A Forest Fire Prediction Model Based on Meteorological Factors and the Multi-Model Ensemble Method
Abstract
1. Introduction
2. Literature Review
3. Methodology
3.1. The Study Flowchart
3.2. Extreme Gradient Boosting (XGB)
3.3. Random Forest (RF)
- (i)
- Randomly select p variables from a total of M variables;
- (ii)
- Select the optimal variable/division point among the p variables;
- (iii)
- Split the node into two child nodes.
3.4. Logistic Regression (LR)
3.5. The k-Nearest Neighbor (k-NN)
3.6. Support Vector Machine (SVM)
3.7. Performance Evaluation Metrics
4. Data Preprocessing
4.1. Target Area
4.2. Proxy Variables
4.3. Data Processing by Comparing the Distribution of Forest Fires
4.4. Selection of the Independent Variables Through Variable Selection
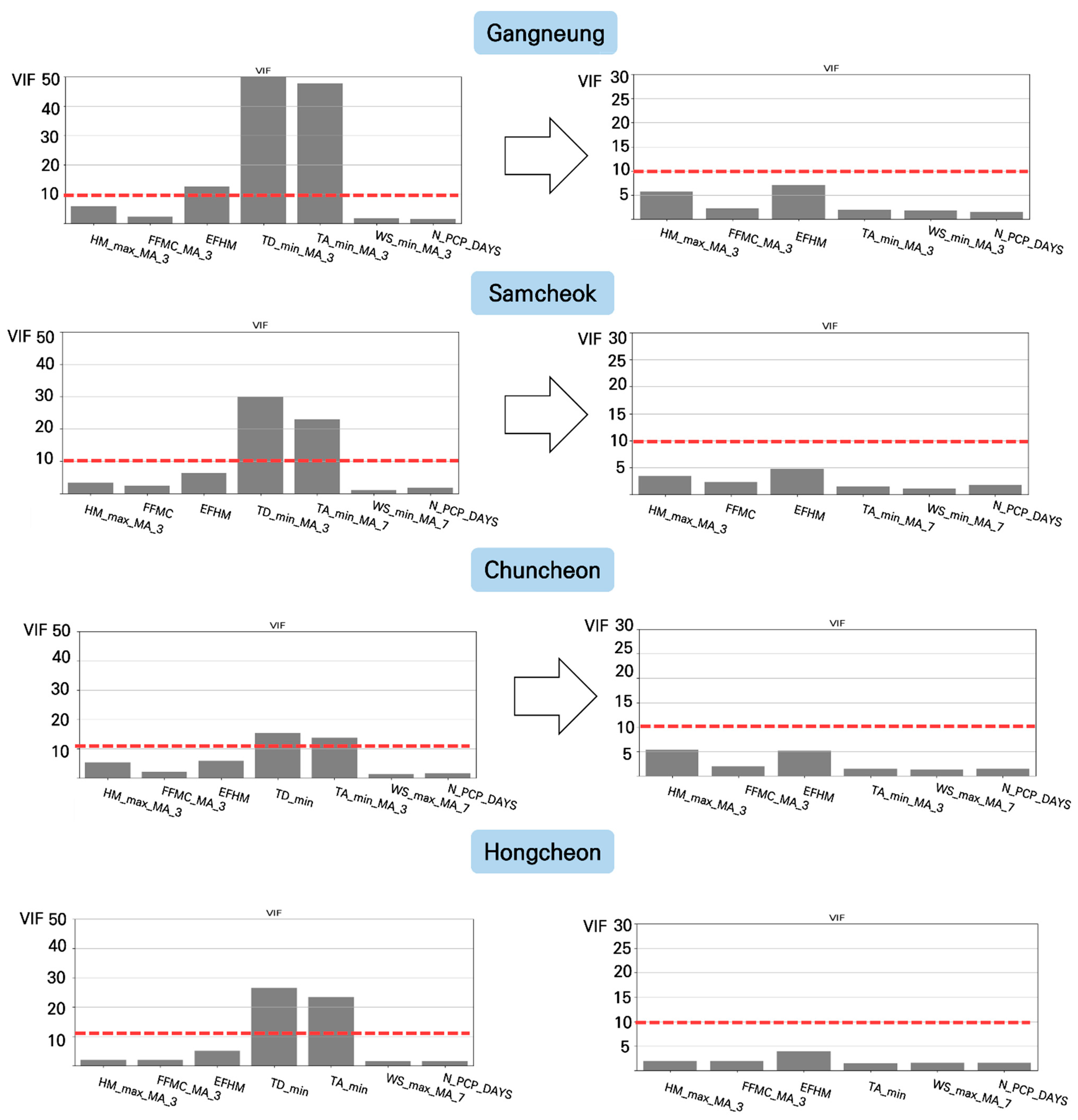
4.5. Multicollinearity Analysis
4.6. Synthetic Minority Oversampling Technique (SMOTE)
5. Application and Results
5.1. The Prediction Results from a Single Model
5.2. The Prediction Results from the Multi-Model Ensemble (MME) Method
6. Discussion
7. Conclusions
- (1)
- When comparing the prediction results of a single model and the MME model using the F1-score, the MME model produced the best prediction results (Gangneung 6.8%, Samcheok 8.3%, Chuncheon 3.3%, and Hongcheon 4.5%). Additionally, the false positive (FP) rate decreased in all four target areas;
- (2)
- Since the MME model developed in this study predicts the number of forest fires based on meteorological factors, combining it with meteorological forecast data could enable region-specific forest fire predictions, allowing for proactive measures to be implemented that would contribute to the preservation of forest resources and ecosystems;
- (3)
- By providing predictions on the number of forest fires, intuitive information on how many fires are likely to occur can be delivered. This information can assist local forest fire managers during decision-making, when planning forest fire prevention strategies. Furthermore, if climate change scenario data are applied, it is possible to predict the number of future forest fires due to climate change and establish mid- to long-term forest fire prevention measures at the local level.
Author Contributions
Funding
Data Availability Statement
Conflicts of Interest
Appendix A

References
- 2020 Forest Basic Statistics. Available online: https://www.data.go.kr/data/15067764/fileData.do?recommendDataYn=Y (accessed on 12 October 2024).
- Jang, E.; Kang, Y.; Im, J.; Lee, D.W.; Yoon, J.; Kim, S.K. Detection and Monitoring of Forest Fires Using Himawari-8 Geostationary Satellite Data in South Korea. Remote Sens. 2019, 11, 271. [Google Scholar] [CrossRef]
- Lee, H.W.; Tak, S.H.; Lee, S.H. Numerical Experiment on the Variation of Atmospheric Circulation due to Wild Fire. J. Environ. Sci. Int. 2013, 22, 173–185. [Google Scholar] [CrossRef]
- Park, H.S.; Lee, S.Y.; Chae, H.M.; Lee, W.K. A Study on the Development of Forest Fire Occurrence Probability Model using Canadian Forest Fire Weather Index -Occurrence of Forest Fire in Kangwon Province. J. Korean Soc. Hazard Mitig. 2009, 9, 50–100. [Google Scholar]
- Ryu, S.R.; Choi, H.T.; Lim, J.H.; Lee, I.K.; Ahn, Y.S. Post-Fire Restoration Plan for Sustainable Forest Management in South Korea. Forests 2017, 8, 188. [Google Scholar] [CrossRef]
- Jeong, K.O.; Kim, D.J. A Study on the Improvement of Safety Management by Analyzing the Current Status and Response System of Forest Fire Accidents. J. Korean Soc. Disaster Inf. 2022, 18, 457–469. [Google Scholar]
- Bae, M.; Chae, H. Regional Characteristics of Forest Fire Occurrences in Korea from 1990 to 2018. J. Korean Soc. Hazard Mitig. 2019, 19, 305–313. [Google Scholar] [CrossRef]
- Jeon, B.; Chae, H. A Study of Analysis on Relationship between Korea Forest Fire Occurrence and Weather Factor. Korean Soc. Hazard Mitig. 2017, 17, 197–206. [Google Scholar] [CrossRef]
- Munger, T.T. Graphic Method of Representing and Comparing Drought Intensities.1. Mon. Weather. Rev. 1916, 44, 642–643. [Google Scholar] [CrossRef]
- Westerling, A.L.; Hidalgo, H.G.; Cayan, D.R.; Swetnam, T.W. Warming and Earlier Spring Increase Western U.S. Forest Wildfire Activity. Science 2006, 313, 940–943. [Google Scholar] [CrossRef]
- Flannigan, M.D.; Krawchuk, M.A.; de Groot, W.J.; Wotton, B.M.; Gowman, L.M. Implications of Changing Climate for Global Wildland Fire. Int. J. Wildland Fire 2009, 18, 483. [Google Scholar] [CrossRef]
- Dowdy, A.J. Climatological Variability of Fire Weather in Australia. J. Appl. Meteorol. Climatol. 2018, 57, 221–234. [Google Scholar] [CrossRef]
- Veraverbeke, S.; Rogers, B.M.; Goulden, M.L.; Jandt, R.R.; Miller, C.E.; Wiggins, E.B.; Randerson, J.T. Lightning as a Major Driver of Recent Large Fire Years in North American Boreal Forests. Nat. Clim. Chang. 2017, 7, 529–534. [Google Scholar] [CrossRef]
- Dowdy, A.J.; Mills, G.A. Atmospheric and Fuel Moisture Characteristics Associated with Lightning-Attributed Fires. J. Appl. Meteorol. Climatol. 2012, 51, 2025–2037. [Google Scholar] [CrossRef]
- WSL. Introduction to Fire. WikiFire. Available online: https://wikifire.wsl.ch/tiki-index515f.html?page=Introduction&structure=Fire (accessed on 14 October 2024).
- Keetch, J.J.; Byram, G.M. A Drought Index for Forest Fire Control; Southeastern Forest Experiment Station: Asheville, NC, USA, 1968.
- Burgan, R.E.; Cohen, J.D.; Deeming, J.E. Manually Calculating Fire-Danger Rating—1978 National Fire-Danger Rating System; USDA Forest Service: Washington, DC, USA, 1977.
- Deeming, J.E.; Burgan, R.E.; Cohen, J.D. The National Fire Danger Rating System—1978; USDA Forest Service: Washington, DC, USA, 1977.
- Nesterov, V.G. Combustibility of the Forest and Methods for Its Determination; USSR State Industry Press: Moscow, Russia, 1949. [Google Scholar]
- Cortez, P.; Morais, A. A Data Mining Approach to Predict Forest Fires Using Meteorological Data; APPIA: Lisbon, Portugal, 2007. [Google Scholar]
- Xie, Y.; Peng, M. Forest fire forecasting using ensemble learning approaches. Neural Comput. Appl. 2018, 31, 4541–4550. [Google Scholar] [CrossRef]
- Lai, C.; Zeng, S.; Guo, W.; Liu, X.; Li, Y.; Liao, B. Forest Fire Prediction with Imbalanced Data Using a Deep Neural Network Method. Forests 2022, 13, 1129. [Google Scholar] [CrossRef]
- Nebot, À.; Mugica, F. Forest Fire Forecasting Using Fuzzy Logic Models. Forests 2021, 12, 1005. [Google Scholar] [CrossRef]
- Liang, H.; Zhang, M.; Wang, H. A Neural Network Model for Wildfire Scale Prediction Using Meteorological Factors. IEEE Access 2019, 7, 176746–176755. [Google Scholar] [CrossRef]
- Sung, J.H.; Ryu, Y.; Seong, K.-W. Deep Learning-Based Prediction of Fire Occurrence with Hydroclimatic Condition and Drought Phase over South Korea. KSCE J. Civ. Eng. 2022, 26, 2002–2012. [Google Scholar] [CrossRef]
- Carta, F.; Zidda, C.; Putzu, M.; Loru, D.; Anedda, M.; Giusto, D. Advancements in Forest Fire Prevention: A Comprehensive Survey. Sensors 2023, 23, 6635. [Google Scholar] [CrossRef]
- Chen, B.; Bai, D.; Lin, H.; Jiao, W. FlameTransNet: Advancing Forest Flame Segmentation with Fusion and Augmentation Techniques. Forests 2023, 14, 1887. [Google Scholar] [CrossRef]
- Peruzzi, G.; Pozzebon, A.; Van Der Meer, M. Fight Fire with Fire: Detecting Forest Fires with Embedded Machine Learning Models Dealing with Audio and Images on Low Power IoT Devices. Sensors 2023, 23, 783. [Google Scholar] [CrossRef] [PubMed]
- Talaat, F.; ZainEldin, H. An improved fire detection approach based on YOLO-v8 for smart cities. Neural Comput. Appl. 2023, 35, 20939–20954. [Google Scholar] [CrossRef]
- Duangsuwan, S.; Klubsuwan, K. Accuracy Assessment of Drone Real-Time Open Burning Imagery Detection for Early Wildfire Surveillance. Forests 2023, 14, 1852. [Google Scholar] [CrossRef]
- Zheng, S.; Zou, X.; Gao, P.; Zhang, Q.; Hu, F.; Zhou, Y.; Wu, Z.; Wang, W.; Chen, S. A Forest Fire Recognition Method Based on Modified Deep CNN Model. Forests 2024, 15, 111. [Google Scholar] [CrossRef]
- Jesús, S.; Schulte, E.; Schmuck, G.; Camia, A.; Strobl, P.; Liberta, G.; Giovando, C.; Boca, R.; Sedano, F.; Kempeneers, P.; et al. Comprehensive Monitoring of Wildfires in Europe: The European Forest Fire Information System (EFFIS). In Approaches to Managing Disaster-Assessing Hazards, Emergencies and Disaster Impacts; IntechOpen: London, UK, 2012. [Google Scholar] [CrossRef]
- Wahyono; Harjoko, A.; Dharmawan, A.; Adhinata, F.D.; Kosala, G.; Jo, K.-H. Real-Time Forest Fire Detection Framework Based on Artificial Intelligence Using Color Probability Model and Motion Feature Analysis. Fire 2022, 5, 23. [Google Scholar] [CrossRef]
- Foggia, P.; Saggese, A.; Vento, M. Real-Time Fire Detection for Video-Surveillance Applications Using a Combination of Experts Based on Color, Shape, and Motion. IEEE Trans. Circuits Syst. Video Technol. 2015, 25, 1545–1556. [Google Scholar] [CrossRef]
- Sharma, S.; Khanal, P. Forest Fire Prediction: A Spatial Machine Learning and Neural Network Approach. Fire 2024, 7, 205. [Google Scholar] [CrossRef]
- Ahmad, F.; Waseem, Z.; Ahmad, M.; Ansari, M.Z. Forest Fire Prediction Using Machine Learning Techniques. In Proceedings of the 2023 International Conference on Recent Advances in Electrical, Electronics & Digital Healthcare Technologies (REEDCON), New Delhi, India, 1–3 May 2023; Volume 63, pp. 705–708. [Google Scholar] [CrossRef]
- Cardil, A.; Monedero, S.; Ramírez, J.; Silva, C.A. Assessing and reinitializing wildland fire simulations through satellite active fire data. J. Environ. Manag. 2019, 231, 996–1003. [Google Scholar] [CrossRef]
- Son, M.-W.; Kim, C.-G.; Kim, B.-S. Development of an Algorithm for Assessing the Scope of Large Forest Fire Using VIIRS-Based Data and Machine Learning. Remote Sens. 2024, 16, 2667. [Google Scholar] [CrossRef]
- Shadrin, D.; Illarionova, S.; Gubanov, F.; Evteeva, K.; Mironenko, M.; Levchunets, I.; Belousov, R.; Burnaev, E. Wildfire Spreading Prediction Using Multimodal Data and Deep Neural Network Approach. Sci. Rep. 2024, 14, 2606. [Google Scholar] [CrossRef]
- Marjani, M.; Mahdianpari, M.; Mohammadimanesh, F. CNN-BiLSTM: A Novel Deep Learning Model for Near-Real-Time Daily Wildfire Spread Prediction. Remote Sens. 2024, 16, 1467. [Google Scholar] [CrossRef]
- Chen, T.; Guestrin, C. XGBoost A Scalable Tree Boosting System. In Proceedings of the KDD’16: The 22nd ACM SIGKDD International Conference on Knowledge Discovery and Data Mining Association for Computing Machinery, San Francisco, CA, USA, 13–17 August 2016; pp. 785–794. [Google Scholar] [CrossRef]
- Narvaez, J.P.; Guillen, M.; Alcañiz, M. Prediction Motor Insurance Claims Using Telematics Data-XGBoost versus Logistic Regression. Risks 2019, 7, 70. [Google Scholar] [CrossRef]
- Ma, M.; Zhao, G.; He, B.; Li, Q.; Dong, H.; Wang, S.; Wang, Z. XGBoost-based method for flash flood risk assessment. J. Hydrol. 2021, 598, 126382. [Google Scholar] [CrossRef]
- Breiman, L. Random Forest. Mach. Learn. 2001, 45, 5–32. [Google Scholar] [CrossRef]
- Taylor, S.W.; Alexander, M.E. Science, technology, and human factors in fire danger rating: The Canadian experience. Int. J. Wildland Fire 2006, 15, 121–135. [Google Scholar] [CrossRef]
- Ma, W.; Feng, Z.; Cheng, Z.; Chen, S.; Wang, F. Identifying Forest Fire Driving Factors and Related Impacts in China Using Random Forest Algorithm. Forests 2020, 11, 507. [Google Scholar] [CrossRef]
- Siroky, D.S. Navigating Random Forests and related advances in algorithmic modeling. Stat. Surv. 2009, 3, 147–163. [Google Scholar] [CrossRef]
- Park, S.W.; Kim, C.G.; Youm, S.K. Establishment of an IoT-based smart factory and data analysis model for the quality management of SMEs die-casting companies in Korea. Int. J. Distrib. Sens. Netw. 2019, 15, 10. [Google Scholar] [CrossRef]
- Rosadi, D.; Andriyani, W.; Arisanty, D.; Agustina, D. Prediction of forest fire occurrence in peatlands using machine learning approaches. In Proceedings of the 2020 3rd International Seminar on Research of Information Technology and Intelligent Systems, Yogyakarta, Indonesia, 10–11 December 2020; pp. 48–51. [Google Scholar] [CrossRef]
- Yue, W.; Ren, C.; Liang, Y.; Liang, J.; Lin, X.; Yin, A.; Wei, Z. Assessment of wildfire susceptibility and wildfire threats to ecological environment and urban development based on GIS and multi-source data: A case study of Guilin, China. Remote Sens. 2023, 15, 2659. [Google Scholar] [CrossRef]
- Pacheco, A.d.P.; Junior, J.A.d.S.; Ruiz-Armenteros, A.M.; Henriques, R.F.F. Assessment of k-Nearest Neighbor and Random Forest Classifiers for Mapping Forest Fire Areas in Central Portugal Using Landsat-8, Sentinel-2, and Terra Imagery. Remote Sens. 2021, 13, 1345. [Google Scholar] [CrossRef]
- Rezaei Barzani, A.; Pahlavani, P.; Ghorbanzadeh, O. Ensembling of decision trees, KNN, and logistic regression with soft-voting method for wildfire susceptibility mapping. ISPRS Ann. Photogramm. Remote Sens. Spat. Inf. Sci. 2023, 10, 647–652. [Google Scholar] [CrossRef]
- Guo, G.; Wang, H.; Bell, D.; Bi, Y.; Greer, K. KNN model-based approach in classification. In On the Move to Meaningful Internet Systems 2003; Springer: Berlin/Heidelberg, Germany, 2003; Volume 2003, pp. 986–996. [Google Scholar] [CrossRef]
- Cortes, C.; Vapnik, V. Support-vector networks. Mach. Learn. 1995, 20, 273–297. [Google Scholar] [CrossRef]
- Park, J.J.; Kim, K.M. Recognition of Handwritten Numerals using SVM Classifiers. J. Korea Inst. Converg. Signal Process. 2007, 8, 136–142. [Google Scholar]
- Gigović, L.; Pourghasemi, H.R.; Drobnjak, S.; Bai, S. Testing a New Ensemble Model Based on SVM and Random Forest in Forest Fire Susceptibility Assessment and Its Mapping in Serbia’s Tara National Park. Forests 2019, 10, 408. [Google Scholar] [CrossRef]
- Pang, Y.; Li, Y.; Feng, Z.; Feng, Z.; Zhao, Z.; Chen, S.; Zhang, H. Forest Fire Occurrence Prediction in China Based on Machine Learning Methods. Remote Sens. 2022, 14, 5546. [Google Scholar] [CrossRef]
- Han, S.; Qubo, C.; Meng, H. Parameter selection in SVM with RBF kernel function. In Proceedings of the World Automation Congress 2012, Puerto Vallarta, Mexico, 24–28 June 2012; pp. 1–4. [Google Scholar]
- Elrahman, S.M.; Abraham, A. A Review of Class Imbalance Problem. J. Netw. Innov. Comput. 2013, 1, 9. [Google Scholar]
- Korea Forest Service. 2023 Forest Cover Map (1:5000). Available online: https://map.forest.go.kr/forest/ (accessed on 13 October 2024).
- Kim, N.; Kwak, J.; Kim, M.I. Numerical Simulations of Large Forest Fires in the East Coastal Region of Korea Considering the Yangganjipung Local Wind. J. Korean Soc. Hazard Mitig. 2021, 21, 39–48. [Google Scholar] [CrossRef]
- GloH2O. Köppen-Geiger Climate Classification. Available online: https://www.gloh2o.org/koppen/ (accessed on 13 October 2024).
- Won, M.S.; Lee, M.B.; Lee, W.K.; Yoon, S.H. Prediction of Forest Fire Danger Rating over the Korean Peninsula with the Digital Forecast Data and Daily Weather Index (DWI) Model. Korean J. Agric. For. Meteorol. 2021, 14, 1–10. [Google Scholar] [CrossRef]
- Choi, J.; Park, S. Impacts of Seasonal Precipitation and Dryness on Regional Occurrences of Wildfires in South Korea. J. Korean Assoc. Reg. Geogr. 2020, 26, 307–319. [Google Scholar] [CrossRef]
- Jeon, H.-E.; Ha, K.-J.; Kim, H.-R. A Study on Characteristics of Climate Variability and Changes in Weather Indexes in Busan Since 1904. Atmosphere 2023, 33, 1–20. [Google Scholar] [CrossRef]
- Van Wagner, C.E. Development and structure of the Canadian forest fire weather index system. In Forestry Technical Report 2014 Canadian Forestry Service; CABI: Wallingford, UK, 1987; p. 35. [Google Scholar]
- Schwertman, N.C.; Owens, M.A.; Adnan, R. A simple more general boxplot method for identifying outliers. Comput. Stat. Data Anal. 2004, 47, 165–174. [Google Scholar] [CrossRef]
- Reif, M.; Shafait, F. Efficient feature size reduction via predictive forward selection. Pattern Recognit. 2014, 47, 1664–1673. [Google Scholar] [CrossRef]
- Pourghasemi, H.R.; Gayen, A.; Lasaponara, R.; Tiefenbacher, J.P. Application of learning vector quantization and different machine learning techniques to assessing forest fire influence factors and spatial modelling. Environ. Res. 2020, 184, 109321. [Google Scholar] [CrossRef] [PubMed]
- Pérez-Porras, F.-J.; Triviño-Tarradas, P.; Cima-Rodríguez, C.; Meroño-de-Larriva, J.-E.; García-Ferrer, A.; Mesas-Carrascosa, F.-J. Machine Learning Methods and Synthetic Data Generation to Predict Large Wildfires. Sensors 2021, 21, 3694. [Google Scholar] [CrossRef] [PubMed]
- Al-Bashiti, M.K.; Naser, M.Z. Machine learning for wildfire classification: Exploring blackbox, eXplainable, symbolic, and SMOTE methods. Nat. Hazards Res. 2022, 2, 154–165. [Google Scholar] [CrossRef]
- Xu, Y.; Zhou, K.; Zhang, F. Modeling Wildfire Initial Attack Success Rate Based on Machine Learning in Liangshan, China. Forests 2023, 14, 740. [Google Scholar] [CrossRef]
- Chawla, N.V.; Bowyer, K.W.; Hall, L.O.; Kegelmeyer, W.P. SMOTE: Synthetic Minority Over-sampling Technique. J. Artif. Intell. Res. 2002, 16, 321–357. [Google Scholar] [CrossRef]
- Chae, K.; Lee, Y.; Cho, Y.; Park, J. Development of a Gangwon Province Forest Fire Prediction Model using Machine Learning and Sampling. Korea J. BigData 2018, 3, 71–78. [Google Scholar] [CrossRef]
- Stojanova, D.; Kobler, A.; Ogrinc, P.; Ženko, B.; Džeoski, S. Estimating the risk of fire outbreaks in the natural environment. Data Min. Knowl. Discov. 2012, 24, 411–442. [Google Scholar] [CrossRef]
- Lee, C.; Lim, M.; Lee, Y.M. Machine Learning for Big Data Analytics in Development of Wildfire Prediction Models. J. Korean Soc. Hazard Mitig. 2023, 23, 29–39. [Google Scholar] [CrossRef]


















| Data | Name | Source | Unit | Period (Year) | Abbreviation |
|---|---|---|---|---|---|
| Forest fire data | Forest fire occurrence | Korea Forest Service (KFS) | - | 1991~2022 | - |
| Meteorological data | Wind speed | Korea Meteorological Administration (KMA) | m/s | WS | |
| Temperature | °C | TA | |||
| Relative humidity | % | HM | |||
| Dew point temperature | °C | TD | |||
| Precipitation | mm | PCP | |||
| Proxy variables | Fine fuel moisture code | - | - | FFMC | |
| Effective humidity | % | EFHM | |||
| No precipitation days | day | N_PCP_days |
| Region | Type | Forest Fire | Non-Forest Fire | Total |
|---|---|---|---|---|
| Gangneung | Before processing | 179 | 11,509 | 11,688 |
| After processing | 163 | 6686 | 6849 | |
| Samcheok | Before processing | 114 | 11,574 | 11,688 |
| After processing | 99 | 6641 | 6740 | |
| Chuncheon | Before processing | 203 | 11,485 | 11,688 |
| After processing | 186 | 5970 | 6156 | |
| Hongcheon | Before processing | 200 | 11,488 | 11,688 |
| After processing | 171 | 6431 | 6602 |
| Region | Relative Humidity | FFMC | Effective Humidity | Temperature | Wind Speed | No Precipitation Days | |
|---|---|---|---|---|---|---|---|
| Gangneung | MA | 3 days | 3 days | today | 3 days | 3 days | today |
| Type | max | - | - | min | min | ||
| Samcheok | MA | 3 days | today | today | 7 days | 7 days | today |
| Type | max | - | - | min | min | - | |
| Chuncheon | MA | 3 days | 3 days | today | 3 days | 7 days | today |
| Type | min | - | - | min | max | - | |
| Hongcheon | MA | 3 days | 3 days | today | today | 7 days | today |
| Type | max | - | - | min | max | - |
| Region | Type | Forest Fire | Non-Forest Fire | Total |
|---|---|---|---|---|
| Gangneung | Before | 163 | 6686 | 6849 |
| After | 3343 | 6686 | 10,029 | |
| Samcheok | Before | 99 | 6641 | 6740 |
| After | 3320 | 6641 | 9961 | |
| Chuncheon | Before | 186 | 5970 | 6156 |
| After | 2985 | 5970 | 8955 | |
| Hongcheon | Before | 171 | 6431 | 6602 |
| After | 3215 | 6431 | 9646 |
| Region | Type | Evaluation | XGB | SVM | RF | LR | k-NN | Ensemble |
|---|---|---|---|---|---|---|---|---|
| Gangneung | Training | F1-score | 0.82 | 0.66 | 0.91 | 0.50 | 0.79 | 0.89 |
| Accuracy | 0.99 | 0.97 | 0.99 | 0.95 | 0.98 | 0.99 | ||
| Validation | F1-score | 0.73 | 0.61 | 0.72 | 0.54 | 0.64 | 0.78 | |
| Accuracy | 0.98 | 0.96 | 0.98 | 0.95 | 0.97 | 0.98 | ||
| Samcheok | Training | F1-score | 0.92 | 0.75 | 0.90 | 0.64 | 0.86 | 0.95 |
| Accuracy | 0.99 | 0.99 | 0.99 | 0.98 | 0.99 | 0.99 | ||
| Validation | F1-score | 0.72 | 0.56 | 0.69 | 0.45 | 0.67 | 0.78 | |
| Accuracy | 0.99 | 0.97 | 0.99 | 0.97 | 0.98 | 0.99 | ||
| Chuncheon | Training | F1-score | 0.88 | 0.71 | 0.93 | 0.55 | 0.81 | 0.93 |
| Accuracy | 0.99 | 0.98 | 0.99 | 0.96 | 0.98 | 0.99 | ||
| Validation | F1-score | 0.90 | 0.81 | 0.90 | 0.74 | 0.82 | 0.93 | |
| Accuracy | 0.99 | 0.97 | 0.98 | 0.96 | 0.97 | 0.99 | ||
| Hongcheon | Training | F1-score | 0.88 | 0.75 | 0.93 | 0.62 | 0.83 | 0.93 |
| Accuracy | 0.99 | 0.98 | 0.99 | 0.97 | 0.99 | 0.99 | ||
| Validation | F1-score | 0.86 | 0.71 | 0.89 | 0.72 | 0.74 | 0.93 | |
| Accuracy | 0.98 | 0.97 | 0.99 | 0.97 | 0.97 | 0.99 |
Disclaimer/Publisher’s Note: The statements, opinions and data contained in all publications are solely those of the individual author(s) and contributor(s) and not of MDPI and/or the editor(s). MDPI and/or the editor(s) disclaim responsibility for any injury to people or property resulting from any ideas, methods, instructions or products referred to in the content. |
© 2024 by the authors. Licensee MDPI, Basel, Switzerland. This article is an open access article distributed under the terms and conditions of the Creative Commons Attribution (CC BY) license (https://creativecommons.org/licenses/by/4.0/).
Share and Cite
Choi, S.; Son, M.; Kim, C.; Kim, B. A Forest Fire Prediction Model Based on Meteorological Factors and the Multi-Model Ensemble Method. Forests 2024, 15, 1981. https://doi.org/10.3390/f15111981
Choi S, Son M, Kim C, Kim B. A Forest Fire Prediction Model Based on Meteorological Factors and the Multi-Model Ensemble Method. Forests. 2024; 15(11):1981. https://doi.org/10.3390/f15111981
Chicago/Turabian StyleChoi, Seungcheol, Minwoo Son, Changgyun Kim, and Byungsik Kim. 2024. "A Forest Fire Prediction Model Based on Meteorological Factors and the Multi-Model Ensemble Method" Forests 15, no. 11: 1981. https://doi.org/10.3390/f15111981
APA StyleChoi, S., Son, M., Kim, C., & Kim, B. (2024). A Forest Fire Prediction Model Based on Meteorological Factors and the Multi-Model Ensemble Method. Forests, 15(11), 1981. https://doi.org/10.3390/f15111981

