Kubota, C. Effects of Supplemental Light Quality on Growth and Phytochemicals of Baby Leaf Lettuce. Environ. Exp. Bot. 2009, 67, 59–64. [Google Scholar] [CrossRef]
  33. Xie, Y.R.; Liu, Y.; Ma, M.D.; Zhou, Q.; Zhao, Y.P.; Zhao, B.B.; Wang, B.B.; Wei, H.B.; Wang, H.Y. Arabidopsis FHY3 and FAR1 Integrate Light and Strigolactone Signaling to Regulate Branching. Nat. Commun. 2020, 11, 1955. [Google Scholar] [CrossRef] [PubMed]
  34. Nagata, M.; Yamamoto, N.; Shigeyama, T.; Terasawa, Y.; Anai, T.; Sakai, T.; Inada, S.; Arima, S.; Hashiguchi, M.; Akashi, R.; et al. Red/Far Red Light Controls Arbuscular Mycorrhizal Colonization via Jasmonic Acid and Strigolactone Signaling. Plant Cell Physiol. 2015, 56, 2100–2109. [Google Scholar] [CrossRef] [PubMed][Green Version]
  35. Kurepin, L.V.; Emery, R.J.N.; Pharis, R.P.; Reid, D.M. Uncoupling Light Quality from Light Irradiance Effects in Helianthus Annuus Shoots: Putative Roles for Plant Hormones in Leaf and Internode Growth. J. Exp. Bot. 2007, 58, 2145–2157. [Google Scholar] [CrossRef] [PubMed]
  36. Pu, G.B.; Liu, S.Q.; Liu, L.R.; Li, H. Effects of Different Light Quality on Growth and Physiological Characteristics of Tomato Seedlings. Acta Hort. Sini. 2005, 03, 420–425. [Google Scholar]
  37. Deng, J.M.; Bin, J.H.; Pan, R.Z. Effects of Light Quality on the Primary Nitrogen Assimination of Rice (Oryza sativa L.) Seedlings. Acta Bot. Sin. 2000, 3, 234–238. [Google Scholar]
  38. Sæbø, A.; Krekling, T.; Appelgren, M. Light Quality Affects Photosynthesis and Leaf Anatomy of Birch Plantlets in Vitro. Plant Cell Tissue Organ Cult. 1995, 41, 177–185. [Google Scholar] [CrossRef]
  39. Yang, D.M.; Zhang, J.J.; Zhou, D.; Qian, M.J.; Zheng, Y.; Jin, L.M. Leaf and Twig Functional Traits of Woody Plants and their Relationships with Environmental Change: A Review. Chin. J. Ecol. 2012, 31, 702–713. [Google Scholar]
  40. Shi, J.; Yang, H.Y.; Wu, W.L.; Lu, L.F.; Fan, S.F.; Li, W.L. Effects of Different Light Quality on the Growth and Physiological Characteristics of Blueberry. North Hortic. 2022, 06, 15–23. [Google Scholar]
  41. Ma, X.J.; Liu, Z.Q.; Liu, Y.P.; Zhang, C.; Sun, K.L.; Huang, S.; Sun, Z.Q.; Piao, F.Z.; Zhang, T. Effects of Night Light Supplementary with Different Red and Blue Spectrum Combinations on Growth and Physiological Charactres of Tomato Seedlings. Shandong Agric. Sci. 2022, 54, 51–56. [Google Scholar]
  42. Boros, I.F.; Szekely, G.; Balazs, L.; Csambalik, L.; Sipos, L. Effects of LED Lighting Environments on Lettuce (Lactuca sativa L.) in PFAL systems—A review. Sci. Hortic. 2023, 321, 112351. [Google Scholar] [CrossRef]
  43. Jacob, W. Allocation, Plasticity and Allometry in Plants. Perspect. Plant Ecol. 2004, 6, 207–215. [Google Scholar]
Figure 1. Seedling height (A), ground diameter (B), and height-to-diameter ratio (C) of Q. variabilis seedlings under various light quality treatments. Note: The bar chart displays the mean ± standard error, with different lowercase letters indicating the significance of different treatments (p < 0.05); RL represents red light, WL represents white light, BL represents blue light, RFr1:1L signifies a 1:1 mixed far-red light, and RFr1:2L denotes a 1:2 mixed far-red light (as in subsequent figures).
Figure 1. Seedling height (A), ground diameter (B), and height-to-diameter ratio (C) of Q. variabilis seedlings under various light quality treatments. Note: The bar chart displays the mean ± standard error, with different lowercase letters indicating the significance of different treatments (p < 0.05); RL represents red light, WL represents white light, BL represents blue light, RFr1:1L signifies a 1:1 mixed far-red light, and RFr1:2L denotes a 1:2 mixed far-red light (as in subsequent figures).
Forests 15 02153 g001
Figure 2. Leaf length (A), leaf width (B), leaf area (C), and specific leaf area (D) of Q. variabilis seedlings under various light quality treatments.
Figure 2. Leaf length (A), leaf width (B), leaf area (C), and specific leaf area (D) of Q. variabilis seedlings under various light quality treatments.
Forests 15 02153 g002
Figure 3. Total root length (A), root surface area (B), root volume (C), specific root length (D), and specific root surface area (E) of Q. variabilis seedlings under various light quality treatments.
Figure 3. Total root length (A), root surface area (B), root volume (C), specific root length (D), and specific root surface area (E) of Q. variabilis seedlings under various light quality treatments.
Forests 15 02153 g003
Figure 4. Root biomass (A), stem biomass (B), leaf biomass (C) and total biomass (D) of Q. variabilis seedlings under various light quality treatments.
Figure 4. Root biomass (A), stem biomass (B), leaf biomass (C) and total biomass (D) of Q. variabilis seedlings under various light quality treatments.
Forests 15 02153 g004
Figure 5. Root biomass ratio (A), stem biomass ratio (B), leaf biomass ratio (C), and root-to-shoot ratio (D) of Q. variabilis seedlings under various light quality treatments.
Figure 5. Root biomass ratio (A), stem biomass ratio (B), leaf biomass ratio (C), and root-to-shoot ratio (D) of Q. variabilis seedlings under various light quality treatments.
Forests 15 02153 g005
Figure 6. Principal component analysis (PCA) chart showing how traits respond to different light quality: HI (height increment), DI (diameter increment), HD (height-to-diameter ratio), LL (leaf length), LA (leaf area), LW (leaf width), SLA (specific leaf area), TRL (total root length), RSA (root surface area), RV (root volume), SRL (specific root length), SRA (specific root surface area), SB (stem biomass), LB (leaf biomass), LR (leaf mass ratio), RSR (root-to-shoot ratio), RB (root biomass), TB (total biomass), SR (stem mass ratio), and RR (root mass ratio).
Figure 6. Principal component analysis (PCA) chart showing how traits respond to different light quality: HI (height increment), DI (diameter increment), HD (height-to-diameter ratio), LL (leaf length), LA (leaf area), LW (leaf width), SLA (specific leaf area), TRL (total root length), RSA (root surface area), RV (root volume), SRL (specific root length), SRA (specific root surface area), SB (stem biomass), LB (leaf biomass), LR (leaf mass ratio), RSR (root-to-shoot ratio), RB (root biomass), TB (total biomass), SR (stem mass ratio), and RR (root mass ratio).
Forests 15 02153 g006
Table 1. Coefficient of variation (CV) for each characteristic is ordered from the greatest to the least.
Table 1. Coefficient of variation (CV) for each characteristic is ordered from the greatest to the least.
GroupTraitCV (%)Average CV (%)
Seedling growthHeight increment (cm)62.3234.49
Diameter increment (cm)27.83
Height-to-diameter ratio13.32
Root morphologyTotal root length (m)30.0521.50
Root surface area (cm2)26.55
Root volume (cm3)24.81
Specific root length (m·g−1)17.04
Specific root surface area (cm2·g−1)9.06
Biomass
accumulation and
allocation
Stem biomass (g)26.6918.13
Leaf biomass (g)24.34
Leaf mass ratio20.89
Root-to-shoot ratio18.81
Root biomass (g)17.74
Total biomass (g)15.88
Stem mass ratio15.26
Root mass ratio9.00
Leaf morphologySpecific leaf area (cm2·g−1)14.4711.84
Leaf area (cm2)13.67
Leaf width (cm)12.55
Leaf length (cm)6.67
Disclaimer/Publisher’s Note: The statements, opinions and data contained in all publications are solely those of the individual author(s) and contributor(s) and not of MDPI and/or the editor(s). MDPI and/or the editor(s) disclaim responsibility for any injury to people or property resulting from any ideas, methods, instructions or products referred to in the content.

Share and Cite

MDPI and ACS Style

Wang, Z.; Luo, H.; Liu, B.; Song, S.; Zhang, X.; Song, Y.; Liu, B. Response of Morphological Plasticity of Quercus variabilis Seedlings to Different Light Quality. Forests 2024, 15, 2153. https://doi.org/10.3390/f15122153

AMA Style

Wang Z, Luo H, Liu B, Song S, Zhang X, Song Y, Liu B. Response of Morphological Plasticity of Quercus variabilis Seedlings to Different Light Quality. Forests. 2024; 15(12):2153. https://doi.org/10.3390/f15122153

Chicago/Turabian Style

Wang, Zhengning, Hang Luo, Baoxuan Liu, Shangwen Song, Xiao Zhang, Yushuang Song, and Bo Liu. 2024. "Response of Morphological Plasticity of Quercus variabilis Seedlings to Different Light Quality" Forests 15, no. 12: 2153. https://doi.org/10.3390/f15122153

APA Style

Wang, Z., Luo, H., Liu, B., Song, S., Zhang, X., Song, Y., & Liu, B. (2024). Response of Morphological Plasticity of Quercus variabilis Seedlings to Different Light Quality. Forests, 15(12), 2153. https://doi.org/10.3390/f15122153

Note that from the first issue of 2016, this journal uses article numbers instead of page numbers. See further details here.

Article Metrics

Back to TopTop