Bending Properties of Finger-Jointed Bamboo Scrimber Composite Beams
Abstract
1. Introduction
2. Materials and Methods
2.1. Materials
2.1.1. Preparation of Finger-Jointed Bamboo Scrimber Specimens
2.1.2. Preparation of Finger-Jointed Bamboo Scrimber Composite Beam Specimens
2.2. Methods
2.2.1. Bending Test of Finger-Jointed Bamboo Scrimber Specimens
2.2.2. Bending Test of Finger-Jointed Bamboo Scrimber Composite Beams
3. Results and Discussion
3.1. Failure Modes
3.1.1. Failure Modes of Finger-Jointed Bamboo Scrimber
3.1.2. Failure Modes of Composite Beams
3.2. Mechanical Properties
3.2.1. Mechanical Properties of Finger-Jointed Bamboo Scrimber
3.2.2. Mechanical Properties of Finger-Jointed Bamboo Scrimber Composite Beams
Load–Displacement Curves
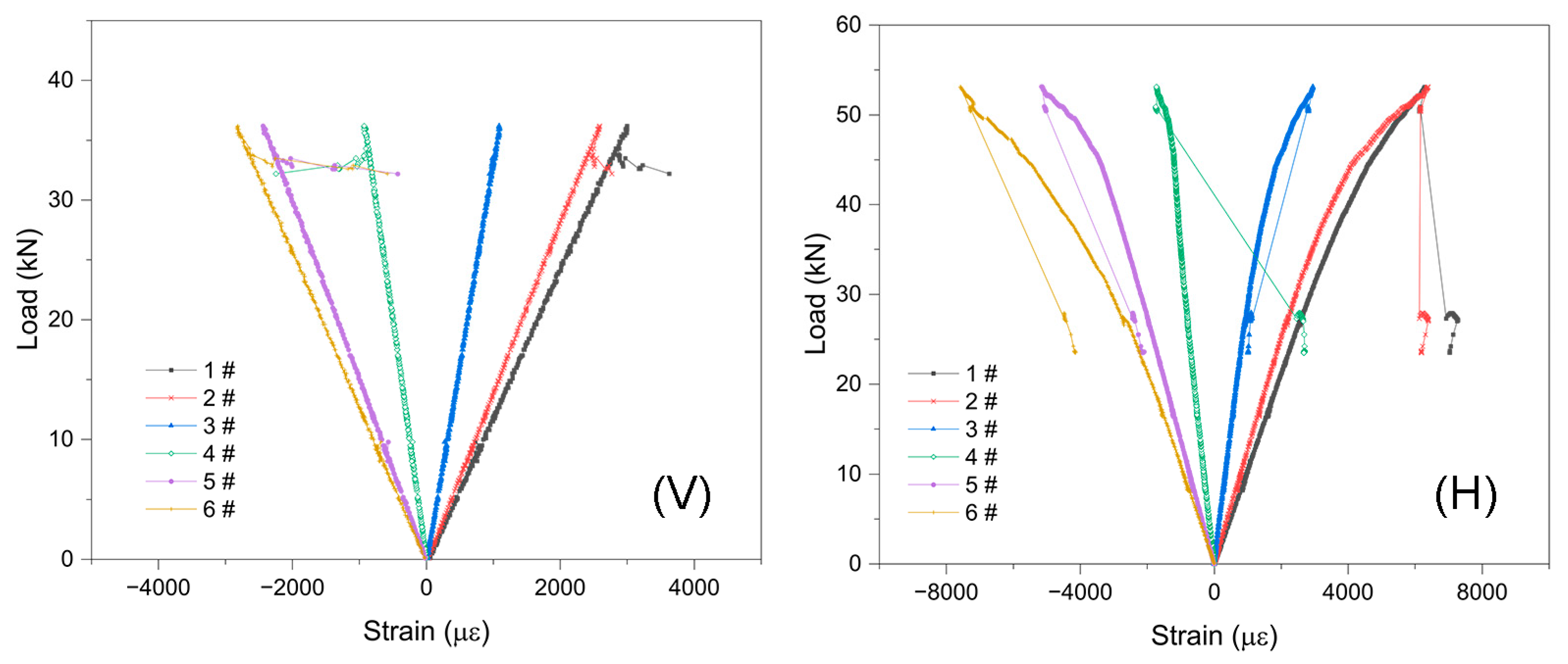
Load–Strain Curves
4. Conclusions
Author Contributions
Funding
Data Availability Statement
Conflicts of Interest
References
- Huang, Y.; Qi, Y.; Zhang, Y.; Yu, W. Progress of Bamboo Recombination Technology in China. Adv. Polym. Technol. 2019, 2019, 2723191. [Google Scholar] [CrossRef]
- Khajouei-Nezhad, M.; Semple, K.; Nasir, V.; Hu, Y.; Marggraf, G.; Hauptman, J.; Dai, C. Advances in Engineered Bamboo Processing: Material Conversion and Structure. Adv. Bamboo Sci. 2023, 5, 100045. [Google Scholar] [CrossRef]
- Qi, Y.; Wu, J.; Ren, D.; Yu, W.; Zhang, Y. The Development in Manufacture and Application Technology of Bamboo Scrimber. Sci. Silvae Sin. 2023, 59, 159–168. [Google Scholar]
- Yu, W. Current Situation and Opportunities for the Development of Bamboo Scrimber Industry in China. World Bamboo Ratt. 2019, 17, 1–4. [Google Scholar] [CrossRef]
- Li, X.; Rao, F.; Li, N.; Lei, W.; Bao, M.; Bao, Y.; Li, L.; Duan, Z.; Zu, Q.; Zhang, Y.; et al. High-Performance Bamboo Scrimber Composite Prepared from Heat-Treated Bambusa Chungii Units with Different Resin Contents for Outdoor Use. Ind. Crops Prod. 2023, 205, 117503. [Google Scholar] [CrossRef]
- Yu, Y. Preparation, Physical, Mechanical, and Interfacial Morphological Properties of Engineered Bamboo Scrimber. Constr. Build. Mater. 2017, 157, 1032–1039. [Google Scholar] [CrossRef]
- Wang, X.; Zhu, R.; Lei, W.; Su, Q.; Yu, W. The Optimization of Thermo-Mechanical Densification to Improve the Water Resistance of Outdoor Bamboo Scrimber. Forests 2023, 14, 749. [Google Scholar] [CrossRef]
- Yu, Y.; Zhu, R.; Wu, B.; Hu, Y.; Yu, W. Fabrication, Material Properties, and Application of Bamboo Scrimber. Wood Sci. Technol. 2015, 49, 83–98. [Google Scholar] [CrossRef]
- Chen, F.; Jiang, Z.; Wang, G.; Li, H.; Simth, L.M.; Shi, S.Q. The Bending Properties of Bamboo Bundle Laminated Veneer Lumber (BLVL) Double Beams. Constr. Build. Mater. 2016, 119, 145–151. [Google Scholar] [CrossRef]
- Zhang, D.; Wang, G.; Ren, W. Effect of Different Veneer-Joint Forms and Allocations on Mechanical Properties of Bamboo-Bundle Laminated Veneer Lumber. BioResources 2014, 9, 2689–2695. [Google Scholar] [CrossRef][Green Version]
- Yeh, M.-C.; Lin, Y.-L. Finger Joint Performance of Structural Laminated Bamboo Member. J. Wood Sci. 2012, 58, 120–127. [Google Scholar] [CrossRef]
- Zhou, H.; Yan, Y.; Su, N.; Fang, C.; Liu, H.; Zhang, X.; Fei, B.; Ma, X. Flexural Properties of Multiple Bamboo Beams with Connection Joints. Forests 2022, 13, 1851. [Google Scholar] [CrossRef]
- Faircloth, A.; Kumar, C.; McGavin, R.L.; Gilbert, B.P.; Leggate, W. Mechanical Performance and Bond Integrity of Finger Jointed High-Density Sub-Tropical Hardwoods for Residential Decking. Forests 2023, 14, 956. [Google Scholar] [CrossRef]
- Zhong, Y.; Wu, G.; Ren, H.; Jiang, Z. Bending Properties Evaluation of Newly Designed Reinforced Bamboo Scrimber Composite Beams. Constr. Build. Mater. 2017, 143, 61–70. [Google Scholar] [CrossRef]
- Piao, C.; Shupe, T. Mechanical Properties of Finger-Jointed Wood from Composite Utility Poles Made of Small Diameter Timber. Drv. Ind. 2016, 67, 73–78. [Google Scholar] [CrossRef][Green Version]
- Khelifa, M.; Lahouar, M.A.; Celzard, A. Flexural Strengthening of Finger-Jointed Spruce Timber Beams with CFRP. J. Adhes. Sci. Technol. 2015, 29, 2104–2116. [Google Scholar] [CrossRef]
- Pereira, M.C.D.M.; Calil Neto, C.; Icimoto, F.H.; Calil Junior, C. Evaluation of Tensile Strength of a Eucalyptus Grandis and Eucalyptus Urophyla Hybrid in Wood Beams Bonded Together by Means of Finger Joints and Polyurethane-Based Glue. Mat. Res. 2016, 19, 1270–1275. [Google Scholar] [CrossRef][Green Version]
- Liu, H.; Yang, X.; Su, Q.; Huang, A.; Fei, B.; Zhang, X. Effects of Toothed Tenon Types and Parameters on Properties of Finger-Jointed Dimensional Bamboo Lumber. Chin. J. Wood Sci. Technol. 2021, 35, 47–52. [Google Scholar]
- Li, L.; Xiao, Y.; Yang, R.Z. Experimental Study on Creep and Mechanical Behavior of Modern Bamboo Bridge Structure. KEM 2012, 517, 141–149. [Google Scholar] [CrossRef]
- Xiao, Y. Engineered Bamboo. In Nonconventional and Vernacular Construction Materials; Elsevier: Amsterdam, The Netherlands, 2016; pp. 433–452. ISBN 978-0-08-100871-3. [Google Scholar]
- Deng, M.; Chen, B.; Xie, Y.; Wang, H.; Chen, X. Experimental study on shear capacity of side-loaded bamboo-integrated beams. J. Civ. Environ. Eng. 2023, 45, 158–165. [Google Scholar]
- Zhou, J.; Chen, L.; Fu, W.; Chen, Z.; Zhao, Z.; Cheng, W.; Zhang, Z. Preparation and Performance Evaluation of Bamboo Lumber Prepared by Assembly and Glue-Curing of Naturally Arc-Shaped Segments with Finger Joints. BioResources 2015, 11, 267–280. [Google Scholar] [CrossRef] [PubMed]
- Zhou, J.; Fu, W.; Qing, Y.; Han, W.; Zhao, Z.; Zhang, B. Fabrication and Performance of a Glue-Pressed Engineered Honeycomb Bamboo (GPEHB) Structure with Finger-Jointed Ends as a Potential Substitute for Wood Lumber. BioResources 2015, 10, 3302–3313. [Google Scholar] [CrossRef][Green Version]
- Zhang, B.; Zhou, J.; Fu, W.; Luo, M.; Yan, W.; Chang, F.; Liu, Y.; Jiang, P. Mechanical Performance of Glue-Pressed Engineered Honeycomb Bamboo under Axial Compression. J. Struct. Eng. 2021, 147, 04021034. [Google Scholar] [CrossRef]
- Deng, J.; Li, H.; Zhang, D.; Chen, F.; Wang, G.; Cheng, H. The Effect of Joint Form and Parameter Values on Mechanical Properties of Bamboo-Bundle Laminated Veneer Lumber (BLVL). BioResources 2014, 9, 6765–6777. [Google Scholar] [CrossRef]
- Shan, B.; Wang, Y.; Xiao, Y.; Zhang, C. Experimental Research on RPC-steel Composite Connection for Glubam-concrete Composite Beams. J. Hunan Univ. Nat. Sci. 2020, 47, 66–75. [Google Scholar] [CrossRef]
- Shan, B.; Xiao, Y.; Zhang, W.L.; Liu, B. Mechanical Behavior of Connections for Glubam-Concrete Composite Beams. Constr. Build. Mater. 2017, 143, 158–168. [Google Scholar] [CrossRef]
- Wang, Z.; Wei, Y.; Li, N.; Zhao, K.; Ding, M. Flexural Behavior of Bamboo–Concrete Composite Beams with Perforated Steel Plate Connections. J. Wood Sci. 2020, 66, 4. [Google Scholar] [CrossRef]
- Javadian, A.; Smith, I.F.C.; Hebel, D.E. Application of Sustainable Bamboo-Based Composite Reinforcement in Structural-Concrete Beams: Design and Evaluation. Materials 2020, 13, 696. [Google Scholar] [CrossRef]
- Mao, M.; Tong, K.; Zhang, J.; Wang, J.; Li, Y. Effect of Long-Term Load on Mechanical Properties of Steel-Bamboo Combination Beams. J. Build. Mater. 2021, 24, 1280–1290. [Google Scholar]
- Shan, Q.; Tong, K.; Ding, J.; Li, Y. Short-term bending performance of prestressed steel-bamboo composite I-shaped beams. J. Harbin Inst. Technol. 2024, 56, 93–102. [Google Scholar]
- Liu, B.; Liao, W.; Zhang, T.; Yu, Y.; Dai, B.; Liu, D.; Chen, S.; Li, B. Study on Mechanical Properties of Steel-Strengthened Bamboo Beams with Webbing Opening. Forests 2024, 15, 1787. [Google Scholar] [CrossRef]
- Li, H.; Wei, Y.; Yan, L.; Semple, K.E.; Dai, C. Structural Behavior of Steel Dowel-Reinforced Cross-Laminated Bamboo and Timber Beams. Compos. Struct. 2023, 318, 117111. [Google Scholar] [CrossRef]
- Dong, W.; Wang, Z.; Zhou, J.; Gong, M. Experimental Study on Bending Properties of Cross-Laminated Timber-Bamboo Composites. Constr. Build. Mater. 2021, 300, 124313. [Google Scholar] [CrossRef]
- Zhao, Z.; Xiao, Z.; Shu, B.; Li, C.; Zhang, S. Flexural behavior of carbon fiber reinforced polymer reinforced bamboo scrimber beam. J. For. Eng. 2017, 2, 127–132. [Google Scholar] [CrossRef]
- Zhou, A.; Wang, C.; LIu, R.; Shen, Y.; Zhou, M.; Yuan, J.; Zhang, S.; Tao, J. Ultimate deformation calculation method of carbon fiber reinforced polymer reinforced parallel strand bamboo beams. J. For. Eng. 2017, 2, 115–119. [Google Scholar] [CrossRef]
- Zhou, J.; Zhao, F.; Lu, L.; Zhu, W.; Fu, H.; Xu, D.; Dai, Q.; Liu, W.; Sang, D. Experimental Research on Flexural Property of Damaged Parallel Strand Bamboo Beam Reinforced by CFRP. Ind. Constr. 2018, 48, 190–194. [Google Scholar] [CrossRef]
- Karyadi; Aqnes Sindi Safira, N.; Sulaksitaningrum, R.; Nindyawati. Improving the Flexural Rigidity of Laminated Bamboo Beams Using Fiber Reinforcement Polymer. Cogent Eng. 2024, 11, 2297505. [Google Scholar] [CrossRef]
- Qiu, Z.; Yan, M.; Yang, Y.; Li, J.; Zhu, W.; Fan, H. Flexural Behaviors of CFRP Strengthened Laminated Bamboo Arches. Constr. Build. Mater. 2021, 305, 124759. [Google Scholar] [CrossRef]
- Wu, X.; Huang, X.; Li, X.; Wu, Y. Flexural Performance of CFRP-Bamboo Scrimber Composite Beams. J. Renew. Mater. 2019, 7, 1295–1307. [Google Scholar] [CrossRef]
- Yang, Y.; Qiu, Z.; Hu, W.; Tao, Y.; Jiang, R.; Lin, J.; Liu, F.; Fan, H. Braided GFRP Sleeving Reinforced Curved Laminated Bamboo Beams: An Efficient Way to Attenuate Delamination. Compos. Struct. 2022, 300, 116141. [Google Scholar] [CrossRef]
- Lv, Q.; Ding, Y.; Liu, Y. Effect of the Nonprestressed/Prestressed BFRP Bar on Flexural Performance of the Bamboo Beam. Adv. Polym. Technol. 2019, 2019, 7143023. [Google Scholar] [CrossRef]
- Zhong, Z.; Zhao, S.; Chen, K.; Zhou, Q. Study on long-term creep performance of full-culm Moso bamboo beam. Build. Struct. 2023, 53, 118–124. [Google Scholar] [CrossRef]
- Li, L.; Huang, C.; Guo, N. Flexural Behaviour of Bamboo Scrimber Beams with Different Composite and Reinforced Technology: A Literature Review. Case Stud. Constr. Mater. 2024, 20, e02805. [Google Scholar] [CrossRef]
- Wei, Y.; Jiang, S.; Lv, Q.; Zhang, Q.; Wang, L.; Lv, Z. Experimental study on flexural performance of bamboo beams. Build. Struct. 2010, 40, 88–91. [Google Scholar] [CrossRef]
- Aschheim, M.; Gil-Martín, L.M.; Hernández-Montes, E. Engineered Bamboo I-Joists. J. Struct. Eng. 2010, 136, 1619–1624. [Google Scholar] [CrossRef]
- LY/T 3191-2020; Structural Bamboo Scrimber. Standards Press of China: Beijing, China, 2020.
- Yang, L.; Zhou, Y.; Zhang, Q.; Liu, S. Failure Characteristics of Structural Finger Jointed Timber. For. Sci. Technol. 2015, 40, 45–47. [Google Scholar]
- Janowiak, J.J.; Blankenhorn, P.R.; Manbeck, H.B. Finger-Joint Strength Evaluations of Three Northeastern Hardwoods. For. Prod. J. 1993, 43, 23. [Google Scholar]
- GB/T 26899-2011; Structural Glued Laminated Timber. Standards Press of China: Beijing, China, 2011.










| Specimens | MOE/MPa | Ratio/% | MOR/MPa | Ratio/% |
|---|---|---|---|---|
| Cv | 12,577.21 | 116.44 | ||
| V | 13,216.59 | 5.08 | 48.27 | 58.55 |
| Ch | 11,934.45 | 101.61 | ||
| H | 13,267.42 | 11.17 | 45.23 | 55.49 |
| Characteristic | Source of Variance | Sum of Squares | Degrees of Freedom | Mean Squares | F-Statistic | p-Value | Significance Level |
|---|---|---|---|---|---|---|---|
| MOE * | Cv and Ch | 7,436,416.320 | 1 | 7,436,416.320 | 15.938 | 0.000 | *** |
| Cv and V | 6,925,798.612 | 1 | 6,925,798.612 | 16.399 | 0.000 | *** | |
| Ch and H | 31,531,905.50 | 1 | 31,531,905.50 | 59.049 | 0.000 | *** | |
| V and H | 43,180.814 | 1 | 43,180.814 | 0.088 | 0.768 | * | |
| MOR | Cv and Ch | 3955.206 | 1 | 3955.206 | 54.995 | 0.000 | *** |
| Cv and V | 78,720.503 | 1 | 78,720.503 | 1698.237 | 0.000 | *** | |
| Ch and H | 56,418.307 | 1 | 56,418.307 | 719.855 | 0.000 | *** | |
| V and H | 154.535 | 1 | 154.535 | 2.926 | 0.092 | * |
| Specimens | Ultimate Load/kN | Max Displacement/mm | MOR/MPa | MOE/MPa |
|---|---|---|---|---|
| V | 36.1 | 11.2 | 65.02 | 26,228.57 |
| H | 53.1 | 18.7 | 44.33 | 27,308.57 |
Disclaimer/Publisher’s Note: The statements, opinions and data contained in all publications are solely those of the individual author(s) and contributor(s) and not of MDPI and/or the editor(s). MDPI and/or the editor(s) disclaim responsibility for any injury to people or property resulting from any ideas, methods, instructions or products referred to in the content. |
© 2024 by the authors. Licensee MDPI, Basel, Switzerland. This article is an open access article distributed under the terms and conditions of the Creative Commons Attribution (CC BY) license (https://creativecommons.org/licenses/by/4.0/).
Share and Cite
Huang, C.; Bao, Y.; Li, N.; Shu, Y. Bending Properties of Finger-Jointed Bamboo Scrimber Composite Beams. Forests 2024, 15, 2116. https://doi.org/10.3390/f15122116
Huang C, Bao Y, Li N, Shu Y. Bending Properties of Finger-Jointed Bamboo Scrimber Composite Beams. Forests. 2024; 15(12):2116. https://doi.org/10.3390/f15122116
Chicago/Turabian StyleHuang, Chengjian, Yongjie Bao, Neng Li, and Yi Shu. 2024. "Bending Properties of Finger-Jointed Bamboo Scrimber Composite Beams" Forests 15, no. 12: 2116. https://doi.org/10.3390/f15122116
APA StyleHuang, C., Bao, Y., Li, N., & Shu, Y. (2024). Bending Properties of Finger-Jointed Bamboo Scrimber Composite Beams. Forests, 15(12), 2116. https://doi.org/10.3390/f15122116
