Forest Restoration Thinning Has Minimal Impacts on Surface Soil Carbon in a Second-Growth Temperate Rainforest
Abstract
1. Introduction
2. Materials and Methods
2.1. Study Area and Experimental Design
2.2. Treatment Applications
2.3. Forest Structure Measurements
2.4. Soil Sample Collection and Analysis
2.5. Forest Vegetation Simulator
2.6. Statistical Analysis
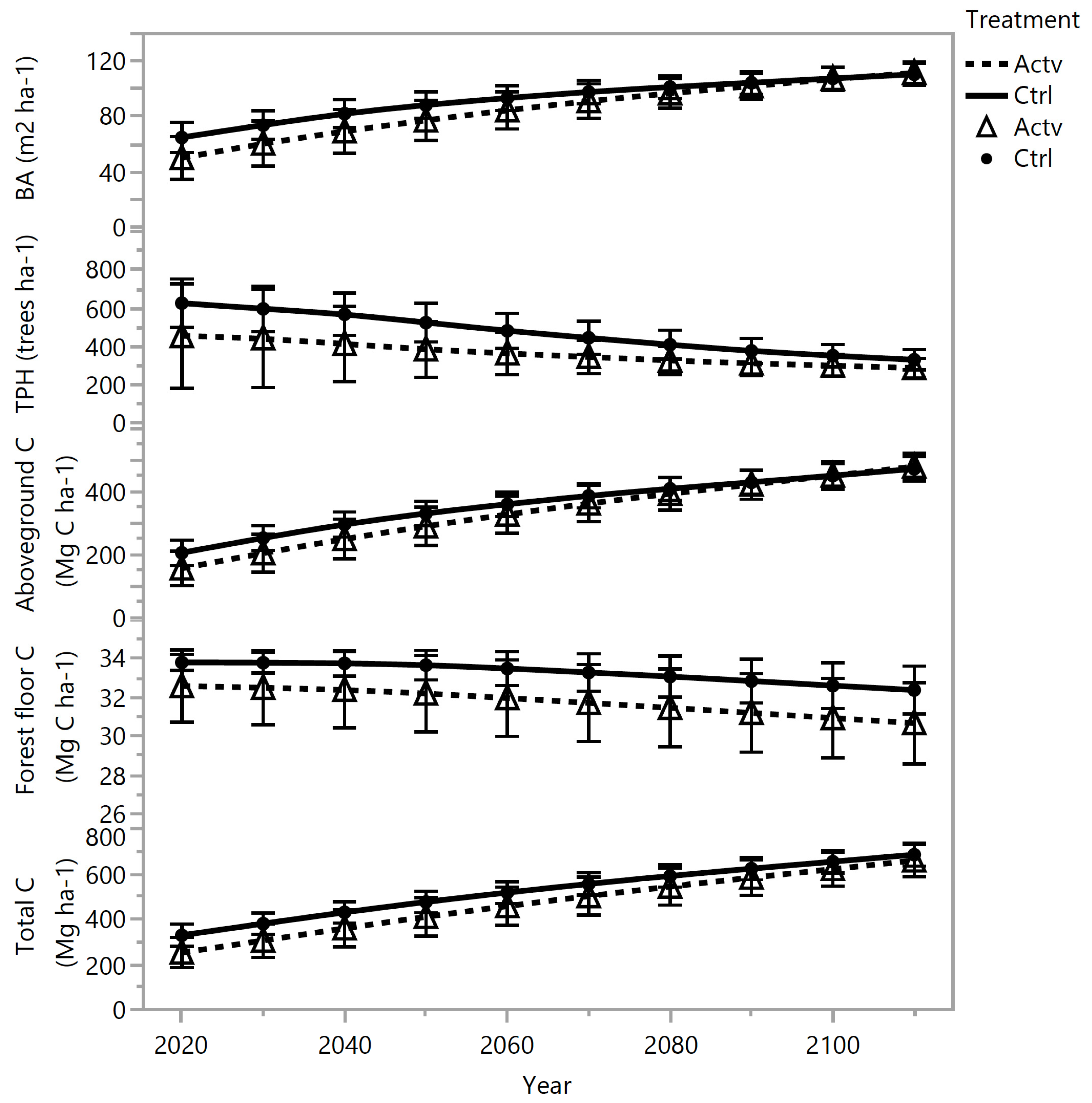
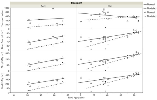
3. Results
Forest Vegetation Simulator Models and Comparisons
4. Discussion
5. Conclusions
Author Contributions
Funding
Data Availability Statement
Acknowledgments
Conflicts of Interest
References
- Case, M.J.; Johnson, B.G.; Bartowitz, K.J.; Hudiburg, T.W. Forests of the Future: Climate Change Impacts and Implications for Carbon Storage in the Pacific Northwest, USA. For. Ecol. Manag. 2021, 482, 118886. [Google Scholar] [CrossRef]
- Smith, P.; Davis, S.J.; Creutzig, F.; Fuss, S.; Minx, J.; Gabrielle, B.; Kato, E.; Jackson, R.B.; Cowie, A.; Kriegler, E.; et al. Biophysical and Economic Limits to Negative CO2 Emissions. Nat. Clim. Chang. 2016, 6, 42–50. [Google Scholar] [CrossRef]
- McDowell, N.G.; Allen, C.D.; Anderson-Teixeira, K.; Aukema, B.H.; Bond-Lamberty, B.; Chini, L.; Clark, J.S.; Dietze, M.; Grossiord, C.; Hanbury-Brown, A.; et al. Pervasive Shifts in Forest Dynamics in a Changing World. Science 2020, 368, eaaz9463. [Google Scholar] [CrossRef]
- Reilly, M.J.; Zuspan, A.; Halofsky, J.S.; Raymond, C.; McEvoy, A.; Dye, A.W.; Donato, D.C.; Kim, J.B.; Potter, B.E.; Walker, N.; et al. Cascadia Burning: The Historic, but Not Historically Unprecedented, 2020 Wildfires in the Pacific Northwest, USA. Ecosphere 2022, 13, e4070. [Google Scholar] [CrossRef]
- Franklin, J.F.; Spies, T.A.; Pelt, R.V.; Carey, A.B.; Thornburgh, D.A.; Berg, D.R.; Lindenmayer, D.B.; Harmon, M.E.; Keeton, W.S.; Shaw, D.C.; et al. Disturbances and Structural Development of Natural Forest Ecosystems with Silvicultural Implications, Using Douglas-Fir Forests as an Example. For. Ecol. Manag. 2002, 155, 399–423. [Google Scholar] [CrossRef]
- Spies, T.A.; Stine, P.A.; Gravenmier, R.A.; Long, J.W.; Reilly, M.J. Synthesis of Science to Inform Land Management within the Northwest Forest Plan Area; U.S. Department of Agriculture, Forest Service, Pacific Northwest Research Station: Portland, OR, USA, 2018. [Google Scholar]
- Kardol, P.; Wardle, D.A. How Understanding Aboveground–Belowground Linkages Can Assist Restoration Ecology. Trends Ecol. Evol. 2010, 25, 670–679. [Google Scholar] [CrossRef]
- Williams, N.G.; Powers, M.D. Carbon Storage Implications of Active Management in Mature Pseudotsuga Menziesii Forests of Western Oregon. For. Ecol. Manag. 2019, 432, 761–775. [Google Scholar] [CrossRef]
- Chamberlain, C.; Kane, V.; Case, M. Accelerating the Development of Structural Complexity: Lidar Analysis Supports Restoration as a Tool in Coastal Pacific Northwest Forests. For. Ecol. Manag. 2021, 500, 119641. [Google Scholar] [CrossRef]
- Bauhus, J.; Puettmann, K.; Messier, C. Silviculture for Old-Growth Attributes. For. Ecol. Manag. 2009, 258, 525–537. [Google Scholar] [CrossRef]
- Puettmann, K.J.; Ares, A.; Burton, J.I.; Dodson, E.K. Forest Restoration Using Variable Density Thinning: Lessons from Douglas-Fir Stands in Western Oregon. Forests 2016, 7, 310. [Google Scholar] [CrossRef]
- Harmon, M.E.; Ferrell, W.K.; Franklin, J.F. Effects on Carbon Storage of Conversion of Old-Growth Forests to Young Forests. Science 1990, 247, 699–702. [Google Scholar] [CrossRef] [PubMed]
- Yanai, R.D.; Currie, W.S.; Goodale, C.L. Soil Carbon Dynamics after Forest Harvest: An Ecosystem Paradigm Reconsidered. Ecosystems 2003, 6, 197–212. [Google Scholar] [CrossRef]
- Piene, H.; Cleve, K.V. Weight Loss of Litter and Cellulose Bags in a Thinned White Spruce Forest in Interior Alaska. Can. J. For. Res. 1978, 8, 42–46. [Google Scholar] [CrossRef]
- Jandl, R.; Lindner, M.; Vesterdal, L.; Bauwens, B.; Baritz, R.; Hagedorn, F.; Johnson, D.W.; Minkkinen, K.; Byrne, K.A. How Strongly Can Forest Management Influence Soil Carbon Sequestration? Geoderma 2007, 137, 253–268. [Google Scholar] [CrossRef]
- Law, B.E.; Thornton, P.E.; Irvine, J.; Anthoni, P.M.; Van Tuyl, S. Carbon Storage and Fluxes in Ponderosa Pine Forests at Different Developmental Stages. Glob. Change Biol. 2001, 7, 755–777. [Google Scholar] [CrossRef]
- Larson, A.J.; Franklin, J.F. The Tree Mortality Regime in Temperate Old-Growth Coniferous Forests: The Role of Physical Damage. Can. J. For. Res. 2010, 40, 2091–2103. [Google Scholar] [CrossRef]
- Kane, V.R.; Gersonde, R.F.; Lutz, J.A.; McGaughey, R.J.; Bakker, J.D.; Franklin, J.F. Patch Dynamics and the Development of Structural and Spatial Heterogeneity in Pacific Northwest Forests. Can. J. For. Res. 2011, 41, 2276–2291. [Google Scholar] [CrossRef]
- Ameray, A.; Bergeron, Y.; Valeria, O.; Montoro Girona, M.; Cavard, X. Forest Carbon Management: A Review of Silvicultural Practices and Management Strategies Across Boreal, Temperate and Tropical Forests. Curr. For. Rep. 2021, 7, 245–266. [Google Scholar] [CrossRef]
- Davis, L.; Kollasch, T.; Smith, K.M.; Boston, K. Chapter 26—South Willapa Bay Conservation Area, Washington, United States of America. In Forest Plans of North America; Siry, J.P., Bettinger, P., Merry, K., Grebner, D.L., Boston, K., Cieszewski, C., Eds.; Academic Press: San Diego, CA, USA, 2015; pp. 225–233. ISBN 978-0-12-799936-4. [Google Scholar]
- Case, M.J.; Ettinger, A.K.; Pradhan, K. Forest Restoration Thinning Accelerates Development of Old-growth Characteristics in the Coastal Pacific Northwest, USA. Conserv. Sci. Pract. 2023, 5, e13004. [Google Scholar] [CrossRef]
- Beese, W.J.; Sandford, J.S.; Harrison, M.L.; Filipescu, C.N. Understory Vegetation Response to Alternative Silvicultural Systems in Coastal British Columbia Montane Forests. For. Ecol. Manag. 2022, 504, 119817. [Google Scholar] [CrossRef]
- James, J.; Harrison, R. The Effect of Harvest on Forest Soil Carbon: A Meta-Analysis. Forests 2016, 7, 308. [Google Scholar] [CrossRef]
- Harrison, R.B.; Footen, P.W.; Strahm, B.D. Deep Soil Horizons: Contribution and Importance to Soil Carbon Pools and in Assessing Whole-Ecosystem Response to Management and Global Change. For. Sci. 2011, 57, 67–76. [Google Scholar] [CrossRef]
- Simard, S.W.; Roach, W.J.; Defrenne, C.E.; Pickles, B.J.; Snyder, E.N.; Robinson, A.; Lavkulich, L.M. Harvest Intensity Effects on Carbon Stocks and Biodiversity Are Dependent on Regional Climate in Douglas-Fir Forests of British Columbia. Front. For. Glob. Chang. 2020, 3, 88. [Google Scholar] [CrossRef]
- Franklin, J.F.; Dyrness, C.T. Natural Vegetation of Oregon and Washington; Oregon State University Press: Corvallis, OR, USA, 1988. [Google Scholar]
- Oliver, C.D.; Larson, B.C. Forest Stand Dynamics. McGraw-Hill: New York, NY, USA, 1996; ISBN 978-0-471-13833-4. [Google Scholar]
- Cissel, J.; Anderson, P.; Olson, D.; Puettmann, K.; Berryman, S.; Chan, S.; Thompson, C. BLM Density Management and Riparian Buffer Study: Establishment Report and Study Plan; U.S. Geological Survey: Reston, VA, USA, 2006. [Google Scholar]
- Hoover, C.M.; Rebain, S.A. Forest Carbon Estimation Using the Forest Vegetation Simulator: Seven Things You Need to Know; U.S. Department of Agriculture, Forest Service, Northern Research Station: Newtown Square, PA, USA, 2011; p. NRS-GTR-77. [Google Scholar]
- Vandendriesche, D. Integrated Management of Carbon Sequestration and Biomass Utilization Opportunities in a Changing Climate: Proceedings of the 2009 National Silviculture Workshop; 2009 June 15-18; Boise, ID; USDA Forest Service Proceedings; U.S. Department of Agriculture, Forest Service, Northern Research Station: Newtown Square, PA, USA, 2010; Volume RMRS-P-61, pp. 289–320. [Google Scholar]
- Smithwick, E.A.H.; Harmon, M.E.; Remillard, S.M.; Acker, S.A.; Franklin, J.F. Potential Upper Bounds of Carbon Stores in Forests of the Pacific Northwest. Ecol. Appl. 2024, 12, 1303–1317. [Google Scholar] [CrossRef]
- Binkley, D.; Giardina, C. Why Do Tree Species Affect Soils? The Warp and Woof of Tree-Soil Interactions. In Plant-Induced Soil Changes: Processes and Feedbacks; Van Breemen, N., Ed.; Developments in Biogeochemistry; Springer: Dordrecht, The Netherlands, 1998; pp. 89–106. ISBN 978-94-017-2691-7. [Google Scholar]
- Sun, O.J.; Campbell, J.; Law, B.E.; Wolf, V. Dynamics of Carbon Stocks in Soils and Detritus across Chronosequences of Different Forest Types in the Pacific Northwest, USA. Glob. Change Biol. 2004, 10, 1470–1481. [Google Scholar] [CrossRef]
- O’Neill, K.P.; Kasischke, E.S.; Richter, D.D. Seasonal and Decadal Patterns of Soil Carbon Uptake and Emission along an Age Sequence of Burned Black Spruce Stands in Interior Alaska. J. Geophys. Res. Atmos. 2003, 108, FFR 11-1–FFR 11-15. [Google Scholar] [CrossRef]
- Covington, W.W. Changes in Forest Floor Organic Matter and Nutrient Content Following Clear Cutting in Northern Hardwoods. Ecology 1981, 62, 41–48. [Google Scholar] [CrossRef]
- Jobbágy, E.G.; Jackson, R.B. The Vertical Distribution of Soil Organic Carbon and Its Relation to Climate and Vegetation. Ecol. Appl. 2000, 10, 423–436. [Google Scholar] [CrossRef]







| Effect | dfden ** | F | p | |
|---|---|---|---|---|
| BA | Treatment | 14.97 | 14.1182 | 0.0019 |
| Run.Type | 14.97 | 50.4598 | <0.0001 | |
| Stand Age | 15.23 | 36.5626 | <0.0001 | |
| Treatment:Run.Type | 14.97 | 3.9925 | 0.0642 | |
| Stand Age:Run.Type | 15.03 | 4.7280 | 0.0461 | |
| TPH | Treatment | 15.01 | 8.4556 | 0.0108 |
| Run.Type | 16 | 12.1081 | 0.0034 | |
| Stand Age | 15.2 | 0.0711 | 0.7933 | |
| Treatment:Run.Type | 16 | 2.4303 | 0.112 | |
| Stand Age:Run.Type | 15.05 | 2.8498 | 0.112 | |
| Aboveground C | Treatment | 14.97 | 11.5283 | 0.004 |
| Run.Type | 14.97 | 63.2752 | <0.0001 | |
| Age | 15.36 | 37.8432 | <0.0001 | |
| Treatment:Run.Type | 15.04 | 4.1703 | 0.0592 | |
| Stand Age:Run.Type | 16 | 4.9621 | 0.0416 | |
| Total Stand C | Treatment | 14.98 | 11.5921 | 0.0039 |
| Run.Type | 14.97 | 58.8258 | <0.0001 | |
| Age | 15.37 | 29.5479 | <0.0001 | |
| Treatment:Run.Type | 14.97 | 2.5344 | 0.1323 | |
| Stand Age:Run.Type | 15.04 | 8.2344 | 0.0117 | |
| Soil OM | Treatment | 2.083 | 5.9772 | 0.1294 |
| Run.Type | 7.109 | 0.7224 | 0.4231 | |
| Age | 0.558 | 0.9083 | 0.5971 | |
| Treatment:Run.Type | 17.82 | 10.6954 | 0.0043 | |
| Stand Age:Run.Type | 3.681 | 2.1882 | 0.2191 |
| Effect | df | F | p | |
|---|---|---|---|---|
| BA | Treatment | 1, 50 | 9.0499 | 0.0041 |
| Year | 1, 50 | 1.7505 | 0.0019 | |
| Treatment*Year | 1, 50 | 0.0331 | 0.8564 | |
| TPH | Treatment | 1, 50 | 7.8758 | 0.0071 |
| Year | 1, 50 | 0.5066 | 0.4799 | |
| Treatment*Year | 1, 50 | 0.0133 | 0.9088 | |
| Aboveground C | Treatment | 1, 50 | 7.6966 | 0.0078 |
| Year | 2, 50 | 18.7569 | <0.0001 | |
| Treatment*Year | 2, 50 | 0.0063 | 0.9371 | |
| OM C | Treatment | 1, 48 | 13.6534 | 0.0005 |
| Year | 2, 48 | 0.0811 | 0.7770 | |
| Treatment*Year | 2, 48 | 0.0295 | 0.8643 | |
| Total C | Treatment | 1, 48 | 12.4876 | 0.0009 |
| Year | 2, 48 | 16.5111 | 0.0002 | |
| Treatment*Year | 2, 48 | 0.0123 | 0.9120 |
Disclaimer/Publisher’s Note: The statements, opinions and data contained in all publications are solely those of the individual author(s) and contributor(s) and not of MDPI and/or the editor(s). MDPI and/or the editor(s) disclaim responsibility for any injury to people or property resulting from any ideas, methods, instructions or products referred to in the content. |
© 2024 by the authors. Licensee MDPI, Basel, Switzerland. This article is an open access article distributed under the terms and conditions of the Creative Commons Attribution (CC BY) license (https://creativecommons.org/licenses/by/4.0/).
Share and Cite
Quick, S.A.; Fischer, D.G.; Case, M.J. Forest Restoration Thinning Has Minimal Impacts on Surface Soil Carbon in a Second-Growth Temperate Rainforest. Forests 2024, 15, 1758. https://doi.org/10.3390/f15101758
Quick SA, Fischer DG, Case MJ. Forest Restoration Thinning Has Minimal Impacts on Surface Soil Carbon in a Second-Growth Temperate Rainforest. Forests. 2024; 15(10):1758. https://doi.org/10.3390/f15101758
Chicago/Turabian StyleQuick, Steven A., Dylan G. Fischer, and Michael J. Case. 2024. "Forest Restoration Thinning Has Minimal Impacts on Surface Soil Carbon in a Second-Growth Temperate Rainforest" Forests 15, no. 10: 1758. https://doi.org/10.3390/f15101758
APA StyleQuick, S. A., Fischer, D. G., & Case, M. J. (2024). Forest Restoration Thinning Has Minimal Impacts on Surface Soil Carbon in a Second-Growth Temperate Rainforest. Forests, 15(10), 1758. https://doi.org/10.3390/f15101758

