Next Article in Journal
Evaluation of Three Algorithms and Forest Fire Risk Prediction in Zhejiang Province of China
Previous Article in Journal
Sawing Model and Optimization of Single Pass Crosscut Parameters for Pinus kesiya Based on the Transformer Model
 
 
Font Type:
Arial Georgia Verdana
Font Size:
Aa Aa Aa
Line Spacing:
Column Width:
Background:
Article

Incentive Contract Design for Governmental Forest Ecological Benefit Compensation Under Information Asymmetry

School of Management, Xi’an University of Architecture and Technology, Xi’an 710055, China
*
Author to whom correspondence should be addressed.
Forests 2024, 15(12), 2145; https://doi.org/10.3390/f15122145
Submission received: 8 November 2024 / Revised: 3 December 2024 / Accepted: 4 December 2024 / Published: 5 December 2024
(This article belongs to the Section Forest Economics, Policy, and Social Science)

Abstract

In the process of forest ecological benefit compensation, there are problems of information asymmetry and “misaligned incentives”, which will reduce the compensation efficiency. In order to improve the compensation efficiency, based on principal–agent theory, this study constructs incentive contract models for governmental forest ecological benefit compensation under three different scenarios, namely, information symmetry, single-sided information asymmetry, and double-sided information asymmetry. The study finds that the government can design different incentive contracts to motivate forest farmers with high and low forestry capabilities. And the government’s expected utility is influenced by the proportion of forest farmers with high and low forestry capabilities in reality. Due to the information gap between the government and forest farmers, it is inevitable that high-capability forest farmers will obtain an information rent. Under double-sided information asymmetry, the incentive coefficient for lower-capability forest farmers and their optimal actual public welfare forest conservation area decrease as the proportion of high-capability forest farmers increases. Furthermore, when the proportion of high-capability forest farmers exceeds a certain threshold, signing compensation contracts with low-capability forest farmers can harm the government’s interests. The research conclusions provide a scientific basis for the government to formulate differentiated incentive contracts for forest ecological benefits. This can effectively align forest farmers’ conservation behaviors with the improvement of public forest ecological benefits. As a result, it contributes to improving the efficiency of forest ecological benefit compensation.

1. Introduction

Since 1990, deforestation has led to a reduction of approximately 420 million hectares in global forest area, 3 billion cubic meters in forest stock, and 6 billion tons in forest carbon reserves. The sustainable development of global forests still faces severe challenges [1]. At the same time, China’s per capita forest area is still less than one-third of the world average, the standing stock per hectare is less than 70% of the global average, the biomass per hectare is only 70% of the global average, and the carbon sequestration capacity of the forest ecosystem is merely 58% of the average for regions at the same latitude globally [2]. These data reflect that China still faces huge challenges in forest protection and ecosystem service enhancement.
To address forest degradation and enhance the value of forest ecosystem services, there has been a growing international trend toward compensation mechanisms [3,4,5]. This mechanism compensates natural asset owners for protecting their environmental resources. Two of the most prominent examples are the “PSA Project” implemented in Costa Rica [6] and the “REDD+ Project” initiated by the United Nations [7]. Both have achieved significant success, with the former excelling in the protection of ecosystem services and the latter in reducing carbon emissions. Similarly, to protect forest resources and fully realize their ecological benefits, the Chinese government established compensation mechanism. For example, the Forest Ecological Benefit Compensation Fund in 1998 and the Forest Ecological Benefit Compensation Fund in 2004 [8]. It is used to provide compensation for protective forests and special-purpose forests that deliver ecological benefits. China amended the new Forest Law of the People’s Republic of China in 2019., It further clarified the state establishes a forest ecological benefit compensation system, and strengthen support for the protection of public welfare forests.
The forest ecological benefit compensation system aims to coordinate the interests of forest ecosystem service providers and beneficiaries [3]. It achieves this through various means, especially economic means [9]. Ultimately, the goal is to enhance the value of forest ecosystem services [10]. The Chinese government has established a two-tier structure for forest ecological benefit compensation policy. It is synergistically implemented by the central government and local governments. Specifically, the forest ecological benefit compensation fund is divided into a centralized compensation fund and a provincial compensation fund. Among them, the central government mainly compensates for national-level public welfare forests, while local governments are responsible for compensating local public welfare forests. According to China’s practice of forest ecological benefit compensation, the compensation model is primarily government-led. It focuses on public welfare forests as the compensation object, with the area of public welfare forests as the basis for compensation. Economic compensation is provided to the owner or operator of a public welfare forest for their protective actions [8]. In terms of compensation details, when the owner or manager of a public welfare forest is an individual, the compensation is paid directly to the individual. The individual is then required to assume specific responsibilities, such as forest fire prevention, replanting, and nurturing, in accordance with the contract. Additionally, for public welfare forests operated through family contracting, all compensatory expenditures are paid to individuals for public welfare forest management and care.
Most policy documents take the area of public welfare forests as the basis for compensation. In this context, using the area of public welfare forests as the only basis ignores the variability in the management effects of public welfare forests. For example, Guangdong Province has adopted “Differentiated Compensation Program for Public Welfare Forests Above the Provincial Level in Combination with Forest Quality Classification in Guangdong Province.” The document proposes to incentive compensation for areas with high forest quality and good forest phase. However, such attempt is not common throughout the country. In terms of the interaction between existing policies and incentive structures, compensation based on the area of public welfare forests tends to equalize distribution. However, the equalization compensation fails to reflect the differences in the management outcomes of public welfare forests. This leads to an issue of “misaligned incentives” between ecological compensation based on forest area and the enhancement of forest ecosystem service supply levels [11].
Meanwhile, payments for environmental services contractual relationships are subject to information asymmetry between landowners and conservation agents [12]. Information asymmetry theory suggests that information related to market transactions is not equally distributed between the two parties involved [13]. That is, one party possesses information that the other does not [13]. This inevitably leads the party with the information to exploit it for greater personal gain, potentially harming the interests of the other party [14,15]. The issue of information asymmetry is widespread in reality. The party with an information advantage often conceals their level of effort and capability, leading to issues of moral hazard and adverse selection [16]. For example, in the process of forest ecological benefit compensation, the government can accurately assess the public welfare forest area owned by forest farmers through property registration. However, it is impossible to accurately observe the forest farmers’ actual public welfare forest conservation area during production. At the same time, it is also impossible to accurately understand their actual forestry capabilities. This creates an information asymmetry between the government and forest farmers. In other words, under information asymmetry, forest farmers are prone to “free-riding” behavior, with a strong motivation for opportunistic actions such as hiding information and actions [17,18]. This information asymmetry may lead to unreasonable compensation levels, which can undermine the incentives for forest protection. However, based on principal–agent theory, effective contract design can significantly reduce information asymmetry and improve the efficiency and fairness of ecological compensation [19,20].
At the same time, a typical principal–agent relationship exists between the government and forest farmers [21]. The government, as the principal, provides subsidies to incentivize forest farmers to engage in activities such as afforestation, cultivation, protection, and management. Forest farmers, acting as agents, receive economic compensation for their efforts in protecting public welfare forests. Therefore, this study attempts to address the issue of information asymmetry caused in the process of forest ecological benefit compensation from the perspective of principal–agent theory.
In addition, China’s newly revised Forest Law further clarifies the distinction between public welfare forests and commercial forests. It stipulates that the primary purpose of public welfare forests is to deliver ecological benefits. Therefore, for the Chinese government, it is more important to emphasize the ecological benefits generated by public welfare forests. This implies that the future basis of forest ecological benefit compensation should be transformed from public welfare forest area-oriented to ecological benefit-oriented. Thus, it is extremely important to design incentive contracts to coordinate the relationship between conservation behaviors and ecological benefit enhancement.
Against this backdrop, this study aims to address the “incentive misalignment” between compensating based on public forest area and enhancing the supply of ecological benefits, as well as the issues of moral hazard and adverse selection caused by information asymmetry. The objective is to explore how to design scientifically sound and effective incentive contracts to effectively align forest farmers’ conservation behaviors with the improvement of public forest ecological benefits. Based on this, adopting principal–agent theory, incentive contract models are constructed for government forest ecological benefit compensation under three scenarios: symmetric information, single-sided information asymmetry, and double-sided information asymmetry. The models solve the optimal decision-making of the government and forest farmers and analyze the influence of different parameter changes on the decision-making behavior of the government and farmers through numerical simulation. The study aims to provide a theoretical basis for the government to formulate a more scientific forest ecological benefit compensation policy.
Compared with existing studies, the main differences and research contributions of this paper are reflected in the following areas. First, this paper further broadens the scope of forest ecological protection research. Different from the idea of focusing on reducing deforestation so as to promote forest protection, this paper focuses on how to enhance forest ecological benefit. This shift not only enriches the research perspectives of forest protection, but also provides new ideas and methods to enhance the ecological benefits of forests. Second, this paper fully considers the information asymmetry problem between the government and forest farmers, including the problems of moral hazard and adverse selection. Existing studies focus mainly on the moral hazard problem and ignore the adverse selection problem. In addition, the existing literature mainly focuses on information asymmetry in the process of deforestation reduction. In the context of enhancing forest ecological benefits, there are relatively few studies on the moral hazard and adverse selection problems. Finally, the effect of the degree of information asymmetry on the performance of the incentive contract model is revealed. The findings provide a theoretical basis for the choice of incentive contracts in different situations. In addition, this paper further enriches the existing literature on the design and optimization of incentive contracts in dual information asymmetry situations.

2. Literature Review

In microeconomic terms, government intervention is often essential to address market failures that arise from information asymmetry. When one party has more information than the other, it can lead to adverse selection and moral hazard, making it difficult to align incentives and achieve efficient outcomes. Such information asymmetry can lead to suboptimal levels of forest conservation and ecosystem services if left solely to market mechanisms. In China, the government’s role in forest conservation is particularly pronounced, with legal frameworks mandating certain levels of ecological protection. Given these unique regulatory requirements, the government’s intervention is not just warranted to fix market failures but is also necessary to fulfill policy mandates, underscoring the importance of well-designed incentive contracts tailored to the specific challenges of the Chinese forestry sector.
Ross was the first to systematically propose the principal–agent theory, primarily addressing the issue of interest alignment between agents and principals under information asymmetry [22]. Subsequently, Holmstrom and Milgrom proposed that an optimal linear incentive contract exists between the principal and agent under information asymmetry [23]. In agency theory, the concept of information asymmetry is widely applied. It represents a significant risk in the principal–agent relationship, which may hinder the smooth functioning of this relationship [16]. Research has shown that an effective incentive mechanism is a scientific approach to curbing rent-seeking behavior by agents [24,25]. This is a means to mitigate information asymmetry.
Currently, agency theory has been widely applied and validated in areas such as energy conservation and emission reduction, supply chain management, project management, insurance contracts, and doctor–patient relationships [26,27,28,29]. Moreover, agency theory has also been introduced into the field of natural resource management. In view of the mismatch between the traceable features of blockchain and the heavy punishment mechanism, Huang et.al constructed a model of river governance, and designed an incentive mechanism of river chiefs [30]. Based on the multi-principal–agent relationships among stakeholders, Yan, Hong, Chen, Li, and Liao developed a theoretical model of commercial construction land interest distribution [31]. It aims to maximize the interests of stakeholders and enhance land use efficiency. Lin and Wen designed an effective contract for ecological compensation in national parks through a multi-task principal–agent model. [32]. In addition, to solve the problem of inadequate incentives, Huang et al. put forward a type of differentiated subsidy considering resource conditions, which consists of a basic security subsidy and a variable excitation subsidy [30]. In addition, Dragicevic and Garcia use the principal–agent model to analyze how to achieve Pareto-optimal management solutions under conditions of incomplete information [33].
The first paper that uses a principal–agent framework to study optimal contracting in the PES context is Mason and Plantinga [21,34]. Mason and Plantinga proposed a contract aimed at forest carbon sequestration that induces landowners to reveal their true opportunity cost [21]. This contract addressed the issue of information asymmetry in carbon offsetting [21]. Building on this, Li, Ashlagi and Lo further expanded the forest carbon sequestration contract model by designing optimal, conditional, and linear contracts [34]. Li, Ashlagi and Lo assumed the agent has observable initial forest area and privately known baseline conservation levels [34]. The above study provides a solid theoretical foundation for an in-depth discussion of government incentive contracts for forest ecological benefit compensation under information asymmetry.
Unlike Western countries, China has legally mandated a classified management system for forests, dividing them into commercial forests and ecological public welfare forests. This classification is mandatory. Among them, public welfare forests primarily focused on providing ecological benefits. Therefore, China’s forest ecological benefit compensation system should aim at improving the overall ecological benefits of forests. In fact, the Chinese government has encouraged local governments to explore differentiated compensation mechanisms for public welfare forests. For instance, Guangdong Province has implemented a new incentive compensation mechanism. Additional incentive compensation is give to areas with high forest quality and superior forest conditions. At the same time, many scholars have incorporated the value of ecosystem services into forest ecological benefit compensation schemes. Scholars consider the variability in ecological benefits as a crucial factor in determining compensation [35,36,37]. These studies suggest that the future trend in forest ecological benefit compensation should be based on ecological benefits. Differentiated compensation strategies accordingly should be applied.
By reviewing previous research, this study identifies the works of Mason and Plantinga [21] and Li et al. [34] as the most relevant to its topic. They introduced principal–agent theory into the field of forest ecological benefit compensation. Further, they focused on the issue of information asymmetry caused by moral hazard between the government and forest farmers. Corresponding incentive contract models are constructed. These studies demonstrate that designing scientifically effective incentive contracts can encourage forest farmers to reveal their true opportunity costs. This will reduce the negative effects of information asymmetry. However, these studies primarily focus on the issue of moral hazard and do not adequately address adverse selection. In particular, the government is unable to accurately assess forest farmers’ actual forest management capabilities. Additionally, Wanyi Dai Li et al. primarily investigate how to enhance forest ecological benefits by reducing deforestation [34]. However, its main focus lies in expanding forest area for carbon sequestration rather than improving the quality and efficiency of overall forest carbon sequestration capacity. Similarly, Mason et al. focused their study more on the area of land that landowners agreed to use for carbon sequestration [21]. In the context of China’s forest resource classification management system, the limitations of existing studies become evident. The current literature has yet to systematically explore how simultaneously address both moral hazard and adverse selection using principal–agent theory. Based on this, this paper takes the enhancement of forest ecological benefit as the goal. The principal–agent model is used to solve the problem of information asymmetry between the government and forest farmers. It seeks to provide theoretical and practical support for designing differentiated incentive contracts for forest ecological benefit compensation.

3. Problem Description

3.1. Assumptions

To make the incentive model in the forest ecological benefit compensation process more realistic, this study makes the following assumptions without loss of generality:
(1)
It is assumed that both the government and forest farmers are fully rational. The government is risk-neutral, while forest farmers are risk-averse, and the forest farmers’ utility function follows a Pratt–Arrow type utility function.
(2)
It is assumed that the government and forest farmers have different objectives. The government aims to maximize social welfare, whereas forest farmers seek to maximize their own benefits, which must not fall below their reservation utility.
(3)
It is assumed that the information held by the government and forest farmers is asymmetric. The government cannot fully observe the actual public welfare forest conservation area nor accurately determine the forestry capabilities of forest farmers.
(4)
This study is applicable to public welfare forests, which are managed with the goal of improving forest quality and ecological service functions.

3.2. Symbol Description

a 0 : Public welfare forest ownership area
a : The forest farmers’ actual public welfare forest conservation area
ε : Random factor unrelated to the forest farmers’ actual public welfare forest conservation area, following ε ( 0 , σ 2 )
Q : Prescribed baseline ecological benefits of public welfare forests
q : Actual ecological benefits generated by public welfare forests, where q > Q
ρ : Risk aversion coefficient of forest farmers, reflecting their capacity to bear risks
u : Forestry capability of forest farmers
u H : High forestry capability of forest farmers
u L : Low forestry capability of forest farmers
h : Marginal input cost of forest farmers
t 0 : Fixed compensation provided to forest farmers by the government
t : Incentive coefficient given by the government to forest farmers
f : Reservation utility of forest farmers
l : The governmental social benefit conversion coefficient
ξ : Random factor unrelated to the governmental social benefit conversion effect, following ξ N ( 0 , τ 2 )
U F : Forest farmers’ utility function
U G : Government’ utility function
F : Expected value of the forest farmers’ return
G : Expected value of the government’s return

3.3. Analysis of Forest Farmers’ Behavior and Objectives

In the process of forest ecological benefit compensation, it is assumed that the forest farmers’ actual public welfare forest conservation area, denoted as a , is a continuous variable, and the ecological benefits produced are represented by q = u a + ε , where u is the forestry capability of the forest farmer, and ε represents a random factor unrelated to the forest farmers’ actual public welfare forest conservation area, such as temperature or humidity, which follows a normal distribution with a mean of 0 and a variance of σ 2 , namely, ε N ( 0 , σ 2 ) . The smaller the variance of the random factor ε , the more closely the production of forest ecological benefits is related to the size of the forest farmers’ actual public welfare forest conservation area, and the greater the incentive effect of government compensation on the conservation area.
The additional cost that forest farmers need to pay for the actual conservation of public welfare forests is assumed to be ψ ( a ) = h 2 u a 2 (such as the input of human resources, technology, and capital). h > 0 represents the marginal input cost of the forest farmers. The government provides an incentive model of “fixed + revenue-sharing” to the forest farmers, with the government’s linear subsidy contract given by t ( q ) = t 0 + t ( q Q ) . Here, t 0 represents the fixed compensation provided by the government for production technology, labor, etc., which is unrelated to output, and t is the incentive coefficient given by the government to the forest farmers.
Assuming that forest farmers are risk-averse, their utility function is as follows:
U F = t ( q ) ψ ( a ) = t 0 + t ( u a + ε Q ) h 2 u a 2
Since forest farmers are risk-averse, their utility function follows the Pratt–Arrow utility function: u ( U F ) = e ρ U F . The expected value of their utility function is as follows:
E u ( U F ) = E ( e ρ U F ) = + e ρ U F · 1 2 π t 2 σ 2 · e ( U H t 0 t ( u a Q ) + h 2 u a 2 ) 2 t 2 σ 2 d U F = e ρ ( t 0 + t ( u a Q ) h 2 u a 2 ρ 2 t 2 σ 2 )
According to the definition of certainty equivalent ( C E ), E u ( U F ) = u ( C E ) , then we obtain the following:
e ρ ( t 0 + t ( u a Q ) h 2 a 2 ρ 2 t 2 σ 2 ) = e ρ ( C E )
Further solving yields C E = t 0 + t ( u a Q ) h 2 u a 2 ρ 2 t 2 σ 2 , and therefore the certainty equivalent ( C E ) of the expected value of the forest farmers’ utility function is as follows:
F = t 0 + t ( u a Q ) h 2 u a 2 ρ 2 t 2 σ 2

3.4. Analysis of Government Behavior and Objectives

Assuming that the government is risk-neutral, the social environmental benefits obtained by the government are represented by M ( q ) = l q + ξ , where l is the government’s social benefit conversion coefficient, which is related to factors such as the area, species, and region of public welfare forests conserved by forest farmers. The social environmental benefits reflect the extent of improvement to the social environment brought about by forest farmers’ of protection of public welfare forests. Let ξ represent a random factor unrelated to the government’s social benefit conversion effect, which follows a normal distribution with a mean of 0 and a variance of τ 2 , denoted as ξ N ( 0 , τ 2 ) .
The utility function of the government is written as follows:
U G = l ( u a + ε ) + ξ t 0 t ( u a + ε Q )
Since the government is risk-neutral, the expected value of the government’s utility function is equal to the expected value of its utility, which is calculated as follows:
G = ( l t ) u a t 0 + t Q

4. Establishment and Solution of the Incentive Contract Model

4.1. Incentive Contract Model Under Symmetric Information

In the process of forest ecological benefit compensation, the government adopts a “fixed + revenue-sharing” model to regulate and incentivize forest farmers’ protection behavior in public welfare forests. This approach aims to enhance forest farmers’ enthusiasm for conservation, reduce or offset losses caused by opportunistic behavior, and maximize social environmental benefits. First, an incentive contract model for government forest ecological benefit compensation under symmetric information is constructed as follows:
max t 0 , t , a G = ( l t ) u a t 0 + t Q
s . t .           t 0 + t ( u a Q ) h 2 u a 2 ρ 2 t 2 σ 2 f
t 0 0
t 0
where Equation (7) represents the participation constraint of the forest farmers, while Equations (8) and (9) represent the limited liability constraints.
Solving the model, the following Theorem 1 can be obtained (proof can be found in Appendix A):
Theorem 1.
Under symmetric information, the optimal decision variables are as follows:
a A = l u 2 h
t A = 0
t 0 A = l 2 u 3 2 h + f
The expected values of the government and forest farmers are, respectively, as follows:
F A = f
G A = l 2 u 3 2 h f
Theorem 1 indicates that under symmetric information between the government and forest farmers, the government’s incentive coefficient is zero. This implies that the government does not need to provide incentives to forest farmers, but only needs to pay a fixed compensation. Under symmetric information, the government captures all the value, while forest farmers only receive their reservation utility. This is because in a symmetric scenario, forest farmers do not have an information advantage, and the government has complete information. Thus, there are no issues of moral hazard or adverse selection between the government and forest farmers. To maximize returns, it suffices to ensure that the expected returns of forest farmers are equal to their reservation utility. At this point, forest farmers remain involved in the protection of public forests.
Furthermore, according to Theorem 1, by solving the first-order conditions of the decision variables with respect to key parameters, Corollary 1 can be obtained.
Corollary 1.
a A u > 0 , a A h < 0 , a A l > 0 ; t 0 A u > 0 , t 0 A h < 0 , t 0 A l > 0
Corollary 1 shows that the forest farmers’ actual public welfare forest conservation area is positively correlated with the forestry capability of the forest farmers and the government’s social benefit conversion coefficient and negatively correlated with the marginal input cost of forest farmers. This suggests that, under symmetric information, the forest farmers’ actual public welfare forest conservation area increases with the increase in forestry capability and the government’s social benefit conversion coefficient and decreases with the increase in the marginal input cost of forest farmers. In contrast, for the government to give fixed compensation to forest farmers will increase as the forestry capability and the government’s social benefit conversion coefficient increase and decrease as the marginal input cost of forest farmers. At the same time, the forest farmers’ actual public welfare forest conservation area and the fixed compensation provided to forest farmers by the government are not related to the risk aversion coefficient of the forest farmers and the random factor that is not related to the forest farmers’ actual public welfare forest conservation area.

4.2. Incentive Contract Model Under Single-Sided Information Asymmetry

The information asymmetry between the government and forest farmers about the actual area of public welfare forests protected by foresters will generate moral hazard problems. Further, considering the moral hazard problem, an incentive contract model under single-sided information asymmetry is constructed. The model under single-sided information asymmetry is presented as follows:
max t 0 , t , a G = ( l t ) u a t 0 + t Q
s . t .       t 0 + t ( u a Q ) h 2 u a 2 ρ 2 t 2 σ 2 f
max a F = t 0 + t ( u a Q ) h 2 u a 2 ρ 2 t 2 σ 2
t 0 0
t 0
where Equation (18) represents the participation constraint of the forest farmers, Equation (19) represents the incentive compatibility constraint of the forest farmers, and Equations (20) and (21) represent the limited liability constraints. Thus, it can be seen that the government’s incentive mechanism model is a bilevel optimization problem, which can be converted into a single-level optimization problem for solving. By differentiating the certainty equivalent income F , the first-order and second-order conditions regarding the forest farmers’ actual public welfare forest conservation area are obtained, written as follows:
F a = t u h u a
2 F 2 a = h u < 0
Let F a = 0 , from Equation (22), there exists the optimal actual public welfare forest conservation area, a = t u 2 h , which maximizes the utility of the forest farmers. Therefore, the incentive compatibility constraint (19) in the model can be replaced by a = t u 2 h . Consequently, the government forest ecological benefit compensation incentive contract model under single-sided information asymmetry can be equivalently expressed as follows:
max t 0 , t , a G = ( l t ) u a t 0 + t Q
s . t .         t 0 + t ( u a Q ) h 2 u a 2 ρ 2 t 2 σ 2 f
a = t u 2 h
t 0 0
t 0
Solving the model, the following Theorem 2 can be obtained (proof can be found in Appendix B):
Theorem 2.
Under single-sided information asymmetry, the optimal decision variables are as follows:
a B = l u 5 h ( ρ σ 2 h + u 3 )
t B = l u 3 ρ σ 2 h + u 3
t 0 B = ( l u 3 ) 2 u 3 2 h ( ρ σ 2 h + u 3 ) 2 + l u 3 Q ρ σ 2 h + u 3 + ρ ( l u 3 ) 2 σ 2 2 ( ρ σ 2 h + u 3 ) 2 + f
The expected values of the government and forest farmers are, respectively, as follows:
F B = f
G B = u 3 t B 2 h ( 2 l t B ) ρ 2 ( t B ) 2 σ 2 f
Theorem 2 indicates that under single-sided information asymmetry, the government can incentivize forest farmers to protect a greater area of public welfare forests by providing a certain level of incentives. At this stage, the actual public welfare forest conservation area by forest farmers is influenced by the level of incentives, but not by the fixed forest ecological benefit compensation. Meanwhile, the actual conservation area is influenced by both the risk aversion coefficient of the forest farmers and random factors unrelated to the forest farmers’ actual public welfare forest conservation area.
Furthermore, according to Theorem 2, by deriving the first-order conditions of the decision variables with respect to key parameters, Corollary 2 can be obtained as follows:
Corollary 2.
a B u > 0 , a B h < 0 , a B l > 0 , a B σ 2 < 0 , a B ρ < 0 t B u > 0 , t B h < 0 , t B l > 0 , t B σ 2 < 0 , t B ρ < 0
Corollary 2 indicates that, aside from the negative correlation between the forest farmers’ actual public welfare forest conservation area and both the risk aversion coefficient of forest farmers and random factors unrelated to the forest farmers’ actual public welfare forest conservation area, other conclusions are consistent with those under information asymmetry. Under a single information asymmetry scenario, the forest farmers’ actual public welfare forest conservation area decreases with the increase of the risk aversion coefficient of the forest farmers and unrelated random factors increase. This suggests that the more risk-averse forest farmers are, the more risky losses they may suffer in the process of protecting public welfare forests, which will also lead to a decrease in the forest farmers’ actual public welfare forest conservation area. At the same time, the more the forest farmers are affected by external random factors in the process of protecting public welfare forests, the poorer their ability to bear risks, which will also lead to the less area of public welfare forests actually protected by forest farmers. As for the incentive coefficient, it increases with the forest farmers’ forestry ability and the government’s social benefit conversion coefficient and decreases with the marginal input cost, the risk aversion coefficient, and random factors unrelated to the conservation area. The influence of direction of different parameters on the incentive coefficients is consistent with that of the forest farmers’ actual public welfare forest conservation area. It can be seen that the actual public welfare forest conservation area and incentive coefficients can be increased or decreased by changing different parameters in practice.

4.3. Incentive Contract Model Under Double-Sided Information Asymmetry

In the process of forest ecological benefit compensation, the forestry capability of forest farmers is subject to information asymmetry. It is assumed that the forestry capability of forest farmers is a discrete variable, divided into high-capability u H and low-capability u L , which follows a two-point distribution, that is as follows:
u = u H p r o p o r t i o n       q u L p r o p o r t i o n       1 q
where u H > u L , q 0 , 1 .
At this point, based on the incentive contract model for government forest ecological benefit compensation under single-sided information asymmetry, an incentive contract model under double-sided information asymmetry is constructed by considering that the forestry capability of forest farmers is a discrete variable, as shown below:
max t 0 H , t H , t 0 L , t L G = q l t H u H a H t 0 H + t H Q + 1 q l t L u L a L t 0 L + t L Q
s . t .
max F L L = t 0 L + t L u L a L Q h 2 u L a L 2 1 2 ρ t L 2 σ 2 max F L H = t 0 H + t H u L a H Q h 2 u L a H 2 1 2 ρ t H 2 σ 2
max F H H = t 0 H + t H u H a H Q h 2 u H a H 2 1 2 ρ t H 2 σ 2 max F H L = t 0 L + t L u H a L Q h 2 u H a L 2 1 2 ρ t L 2 σ 2
F H H = t 0 H + t H u H a H Q h 2 u H a H 2 1 2 ρ t H 2 σ 2 f
F L L = t 0 L + t L u L a L Q h 2 u L a L 2 1 2 ρ t L 2 σ 2 f
Taking the first-order and second-order derivatives, with respect to a H and a L , yields 2 F H H a H 2 < 0 and 2 F L L a L 2 < 0 . Setting F H H a H = 0 and F L L a L = 0 , the following results are obtained:
a H = t H u H 2 h
a L = t L u L 2 h
Substituting a H and a L into the above model and simplifying it, the government forest ecological benefit compensation incentive contract model under double-sided information asymmetry can be transformed into the following:
max t 0 H , t H , t 0 L , t L G = q l t H t H u H 3 h t 0 H + t H Q + 1 q l t L t L u L 3 h t 0 L + t L Q
s . t .
max F L L = t 0 L + t L 2 u L 3 h t L Q t L 2 u L 3 2 h ρ 2 t L 2 σ 2 max F L H = t 0 H + t H 2 u H 3 h t H Q t H 2 u H 4 2 u L h ρ 2 t H 2 σ 2
max F H H = t 0 H + t H 2 u H 3 h t H Q t H 2 u H 3 2 h ρ 2 t H 2 + γ 2 σ 2 max F H L = t 0 L + t L 2 u H u L 2 h t L Q t L 2 u L 4 2 u H h ρ 2 t L 2 σ 2
F H H = t 0 H + t H 2 u H 3 h t H Q t H 2 u H 3 2 h ρ 2 t H 2 σ 2 f
F L L = t 0 L + t L 2 u L 3 h t L Q t L 2 u L 3 2 h ρ 2 t L 2 σ 2 f
Solving the model, the following Theorem 3 can be obtained (proof can be found in Appendix C):
Theorem 3.
Under double-sided information asymmetry, the optimal decision variables are as follows:
a H C = t H C u H 2 h
a L C = t L C u L 2 h
t H C = l u H 3 u H 3 + h ρ σ 2
t L C = ( 1 q ) l u L 3 u H ( 1 2 q ) u L 3 u H + ( 1 q ) ρ σ 2 h u H + q u L 2 ( 2 u H 2 u L 2 )
t 0 L C = f ( t L C ) 2 u L 3 2 h + t L Q + ρ 2 ( t L C ) 2 σ 2
t 0 H C = f + ( t L C ) 2 u L 2 ( u L u H + 2 u H 2 u L 2 ) 2 u H h ( t H C ) 2 u H 3 2 h + t H Q + ρ 2 ( t H C ) 2 σ 2
Then the expected utility obtained by high-capability forest farmers is as follows:
F L L C = f
Then the expected utility obtained by low-capability forest farmers is as follows:
F H H C = f + ( t L C ) 2 u L 2 ( u L u H + 2 u H 2 u L 2 ) 2 u H h
Then the expected utility for the government when providing forest ecological benefit compensation to high-capability forest farmers is as follows:
G H C = l t H C u H 3 h ( t L C ) 2 u L 2 ( u L u H + 2 u H 2 u L 2 ) 2 u H h ( t H C ) 2 u H 3 2 h ρ 2 ( t H C ) 2 σ 2 f
Then the expected utility for the government when providing forest ecological benefit compensation to low-capability forest farmers is as follows:
G L C = l t L C t L C u L 3 h ρ 2 ( t L C ) 2 σ 2 f
When there are both high- and low-capability forest farmers, the total expected utility is as follows:
G H = q [ l t H C u H 3 h ( t L C ) 2 u L 2 ( u L u H + 2 u H 2 u L 2 ) 2 u H h ( t H C ) 2 u H 3 2 h ρ 2 ( t H C ) 2 σ 2 f ]
G L = ( 1 q ) [ l t L C t L C u L 3 h ρ 2 ( t L C ) 2 σ 2 f ]
G C = G H + G L
Theorem 3 indicates that the government’s incentive coefficients are different for forest farmers with high and low forestry capacity. Specifically, the incentive coefficient for high-capability forest farmers is related to their high forestry capability and is independent of the low forestry capability. Conversely, the incentive coefficient for low-capability forest farmers is influenced by both the high and low forestry capabilities. This suggests that, when designing a forest ecological benefit compensation program, the government can separate high-capability and low-capability forest farmers and implement differentiated incentive compensation. Furthermore, from the expected value of forest farmers, it can be observed that ( t L C ) 2 u L 2 ( u L u H + 2 u H 2 u L 2 ) 2 u H h represents the information rent obtained by high-capability forest farmers due to their informational advantage, that is, the cost incurred by the government to incentivize risk-averse forest farmers to provide truthful information.
Further, according to Theorem 3, by deriving the first-order conditions of the decision variables with respect to key parameters, Corollary 3 can be obtained as follows:
Corollary 3.
t H C σ 2 < 0 , t H C ρ < 0 , t H C h < 0 , t H C l > 0 , t H C u H > 0 t L C σ 2 < 0 , t L C ρ < 0 , t L C h < 0 , t L C l > 0 , t L C q < 0 , t L C u H < 0 , t L C u L > 0 a H C σ 2 < 0 , a H C ρ < 0 , a H C h < 0 , a H C l > 0 , a H C u H > 0 a L C σ 2 < 0 , a L C ρ < 0 , a L C h < 0 , a L C l > 0 , a L C u H < 0 , a L C u L > 0
Corollary 3 indicates that the incentive coefficient t H C and t L C decrease as the random factors unrelated to the actual public welfare forest conservation area, the risk aversion coefficient of forest farmers, and the marginal input cost increase, while they increase with an increase in the government’s social benefit conversion coefficient. Meanwhile, for high-capability forest farmers, the incentive coefficient t H C increases with an increase in their forestry capability. For low-capability forest farmers, the incentive coefficient t L C increases with an increase in their own forestry capability but decreases as the forestry capability of high-capability farmers increases. At the same time, for low-capability farmers, the greater the proportion of high-capability farmers, the lower the incentive coefficient offered by the government. In addition, regarding the actual public welfare forest conservation area, a H C and a L C decrease with an increase in the random factors unrelated to conservation, the risk aversion coefficient of forest farmers, and the marginal input cost, while they increase with an increase in the government’s social benefit conversion coefficient. Similarly, for high-capability forest farmers, the actual conservation area a H increases with an increase in their forestry capability. For low-capability farmers, the conservation area a L increases as their own capability increases, but it decreases as the forestry capability of high-capability farmers increases.

5. Discussion

This section will conduct a discussion of the relevant decision variables, as well as the expected values of the government and forest farmers, under single-sided and double-sided information asymmetry scenarios. This comparison aims to further reveal the performance of the forest ecological benefit compensation incentive contract models under different conditions.
Theorem 4.
The comparative analysis of the relevant decision variables under the two scenarios is shown below:
(1)
t H C = t H B > t L B t L C   a n d   lim q 0 t L C = t L B
(2)
a H B = a H C > a L B a L C   a n d   lim q 0 a L C = a L B
(3)
t 0 H C > t 0 H B , t 0 L B > t 0 L C
The following conclusions follow from Theorem 4. First, under both scenarios, the incentive coefficient for high-capability forest farmers is the same and greater than that for low-capability forest farmers. For low-capability forest farmers, the incentive coefficient under the double-sided information asymmetry scenario is higher than under the single-sided information asymmetry scenario. However, the two incentive coefficients become identical only when the proportion of high-capability forest farmers approaches zero. This indicates that when there is only one type of forestry capability among farmers, there is no issue of adverse selection, and the problem reduces to one of moral hazard. Second, the trend of the actual public welfare forest conservation area and the incentive coefficient is the same under both scenarios. This is because the size of the conservation area depends on the magnitude of the incentive coefficient. Third, the fixed compensation payment received by low-capability forest farmers is the same in both scenarios. However, high-capability forest farmers receive a larger fixed compensation under the double-sided information asymmetry scenario than under the single-sided information asymmetry scenario. It can be seen that under double-sided information asymmetry, low-capability forest farmers should be prevented from pretending to be high-capability forest farmers to obtain extra fixed compensation.
Furthermore, by comparing the expected values of the government and forest farmers under the two scenarios, the following Corollary 4 can be derived:
Corollary 4.
(1)
F H H B = F L L B = F L L C F H H C   a n d   lim q 1 F H H C = F L L C
(2)
G H B G H C > G L B > G L C   a n d   lim q 1 G H C = G L B
Corollary 4 indicates that, under the double-sided information asymmetry scenario, high-capability forest farmers achieve the highest expected utility. This is because, under single-sided information asymmetry, high-capability forest farmers only receive their reservation utility. However, under double-sided information asymmetry, high-capability forest farmers not only receive their reservation utility but also gain information rent. Furthermore, it can be observed that when all forest farmers have high capability, the information rent disappears. Then, the government only needs to pay the reservation utility to the farmers. Additionally, under double-sided information asymmetry, the government’s expected utility from compensating high-capability forest farmers alone is lower than when only considering single-sided information asymmetry. However, when the proportion of high-capability forest farmers approaches 1, the government’s expected utility under double-sided information asymmetry equals its expected utility under single-sided information asymmetry. This result suggests that the presence of adverse selection reduces the government’s expected utility, as the government needs to incur additional costs. Next, Theorem 5 will further explain the reasons behind the differences in expected utility between the government and forest farmers.
Theorem 5.
Under the double-sided information asymmetry scenario, high-capability forest farmers will receive additional information rent, i.e.,  Δ R = ( t L C ) 2 u L 2 ( u L u H + 2 u H 2 u L 2 ) 2 u H h . Here,  Δ R  satisfies  Δ R q < 0 , and  lim q 1 Δ R = 0 .
Theorem 5 suggests that high-capability forest farmers possess a certain informational advantage over the government and can obtain the information rent paid by the government through opportunistic or “free-riding” behavior. However, for the government, the information rent paid to high-capability forest farmers represents a cost. Therefore, the key challenge for the government is how to minimize the payment of information rent while still effectively incentivizing forest farmers. According to Theorem 5, when all forest farmers have a high capability, the information rent becomes zero. This is because, as the proportion of high-capability farmers increases, the government classifies more farmers as having a high capability. This will make it increasingly difficult for high-capability farmers to exploit their informational advantage to obtain information rent.
From this analysis, it is clear that the distribution of high and low capability forest farmers has a significant impact on the optimal incentive contract. Therefore, it is necessary to further analyze the effect of changes in the proportion q on the expected utility of both the government and the forest farmers.
Theorem 6.
Under double-sidedinformation asymmetry, when the probability of high-capability forest farmers exceeds a certain threshold, signing a contract with low-capability forest farmers harms the government’s interests.
Proof can be found in Appendix D.
Theorem 6 indicates that under double-sided information asymmetry, the government may result in negative profits due to the presence of forest farmers with varying forestry capabilities. When the proportion of high-capability forest farmers exceeds a certain threshold, providing compensation payment to low-capability forest farmers can harm the government’s interests. Therefore, it is essential for the government to carefully distinguish between forest farmers with different forestry capabilities. This will reduce the loss of their own profits.
Theorem 7.
Under double-sided information asymmetry, since  F H H = F H L  and  F L L > F L H
, forest farmers with different forestry capabilities will not imitate each other’s capabilities. This allows the government to design differentiated forest ecological benefit compensation incentive contracts to motivate forest farmers.
Theorem 7 indicates that high-capability forest farmers will not pretend to be low-capability forest farmers, as their expected utilities are the same. Moreover, low-capability forest farmers will not pretend to be high-capability forest farmers. This is because the expected utility of truthfully reporting their low capability is higher than the utility falsely reporting their high forest capacity. This further demonstrates that the government can design distinct forest ecological benefit compensation incentive contracts for farmers with different forestry capabilities.

6. Numerical Analysis

This part further explains the impact of different parameter changes on the optimal solutions in incentive contract model under single-sided and double-sided information asymmetry. Matlab 2017a is employed for numerical simulation analysis in this study. Since this paper presents a theoretical model, it has not yet been applied in the practice of forest ecological benefit compensation in China. Therefore, it is impossible to validate it with real-world data or case studies. Therefore, with reference to Yang Yue et al. [38], and without loss of generality, the parameters are assumed to be u H = 1.2 , u L = 1 , h = 1 , l = 3 , ρ = 1 , σ 2 = 1 , f = 1 , q ( 0 , 1 ) .

6.1. Impact of Changes in Different Parameters on the Expected Utility of the Government and Forest Farmers

First, the impact of changes in the proportion of high-capability forest farmers on the expected utility of both the government and forest farmers is analyzed. The results are shown in Figure 1. In particular, Figure 1a illustrates the impact of changes in the proportion of high-capability forest farmers on the expected utility of forest farmers.
As seen in Figure 1a, The orange area enclosed in the graph represents the additional information rent obtained by high-capability forest farmers. This indicates that under double-sided information asymmetry, high-capability forest farmers obtain additional information rent. In addition, as the proportion of high-capability forest farmers increases, the blue line decreases, while the red line remains unchanged. This indicates that As the proportion of high-capability forest farmers increases, the information rent decreases. However, low-capability forest farmers only receive their reservation utility. At the same time, the red line represents the expected utility of forest farmers under single-sided information asymmetry. It can also be observed that forest farmers also only receive their reservation utility. This indicates that high-capability forest farmers earn the highest profits under both scenarios, although their profits decline as their proportion increases.
Additionally, Figure 1b shows the impact of changes in the proportion of low-capability forest farmers on the expected utility of the government. As shown in Figure 1b, the chocolate yellow dashed line is always above the blue solid line, and the orange triangular line is always above the purple square line. This indicates that under double-sided information asymmetry, the government’s expected utility is lower than under single-sided information asymmetry. Furthermore, as the proportion of high-capability forest farmers increases, the purple square line first increases and then decreases, while the blue solid line gradually increases. This indicates that when the government compensates low-capability forest farmers, the government’s expected utility initially increases and then decreases as the proportion of high-capability forest farmers rises. However, when the government compensates high-capability forest farmers, the government’s expected utility increases continuously with the rising proportion of high-capability farmers. Furthermore, the purple square line intersects the x-axis. This indicates that when the proportion of high-capability forest farmers reaches a certain threshold, compensating low-capability forest farmers can harm the government’s expected utility. To a certain extent, this potentially even resulting in negative expected utility. In contrast, compensating high-capability forest farmers improves the government’s expected utility.
Based on the previous research, it is evident that the distribution of high-capability forest farmers has a certain impact on the government’s expected utility. Therefore, it is necessary to consider the variation in the proportion of high-capability forest farmers. Accordingly, under the double-sided information asymmetry scenario, the effects of different parameter changes on the government’s expected utility are illustrated in Figure 2 and Figure 3. The range of variation is set to increase or decrease by a factor of 2 from the initial parameter settings.
Figure 2a illustrates the relationship between the random factor θ , the government’s expected utility, and the proportion of high-capability forest farmers. From Figure 2a, the chocolate yellow dashed line is always above the purple square line, and the orange triangular line is always above the blue solid line. It can be observed that as the random factor θ increases, the government’s expected utility decreases. This is because risk-averse forest farmers incur higher costs as uncertainty in the production process increases. This will reduce the actual public welfare forest conservation area.
Meanwhile, Figure 2b shows the relationship between the farmers’ risk aversion coefficient ρ , the government’s expected utility, and the proportion of high-capability forest farmers. As shown in Figure 2b, the purple square line is always above the chocolate yellow dashed line, and the blue solid line is always above the orange triangular line. This indicates that when the farmers’ risk aversion coefficient ρ decreases, the government’s expected utility increases. At the same time, the magnitude of this change is larger. When the farmers’ risk aversion coefficient ρ falls below a certain level, as the proportion of high-capability forest farmers increases and falls below a certain threshold, the government’s expected utility will be affected. Specifically, the expected utility from compensating high-capability farmers will be lower than that from compensating low-capability farmers.
Figure 2c illustrates the relationship between the marginal input cost of forest farmers h , the government’s expected utility, and the proportion of high-capability forest farmers. From Figure 2c, the purple square line is always above the chocolate yellow dashed line, and the blue solid line is always above the orange triangular line. It can be observed that as the marginal input cost of forest farmers h increases, the government’s expected utility decreases. This is because high marginal input costs require forest farmers to invest more re-sources in production, which increases their economic burden. As a result, the actual area of public welfare forests they conserve decreases, thereby affecting the govern-ment’s ability to achieve its ecological benefit compensation objectives.
Meanwhile, Figure 2d illustrates the relationship between the governmental social benefit conversion coefficient l , the government’s expected utility, and the proportion of high-capability forest farmers. From Figure 2d, the purple square line is always above the chocolate yellow dashed line, and the blue solid line is always above the orange triangular line. This indicates that as the governmental social benefit conversion coefficient l increases, the government’s expected utility decreases. This is because a higher government social benefit conversion coefficient means that the government can derive greater social benefit returns from each unit of ecological protection. Therefore, this will raise the overall expected utility. Further comparison of Figure 2a–d. It was found that the government’s expected utility is more sensitive to changes in the risk aversion coefficient.
Under double-sided information asymmetry, the relationship between forestry capability, the government’s expected utility, and the proportion of high-capability forest farmers is further analyzed. The results are shown in Figure 3. The variation in high and low forest management capabilities is set to increase by 0.1 from the initial parameter settings. From Figure 3, the purple square line is above the chocolate yellow dashed line, and the orange triangular line is always above the blue solid line. It can be observed that for both high and low capability forest farmers, improving their forestry capability increases the government’s expected utility. In contrast, by giving the same increase in forestry capability, the government prefers to compensate high-capability forest farmers. At this point, the government receives a more pronounced increase in expected utility. This suggests that high-capability forest farmers are more sensitive to improvements in their forestry capability.

6.2. The Impact of Different Parameter Variations on the Incentive Coefficient and the Forest Farmers’ Actual Public Welfare Forest Conservation Area

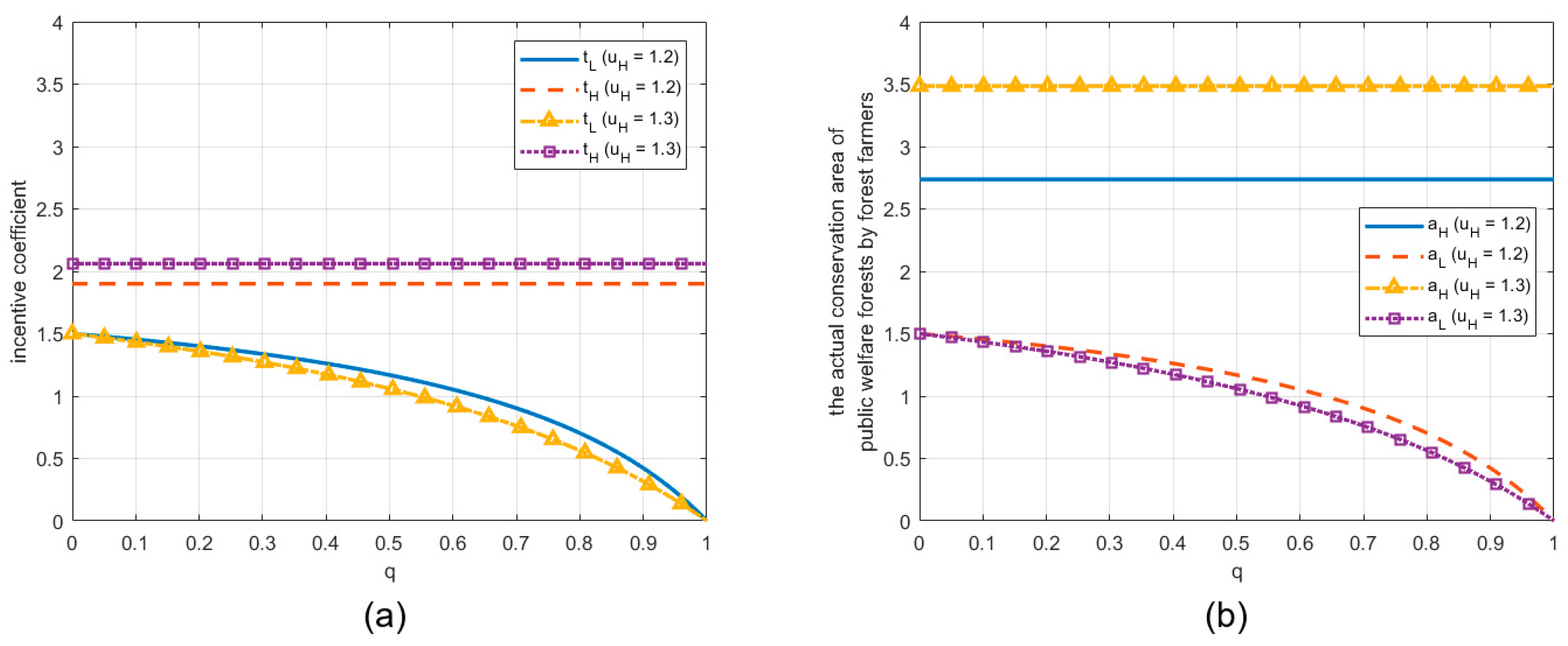
The incentive coefficient and the forest farmers’ actual public welfare forest conservation area are crucial decision variables in the forest ecological benefit compensation incentive contract model. Therefore, it is necessary to analyze how changes in different parameters affect the incentive coefficient and the forest farmers’ actual public welfare forest conservation area. Additionally, this section will continue to consider the changes in the proportion of high-capability forest farmers. The results are shown in Figure 4. The variation range is set to increase or decrease by a factor of 2 from the initial parameter settings.
Figure 4 illustrates the relationships between various parameters (such as θ , ρ , h , l ), the incentive coefficient (or the forest farmers’ actual public welfare forest conservation area), and the proportion of high-capability forest farmers. As shown in Figure 4a,c,e,g, the purple square line is above the chocolate yellow dashed line, and the orange triangular line is always above the blue solid line. However, as seen in Figure 4b,d,f,h, the chocolate yellow dashed line is above the purple square line, and the blue solid line is always above the orange triangular line. This indicates that, as the random factor θ , the farmers’ risk aversion coefficient ρ , and the marginal input cost h decrease, and the government’s social benefit conversion coefficient l increases, both the incentive coefficient and the actual public welfare forest conservation area increase., And the change trend of the two is the same. However, the incentive coefficient is more sensitive to changes in the government’s social benefit conversion coefficient l . However, it is consistently sensitive to the random factor θ , risk aversion coefficient ρ , and marginal input cost h . Similarly, when parameters decrease or increase by the same proportion, the forest farmers’ actual public welfare forest conservation area is differently sensitive to different parameters. The marginal input cost h is most sensitive, followed by the government’s social benefit conversion coefficient l . The sensitivity to the random factor θ and risk aversion coefficient ρ is the lowest. This indicates that as the government’s social benefit conversion coefficient increases, the incentive coefficient given to forest farmers also rises. The increase in the benefits received by forest farmers will motivate them to increase the area of public welfare forests that they actually protect. For forest farmers, reducing the marginal input cost decreases their costs in protecting public welfare forests. Then forest farmers have more incentives to protect the public welfare forests.
Further analysis of the relationship between high-capability forestry, the incentive coefficient (or the forest farmers’ actual public welfare forest conservation area), and the proportion of high-capability forest farmers is presented in Figure 5. The variation in high forest management capability is set to increase by 0.1 from the initial parameter settings.
Figure 5a illustrates the relationship between high-capability forestry, the incentive coefficient, and the proportion of high-capability forest farmers. As shown in Figure 5a, the purple square line is above the chocolate yellow dashed line, and the blue solid line is always above the orange triangular line. In addition, as the proportion of high-capability forest farmers increases, the purple square line and the chocolate yellow dashed line remain unchanged, while the blue solid line and the orange triangular line show a downward trend. It can be observed that the incentive coefficient provided by the government to high-capability forest farmers is independent of the proportion of high-capability forest farmers. Moreover, as the forestry capability of high-capability farmers increases, their incentive coefficient also rises. Conversely, for low-capability forest farmers, as the forestry capability of high-capability farmers increases, their incentive coefficient decreases.
Meanwhile, Figure 5b shows the relationship between high-capability forestry, the forest farmers’ actual public welfare forest conservation area, and the proportion of high-capability forest farmers. The parameters and the trends in the optimal solution are similar to those in Figure 5b. The chocolate yellow dashed line is above the purple square line, and the orange triangular line is always above the blue solid line. In addition, as the proportion of high-capability forest farmers increases, the blue solid line and the orange triangular line remain unchanged, while the purple square line and the chocolate yellow dashed line show a downward trend. This indicates that as the proportion of high-capability forest farmers and their forestry capability increase, the incentive coefficient for low-capability farmers will decrease. At the same time, the actual public welfare forest conservation area of low-capability farmers also decreases. This occurs because the reduction in the incentive coefficient for low-capability farmers discourages them from investing in the protection of public welfare forests. This will encourage forest farmers to reduce the actual protected area to minimize the potential loss.

7. Conclusions, Recommendations, Limitations and Future Prospects

7.1. Conclusions

In the process of forest ecological benefit compensation, there are problems of information asymmetry and “misaligned incentives”. This will leads to inefficiency in compensation. To enhance the efficiency of forest ecological benefit compensation, designing effective incentive contracts has become an urgent issue for the government. Based on this, using principal–agent theory, this study constructs incentive contract models under three different scenarios: information symmetry, single-sided information asymmetry, and double-sided information asymmetry. The optimal solutions of each model are solved and compared. Further, numerical simulation is used to explore the impact of various parameter changes on government and farmer decisions. The main research conclusions are as follows:
(1)
Forest farmers with different forestry capabilities (high and low) will not misreport their forestry capability. The government can design different incentive contracts to motivate forest farmers accordingly.
(2)
Under the double-sided information asymmetry scenario, due to the information gap, high-capability forest farmers will obtain information rent, while low-capability forest farmers will only receive their reservation utility.
(3)
The government’s expected utility is related to the proportion of high-capability forest farmers in reality. The expected utility under the double-sided information asymmetry scenario is lower than that under the single-sided information asymmetry scenario. Furthermore, when the proportion of high-capability forest farmers exceeds a certain threshold, signing contracts with low-capability forest farmers harms the government’s interests.
(4)
Under double-sided information asymmetry, as the proportion of high-capability forest farmers increases, the incentive coefficient for high-capability farmers remains unchanged, while the incentive coefficient for low-capability farmers decreases. At the same time, the forest farmers’ optimal actual public welfare forest conservation area follows the same trend.

7.2. Recommendations

Based on the above conclusions, the following policy implications can be drawn.
(1)
Mitigating information asymmetry caused by moral hazard in forest ecological benefit compensation. The government can enhance the monitoring of public welfare forests by adopting advanced technologies such as satellite remote sensing, drones, and IoT devices. These tools enable the collection of data on the efforts made by forest farmers in protecting public welfare forests. The collected data information is used to form a dynamic conservation trajectory of forest farmers’ actual efforts to protect public forests. Furthermore, a public welfare forest monitoring app could be developed to facilitate information access for both the government and forest farmers. This will help to improve the policy recognition of forest farmers. Additionally, villagers can be incorporated into the supervision system to encourage their participation in monitoring and protecting public welfare forests. Rewards could be offered for identifying fraudulent behaviors.
(2)
Reducing information asymmetry due to adverse selection by rationalizing the assessment of forest farmers’ ability to operate forests. First, the government can invite authoritative scholars to design a standardized assessment index system. Specifically, it can construct a system for assessing forestry capacity from three aspects: individual capacity, resource conditions and historical performance. Secondly, a professional assessment team should be set up to comprehensively assess the forest farmers’ ability to engage in forest management. Further, different types of areas will be selected for piloting. For example, areas with high concentration of forestry capacity and areas with low concentration of forestry capacity. These pilots would allow for further refinement of the evaluation framework and the accumulation of practical insights, paving the way for broader application once the system matures. Finally, the government should develop a digital evaluation system where basic information about forest farmers is recorded. This system can automate the assessment of forestry capabilities, improving efficiency and accuracy.
(3)
Implementing differentiated forest ecological benefit compensation for forest farmers with varying levels of forestry capabilities. The research findings indicate that the design of incentive contracts can achieve information screening. This contract can be used to implement differentiated forest ecological benefit compensation for forest farmers. First, the government should establish appropriate regulations and improve the compensation process. For farmers with high forestry capabilities, the government should strictly enforce incentive contracts. For those with lower capabilities, efforts should focus on enhancing their forestry skills to enable a gradual transition to higher capability levels. For instance, the government can introduce systematic capacity-building programs, including free technical training, provision of high-quality seedlings, and professional technical guidance. This will be able to help low-capability farmers improve their forestry and management skills. Additionally, the government should provide necessary resource support, such as forestry equipment and technical consulting services. By lowering the barriers to forestry for low-capacity foresters, it can facilitate their capacity enhancement and long-term participation. Furthermore, the government needs to dynamically adjust incentive coefficients based on changes in the proportion of high-capability farmers. Specifically, an annual evaluation and adjustment mechanism should be established to regularly collect and analyze updated monitoring data. This mechanism would allow the government to assess the effectiveness of current incentive policies and improvements in ecological benefits. Based on the evaluation results, the incentive coefficients for forest farmers at different capability levels can be adjusted. This ensures that the incentives for high-capability forest farmers remain effective. At the same time, it allows for a moderate adjustment of the compensation and support for low-capability forest farmers.

7.3. Limitations

However, the current research has certain limitations. First, this study was conducted under specific assumptions. This has a certain gap with the reality and cannot accurately portray the real reality. Moreover, the model assumes static conditions, without considering dynamic factors such as climate variations or economic fluctuations. This limits its practical applicability. Second, although a theoretical model was developed, it has not been validated with real-world data or case studies. Third, the study does not consider potential monitoring or auditing mechanisms. This may limit its practical application, as some degree of monitoring is usually possible. Finally, the research does not provide a scientifically sound method for evaluating forest ecological benefits or the forestry capabilities of forest farmers. This gap affects the model’s application in real-world scenarios. However, accurate and reliable assessments are essential for effective implementation and policy-making.

7.4. Future Prospects

Based on the limitations of this study, future research could focus on the following aspects. First, the assumptions made in this study can be further expanded. For instance, future research could consider the design of incentive contracts under different scenarios. Specifically, governments and forest farmers exhibit bounded rationality, governments demonstrate risk preferences, or governments face budget constraints. Moreover, the model could be extended from static conditions to dynamic conditions. This will help to provide insight into the impact of dynamic factors on contract structure. Second, future studies could apply the theoretical model to small-scale pilot projects, collecting relevant data to validate and refine the model. Third, building on this research, supervision mechanisms could be introduced to investigate the design of incentive contracts for supervisory teams. Finally, future research could delve deeper into methods for evaluating forest ecological benefits, including determining the spatial distribution and magnitude of changes in ecological benefits. This would provide technical support for designing effective compensation mechanisms. Additionally, further studies could develop methods and frameworks for measuring and systematizing the forestry capabilities of forest farmers.

Author Contributions

Conceptualization, C.W. and C.D.; methodology, C.D.; software, C.D. and Y.Y.; validation, C.D.; formal analysis, C.D.; data curation, C.D.; writing—original draft preparation, C.D.; writing—review and editing, C.D. and Y.Y.; supervision, C.W. and Y.Y. All authors have read and agreed to the published version of the manuscript.

Funding

This research was funded by (1) the National Natural Science Foundation of China (grant number [71872141]) and (2) the Shaanxi public welfare geological survey project (grant number [202202]). The National Natural Science Foundation of China (NSFC) is responsible for the management of the National Natural Science Foundation of China. The Shaanxi Geological Survey Institute is re-sponsible for managing the Shaanxi public welfare geological survey project.

Data Availability Statement

The data that support the findings of this are available from the corresponding authors (C.D.).

Acknowledgments

The researchers would like to express their gratitude to the anonymous reviewers and editor for their efforts to improve the quality of this study. This research is gratefully acknowledged with support from the research programs of the National Natural Science Foundation of China and the Geological Survey of Shaanxi Province.

Conflicts of Interest

The authors declare that they have no conflicts of interest.

Appendix A

Proof. 
The K-T condition is used to solve the above incentive contract model. Under symmetric information, the participation constraint should be binding, that is, t 0 + t ( u a Q ) h 2 u a 2 ρ 2 t 2 σ 2 = f . Thus, an expression for t 0 is obtained, which is t 0 = t ( u a Q ) h 2 u a 2 ρ 2 t 2 σ 2 f . Substituting this expression for t 0 into the objective function yields the objective function: G = l u a h 2 u a 2 ρ 2 t 2 σ 2 f . Next, the first-order and second-order derivatives of the objective function G , with respect to a and t , are π G a = l u h u a , π G t = ρ σ 2 t , π G a = h u < 0 , and π G t = ρ σ 2 < 0 , respectively.
Since the second-order derivatives of the objective function with respect to a and t are both less than zero, setting their first-order derivatives equal to zero yields the following:
a A = l u 2 h
t A = 0
Substituting these results back into the participation constraint of the forest farmers, gives the following:
t 0 A = l 2 u 3 2 h + f
Finally, substituting a A , t A , and t 0 A into F and G yields the expected values for forest farmers and the government, respectively:
F A = f
G A = l 2 u 3 2 h f

Appendix B

Proof. 
The above model is solved using the Karush–Kuhn–Tucker (K-T) conditions. Let η 1 and η 2 be the Lagrange multipliers for Equations (25) and (26), respectively. Then we obtain the following: L = π G + η 1 ( t 0 + t ( u a Q ) h 2 u a 2 ρ 2 t 2 σ 2 f ) + η 2 t u 2 h .
Taking the derivative of L with respect to t 0 yields the first-order conditions as follows: 1 + η 1 = 0 , η 1 = 1 0 .
Thus, the participation constraint of the forest farmers (25) is binding, i.e., t 0 + t ( u a Q ) h 2 u a 2 ρ 2 t 2 σ 2 = f . Consequently, an expression for t 0 is obtained as t 0 = t ( u a Q ) h 2 u a 2 ρ 2 t 2 σ 2 f .
Substituting the binding constraint into the objective function to eliminate t 0 , the objective function G can be expressed as G = l u a h 2 u a 2 ρ 2 t 2 σ 2 f .
Further substituting a = t u 2 h into the above expression yields G = l u t u 2 h t 2 u 3 2 h ρ 2 t 2 σ 2 f .
Then, the first-order and second-order derivatives of the objective function with respect to t , i.e., π G t = l u 3 h t u 3 h ρ σ 2 t = ( l t ) u 3 h ρ σ 2 t and 2 π G t 2 = u 3 h ρ σ 2 < 0 .
Thus, it follows that the following is valid:
t B = l u 3 ρ σ 2 h + u 3
Substituting a = t u 2 h and t B = l u 3 ρ σ 2 h + u 3 into t 0 = t ( u a Q ) h 2 u a 2 ρ 2 t 2 σ 2 f yields the following:
t 0 B = ( l u 3 ) 2 u 3 2 h ( ρ σ 2 h + u 3 ) 2 + l u 3 Q ρ σ 2 h + u 3 + ρ 2 ( l u 3 ) 2 σ 2 ( ρ σ 2 h + u 3 ) 2 + f
Further substituting t B = l u 3 ρ σ 2 h + u 3 into a = t u 2 h yields the following:
a B = u 2 h ( l u 3 ρ σ 2 h + u 3 )
Finally, substituting a B , t 0 B , and t B into F and G yields the expected values for forest farmers and the government, respectively, written as follows:
F B = f
G B = u 3 t B 2 h ( 2 l t B ) ρ 2 ( t B ) 2 σ 2 f

Appendix C

Proof. 
Let λ , μ , and ϕ be the Lagrange multipliers for Equations (46), (47), and (49), respectively. The Lagrange function is given by L = G + λ ( F L L F L H ) + μ ( F H H F H L ) + ϕ ( F L L f ) . Further, taking the first-order derivative with respect to t H , t L , t 0 H , and t 0 L , and setting ( L t H , L t L , L t 0 H , L t 0 L ) T = 0 yields the following result:
L t 0 H = q λ + μ = 0
L t 0 L = 1 + q + λ μ + ϕ = 0
From Equation (A10), it follows that the following is valid:
μ = q + λ > 0
Substituting Equation (A12) into Equation (A11) yields ϕ = 1 , and further λ = 0 .
Since ϕ = 1 > 0 , it follows that the following is valid:
F L L = t 0 L + t L 2 u L 3 2 h t L Q ρ 2 t L 2 σ 2 = f
Further, it follows that the following is valid:
f t L 2 u L 3 2 h = t 0 L t L Q ρ 2 t L 2 σ 2
Since μ > 0 , it follows that the following is valid:
t 0 H + t H 2 u H 3 h t H Q t H 2 u H 3 2 h ρ 2 t H 2 σ 2 = t 0 L + t L 2 u H u L 2 h t L Q t L 2 u L 4 2 u H h ρ 2 t L 2 σ 2
Substituting Equation (A13) into Equation (A15) yields the following:
F H H = t 0 H + t H 2 u H 3 h t H Q t H 2 u H 3 2 h ρ 2 t H 2 σ 2 = F H L = t 0 L + t L 2 u H u L 2 h t L Q t L 2 u L 4 2 u H h ρ 2 t L 2 σ 2
Substituting Equation (A14) into Equation (A16) yields the following:
F H H = f + t L 2 u L 2 ( u L u H + 2 u H 2 u L 2 ) 2 u H h
Taking the first-order and second-order derivatives of L , with respect to t H , the following results are obtained:
L t H = q l u H 3 h q u H 3 t H h q h ρ σ 2 t H h
2 L t H 2 = q u H 3 h q ρ σ 2
Since 2 L t H 2 < 0 , setting L t H = 0 , it follows that the following is valid:
t H C = l u H 3 u H 3 + h ρ σ 2
Taking the first-order and second-order derivatives of L , with respect to t L , the following results are obtained:
L t L = ( 1 q ) l u L 3 h ( 1 q ) t L u L 3 h ( 1 q ) ρ σ 2 t L q t L u L 2 h u H ( u L u H + 2 u H 2 u L 2 )
2 L t L 2 = ( 1 q ) u L 3 h ( 1 q ) ρ σ 2 q u L 2 h u H ( u L u H + 2 u H 2 u L 2 )
Since 2 L t L 2 < 0 , setting Equation (A21) equal to zero yields the following:
t L C = ( 1 q ) l u L 3 u H ( 1 2 q ) u L 3 u H + ( 1 q ) ρ σ 2 h u H + q u L 2 ( 2 u H 2 u L 2 )
From Equations (A13) and (A23), t 0 L can be expressed in terms of t L C as follows:
t 0 L C = f ( t L C ) 2 u L 3 2 h + t L Q + ρ 2 ( t L C ) 2 σ 2
From F H H = t 0 H + t H 2 u H 3 2 h t H Q ρ 2 t H 2 σ 2 = f + t L 2 u L 2 ( u L u H + 2 u H 2 u L 2 ) 2 u H h , t 0 H can be expressed in terms of t H as follows:
t 0 H C = f + ( t L C ) 2 u L 2 ( u L u H + 2 u H 2 u L 2 ) 2 u H h ( t H C ) 2 u H 3 2 h + t H Q + ρ 2 ( t H C ) 2 σ 2
Substituting t H C and t L C into Equations (44) and (45), respectively, yields a H C = t H C u H 2 h and a L C = t L C u L 2 h .
From Equations (A13) and (A17), it can be concluded that the expected utility obtained by low-capability forest farmers is F L L = f , and the expected utility obtained by high-capability forest farmers is F H H = f + ( t L C ) 2 u L 2 ( u L u H + 2 u H 2 u L 2 ) 2 u H h .
Substituting t H C , t L C , t 0 H C , and t 0 L C into the objective function, the expected utilities for the government when providing forest ecological benefit compensation to high- and low-capability forest farmers are obtained, respectively, as follows.
G H C = l t H C u H 3 h ( t L C ) 2 u L 2 ( u L u H + 2 u H 2 u L 2 ) 2 u H h ( t H C ) 2 u H 3 2 h ρ 2 ( t H C ) 2 σ 2 f
G L C = l t L C t L C u L 3 h ρ 2 ( t L C ) 2 σ 2 f
The total expected utility for the government when providing forest ecological benefit compensation is as follows:
G H = q [ l t H C u H 3 h ( t L C ) 2 u L 2 ( u L u H + 2 u H 2 u L 2 ) 2 u H h ( t H C ) 2 u H 3 2 h ρ 2 ( t H C ) 2 σ 2 f ]
G L = ( 1 q ) [ l t L C t L C u L 3 h ρ 2 ( t L C ) 2 σ 2 f ]
G = G H + G L

Appendix D

Proof. 
Since G L = l t L u L 3 h t L 2 u L 3 2 h ρ 2 t L 2 σ 2 f , then G L q = [ l u L 3 h t L C u L 3 h ρ σ 2 t L C ] t L C q .
Let M = l u L 3 h t L C u L 3 h ρ σ 2 t L C , then taking the first-order condition, with respect to q , yields the following: M q = u L 3 h t L C q ρ σ 2 t L C q .
Given that t L C q < 0 , then M q > 0 . So M is monotonically increasing with respect to q .
When q = 0 , then t L = l u L 3 u L 3 + h ρ σ 2 and M = l u L 3 h t L C u L 3 h ρ σ 2 t L C = 0 .
From this, it further follows that G L q = [ l u L 3 h t L C u L 3 h ρ σ 2 t L C ] t L C q = M t L C q < 0 .
Since lim q 1 t L C = 0 , it can be further concluded that lim q 0 G L > 0 , lim q 1 G L = ρ 2 ( t L C ) 2 σ 2 f < 0 . Therefore, there exist values of q ˜ ( 0 , 1 ) , such that G L ( q ˜ ) = 0 . When q ˜ < q , it follows that G L ( q ) < 0 , proving graduation. □

References

  1. FAO. Global Forest Resources Assessment 2020: Main Report; Food and Agriculture Organization of the United Nations: Rome, Italy, 2021. [Google Scholar]
  2. Huiru, Z. Significant potential for improving forest quality through sustainable management. Guang Ming Daily, 8 April 2023. [Google Scholar]
  3. Liagre, L.; Pettenella, D.; Pra, A.; Carazo Ortiz, F.; Garcia Arguedas, A.; Nguyen Chien, C. How can national forest funds catalyse the provision of ecosystem services? Lessons learned from Costa Rica, Vietnam, and Morocco. Ecosyst. Serv. 2021, 47, 101228. [Google Scholar] [CrossRef]
  4. Roongtawanreongsri, S.; Ho, T.Q.; Tran, P.H.N. Impact of payments for forest environmental services on households’ livelihood: A case study in the Central Highlands of Vietnam. Environ. Dev. Econ. 2023, 28, 149–170. [Google Scholar]
  5. Winkel, G.; Lovrić, M.; Muys, B.; Katila, P.; Lundhede, T.; Pecurul, M.; Pettenella, D.; Pipart, N.; Plieninger, T.; Prokofieva, I.; et al. Governing Europe’s forests for multiple ecosystem services: Opportunities, challenges, and policy options. For. Policy Econ. 2022, 145, 102849. [Google Scholar] [CrossRef]
  6. Villalobos, L.; Robalino, J.; Sandoval, C.; Alpízar, F. Local effects of payments for ecosystem services on rural poverty. Environ. Resour. Econ. 2023, 84, 753–774. [Google Scholar] [CrossRef]
  7. Shah, S.; Race, D. Greening the blue Pacific: Lessons on reducing emissions from deforestation and forest degradation (REDD+). For. Policy Econ. 2024, 166, 103263. [Google Scholar] [CrossRef]
  8. Pan, X.; Xu, L.; Yang, Z.; Yu, B. Payments for ecosystem services in China: Policy, practice, and progress. J. Clean. Prod. 2017, 158, 200–208. [Google Scholar] [CrossRef]
  9. Wunder, S.; Vargas, M.T. Beyond “Markets”: Why Terminology Matters; The Ecosystem Marketplace, Katoomba Group: Washington, DC, USA, 2005. [Google Scholar]
  10. Wunder, S. Revisiting the concept of payments for environmental services. Ecol. Econ. 2015, 117, 234–243. [Google Scholar] [CrossRef]
  11. Deng, H.; Zheng, P.; Liu, T.; Liu, X. Forest ecosystem services and eco-compensation mechanisms in China. Environ. Manag. 2011, 48, 1079–1085. [Google Scholar] [CrossRef]
  12. Ferraro, P.J. Asymmetric information and contract design for payments for environmental services. Ecol. Econ. 2008, 65, 810–821. [Google Scholar] [CrossRef]
  13. George, A. The market for lemons: Quality uncertainty and the market mechanism. Q. J. Econ. 1970, 84, 488–500. [Google Scholar] [CrossRef]
  14. Spence, M. Job Market Signaling. In Uncertainty in Economics; Elsevier: Amsterdam, The Netherlands, 1978; pp. 281–306. [Google Scholar]
  15. Stiglitz, J.E. Markets, market failures, and development. Am. Econ. Rev. 1989, 79, 197–203. [Google Scholar]
  16. Bergh, D.D.; Ketchecn, D.J., Jr.; Orlandi, I.; Heugens, P.P.M.A.R.; Boyd, B.K. Information asymmetry in management research: Past accomplishments and future opportunities. J. Manag. 2019, 45, 122–158. [Google Scholar] [CrossRef]
  17. Jack, B.K.; Kousky, C.; Sims, K.R. Designing payments for ecosystem services: Lessons from previous experience with incentive-based mechanisms. Proc. Natl. Acad. Sci. USA 2008, 105, 9465–9470. [Google Scholar] [CrossRef] [PubMed]
  18. Shi, L.; He, Y.; Onishi, M. Effect of the Internal Agency Problem on Risk-Sharing Incentive Contracts in Public–Private Partnership Projects. J. Constr. Eng. Manag. 2023, 149, 04023126. [Google Scholar] [CrossRef]
  19. Gao, R.; Wang, Z.; Zhou, L. Tournaments and contracts under asymmetric information. Econ. Model 2024, 139, 106825. [Google Scholar] [CrossRef]
  20. Xie, Y.; Ding, C.; Li, Y.; Wang, K. Optimal incentive contract in continuous time with different behavior relationships between agents. Int. Rev. Financ. Anal. 2023, 86, 102521. [Google Scholar] [CrossRef]
  21. Mason, C.F.; Plantinga, A.J. The additionality problem with offsets: Optimal contracts for carbon sequestration in forests. J. Environ. Econ. Manag. 2013, 66, 1–14. [Google Scholar] [CrossRef]
  22. Ross, S.A. The economic theory of agency: The principal’s problem. Am. Econ. Rev. 1973, 63, 134–139. [Google Scholar]
  23. Holmstrom, B.; Milgrom, P. Aggregation and linearity in the provision of intertemporal incentives. Econom. J. Econom. Soc. 1987, 55, 303–328. [Google Scholar] [CrossRef]
  24. Iossa, E.; Martimort, D. Corruption in PPPs, incentives and contract incompleteness. Int. J. Ind. Organ. 2016, 44, 85–100. [Google Scholar] [CrossRef]
  25. Schlapp, J.; Oraiopoulos, N.; Mak, V. Resource allocation decisions under imperfect evaluation and organizational dynamics. Manag. Sci. 2015, 61, 2139–2159. [Google Scholar] [CrossRef]
  26. Chen, W.; Li, L. Incentive contracts for green building production with asymmetric information. Int. J. Prod. Res. 2021, 59, 1860–1874. [Google Scholar] [CrossRef]
  27. Ma, B.; Jian, K. Design and study of hybrid BI insurance contracts with interruption compensation, reward, and penalty under adverse selection. Manag. Decis. Econ. 2024, 45, 5476–5490. [Google Scholar] [CrossRef]
  28. Zhang, Y.; Xu, Q. Proportional incentive contracts in live streaming commerce supply chain based on target sales volume. Electron. Commer. Res. 2023, 1–29. [Google Scholar] [CrossRef]
  29. Zhu, J.; Chen, J.; Jin, W.; Li, Q. Developing incentive mechanisms for long-term and short-term technological innovation in major engineering projects using principal-agent theory. Eng. Constr. Archit. Manag. 2023. [Google Scholar] [CrossRef]
  30. Huang, Y.; Zheng, W.; Zhang, D.; Xu, Z. A differentiated subsidy model for shale gas development considering resource endowment characteristic. Pet. Sci. Technol. 2023, 1–25. [Google Scholar] [CrossRef]
  31. Yan, L.; Hong, K.; Chen, K.; Li, H.; Liao, L. Benefit distribution of collectively-owned operating construction land entering the market in rural China: A multiple principal–agent theory-based analysis. Habitat Int. 2021, 109, 102328. [Google Scholar] [CrossRef]
  32. Lin, M.; Wen, Z. Contractual Mechanisms in National Park Management: A Multi-Task Principal–Agent Model. Land 2024, 13, 914. [Google Scholar] [CrossRef]
  33. Dragicevic, A.; Garcia, S. Principal-agent Relationships: A Note on Biomass Depletion. Res. Ecol. 2021, 3, 9–15. [Google Scholar] [CrossRef]
  34. Li, W.D.; Ashlagi, I.; Lo, I. Simple and approximately optimal contracts for payment for ecosystem services. Manag. Sci. 2023, 69, 7821–7837. [Google Scholar] [CrossRef]
  35. Chowdhury, P.K.R.; Brown, D.G. Modeling the effects of carbon payments and forest owner cooperatives on carbon storage and revenue in Pacific Northwest forestlands. Land Use Policy 2023, 131, 106725. [Google Scholar] [CrossRef]
  36. Deng, C.; Zhang, S.; Lu, Y.; Li, Q. Determining the ecological compensation standard based on forest multifunction evaluation and financial net present value analysis: A case study in southwestern Guangxi, China. J. Sustain. For. 2020, 39, 730–749. [Google Scholar] [CrossRef]
  37. Sheng, W.; Zhen, L.; Xie, G.; Xiao, Y. Determining eco-compensation standards based on the ecosystem services value of the mountain ecological forests in Beijing, China. Ecosyst. Serv. 2017, 26, 422–430. [Google Scholar] [CrossRef]
  38. Yue, Y.; Yi, L.; Quanying, L.; Zhuoying, Z. Research on transboundary cooperative mechanisms for river pollution governance—Based on the tripartite evolutionary game theory. Syst. Eng.—Theory Pract. 2023, 43, 1815–1836. [Google Scholar]
Figure 1. The relationship between the proportion of high-capability forest farmers and the expected utility of the government and forest farmers under two scenarios. Among them, (a) illustrates the impact of changes in the proportion of high-capability forest farmers on the expected utility of forest farmers. (b) shows the impact of changes in the proportion of low-capability forest farmers on the expected utility of the government.
Figure 1. The relationship between the proportion of high-capability forest farmers and the expected utility of the government and forest farmers under two scenarios. Among them, (a) illustrates the impact of changes in the proportion of high-capability forest farmers on the expected utility of forest farmers. (b) shows the impact of changes in the proportion of low-capability forest farmers on the expected utility of the government.
Forests 15 02145 g001
Figure 2. The relationship between different parameters ( θ , ρ , h , and l ), the government’s expected utility, and the proportion of high-capability forest farmers. Among them, (a) illustrates the relationship between the random factor, the government’s expected utility, and the proportion of high-capability forest farmers. (b) shows the relationship between the farmers’ risk aversion coefficient, the government’s expected utility, and the proportion of high-capability forest farmers. (c) illustrates the relationship between the marginal input cost of forest farmers, the government’s expected utility, and the proportion of high-capability forest farmers. (d) illustrates the relationship between the governmental social benefit conversion coefficient, the government’s expected utility, and the proportion of high-capability forest farmers.
Figure 2. The relationship between different parameters ( θ , ρ , h , and l ), the government’s expected utility, and the proportion of high-capability forest farmers. Among them, (a) illustrates the relationship between the random factor, the government’s expected utility, and the proportion of high-capability forest farmers. (b) shows the relationship between the farmers’ risk aversion coefficient, the government’s expected utility, and the proportion of high-capability forest farmers. (c) illustrates the relationship between the marginal input cost of forest farmers, the government’s expected utility, and the proportion of high-capability forest farmers. (d) illustrates the relationship between the governmental social benefit conversion coefficient, the government’s expected utility, and the proportion of high-capability forest farmers.
Forests 15 02145 g002
Figure 3. The relationship between forestry capability ( u H and u L ), the government’s expected utility, and the proportion of high−capability forest farmers under double−sided information asymmetry.
Figure 3. The relationship between forestry capability ( u H and u L ), the government’s expected utility, and the proportion of high−capability forest farmers under double−sided information asymmetry.
Forests 15 02145 g003
Figure 4. The relationship between different parameters ( θ , ρ , h , and l ), the incentive coefficient (or actual public welfare forest conservation area), and the proportion of high-capability forest farmers under double-sided information asymmetry. Among them, (a) illustrates the relationships between the random factor, the incentive coefficient, and the proportion of high-capability forest farmers. (b) illustrates the relationships between the risk aversion coefficient, the incentive coefficient, and the proportion of high-capability forest farmers. (c) illustrates the relationships between the marginal input cost, the incentive coefficient, and the proportion of high-capability forest farmers. (d) il-lustrates the relationships between the government’s social benefit conversion coefficient, the incentive coefficient, and the proportion of high-capability forest farmers. (e) illustrates the relationships between the random factor, the actual public welfare forest conservation area, and the proportion of high-capability forest farmers. (f) illustrates the relationships between the risk aversion coefficient, the actual public welfare forest conservation area, and the proportion of high-capability forest farmers. (g) illustrates the relationships between the marginal input cost, the actual public welfare forest conservation area, and the proportion of high-capability forest farmers. (h) illustrates the relationships between the government’s social benefit conversion coefficient, the actual public welfare forest conservation area, and the proportion of high-capability forest farmers.
Figure 4. The relationship between different parameters ( θ , ρ , h , and l ), the incentive coefficient (or actual public welfare forest conservation area), and the proportion of high-capability forest farmers under double-sided information asymmetry. Among them, (a) illustrates the relationships between the random factor, the incentive coefficient, and the proportion of high-capability forest farmers. (b) illustrates the relationships between the risk aversion coefficient, the incentive coefficient, and the proportion of high-capability forest farmers. (c) illustrates the relationships between the marginal input cost, the incentive coefficient, and the proportion of high-capability forest farmers. (d) il-lustrates the relationships between the government’s social benefit conversion coefficient, the incentive coefficient, and the proportion of high-capability forest farmers. (e) illustrates the relationships between the random factor, the actual public welfare forest conservation area, and the proportion of high-capability forest farmers. (f) illustrates the relationships between the risk aversion coefficient, the actual public welfare forest conservation area, and the proportion of high-capability forest farmers. (g) illustrates the relationships between the marginal input cost, the actual public welfare forest conservation area, and the proportion of high-capability forest farmers. (h) illustrates the relationships between the government’s social benefit conversion coefficient, the actual public welfare forest conservation area, and the proportion of high-capability forest farmers.
Forests 15 02145 g004
Figure 5. The relationship between high-capability forest farmers, the incentive coefficient (or actual public welfare forest conservation area), and the proportion of high-capability forest farmers under double-sided information asymmetry. Among them, (a) illustrates the relationship between high-capability forestry, the incentive coefficient, and the proportion of high-capability forest farmers. (b) shows the relationship between high-capability forestry, the forest farmers’ actual public welfare forest conservation area, and the proportion of high-capability forest farmers.
Figure 5. The relationship between high-capability forest farmers, the incentive coefficient (or actual public welfare forest conservation area), and the proportion of high-capability forest farmers under double-sided information asymmetry. Among them, (a) illustrates the relationship between high-capability forestry, the incentive coefficient, and the proportion of high-capability forest farmers. (b) shows the relationship between high-capability forestry, the forest farmers’ actual public welfare forest conservation area, and the proportion of high-capability forest farmers.
Forests 15 02145 g005
Disclaimer/Publisher’s Note: The statements, opinions and data contained in all publications are solely those of the individual author(s) and contributor(s) and not of MDPI and/or the editor(s). MDPI and/or the editor(s) disclaim responsibility for any injury to people or property resulting from any ideas, methods, instructions or products referred to in the content.

Share and Cite

MDPI and ACS Style

Du, C.; Wang, C.; Yang, Y. Incentive Contract Design for Governmental Forest Ecological Benefit Compensation Under Information Asymmetry. Forests 2024, 15, 2145. https://doi.org/10.3390/f15122145

AMA Style

Du C, Wang C, Yang Y. Incentive Contract Design for Governmental Forest Ecological Benefit Compensation Under Information Asymmetry. Forests. 2024; 15(12):2145. https://doi.org/10.3390/f15122145

Chicago/Turabian Style

Du, Chuanjia, Chengjun Wang, and Yangyang Yang. 2024. "Incentive Contract Design for Governmental Forest Ecological Benefit Compensation Under Information Asymmetry" Forests 15, no. 12: 2145. https://doi.org/10.3390/f15122145

APA Style

Du, C., Wang, C., & Yang, Y. (2024). Incentive Contract Design for Governmental Forest Ecological Benefit Compensation Under Information Asymmetry. Forests, 15(12), 2145. https://doi.org/10.3390/f15122145

Note that from the first issue of 2016, this journal uses article numbers instead of page numbers. See further details here.

Article Metrics

Back to TopTop